Modeling Multi-Factor Coupled Pressure Fluctuations in EMU Trains under Extreme Tunnel Conditions
Abstract
1. Introduction
- This paper investigates the factors influencing internal pressure fluctuations, clarifies the mechanisms of these fluctuations under the impact of a single factor, develops a corresponding single-factor internal pressure fluctuation model, and analyzes the coupling mechanisms between various transmission pathways.
- Based on the ideal gas reversible polytropic assumption and the law of mass conservation, this paper establishes a multi-factor coupled internal pressure fluctuation model. The model parameters are refined using experimental data, and its feasibility and effectiveness are validated by comparing the results with experimental data and one-dimensional simulation outcomes.
- Based on the improved multi-factor coupled internal pressure fluctuation model, the influence of different oxygen partial pressure and temperature standards on internal pressure fluctuation under extreme tunnel conditions is studied. The findings reveal that higher standards for oxygen supply and temperature amplify the impact on internal pressure fluctuations. Therefore, designing appropriate oxygen supply standards and temperature settings is crucial to enhancing the comfort and safety of train operations. This study provides a theoretical foundation for future efforts to maintain and regulate multivariable comfort within the internal train environment.
2. Modeling of Internal Pressure for a Single Factor
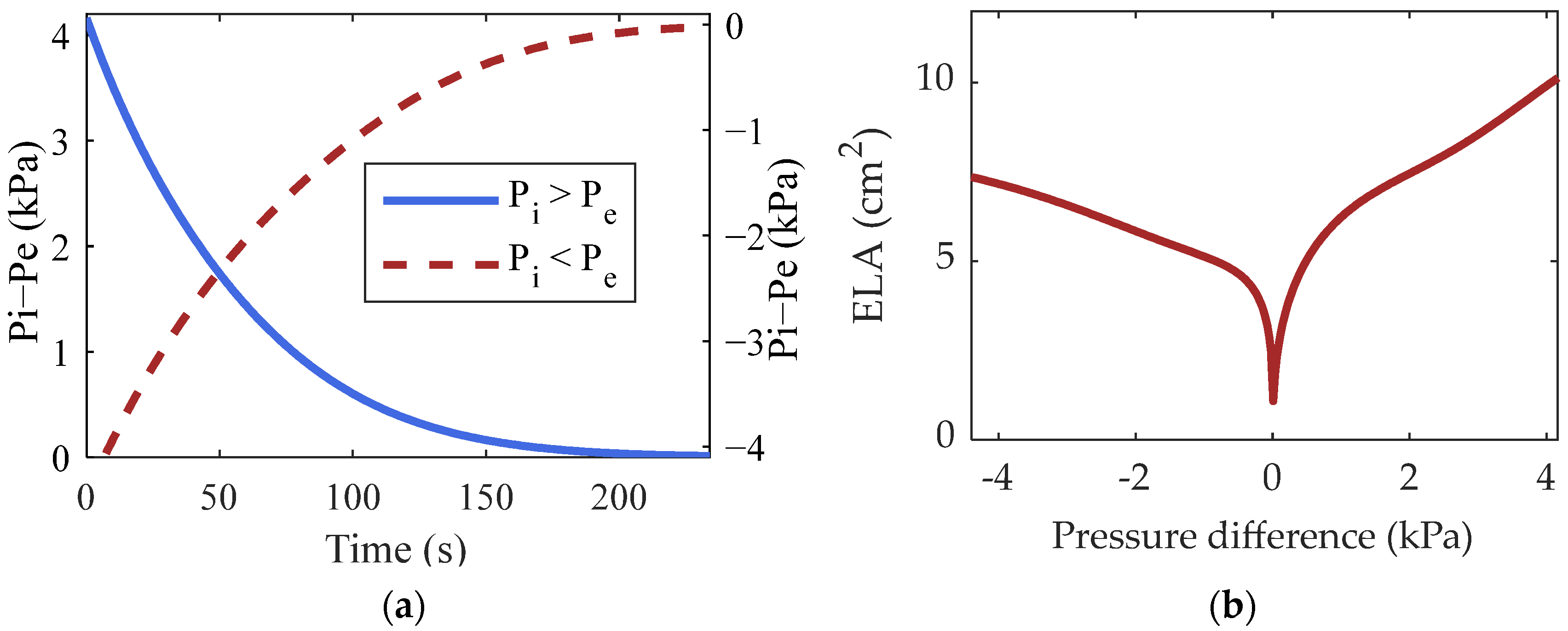
2.1. Air Ducts
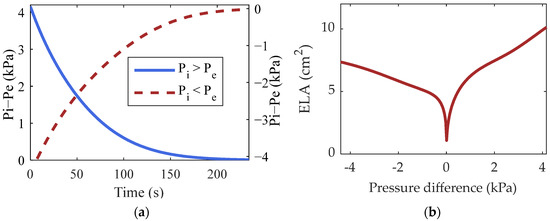
2.2. Airtight Gaps
2.3. Carbody Deformation
2.4. Oxygen Supply System
2.5. Temperature Changes
2.5.1. Heat Transfer through the Carbody Enclosure Structure
2.5.2. Heat Dissipation from Passengers
2.5.3. Heat Dissipation from Lighting and Other Equipment
2.5.4. Heat Transfer of Fresh Air in the Air Conditioning System
2.5.5. Heat Transfer from Infiltrated Air
2.5.6. Heat Production by the Heating System
2.5.7. Modeling Internal Pressure Fluctuations Caused by Temperature Changes
3. Modeling of Internal Pressure Fluctuations under Multi-Factor Coupling
3.1. Modeling
3.2. Pressure Loss Coefficient Correction
3.3. Model Validation
4. The Impact of Partial Oxygen Pressure and Temperature on Internal Pressure Fluctuations
4.1. The Impact of Partial Oxygen Pressure Standards
4.2. The Impact of Temperature Standards
5. Conclusions
- (1)
