Abstract
This paper presents our study of the deformation and failure characteristics surrounding rock in roadways with super-large sections during the integrated coal pillar excavation, filling and retention process between coalfaces. Based on the theory of complex variable function, the mapping accuracy of conformal transformation is improved, and an analytical solution for surrounding rock stress in super-large sections of roadway is derived. The stress distribution law of the surrounding rock of rectangular roadways is analyzed, and numerical simulation software is used for supplementary analysis and verification. According to the research findings, the compressive stresses on two sides and the tensile stress on the roof of a rectangular roadway with super-large sections decreased with the increase in the side-pressure coefficient; however, when the side-pressure coefficient increased to a certain point, those two sides changed from a pressure-bearing status to a tensile force-bearing status, while the roof changed from a tensile force-bearing status to a pressure-bearing status. In these stress changes, all the stresses upon the surrounding rock of roadways were compressive stresses and the two critical side-pressure coefficient values were λup and λdown. As the aspect ratio of the roadway increased from 1 to 9, its λup increased from 1.823 to 5.865 and its λdown increased from 0.549 to 0.888. When those side-pressure coefficients in the environment where a roadway is located exceed their critical values, tensile stress will take place on the roadway boundary and result in tensile failure, thus leading to instability in the roadway super-large section. The impact of the side-pressure coefficient upon the plastic zone range of roadway surrounding rock is greater than the impact of the roadway width. In order to secure stability in the surrounding rock of roadways with super-large sections during the excavation process, the side-pressure coefficient should remain around 1; in this situation, the plastic zone covers the smallest range and the relevant support work is the easiest. These research findings provide theoretical references for the excavation and support of roadways with super-large sections.
1. Introduction
A dual-roadway layout is adopted in most of the shaft-accessed coalfaces in China, and coal pillars ranging in width from 15 to 40 m are used between adjacent coalfaces in order to partition adjacent gobs and support the roof load [1]. After mining, coal pillar resources between coalfaces cannot be recovered. According to statistics, China loses about 300 million tons of coal each year due to coal pillars between coalfaces, representing a serious waste of resources. The gob-side entry retaining method [2]; the 110 method [3], which cuts the roof, relieves pressure and forms the roadway automatically; and the N00 method [4], which forms the roadway automatically with no coal pillars retained, are three commonly seen methods used to reduce the waste of coal pillar resources between coalfaces. These three methods require no coal pillar between coalfaces and thus can achieve coal-pillar-free mining. However, they fail to address the great quantity of coal-based solid waste, such as coal gangue, and are poorly applicable to complex engineering and geological conditions. Given these shortcomings, Qi, H. [5,6] proposes a scientific mining concept of “short filling and long mining”, in which a solid waste filling belt is formed based on the nearby gangue sorting in the underground mining area of the coal mine so as to replace the coal pillar in the same section. Although solid gangue filling can deal with coal gangue and act as a substitute for coal resources simultaneously, there is only a mediocre effect on reducing both ground subsidence and damage [7]. Paste cement filling can deal with coal-based solid waste and provide a substitute for over-ridding and marginal coal resources simultaneously, and it has a good effect on protecting aquifers and ground buildings and structures. In order to realize the coordination between coal-based solid waste disposal on a large scale and coal pillar resource recovery and to achieve the sustainable and green development of coal mines, Wang, S. [8] puts forward an integrated coal pillar excavation, filling and retention process between coalfaces. First of all, a comprehensive mechanized excavation coalface with super-large sections is arranged on the coal pillar boundary in the main roadway, and a new set of integrated excavation equipment is employed to excavate forward with super-large sections; continuous and efficient filling takes place at the rear of the excavation coalface, and coal pillars between the coalfaces are substituted with a coal gangue-cemented paste filling body. In the meantime, two parallel gate roads are automatically formed along the filling belt so as to realize coordination between the roadway excavation, solid waste disposal and coal pillar resource recovery. Finally, loss-reducing coal mining is fulfilled. This integrated coal pillar excavation, filling and retention process between coalfaces still involves several difficulties, such as the excavation and support mechanisms for roadways with super-large sections for coal pillars between coalfaces, the excavation and filling processes of the coal pillars between coalfaces, the synergistic relationship between the inter-coalface filling body and surrounding rock of roadways, etc. Among them, the realization of the one-time full-section excavation of roadways with super-large sections is premised on the integration of the “excavation–filling–retention” process of the coal pillars between faces, and clarifying the stress distribution characteristics and change rules of super-large sections of roadway is the key to solving the problem of this one-time full-section excavation. In the present paper, the stress distribution law and deformation and failure characteristics of the surrounding rock of super-large-section roadways are explored by combining mathematical means with numerical simulation.
There have long been methods that mathematically clarify the stress distribution laws concerning surrounding rock of roadways. In 1954, Muskhelishvili, N.I. [9] proposed the fundamental principle and general solution to solve non-circular orifice elasticity problems through a complex variable function method, which was widely applied to solving such problems [10,11,12]. Currently, the Schwarz–Christoffel method is an important method for solving complex orifice problems [13,14]. Therefore, it is widely used in the theoretical calculation of stress, deformation and other problems relating to tunnels, roadways and other orifices [15,16,17,18,19,20,21], and the analytical solutions for complex orifice boundaries are obtained. According to Xu, Z. [22], the analysis of stress distribution surrounding rectangular orifices involves four main processes, namely, both stress and displacement representation by complex variable functions, boundary conditions, conformal transformation and solutions to relevant complex analytic functions. Domestic and foreign scholars [23,24,25] have worked on stress solutions for arbitrary excavation sections through different mapping functions. Wan, S. [26] analyzed the stress along surrounding rock of roadways with large sections via the Bonaitin–Thomson viscoelastic model, and then they defined roadways with aspect ratios ranging from 2 to 4 as long-span and those with aspect ratios larger than 4 as super-long-span. Xiong, X. [27] constructed a mechanical model for the surrounding rock of roadways in an inclined coal seam by introducing the dip coefficient, derived the stress solutions for roadway surrounding rock suitable for arbitrary dip angles and section shapes and revealed the asymmetric stress distribution laws concerning surrounding rock for roadways in an inclined coal seam. Other scholars [28,29,30] laid a theoretical foundation for regular-sized roadway support by developing a complex variable function. Zuo, J. [31] established a mechanical model for deep roadways based on the complex variable function method.
