Dynamic Link Prediction in Jujube Sales Market: Innovative Application of Heterogeneous Graph Neural Networks
Abstract
1. Introduction
- We propose a groundbreaking GNN-based model called HMAGNN. This model is designed to seamlessly integrate node attribution and graph structural information. By embedding the unique structural features and utilizing a multi-head mechanism to assign diverse weights to sales characteristics, it achieves dynamic link prediction. HMAGNN represents a novel advancement in leveraging both node features and structural information for enhanced link prediction within the jujube sales market.
- Taking into account the crucial structural information in links, we introduce an enhanced node labeling method, building upon the classical Weisfeiler–Lehman (WL) algorithm. By refining the node labeling process, we significantly improve the efficiency of capturing the influence of predicted nodes on their surrounding neighbor nodes. This advancement is crucial in accurately characterizing the complex relationships within the Xinjiang jujube sales market.
- Our study includes extensive experiments conducted on diverse and complex datasets, showcasing the robustness and versatility of our proposed approach. Furthermore, we undertake practical validation specifically on the Xinjiang jujube dataset. This empirical validation not only solidifies the theoretical foundation of our approach but also demonstrates its effectiveness in addressing the unique challenges posed by the Xinjiang jujube sales market.
2. Materials and Methods
2.1. Related Works
2.2. Preliminaries
2.2.1. Heterogeneous Nodes Transformation
2.2.2. Node Labeling
2.2.3. Model
3. Results
3.1. Datasets
3.2. Baselines
3.3. Experimental Details
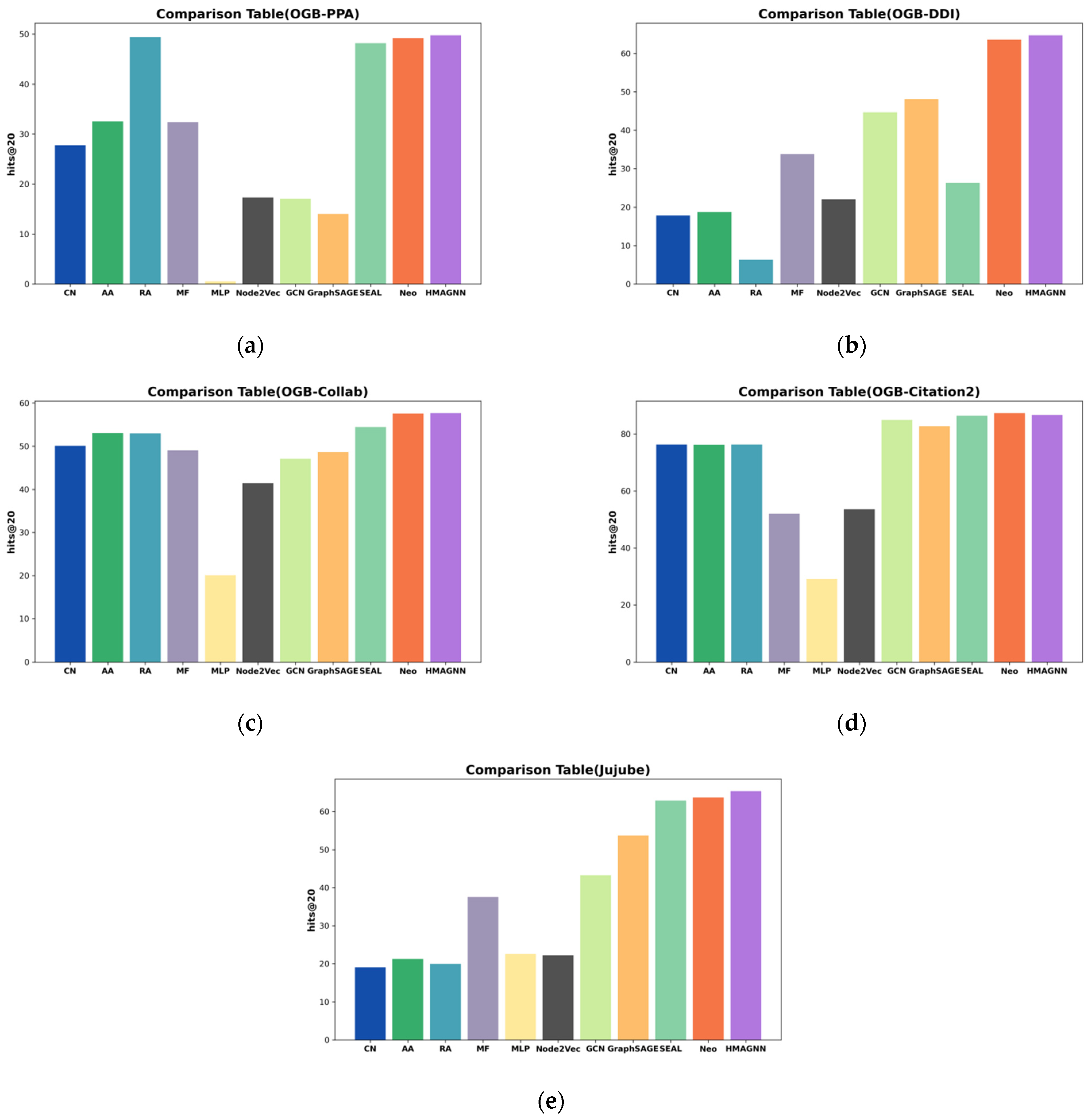
3.4. Results on Link Prediction
3.5. Ablation Studies and Experimental Sensitivity Analysis
4. Conclusions
Author Contributions
Funding
Institutional Review Board Statement
Informed Consent Statement
Data Availability Statement
Conflicts of Interest
References
- Bačiulienė, V.; Bilan, Y.; Navickas, V.; Civín, L. The Aspects of Artificial Intelligence in Different Phases of the Food Value and Supply Chain. Foods 2023, 12, 1654. [Google Scholar] [CrossRef] [PubMed]
- Song, H.; Ge, W.; Gao, P.; Xu, W. A Novel Blockchain-Enabled Supply-Chain Management Framework for Xinjiang Jujube: Research on Optimized Blockchain Considering Private Transactions. Foods 2023, 12, 587. [Google Scholar] [CrossRef] [PubMed]
- Zhong, Q.; Zhang, H.; Tang, S.; Li, P.; Lin, C.; Zhang, L.; Zhong, N. Feasibility Study of Combining Hyperspectral Imaging with Deep Learning for Chestnut-Quality Detection. Foods 2023, 12, 2089. [Google Scholar] [CrossRef] [PubMed]