- The factors influencing internal pressure fluctuations under the disturbance of extreme tunnel pressure waves were identified, including ventilation ducts, airtight gaps, body deformation, the oxygen supply system, and temperature. The mechanisms of internal pressure fluctuations under the impact of individual factors were clarified, and corresponding single-factor pressure fluctuation models were established. The coupling mechanisms between the various transmission pathways were analyzed, and a multi-factor coupled internal pressure fluctuation model was developed based on the ideal gas polytropic process assumption and the mass conservation theorem. The pressure loss coefficient of the established model was adjusted using actual railway line measurement data, resulting in a corrected regression system fit standard deviation of 20.82 Pa, which is less than 5% of the pressure wave amplitude. Finally, the feasibility and validity of the model were confirmed through comparisons with measured data and one-dimensional simulation data.
- (2)
- Based on the revised internal pressure fluctuation model, an analysis was conducted to calculate the coupling effect and impact of changes in partial oxygen pressure—a key comfort-related physical variable—on internal pressure fluctuations under extreme tunnel conditions. The results indicate that, with a fixed valve opening, higher oxygen supply standards exert a greater influence on internal pressure fluctuations, with an impact that is more significant than that of internal temperature, accounting for up to 18.11% of the pressure fluctuation amplitude. As the valve opening decreases, the influence of oxygen supply standards on internal pressure fluctuations increases, with an overall impact increase of approximately 12.23%, suggesting a certain coupling effect between the oxygen supply system and the air ducts.
- (3)
- An analysis of the coupling effect and impact of temperature, as a comfort-related variable, on internal pressure fluctuations reveals that, with a fixed valve opening, higher temperatures lead to a greater influence on internal pressure fluctuations, with the maximum impact accounting for approximately 5.34% of the pressure fluctuation amplitude. Temperature has a mitigating effect on internal pressure as the EMU train ascends through extreme tunnel conditions. However, as the valve opening decreases, the influence of temperature on internal pressure diminishes, with an overall reduction of about 13.01%, indicating a certain coupling effect between temperature and the ventilation valve. Therefore, in the evaluation and analysis of internal pressure comfort, improper settings of these standards could affect pressure comfort. Thus, appropriate valve openings, temperature settings, and oxygen supply standards are crucial factors for mitigating internal pressure fluctuations and enhancing the comfort and safety of train operations.