The above-mentioned research findings on the stress placed upon surrounding rock of roadways mainly concentrate on regular roadways with aspect ratios of less than 4. Due to the poor stability in roadways with rectangular sections, when a roadway’s aspect ratio increases to a certain value, the roof is always in a stress-releasing state during the excavation process [32]. It is difficult to control the stability in roadways with super-large sections when conventional support forms and methods are adopted. In order to control the deformation in roadways with super-large sections safely and reasonably, further and in-depth exploration should be conducted upon both stress distribution laws and deformation and failure behaviors concerning the surrounding rock of roadways with super-large sections and aspect ratios greater than 4. In this way, the reasons for instability in roadway with super-large sections can be detected, and references can be provided for the stability control of the surrounding rock for such roadways.
Beyond that, in this study, in view of the geological conditions of coal mines and with no regard to the mining disturbance between adjacent coalfaces, the roof beam failure and instability criteria were established for excavation with super-large sections and aimed at the engineering problems arising from excavation and support processes for roadways with super-large sections ranging from 15 m to 40 m, as achieved through theoretical analysis and numerical simulation based on previous research. These lay a theoretical foundation for roadway stability maintenance and create theoretical references for the technical parameter design of the excavation, filling and retention process.
2. Roadway Excavation with Super-Large Sections
Although rapid roadway excavation technology [33] is in a very mature development stage in China, conventional roadways with large sections (the open-off cut is 6 to 10 m wide) are made inefficiently via multiple excavation [34,35]. Figure 1 shows a schematic drawing of interface coal pillar “excavation–backfill–retention” integration. The integrated coal pillar excavation, filling and retention process between coalfaces can achieve pillar-free mining and improve the coal resource recovery rate; meanwhile, two roadways are retained and one excavation face is reduced in size, thus improving the excavation efficiency. By backfilling with high-performance gangue filling material [36,37], the mining gangue can be disposed of completely, with no need for outward transport. In order to ensure the safety of filling roadway and the complete recovery of gangue., roadways with super-large sections and a width ranging from 15 m to 40 m should be excavated for coal pillars between coalfaces. At the same time, as there is an unsupported roof distance in the coal pillar excavation, filling and retention process between coalfaces, a well-detected stress status of the overhanging roof of the roadway with super-large sections can create theoretical references for supporting such roadways and thereby help achieve the rapid excavation of such roadways and a safe and stable driving face.
Figure 1.
Schematic drawing of interface coal pillar “excavation–backfill–retention” integration.
Figure 2 illustrates the stress and deformation characteristics of a super-large-section roadway. As there is a large area of unsupported roof when the support is not yet ready during the roadway excavation with super-large sections, ranging from 15 m to 40 m, the stress concentration on surrounding rock at the roadway corner results in shear failure and further intensifies the deformation and failure of the roof. A large-span roof subject to driving disturbance will result in bed separation [38]. Gravity stress on the large-span overhanging roof will cause the roof to crack and thereby result in tensile failure. Eventually, a natural caving arch will take shape, and a self-stabilized equilibrium arch will appear outside the caving arch [39].
Figure 2.
Stress and deformation characteristics of super-large-section roadway.
Stability in a roadway with super-large sections cannot be controlled by conventional support forms and methods because the larger the roadway sections’ size, the more difficult its support. Therefore, only by clarifying the stress distribution laws and deformation and failure mechanism concerning surrounding rock, can a scientific and effective control theory and method be provided so as to secure the stability of the roadway with super-large sections, avoid instability in the roadway and ensure a safe work space for such roadway excavation.
3. Elastic Solutions to Stress Surrounding Rock of Rectangular Roadways with Super-Large Sections
3.1. Establishment of Mechanical Model
After the roadway is excavated, the stress upon surrounding rock will be redistributed and subject to multiple factors. In order to study the stress distribution laws concerning the surrounding rock of rectangular roadways with super-large sections, a mechanical calculation model was established, as shown in Figure 3. In the infinite length of the roadway, the properties of the surrounding rock are consistent, so the plane strain method can be used to study. [40]. In this model, the perpendicular stress p is equal to γH, γ is the bulk density of overlying rock, and the horizontal stress is λp, where λ represents the side-pressure coefficient.
Figure 3.
Computation model of rectangular roadways’ surrounding rock.
3.2. Basic Theory
According to the theory of complex variable function, the problem of non-circular roadway needs to be calculated by mapping the outside of a non-circular roadway into a unit circle through conformal transformation. Accordingly, rectangular roadways with super-large sections were mapped into a unit circle via the mapping function z = ω(ξ) for surrounding rock stress calculation. The analytical solution to the stress upon the surrounding rock of rectangular roadways with super-large sections was calculated by using the theory on elastic mechanics [22]. First of all, two analytic functions φ(ξ) and ψ(ξ) were determined, and their fundamental equations went as follows:
where φ(ξ), ψ(ξ), Φ(ξ) and Ψ(ξ) are complex analytic functions of the complex variable ξ; σθ is the tangential stress of rectangular roadways, MPa; σρ is the radial stress of that roadway, MPa; and τρθ is the shear stress of that roadway, MPa.
where X and Y represent resultant surface forces, MPa, along the x and y axes on the boundary, respectively; and B, B’ and C’ are constants associated with σθ and σρ.
are analytic functions about ξ within the unit circle at the external tangent center of rectangular roadways with super-large sections and continuous within the circle and on the circumference, and they can be expressed as follows:
where f0 is a notation introduced to facilitate calculation:
3.3. Solution of Mapping Function Coefficients
According to the theory on complex conformal transformation, the mapping determined by the solution function is conformal mapping. When it comes to engineering, the Schwarz–Christoffel equation is generally adopted to transform a complex shape into a simple one, as shown in Equation (8):
where xk is the mapping position from the rectangle on plane z to the unit circumference on plane ξ; ɑk is the mapping angle from the rectangle on the plane z to the unit circumference on plane ξ; R is the constant reflecting the dimensional features of rectangular roadways; and n is the number of mapping function terms, whose values are related to both the complexity of the excavation tunnel shape and the requirement for mapping function accuracy.
where R, c1, c3, c5 and c7 are all real constants.
When the aspect ratio was equal to 1, the error between the mapping value and actual value at the corner point was defined as the reference error. When an error is larger than the reference error, the mapping accuracy can be improved by increasing the number of integral expansion terms, thus narrowing the boundary error of rectangular roadways with super-large sections.
Through analysis of the mapping results from different mapping terms in Table 1, we determined the maximum error of conformal transformations of different terms. When studying Figure 4, which presents the effect of mapping with different accuracies, it is not difficult to see that an increase in the number of terms taken by mapping function Z can improve the mapping effect. According to Figure 4a, when the aspect ratio b/h increased from 1 to 6, the mapping effect weakened gradually; when the number of mapping function terms was taken as 3, there were large errors between the roof, the base plate and these two sides in the mapping section and the straight boundary in the theoretical section, and the error was even larger at the roadway corner; it was more like an arc shape. This error can be narrowed by increasing the number of terms. According to Figure 4b,c, when the number of terms is increased by one each time, the mapping value will be more like the outline of rectangular roadways, and the subsequent laws will be more like those on-site.