- Ye, K.; Piao, Y.; Zhao, K.; Cui, X. A Heterogeneous Graph Enhanced LSTM Network for Hog Price Prediction Using Online Discussion. Agriculture 2021, 11, 359. [Google Scholar] [CrossRef]
- Ekambaram, V.; Manglik, K.; Mukherjee, S.; Sajja, S.S.K.; Dwivedi, S.; Raykar, V. Attention based Multi-Modal New Product Sales Time-series Forecasting. In Proceedings of the 26th ACM SIGKDD International Conference on Knowledge Discovery & Data Mining, Virtual, 6–10 July 2020; pp. 3110–3118. [Google Scholar]
- Qiu, J.; Tang, J.; Ma, H.; Dong, Y.; Wang, K.; Tang, J. DeepInf: Social Influence Prediction with Deep Learning. In Proceedings of the 24th ACM SIGKDD International Conference on Knowledge Discovery & Data Mining, London, UK, 19–23 August 2018; pp. 2110–2119. [Google Scholar]
- Liu, Z.; Chen, C.; Yang, X.; Zhou, J.; Li, X.; Song, L. Heterogeneous Graph Neural Networks for Malicious Account Detection. In Proceedings of the 27th ACM International Conference on Information and Knowledge Management, Torino, Italy, 22–26 October 2018; pp. 2077–2085. [Google Scholar]
- Fu, X.; Zhang, J.; Meng, Z.; King, I. MAGNN: Metapath Aggregated Graph Neural Network for Heterogeneous Graph Embedding. In Proceedings of the Web Conference 2020, Taipei, Taiwan, 20–24 April 2020; pp. 2331–2341. [Google Scholar]
- Duvenaud, D.; Maclaurin, D.; Aguilera-Iparraguirre, J.; Gómez-Bombarelli, R.; Hirzel, T.; Aspuru-Guzik, A.; Adams, R.P. Convolutional networks on graphs for learning molecular fingerprints. In Proceedings of the 28th International Conference on Neural Information Processing Systems—Volume 2, Montreal, QC, Canada, 7–12 December 2015; pp. 2224–2232. [Google Scholar]
- Fout, A.; Byrd, J.; Shariat, B.; Ben-Hur, A. Protein interface prediction using graph convolutional networks. In Proceedings of the 31st International Conference on Neural Information Processing Systems, Long Beach, CA, USA, 4–9 December 2017; pp. 6533–6542. [Google Scholar]
- Wu, S.; Sun, F.; Zhang, W.; Xie, X.; Cui, B. Graph neural networks in recommender systems: A survey. ACM Comput. Surv. 2022, 55, 1–37. [Google Scholar] [CrossRef]
- Wang, H.; Zhao, M.; Xie, X.; Li, W.; Guo, M. Knowledge graph convolutional networks for recommender systems. In Proceedings of the World Wide Web Conference, San Francisco, CA, USA, 13–17 May 2019; pp. 3307–3313. [Google Scholar]
- Hamilton, W.; Ying, Z.; Leskovec, J. Inductive representation learning on large graphs. In Proceedings of the 31st International Conference on Neural Information Processing Systems, Red Hook, NY, USA, 4–9 December 2017; pp. 1025–1035. [Google Scholar]