Author Contributions
Funding
Institutional Review Board Statement
Informed Consent Statement
Data Availability Statement
Conflicts of Interest
Nomenclature
| Discrete-time instants. | |
| Sampling frequency. | |
| Universal gas constant, in . | |
| Duct valve opening. | |
| Pressure loss coefficient. | |
| Inside carriage temperature, in . | |
| Outside carriage temperature, in . | |
| Atmospheric temperature at sea level, in . | |
| Atmospheric temperature at altitude , in . | |
| Internal pressure, in . | |
| External pressure, in . | |
| Internal partial oxygen pressure, in . | |
| Atmospheric pressure at altitude , in . | |
| Atmospheric pressure at sea level, in . | |
| Internal pressure under the impact of air ducts, in . | |
| Internal pressure under the impact of airtight gaps, in . | |
| Internal pressure under the impact of carbody deformation, in . | |
| Internal pressure under the impact of the oxygen supply, in . | |
| Internal pressure under the impact of temperature, in . | |
| Internal partial oxygen pressure standard, in . | |
| Internal air polytropic index. | |
| Leaked gas polytropic index. | |
| Internal oxygen polytropic index. | |
| Mass flow rate of the fresh air fan, in . | |
| Volumetric flow rate through the fan, in . | |
| Mass flow rate of oxygen-enriched air, in . | |
| Mass flow rate of the exhaust fan, in . | |
| Mass flow rate through carriage leakage gaps, in . | |
| Internal air density, in . | |
| External air density, in . | |
| Internal oxygen concentration, in . | |
| Equivalent leakage area of the carbody, in . | |
| Airflow velocity on the external side of the equivalent leakage hole, in . | |
| Average molar mass of internal air, in . | |
| Average molar mass of external air, in . | |
| Molar mass of oxygen, in . | |
| Carbody deformation coefficient. | |
| Carriage volume, in . | |
| Initial carriage volume, in . | |
| Internal air mass, in . | |
| Internal oxygen mass, in . | |
| Oxygen mass fraction in infiltrated air. | |
| Oxygen mass fraction in fresh air. | |
| Oxygen mass fraction in exhaust air. | |
| Oxygen mass fraction in oxygen-enriched air. | |
| Number of passengers and crew in the carriage. | |
| Oxygen consumption by the human body, in . | |
| Heat exchange in the carriage, in . | |
| Heat transfer through the carbody enclosure, in . | |
| Heat dissipation by occupants, in . | |
| Heat dissipation from lighting and other equipment, in . | |
| Heat transfer from fresh air in the air conditioning system, in . | |
| Heat transfer from infiltrated air, in . | |
| Heating output of the air conditioning system, in . | |
| Heat transfer coefficient, in . | |
| Heat transfer area, in . | |
| Clustering coefficient. | |
| Sensible heat dissipation per person in the carriage, in . | |
| Latent heat dissipation per person in the carriage, in . | |
| Enthalpy of fresh air, in . | |
| Enthalpy of oxygen-enriched air, in . | |
| Enthalpy of internal air, in . | |
| Specific heat capacity of air in the carriage, in . | |
| Annual average temperature lapse rate, in . |
References
- Zhou, Y.; Yang, Y.; Mao, Z.; Bu, R.; Gong, J.; Wang, Y.; Yi, L. Analytical and Numerical Study on Natural Ventilation Performance in Single- and Gable-Slope City Tunnels. Sustain. Cities Soc. 2019, 45, 258–270. [Google Scholar] [CrossRef]
- Zhang, D.; Sun, Z.; Fang, Q. Scientific Problems and Research Proposals for Sichuan–Tibet Railway Tunnel Construction. Undergr. Space 2022, 7, 419–439. [Google Scholar] [CrossRef]
- Tian, H.Q. Train Aerodynamics; China Railway Publishing House: Beijing, China, 2007; ISBN 978-7-113-07605-4. [Google Scholar]
- Liu, T.-H.; Chen, X.-D.; Li, W.; Xie, T.-Z.; Chen, Z.-W. Field Study on the Interior Pressure Variations in High-Speed Trains Passing through Tunnels of Different Lengths. J. Wind Eng. Ind. Aerodyn. 2017, 169, 54–66. [Google Scholar] [CrossRef]
- Nam, S.-W. A Study on the Characteristics of Internal and External Pressure Variation for KTX. In Proceedings of the International Conference on Advanced Technology in Experimental Mechanics: Asian Conference on Experimental Mechanics, Fukuoka, Japan, 12–14 September 2007; Volume 2007, p. OS8-2-4. [Google Scholar]