Table 1.
The maximum error of conformal transformations of different terms.

Figure 4.
Effect of mapping with different accuracy levels.
Since a three-term mapping function can meet the requirement for accuracy when b/h is smaller than 2, a three-term mapping function option can solve the problem when it comes to the research on conventional roadways. However, when it comes to the research on roadways with super-large sections, the accuracy of a three-item mapping function cannot meet the requirement. In this case, the four-term mapping function option is needed. When b/h is less than 10, the error of the four-term mapping function is less than 1.01% and, therefore, it can meet the requirement for accuracy. However, when b/h is not smaller than 10, the error is more than 1.01%. In this case, a five-term mapping function option is necessary.
Mapping accuracy selection is relevant to both the objective and purpose of research. There is a great difference in accuracy when the stress distribution along wall rocks surrounding a rectangular mining space is studied. Accordingly, based on the premise of simplicity in the function derivation process, a four-item mapping function with a good mapping performance should be selected when a roadway with super-large sections and an aspect ratio range from 2 to 9 is studied.
On plane Z,
When , corresponding to (b, 0) and (0, −h) in the rectangular coordinate system, an equation was obtained as follows:
where the value of k depended on the aspect ratio of the rectangular roadways.
The parameters R, c1, c3 and c5 were obtained by solving Equations (11) and (12).
3.4. Solution for Stress of Super-Large-Section Roadways’ Surrounding Rock
Due to the planar problem in this research, the surface forces in the X and Y directions were zero.
The following could be determined from the stress boundary conditions of the orifice:
These showed that the rectangular roadway is subject to p0 in the perpendicular direction and λp0 in the horizontal direction, and that there is no support resistance on the roadway boundary. The following could be obtained from Equation (7):
where B and B’ could be obtained from Equation (15):
where
The following could be obtained from Equations (3) and (4):
According to Equations (1), (2), (17), (18) and (20), the expressions were obtained for each stress component of rectangular roadways with super-large sections in the polar coordinate system:
Due to the gradual decrease in σθ from the roadway boundary to the peripheral rock mass, σθ reached its maximum value on the roadway boundary, σρ = 0 and τρθ = 0. was obtained on the roadway boundary by substituting into multiple-term Equations (21) and (22). The tangential stress upon the surrounding rock of roadways could be obtained by using Equation (23).
4. Stress Distribution Characteristics of Roadway Surrounding Rock
Based on the aforesaid theoretical analysis, a total of nine roadway models were selected for calculation, to analyze the stress influences of various parameters upon the surrounding rock of these rectangular roadways. In this case, these roadways were as high as 2.5 m, and as wide as from 2.5 m to 25 m; their aspect ratios b/h were from 1 to 9.
When a rectangular roadway on plane Z was mapped to a unit circle on the complex plane by conformal transformation, the calculation coefficients of each conformal transformation parameter were determined, as shown in Table 2. Based on the conformal conversion coefficient of rectangular roadways with different specifications, the analytical solutions to the stress upon the surrounding rock of roadways were obtained subsequently through MATLAB R2023b software computation.
Table 2.
Conformal conversion coefficient of rectangular roadways with different specifications.
In Figure 5, showing the stress distribution of σθ in the polar coordinate system with different aspect ratios, θ was assigned values in the range from 0 to 2π, and the results were adopted to plot the stress envelope in the polar coordinate system, with the stress magnitude as P0. This graph results from processing the data of the curve attached by assigning points at an interval of 1° in the range from 0 to 2π. With the roadway center as the origin, the range from 0° to 90° was the lower right sector, the range from 90° to 180° was the lower left sector, the range from 180° to 270° was the upper left sector, and the range from 270° to 360° was the upper right sector of roadway. Due to the assumption in the theoretical calculation process that the roadway is subjected to uniform pressure in both directions, the stress upon this roadway model is center symmetric. In order to discuss the stress distribution behaviors of rectangular roadways in a more concise manner, only 1/4 of each model was taken for calculation in the subsequent analysis; that is to say, the value of θ in the assignment range from 0° to 90° corresponds to the stress distribution range from the side wall center of a roadway to its roof center.
Figure 5.
Stress distribution of σθ in polar coordinate system with different aspect ratios.
4.1. Influence of Aspect Ratios on Stress Distribution for Surrounding Rock in Rectangular Roadways
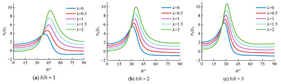
In order to study the laws on the influence of different aspect ratios on the stress distribution in surrounding rock of rectangular roadways, tangential stresses in a total of five roadway models were calculated when the vertical force was P0 and the side-pressure coefficients λ were 0, 0.5, 1, 1.5 and 2. Figure 6 shows tangential stress distribution curves of roadway surrounding rock with different aspect ratios. The stress distribution for surrounding rock in rectangular roadways is displayed under nine different changing conditions of side-pressure coefficients, where roadway aspect ratios b/h were from 1 to 9.

Figure 6.
Tangential stress distribution curves of roadway surrounding rock with different aspect ratios.
As shown in Figure 6, displaying tangential stress distribution curves of roadway surrounding rock with different aspect ratios, when b/h was smaller than 2, the stress distribution was relatively smooth; when b/h was larger than 2 but smaller than 4, the stress distribution along surrounding rock was relatively steep and suddenly reached the maximum value at the corner; when b/h was larger than 4, the stress upon rock surrounding the roadway increased sharply from both the two sides and the roof near the corner of the roadway towards its angular point, and then reached the maximum value, and most of the roadway roof remained in a stable range; when b/h was equal to 1, stress values in the side wall centers were 0.67 P0, the stress value in the roof center was 0.67 P0, and the stress value at the angular point was 6 P0, 8.96 times the value in the side wall center and 8.96 times the value in the roof center; then, when b/h was equal to 4, stress values in the side wall centers were 1.74 P0, the stress value in the roof center was 0.29 P0, and the stress value at the angular point was 8.25 P0, 4.74 times of the value at the side wall center and 28.44 times of the value in the roof center; it can be seen that with the increase in aspect ratio, the smaller the tangential stress upon the roadway roof, the larger the tangential stresses upon both side walls, and the smaller its difference from the maximum stress upon the angular point.
The stress on surrounding rock at the roadway corner varies significantly, and the stress distributions along the roof, the base plate and the two side walls of the roadway are relatively flat. The stresses upon both side walls of the roadway increase with the increase in aspect ratio while the stress upon the roof is the opposite situation. The increase in side-pressure coefficient has a particularly prominent influence on side walls of the roadway, and the pressure of surrounding rock will accumulate in the roadway corner. The larger the aspect ratio, the flatter the stress transition on both side walls, and the more intense the stress transition on the roof. The stress concentration at the roadway corner was more obvious when b/h was larger than 4, and shear failure was more likely to break out in this case, resulting in the roof caving and then instability in the surrounding rock of roadway. Therefore, when a roadway with super-large sections and a b/h larger than 4 is under construction, a reinforced support to the roadway corner will be necessary [41].
4.2. Influence of Side-Pressure Coefficient on Stress Distribution for Surrounding Rock in Rectangular Roadways
In order to study the laws on the influence of different side-pressure coefficients on the stress distribution in the surrounding rock of rectangular roadways, tangential stresses upon the roadway in those nine models were calculated when the vertical force was P0 and the acting points b/h were from 1 to 9. In Figure 7, tangential stress distribution curves are given of roadway surrounding rock under different side-pressure coefficients. Here, the curves of the stress distribution in the surrounding rock of rectangular roadways are displayed under five conditions, where the side-pressure coefficients λ were 0, 0.5, 1, 1.5 and 2, respectively.
Figure 7.
Tangential stress distribution curve of roadway surrounding rock under different side-pressure coefficients.
As shown in Figure 7, depicting the tangential stress distribution curves of roadway surrounding rock under different side-pressure coefficients, the stress on surrounding rock on the boundary varied relatively flatly along the two side walls and on the roof and the base plate, and the stress changed abruptly when it reached the roadway corner. When λ was equal to 0, the tensile stress in the roof center and the base plate center of the roadway changed mildly from 0.81 to 1.06 P0 with the aspect ratio; when λ was larger than 0.5 but smaller than 1, tensile stress appeared in the roof center of rectangular roadways. The λ value corresponding to tensile stress in the roof varied depending upon the roadway’s aspect ratio; when λ was smaller than 0.5, tensile stresses appeared in the roofs of rectangular roadways with different aspect ratios. From the perspective of roadway safety, a reinforced roof anchoring is necessary in this case so as to prevent the roof’s pulling failure and further bed separation breaking. When λ was equal to 1, the tangential stress on both side walls of the roadway increased by 6.3 times from 0.67 P0 to 4.23 P0 with the increase in the roadway’s aspect ratio from 1 to 9; tangential stresses on both the roof and base plate of the roadway decreased by 0.2 times from 0.67 P0 to 0.14 P0; when λ was equal to 1.5, compressive stress was present around the rectangular roadways; in this case, the surrounding rock’s modification and reinforcement can be achieved by grouting support, and we sprayed concrete on the two side walls so as to avoid the adduction of the two side walls due to shear failure from surrounding rock stress, and thus to safeguard the normal operation of the roadway [42]. When λ was equal to 2 and b/h was equal to 1, the two side walls were damaged by tensile stress; when b/h was larger than 1, compressive stress was present around the rectangular roadways; when λ was larger than 2, the tension damage could be resolved by increasing the aspect ratio of the roadway [32]. When the side-pressure coefficient λ was constant, the stresses upon both side walls increased with the increase in the aspect ratio, while the stresses upon the roof and base plate decreased with the increase in the aspect ratio; however, such changes in stress were mild.
In theory, the stress at the angular point should be infinite, while, in practice, circular arc transition must be adopted for the angular point; otherwise, a computation result will be impossible. According to the stress distribution at the corner, there is no obvious regular correlation between the maximum stress and aspect ratios. When an arbitrary value was assigned to the side-pressure coefficient λ, compressive stress concentration took place at all of the roadway corners. Therefore, corner support still deserves due attention.
4.3. Analysis on Safe Side-Pressure Coefficient Range for Roadway with Different Aspect Ratios
Due to the stress redistribution along surrounding rocks after roadway excavation, surrounding rocks on the two side walls bulge inward and trigger large deformation. An unsupported roof area exists before any support to surrounding rock in the roadway. The larger the unsupported roof span, the more susceptible the lower part of the roof will be to gravity stress, thus generating a downward tensile stress and triggering bed separation and cracking. The large space below broken stratum can cause the rock beam to break and collapse easily [43]. As the tensile strength of rock is generally 1/20 to 1/10 of its compressive strength, the roof of a roadway with super-large sections is extremely unstable under tensile stress and prone to roof caving and other similar disasters. Therefore, avoidance of tensile stress upon the surrounding rock surface of a roadway is a key factor to improve the stability in roadway surrounding rocks, and particular attention should be paid to preventing a fracture in the roadway roof center.
Threshold values λup and λdown, between which there is no tensile stress upon the roadway boundary, were calculated via Equation (23). When λ is larger than λup, tensile stresses take place on both side walls of the roadway; when λ is smaller than λdown, tensile stress takes place on the roof; when λ is larger than λup but smaller than λdown, compressive stresses take place on all roadway boundaries. According to Figure 8, as the roadway aspect ratio increased from 1 to 9, its λup increased from 1.823 to 5.865 and its λdown increased from 0.549 to 0.888. When these side-pressure coefficients of the environment where the roadway is located exceed these threshold values, tensile stress takes place on the roadway boundary, triggers tensile failure and thereby causes instability in a roadway with super-large sections.
Figure 8.
The limit side-pressure coefficient range where no tensile stress occurs at the roadway boundary.
It can be seen from Figure 8 that when λ is larger than 1.823, the aspect ratio increased by the side-pressure coefficient can improve the stress condition of surrounding rock and avoid side wall failure due to excessive horizontal stress. When λ is smaller than 0.888, a reduced aspect ratio can avoid the influence of tensile stress upon the roadway roof. These conclusions conform to the analysis results concerning the influence of the aspect ratio upon the stress distribution along surrounding rock, as given in Section 4.1 and Section 4.2 in this paper.
The limiting side-pressure fitting curve was obtained from Equations (24) and (25). As can be seen from the comparison in Table 3, both calculated results and fitting results in this paper are within the scope of the literature. Therefore, the range of side-pressure coefficient subject to no tensile stress can be calculated through the calculation method or the fitting formula in this paper during the actual excavation, and the results can serve as a theoretical reference for roadway design and surrounding rock stability analysis.
Table 3.
Calculation results of side-pressure coefficient range.