- Matschke, G.; Heine, C. Full Scale Tests on Pressure Wave Effects in Tunnels. In TRANSAERO—A European Initiative on Transient Aerodynamics for Railway System Optimisation; Schulte-Werning, B., Grégoire, R., Malfatti, A., Matschke, G., Eds.; Notes on Numerical Fluid Mechanics and Multidisciplinary Design (NNFM); Springer: Berlin/Heidelberg, Germany, 2002; Volume 79, pp. 187–195. ISBN 978-3-642-07761-6. [Google Scholar]
- Glockle, H.; Pfretzschner, P. High Speed Tests with ICE V Passing Through Tunnels, and the Effect of Sealed Coaches on Passenger Comfort. In Proceedings of the 6th International Symposium on the Aerodynamics and Ventilation of Vehicle Tunnels, Durham, UK, 27–29 September 1988; BHRA: Cranfield, UK, 1989; pp. 23–44. [Google Scholar]
- Demmenie, E.A.; de Bruin, A.C.; Klaver, E. Experimental Pressure Wave Research at NLR for High-Speed Rail Tunnels; National Aerospace Laboratory NLR: Amsterdam, The Netherlands, 1998. [Google Scholar]
- Ehrenfried, K.; Heine, D. Pressure Waves and Flow Induced by a Train in a Tunnel. In New Results in Numerical and Experimental Fluid Mechanics XIV; Dillmann, A., Heller, G., Krämer, E., Wagner, C., Weiss, J., Eds.; Notes on Numerical Fluid Mechanics and Multidisciplinary Design; Springer Nature: Cham, Switzerland, 2024; Volume 154, pp. 58–67. ISBN 978-3-031-40481-8. [Google Scholar]
- Tian, H. Review of Research on High-Speed Railway Aerodynamics in China. Transp. Saf. Environ. 2019, 1, 1–21. [Google Scholar] [CrossRef]
- Liu, Z.; Liu, F.; Yao, S.; Chen, D.; Yang, M. Research on Numerical Simulation of Transient Pressure for High-Speed Train Passing through the Most Unfavourable Length Tunnel. Transp. Saf. Environ. 2023, 5, tdac059. [Google Scholar] [CrossRef]
- Wang, T.; Zhu, Y.; Tian, X.; Shi, F.; Zhang, L.; Lu, Y. Design Method of the Variable Cross-Section Tunnel Focused on Improving Passenger Pressure Comfort of Trains Intersecting in the Tunnel. Build. Environ. 2022, 221, 109336. [Google Scholar] [CrossRef]
- Mei, Y.; Zhou, C. Numerical Analysis of Transient Pressures inside High Speed Passenger Trains through Tunnels. J. China Railw. Soc. 2005, 27, 36–40. [Google Scholar] [CrossRef]
- Kwon, H.B. A Study on the Minimum Cross-Sectional Area of High-Speed Railway Tunnel Satisfying Passenger Ear Discomfort Criteria. J. Comput. Fluids Eng. 2015, 20, 62–69. [Google Scholar] [CrossRef]
- Sima, M.; Barbone, L.; Galeazzo, G.; Gölz, P. Dynamic Pressure Tightness of Very High Speed Train ETR1000/V300 ZEFIRO. In Proceedings of the 11th World Congress on Railway Research, Milan, Italy, 29 May–2 June 2016; Bombardier Transportation: Milan, Italy, 2016. [Google Scholar]
- Chen, C.J.; Nie, X.C.; Tang, M. Transfer Function Model of the Air Pressure inside CRH2 EMU under Outside Air Pressure. China Railw. Sci. 2013, 34, 84–88. [Google Scholar] [CrossRef]
- Chen, C.J.; Feng, Y.P.; He, Z.Y.; Li, M. Primary Study on Variation Law of Tightness and Dynamic Air Tightness Model of High-speed Train. J. China Railw. Soc. 2021, 43, 18–23. [Google Scholar] [CrossRef]
- Feng, Y.P.; Chen, C.J.; Chen, R.T. Influence of Vehicle Body Deformation on Vehicle Interior Pressure under Tunnel Pressure Based on Fluid-solid Coupling. Electr. Drive Locomot. 2021, 3, 80–85. [Google Scholar] [CrossRef]
- Chen, C.; He, Z.; Feng, Y.; Yang, L. Semi-Empirical Model of Internal Pressure for a High-Speed Train under the Excitation of Tunnel Pressure Waves. Proc. Inst. Mech. Eng. Part F J. Rail Rapid Transit 2022, 236, 803–815. [Google Scholar] [CrossRef]
- Yang, L.; Chen, C.; Wang, X.; Deng, J.; Zheng, Q. Internal Pressure Fluctuation Modelling and Passenger Pressure Comfort Analysis of High-Speed Trains Passing through Extreme Tunnels. Build. Environ. 2024, 251, 111200. [Google Scholar] [CrossRef]
- Wikipedia Sichuan–Tibet Railway. Wikipedia. 2024. Available online: https://en.wikipedia.org/wiki/Sichuan–Tibet_Railway (accessed on 11 August 2024).