5. Numerical Simulation of Super-Large-Section Roadway Excavation
The driving face in the No. 210 mine roadway with super-large sections was taken as the engineering background for a 3D numerical simulation model, which was established as shown in Figure 9. FLAC3D 7.00 numerical simulation software was adopted to study both stress distribution laws and deformation and failure behaviors concerning the surrounding rock of unsupported rectangular roadways with super-large sections. In order to mitigate the influence of the boundary effect, the design model was 100 m in length along the strike, 100 m in dip length and 52.5 m in height. The model was divided into 450,200 units and 465,681 nodes. The Mohr–Coulomb constitutive model was adopted for the stratum, and its parameters were assigned according to the values given in Table 4. The roadway had a buried depth of 200 m, its bulk density γ was 25 KN/m3, and both the perimeter and bottom of the model were subject to fixed constraints. In light of the requirement for calculation accuracy, mesh encryption was applied upon surrounding rock near the excavation zone of coal pillars between coalfaces.
Figure 9.
Numerical simulation of three-dimensional model.
Table 4.
Mechanical parameters of coal and rock.
5.1. Influence of Aspect Ratios on Deformation and Failure of Surrounding Rock in Rectangular Roadways with Super-Large Sections
In order to study the influence of the width of the roadway with super-large sections upon the deformation and failure of surrounding rock, four groups of models were designed with their roadway widths as 15 m, 20 m, 25 m and 30 m; the height as 2.5 m; the side-pressure coefficient λ as 1; and the buried depth as 200 m. The numerical simulation results were as follows: With different aspect ratios, the perpendicular stress field cloud map concerning the surrounding rock of excavated roadways was generated, as shown in Figure 10. Moreover, the displacement degrees were measured, as shown in Figure 11 and Figure 12. Finally, the plastic zones were charted, as shown in Figure 13.
Figure 10.
The stress cloud diagram of roadway surrounding rock under different roadway widths. The blank part is the excavated super-large section roadway.
Figure 11.
Deformation of roadway roof and floor under different roadway widths.
Figure 12.
Deformation of two sides of roadway under different roadway widths.
Figure 13.
Distribution map of plastic zone of roadway surrounding rock under different roadway widths.
After roadway is excavated, the perpendicular stress surrounding the driving face is redistributed and a large stress concentration takes place on the side walls of the roadway. As there are different roadway widths, the perpendicular stress upon the side walls of the roadway increases first, then decreases and eventually tends to stabilize. When roadway widths were 15 m, 20 m, 25 m and 30 m, the values of the maximum stress upon the two side walls were 7.14 MPa, 7.77 MPa, 8.32 MPa and 8.61 MPa, respectively, and the stress concentration coefficients were 1.43, 1.55, 1.66 and 1.72, respectively. The larger the roadway width, the greater the vertical stress upon both side walls of the roadway. Moreover, low-stress areas will be generated on the roadway’s roof and base plate. As the roadway width increases, the overhanging roof length increases, the roof becomes even more susceptible to bed separation and roof caving and a low-stress area also develops on the roof accordingly. The low-stress area on the roof changes from a pressure-bearing status to a tensile-force-bearing status from far to near; tensile stress is generated in the part close to the roadway surface, resulting in a fracture in the roadway roof. The tensile stress upon the roadway roof increases with the increase in roadway sections, and it thereby intensifies the instability in the roof.
It can be seen from Figure 11 and Figure 12 that, when the roadway widths were 15 m, 20 m, 25 m and 30 m, the maximum deformation degrees in the roadway roof were 61.37 mm, 82.50 mm, 109.34 mm and 152.59 mm, respectively; the maximum deformation degrees in the roadway base plate were 19.89 mm, 24.74 mm, 31.08 mm and 38.17 mm, respectively; and the maximum deformation degrees in the two side walls of the roadway were 238.98 mm, 258.71 mm, 281.07 mm and 306.14 mm, respectively. As the roadway width increases, the deformation quantities in the roof, base plate and two side walls of the roadway also increase. With the roadway width increasing from 15 m to 30 m, the deformation quantities in the two side walls of the roadway increased by 28.10%, and in the roof and base plate of the roadway, they increased by 134.75%, respectively. These results show that the roadway width has a greater influence upon the deformation in both the roof and base plate than that in the two side walls of the roadway.
It can be seen from Figure 13 that, when the roadway widths were 15 m, 20 m, 25 m and 30 m, the maximum ranges of the plastic zone were 7 m, 8.5 m, 10 m and 14 m, respectively; as the roadway width increased from 15 m to 30 m, the maximum range of the plastic zone expanded by two times. The roadway surrounding rocks were mainly subject to shear failure, and there was a zone of mixed tensile and shear failures on the roadway boundary. When the roadway width was larger than 25 m, the plastic failure broke through the roof and developed into surrounding rocks. When the roadway width was 30 m, the plastic zone penetrated the hard stratum in the roof and then reached the upper mud stone, causing a damage range much larger than that with a roadway width ranging from 15 m to 25 m. These results indicate that the wider the roadway, the more serious the plastic failure in the roof and the harder the corresponding control measures.
5.2. Influence of Side-Pressure Coefficient on Deformation and Failure Surrounding Rock in Rectangular Roadways with Super-Large Sections
In order to study the influence of the side-pressure coefficient of a roadway with super-large sections upon the deformation and failure in its surrounding rocks, four groups of models were designed with their side-pressure coefficient λ as 0.5, 1, 1.5 and 2. The width was 20 m, the height was 20 m and buried depth was 200 m. The numerical simulation results were as follows: With different side-pressure coefficients, the perpendicular stress field cloud map concerning surrounding rock of the excavation roadway was generated, as shown in Figure 14. Furthermore, the displacement degrees were calculated, as shown in Figure 15 and Figure 16. Lastly, the plastic zones were charted, as shown in Figure 17.
Figure 14.
Stress cloud diagram of roadway surrounding rock under different lateral-pressure coefficients. The blank part is the excavated super-large section roadway.
Figure 15.
Deformation of roadway roof and floor under different lateral-pressure coefficients.
Figure 16.
Deformation of two sides of roadway under different lateral-pressure coefficients.
Figure 17.
Distribution of plastic zone of roadway surrounding rock under different lateral-pressure coefficients.
It can be seen from Figure 14 that, when the side-pressure coefficients λ were 0.5, 1, 1.5 and 2, the values of the maximum stress upon the two side walls were 7.76 MPa, 7.77 MPa, 7.37 MPa and 6.94 MPa, respectively, and the stress concentration coefficients were 1.55, 1.55, 1.47 and 1.39, respectively. The larger the side-pressure coefficient, the smaller the value of the maximum vertical stress upon the two side walls of the roadway, and the farther the distance between the maximum stress concentration point and the side walls of the roadway. For the roadway roof, the greater the side-pressure coefficient, the smaller the tensile stress upon its surface, and the greater the compressive stress upon its surface. When λ was equal to 0.5, the maximum tensile stress upon the roadway was 172.39 KPa; and when λ was equal to 2, the maximum tensile stress upon the roadway was 78.44 KPa. It can thus be seen that, with an increase in side-pressure coefficient, the perpendicular stress on both side walls of the roadway decreases as a whole, and that roadway roof is subject to both compressive stress from the overlying stratum and tensile stress from its own weight, and, therefore, is more susceptible to bed separation and fracture.