- Sun, Y.J.; Shen, H.G. Industrial Ventilation, 4th ed.; China Architecture & Building Press: Beijing, China, 2010; ISBN 978-7-112-11755-0. [Google Scholar]
- Zhang, S.G. Qinghai-Tibet Railway Plateau Passenger Car; China Railway Publishing House: Beijing, China, 2007; ISBN 978-7-113-07598-9. [Google Scholar]
- Tao, H.; Meng, L.; Hai-juan, C.; Jun, W. Simulation on Along-railway Oxygen Demand of the Qinghai-Tibet Railway Passenger Cars. J. China Railw. Soc. 2011, 33, 20–25. [Google Scholar] [CrossRef]
- Wang, Z.; Xu, J.; Wang, Y.; Wang, L.W.; Wang, R.Z. Annual Energy Simulation for the Air Conditioning of Fuxing High Speed Trains. Appl. Therm. Eng. 2021, 188, 116591. [Google Scholar] [CrossRef]
- Liu, W.; Deng, Q.; Huang, W.; Liu, R. Variation in Cooling Load of a Moving Air-Conditioned Train Compartment under the Effects of Ambient Conditions and Body Thermal Storage. Appl. Therm. Eng. 2011, 31, 1150–1162. [Google Scholar] [CrossRef]
- Li, C. Dynamic Load Calculation and Energy Conservation Strategy Study for “Four Vertical and Four Horizontal” High-Speed Rail Air Conditioner. J. Mech. Eng. 2018, 54, 162. [Google Scholar] [CrossRef]
- Chen, C.; Zheng, Q.; Yang, L. Adaptive Iterative Learning Control of Internal Temperature for High-Speed Trains. J. Mech. Sci. Technol. 2024, 38, 463–473. [Google Scholar] [CrossRef]
- Palmero, N.M.; Vardy, A. Tunnel Gradients and Aural Health Criterion for Train Passengers. Proc. Inst. Mech. Eng. Part F J. Rail Rapid Transit 2014, 228, 821–832. [Google Scholar] [CrossRef]
- Yao, M. Numerical Simulation Study on Air-Tightness Characteristics of High Speed Trains in Mountainous Tunnel Conditions. Master’s Thesis, Lanzhou Jiaotong University, Lanzhou, China, 2020. [Google Scholar]
- TB/T 3573-2022; Technical Requirements for Oxygen Supply on Plateau Passenger Trains. China Railway Publishing House: Beijing, China, 2022.
- UIC. Heating, Ventilation and Air-Conditioning in Coaches; UIC 553:2004-02; UIC: Paris, France, 2004. [Google Scholar]
- Inspection General Administration of Quality Supervision; Quarantine of the People’s Republic of China China National Standardization Management Committee. Air Conditioning for Main Line Rolling Stock—Part 1: Comfort Parameters; Standard Press of China: Beijing, China, 2016. [Google Scholar]













| Roof | 68 | 1.16 | 2.22 | 2.11 |
| Floor | 78 | 1.16 | 2.22 | 2.11 |
| Side Wall 1 | 47.5 | 1.16 | 2.22 | 2.11 |
| Side Wall 2 | 47.5 | 1.16 | 2.22 | 2.11 |
| Window 1 | 8 | 1.16 | 2.22 | 2.11 |
| Window 2 | 8 | 1.16 | 2.22 | 2.11 |
| Time interval/s | 1 | 3 | 10 | 30 | 60 |
| Standard/Pa | 500 | 800 | 1000 | 1500 | 2000 |
Disclaimer/Publisher’s Note: The statements, opinions and data contained in all publications are solely those of the individual author(s) and contributor(s) and not of MDPI and/or the editor(s). MDPI and/or the editor(s) disclaim responsibility for any injury to people or property resulting from any ideas, methods, instructions or products referred to in the content. |
© 2024 by the authors. Licensee MDPI, Basel, Switzerland. This article is an open access article distributed under the terms and conditions of the Creative Commons Attribution (CC BY) license (https://creativecommons.org/licenses/by/4.0/).
Share and Cite
Zou, M.; Chen, C.; Yang, L. Modeling Multi-Factor Coupled Pressure Fluctuations in EMU Trains under Extreme Tunnel Conditions. Appl. Sci. 2024, 14, 9444. https://doi.org/10.3390/app14209444
Zou M, Chen C, Yang L. Modeling Multi-Factor Coupled Pressure Fluctuations in EMU Trains under Extreme Tunnel Conditions. Applied Sciences. 2024; 14(20):9444. https://doi.org/10.3390/app14209444
Chicago/Turabian StyleZou, Miao, Chunjun Chen, and Lu Yang. 2024. "Modeling Multi-Factor Coupled Pressure Fluctuations in EMU Trains under Extreme Tunnel Conditions" Applied Sciences 14, no. 20: 9444. https://doi.org/10.3390/app14209444
APA StyleZou, M., Chen, C., & Yang, L. (2024). Modeling Multi-Factor Coupled Pressure Fluctuations in EMU Trains under Extreme Tunnel Conditions. Applied Sciences, 14(20), 9444. https://doi.org/10.3390/app14209444