It can be seen from Figure 15 and Figure 16 that, when the side-pressure coefficients λ were 0.5, 1, 1.5 and 2, the maximum deformation quantities in the roadway roof were 92.64 mm, 82.50 mm, 102.43 mm and 144.94 mm, respectively; the maximum deformation quantities in the roadway base plate were 22.37 mm, 24.74 mm, 42.96 mm and 74.13 mm, respectively; and the maximum deformation quantities in the two side walls of the roadway were 169.73 mm, 258.71 mm, 471.84 mm and 801.58 mm, respectively. As the side-pressure coefficient increased, the deformation quantities in the roof, base plate and two side walls of the roadway increased accordingly; moreover, the deformation quantities in the two side walls were greater than those in the roof and base plate of the roadway. Upon the side-pressure coefficient increasing from 0.5 to 2, the deformation quantities in the two side walls of the roadway increased by 90.48%, and those in the roof and base plate of the roadway increased by 372.27%, respectively. The increasing range of deformation quantities in both the roof and base plate was much greater than that of deformation quantities in the two side walls. In this regard, synergistic support by an anchor bolt/cable whose elongation can adapt to large deformation without failure can be employed to restrict roof deformation in a roadway with super-large sections so as to avoid roof caving.
It can be seen from Figure 17 that when the side-pressure coefficients λ were 0.5, 1, 1.5 and 2, the maximum ranges of the plastic zone were 19.5 m, 8.5 m, 11.5 m and 15 m, respectively; the widths of the plastic zone on the roadway side walls were 1.5 m, 1.5 m, 2 m and 2.5 m, respectively. When the side-pressure coefficient increased from 0.5 to 1, the plastic zone changed from a “butterfly-like” shape to an “oval” shape; when the side-pressure coefficient increased from 1 to 2, the plastic zone gradually changed from an “oval” shape to a “butterfly-like” shape. With the increase in side-pressure coefficient, the tensile and shear failure zones on the two side walls of the roadway increased. When λ was equal to 0.5, both the roof and base plate of the roadway were mainly subject to tensile failure, and the tensile stresses upon both the roof and base plate of the roadway were also the largest; the roof was more subject to tensile–shear-mixed failure, while shear failure was still dominant in the deep surrounding rock. When λ was equal to 1, the plastic failure range of the surrounding rock of the roadway was the smallest. At this moment, surrounding rock deformation is more controllable, and surrounding rock stability is more guaranteed. When λ was larger than 1, the plastic zone on both the roof and base plate of the roadway expanded malignantly and became uncontrollable. The surrounding rock stress field and side-pressure coefficient can be regulated by pressure relief and other methods alike so that the side-pressure coefficient can be controlled at around 1 and roadway stability can be maintained.
6. Discussion and Conclusions
6.1. Discussion
From the above research, it can be seen that a key aspect of using the complex variable function method to solve the underground rock stress problem is to accurately determine the mapping function of the plane around the hole, because it directly affects the accuracy of the solution results. The accuracy of the mapping function can be effectively improved by increasing the number of conformal transformation terms. When compared with the three functions in the traditional rectangular roadway complex function method, the four functions adopted in this paper have a higher mapping accuracy for roadways with larger aspect ratios, and the shape of the mapping is almost the same as the actual situation. This accuracy can better show the stress distribution characteristics and stress concentration of roadway surrounding rock with a large aspect ratio.
The complex variable function method provides a robust and mathematically rigorous method for solving the stress field in underground mining design, but it is not devoid of limitations. Firstly, the application of complex variable function theory necessitates simplifications in both the calculation model and boundary conditions. In this study, given the uniformity and integrity of the rock mass, it has been treated as a homogeneous elastic material. Nevertheless, in certain underground engineering practices, geological conditions can be intricate and varied—such as faults, inclined strata and layered roofs. Under these circumstances, when dealing with heterogeneous rock masses or those containing defects, such simplifications become evidently untenable. In such cases, relying solely on numerical simulations proves challenging. Therefore, supplementary analyses through similar simulation or field observations may be conducted to more effectively address issues encountered in practical engineering applications.
6.2. Conclusions
This paper provides a theoretical basis for the excavation of a super-large cross-section roadway in the integration of ‘excavation–filling–retention’ for interface coal pillars. Based on the theory of the complex variable function, the stress distribution law of surrounding rock during the excavation of super-large cross-section roadway was analyzed, and numerical simulation software was used for a supplementary analysis and verification. The maximum range of the plastic zone and the deformation and failure characteristics of surrounding rock during the excavation of a super-large cross-section roadway were obtained, which is of great significance to the implementation of surrounding rock control for a super-large cross-section roadway. According to the above analysis, the following main conclusions can be drawn:
- (1)
- When the side-pressure coefficient remains unchanged, with an increase in aspect ratio, there is greater stress upon the two side walls of the roadway, and less stress upon the roadway roof; moreover, with that increase in aspect ratio, the numerical transition in roadway stress upon the side walls flattens, while the such transition in its roof becomes more intense; when the roadway aspect ratio is larger than 4, more than 70% of the roof area will be subject to a weaker stress.
- (2)
- When the roadway aspect ratio remains unchanged, there are two side-pressure coefficient threshold values λup and λdown between which all stresses upon the surrounding rock of the roadway are compressive stresses. As the aspect ratio of the roadway increased from 1 to 9, its λup increased from 1.823 to 5.865 and its λdown increased from 0.549 to 0.888. When those side-pressure coefficients in the environment where the roadway is located exceed their critical values, tensile stress will take place on the roadway boundary and result in tensile failure, thus leading to instability in the roadway super-large sections.
- (3)
- By means of numerical simulation, the elastic solution law in theoretical calculation was verified by the Mohr–Coulomb constitutive method. Accordingly, with the increase in the aspect ratio of the roadway, these compressive stresses upon both sides of the roadway increase, and so do these tensile stresses upon both the roof and base plate of the roadway; with the increase in the side-pressure coefficient of the roadway, these stresses upon both sides of the roadway decrease, and these compressive stresses upon both the roof and base plate increase, while the tensile stresses upon both the roof and base plate decrease; the roadway is more vulnerable to failure accordingly. It can thus be seen that laws drawn from elastic solutions apply to the elastic–plastic model as well, and therefore can create a theoretical basis for surrounding rock control in coal mining engineering and lay a theoretical foundation for the excavation of roadways with super-large sections.
- (4)
- The impact of the side-pressure coefficient upon the plastic zone range of roadway surrounding rock is greater than the impact of the roadway width. In order to ensure stability in the surrounding rock of a roadway with super-large sections during its excavation process, the side-pressure coefficient should remain around 1; in this situation, the plastic zone covers the smallest range and takes an approximate “elliptical” shape, and the relevant support work is the easiest. When the roadway width exceeds 25 m, the plastic zone on the roadway roof will see malignant expansion, and difficulty in support will increase intensely, rendering all effective support impossible; when the roadway width is less than 25 m, the roof can be controlled by a lengthened anchor cable and highly extended anchor bolt.
Author Contributions
This article is presented by the seven authors mentioned, each of whom were responsible for various aspects of the work. Conceptualization, B.Z. and H.C.; methodology, B.Z. and H.C.; software, H.C., J.W. (Jingbin Wang) and Y.T.; validation, H.C., R.W. and Z.Y.; writing—original draft preparation, B.Z. and H.C.; writing—review and editing, B.Z., H.C., J.W. (Jingbin Wang), R.W., Z.Y., J.W. (Jie Wen) and Y.T.; supervision, H.C. and J.W. (Jie Wen); project administration, B.Z.; funding acquisition, B.Z. All authors have read and agreed to the published version of the manuscript.
Funding
This research was supported by the (1) National Natural Science Foundation of China (No. 52074208), and the (2) ‘Two Chains’ Integration Key Projects—Joint Key Projects of Enterprise Institutes—Industrial Field Program (No. 2023-LL-QY-02).
Institutional Review Board Statement
Not applicable.
Informed Consent Statement
Not applicable.
Data Availability Statement
The original contributions presented in the study are included in the article, further inquiries can be directed to the corresponding authors.
Conflicts of Interest
The authors declare no conflicts of interest.
References
- Wang, S.; Liu, L.; Zhu, M.; Shen, Y.; Shi, Q.; Sun, Q.; Fang, Z.; Ruan, S.; He, W.; Yang, P.; et al. New way for green and low-carbon development of coal under the target of “double carbon”. J. China Coal Soc. 2024, 49, 152–171. (In Chinese) [Google Scholar]
- Xie, S.; Zhang, G.; He, S.; Sun, Y.; Li, E.; Yang, L.; Xie, G. Surrounding rock control mechanism and its application of gob-side retaining entry indeep backfilling with large mining height. J. China Coal Soc. 2014, 39, 2362–2368. (In Chinese) [Google Scholar]
- He, M. Theory and engineering practice for non-pillars mining with automagical entry formation and 110 mining method. J. Min. Saf. Eng. 2023, 40, 869–881. (In Chinese) [Google Scholar]
- Wang, Y.; He, M.; Wang, Q.; Yang, J.; Wang, J.; Liu, H.; Chen, F. Design of equipment system and surrounding rock control for N00 mining method without coal pillar left and roadway excavation. J. China Coal Soc. 2022, 47, 4011–4022. (In Chinese) [Google Scholar]
- Qi, H.; Zhang, N.; Li, J.; Zheng, Z.; Zhu, L.; Guan, Z. Research on scientific mining model of “short-wall filling & long-wall mining” in coal mines. Coal Sci. Technol. 2019, 47, 1–11. (In Chinese) [Google Scholar]
- Qi, H.; Ma, S.; Zheng, Z.; Feng, X.; . Cai, F.; Qian, K. Research on the technological transformation of underground coal mine and concrete practice of China National Coal Group. China Coal 2023, 49, 80–86. (In Chinese) [Google Scholar]
- Guo, W.; Jiang, N.; Wang, H.; Chen, S. Bearing characteristics of filling body and supporting intensity of working face during coal pillar mined with paste backfill. J. Min. Saf. Eng. 2016, 33, 585–591. (In Chinese) [Google Scholar]
- Wang, S.; Liu, L.; Zhu, M.; Wei, B.; Zhuang, D.; Qu, H.; He, W.; Shao, C.; Xia, L.; Zhou, J. Scientific problems and technology of the integration of “excavation-backfill-retention” of section coal pillar and mining roadway. J. China Coal Soc. 2024, 49, 3291–3315. (In Chinese) [Google Scholar] [CrossRef]
- Muskhelishvili, N. Some Basic Problems of the Mathematical Theory of Elasticity; Noordhoof Ltd.: Groningen, The Netherlands, 1954. [Google Scholar]
- Gercek, H. An elastic solution for stresses around tunnels with conventional shapes. Int. J. Rock Mech. Min. Sci. 1997, 34, 96. [Google Scholar] [CrossRef]
- Exadaktylos, G.E.; Stavropoulou, M.C. A closed-form elastic solution for stresses and displacements around tunnels. Int. J. Rock Mech. Min. Sci. 2002, 39, 905–916. [Google Scholar] [CrossRef]
- Batista, M. On the stress concentration around a hole in an infinite plate subject to a uniform load at infinity. Int. J. Mech. Sci. 2011, 53, 254–261. [Google Scholar] [CrossRef]
- Yu, I.; Sendeckyj, G. Multiple Circular Inclusion Problems in Plane Elastostatics. Appl. Mech. 1974, 41, 215–221. [Google Scholar] [CrossRef]
- Ukadgaonker, V. Stress analysis of a plate containing two circular holes having tangential stresses. AIAA J. 1980, 18, 125–128. [Google Scholar] [CrossRef]
- Tan, L.; Peng, H.; Si, X.; Lin, Q. Investigation of the Application of Complex Function Theory in Underground Mine Design: A Case Study. Appl. Sci. 2023, 13, 12142. [Google Scholar] [CrossRef]
- Luo, A.; Zhuo, L.; Liu, H.; Xie, H.; Xu, N.; Xiao, M.; Shuai, Y. Complex function method considering rock strength for determining critical warning deformation of deep-buried complex cavern. Tunn. Undergr. Space Technol. 2024, 152, 105934. [Google Scholar] [CrossRef]
- Kargar, A.; Rahmannejad, R.; Hajabasi, M.A. A semi-analytical elastic solution for stress field of lined non-circular tunnels at great depth using complex variable method. Int. J. Solids Struct. 2014, 51, 1475–1482. [Google Scholar] [CrossRef]
- Zhao, G.; Yang, S. Analytical solutions for rock stress around square tunnels using complex variable theory. Rock Mech. Min. Sci. 2015, 80, 302–307. [Google Scholar] [CrossRef]
- Kargar, A.; Haghgouei, H. An analytical solution for time-dependent stress field of lined circular tunnels using complex potential functions in a stepwise procedure. Appl. Math. Model. 2020, 77, 1625–1642. [Google Scholar] [CrossRef]
- Fang, H.; Zhang, D.; Fang, Q.; Wen, M. A generalized complex variable method for multiple tunnels at great depth considering the interaction between linings and surrounding rock. Comput. Geotech. 2021, 129, 103891. [Google Scholar] [CrossRef]
- Kong, F.; Lu, D.; Du, X.; Li, X.; Su, C. Analytical solution of stress and displacement for a circular underwater shallow tunnel based on a unified stress function. Ocean Eng. 2021, 219, 108352. [Google Scholar] [CrossRef]
- Xu, Z. Elasticity; Higher Education Press: Beijing, China, 2016. [Google Scholar]
- Delillo, T.K.; Elcrat, A.R.; Pfalzgraff, J.A. Numerical conformal mapping methods based on Faber series. J. Comput. Appl. Math. 1997, 83, 205–236. [Google Scholar] [CrossRef][Green Version]
- Shi, G.; Zhu, J.; Li, B.; Yang, J. Elastic analysis of hole-edge stress of rectangular roadway. Rock Soil Mech. 2014, 35, 2587–2593. (In Chinese) [Google Scholar]
- Shi, G.; Zhu, J.; Yang, J. Analytical Stress Solutions Around Tunnels with Arbitrary-Excavation Cross Sections Based on Conformal Mapping from a Unit Circle to the Tunnel Exterior. Appl. Math. Mech. 2020, 41, 541–556. (In Chinese) [Google Scholar]
- Wan, S. Research on Collapse Mechanism and Surrounding Rock Control of Large-Span Roadway in Deep. Ph.D. Thesis, China University of Mining and Technology, Xuzhou, China, 2011. [Google Scholar]
- Xiong, X.; Dai, J.; Chen, X.; Ouyang, Y. Complex function solution for deformation and failure mechanism of inclined coal seam roadway. Sci. Rep. 2022, 12, 7147. [Google Scholar] [CrossRef]
- Zan, C.; Zhang, G.; Shi, H.; Shi, J.; Yuan, Y.; Jiang, X.; He, X.; Hao, H.; Ding, W. Distribution law and case analysis of surrounding rock stress in rectangular roadway. Coal Sci. Technol. 2022, 50, 112–118. (In Chinese) [Google Scholar]
- Yang, N.; Zhao, M.; Huang, Y. Stress distribution and support optimization of the surrounding rock of deep rectangular roadways. J. Min. Strat. Control. Eng. 2023, 5, 43–52. (In Chinese) [Google Scholar]
- Ren, Z.; Lyu, M.; Wang, S. Surrounding stress distribution and support design of large cross-section hexagonal roadways. J. Min. Strat. Control. Eng. 2023, 5, 28–42. (In Chinese) [Google Scholar]
- Zuo, J.; Wen, J.; Liu, D.; Wu, L.; Sun, Y. Control theory of uniform strength support in deep roadway. J. Min. Sci. Technol. 2021, 6, 148–159. (In Chinese) [Google Scholar]
- Li, L.; Li, S.; Zhao, Y.; Wang, H.; Liu, Q.; Yuan, X.; Zhao, Y.; Zhang, Q. Special deformation mechanism and load release evolution law of surrounding rock during construction of super-large section tunnel with soft broken surrounding rock masses. Chin. J. Rock Mech. Eng. 2012, 31, 2109–2118. (In Chinese) [Google Scholar]
- Wang, H.; Chen, M.; Zhang, X. Twenty years development and prospect of rapid coal mine roadway excavation in China. J. China Coal Soc. 2024, 49, 1199–1213. (In Chinese) [Google Scholar]
- Kang, H.; Xu, G.; Wang, B.; Wu, Y.; Jiang, P.; Pan, J.; Ren, H.; Zhang, Y.; Pang, Y. Forty years development and prospects of underground coal mining and strata control technologies in China. J. Min. Strat. Control. Eng. 2019, 1, 7–39. (In Chinese) [Google Scholar]
- Kang, H. Seventy years development and prospects of strata control technology for coal mine roadways in China. Chin. J. Rock Mech. Eng. 2021, 40, 1–30. (In Chinese) [Google Scholar]
- Zhao, B.; Chen, P.; Zhai, D.; Zhang, J.; Wei, Q. Influence of particle gradation and timeliness on rheological properties of filling slurry. Saf. Coal Mines. 2023, 54, 117–127. (In Chinese) [Google Scholar]
- Zhao, B.; Zhai, D.; Chen, P.; Wei, Q.; Wang, R. Damage evolution law and crack expansion characteristics of gangue cemented backfill. J. Xi’an Univ. Sci. Technol. 2023, 43, 18–27. (In Chinese) [Google Scholar]
- Wang, H.; Zhang, D.; Wang, X.; Zhang, S.; Cheng, J. Study on bolt–mesh–anchor support technology of open-off cut with compound roof and large cross section. Coal Sci. Technol. 2018, 46, 105–109. (In Chinese) [Google Scholar]
- Luo, W.; Huang, Q.; Fan, D.; Chen, S.; Du, J.; Wang, S.; Wang, Q.; Wang, W.; Guo, Q. Active forepoling of transportation roadway in shallow buried fully- mechanized mining face. J. Min. Strat. Control. Eng. 2024, 6, 9–21. (In Chinese) [Google Scholar]
- Kang, H. Spatial scale analysis on coal mining and strata control technologies. J. Min. Strat. Control. Eng. 2020, 2, 5–30. (In Chinese) [Google Scholar]
- Zhao, G.; Liu, Z.; Meng, X.; Qing, Z. Characteristics of aging damage and deterioration of surrounding rock of deep straight wall and semi-circular arch roadway and dynamic reinforcement technology. J. Min. Strat. Control. Eng. 2024, 6, 65–79. (In Chinese) [Google Scholar]
- Zhang, M.; Lyu, G.; He, Z.; Liu, J.; Jiao, Y.; Luo, D. Study of design and construction technology of ultra-large-span tunnel at Badaling Great Wall Station. Tunn. Constr. 2018, 38, 372–381. [Google Scholar]
- Song, Z.; Wen, Z.; Jiang, Y.; Jiang, J.; Shi, Y. The theory and application of mining mechanics and strata control. J. China Coal Soc. 2024, 49, 16–35. (In Chinese) [Google Scholar]
Disclaimer/Publisher’s Note: The statements, opinions and data contained in all publications are solely those of the individual author(s) and contributor(s) and not of MDPI and/or the editor(s). MDPI and/or the editor(s) disclaim responsibility for any injury to people or property resulting from any ideas, methods, instructions or products referred to in the content. |
© 2024 by the authors. Licensee MDPI, Basel, Switzerland. This article is an open access article distributed under the terms and conditions of the Creative Commons Attribution (CC BY) license (https://creativecommons.org/licenses/by/4.0/).