- Kang, C.; Zhang, H.; Liu, Z.; Huang, S.; Yin, Y. LR-GNN: A graph neural network based on link representation for predicting molecular associations. Brief. Bioinform. 2022, 23, 1. [Google Scholar] [CrossRef]
- Schütt, K.; Kindermans, P.-J.; Sauceda Felix, H.E.; Chmiela, S.; Tkatchenko, A.; Müller, K.-R. Schnet: A continuous-filter convolutional neural network for modeling quantum interactions. In Proceedings of the 31st International Conference on Neural Information Processing Systems, Long Beach, CA, USA, 4–9 December 2017; pp. 992–1002. [Google Scholar]
- Ok, S. A graph similarity for deep learning. In Proceedings of the 34th International Conference on Neural Information Processing Systems, Vancouver, BC, Canada, 6–12 December 2020; pp. 1–12. [Google Scholar]
- Zhang, M.; Cui, Z.; Neumann, M.; Chen, Y. An end-to-end deep learning architecture for graph classification. In Proceedings of the Thirty-Second AAAI Conference on Artificial Intelligence and Thirtieth Innovative Applications of Artificial Intelligence Conference and Eighth AAAI Symposium on Educational Advances in Artificial Intelligence, New Orleans, LA, USA, 2–7 February 2018; p. 544. [Google Scholar]
- Kipf, T.N.; Welling, M. Semi-supervised classification with graph convolutional networks. In Proceedings of the 5th International Conference on Learning Representations, Toulon, France, 24–26 April 2017. [Google Scholar]
- Li, Y.; Tarlow, D.; Brockschmidt, M.; Zemel, R. Gated graph sequence neural networks. IEEE Trans. Signal Process. 2015, 68, 6303–6318. [Google Scholar]
- Huang, Z.; Tang, Y.; Chen, Y.J.K.-B.S. A graph neural network-based node classification model on class-imbalanced graph data. Knowl.-Based Syst. 2022, 244, 108538. [Google Scholar] [CrossRef]
- Yu, D.; Zhou, Y.; Zhang, S.; Li, W.; Small, M.; Shang, K.K. Information cascade prediction of complex networks based on physics-informed graph convolutional network. New J. Phys. 2024, 26, 013031. [Google Scholar] [CrossRef]
- Page, L.; Brin, S.; Motwani, R.; Winograd, T. The PageRank Citation Ranking: Bringing Order to the Web. In Proceedings of the Web Conference, Brisbane, Australia, 11 November 1999. [Google Scholar]
- Barabasi, A.; Albert, R. Emergence of scaling in random networks. Science 1999, 286, 509–512. [Google Scholar] [CrossRef]
- Zhou, T.; Lü, L.; Zhang, Y.-C. Predicting missing links via local information. Eur. Phys. J. B 2009, 71, 623–630. [Google Scholar] [CrossRef]
- Perozzi, B.; Al-Rfou, R.; Skiena, S. DeepWalk: Online learning of social representations. In Proceedings of the 20th ACM SIGKDD International Conference on Knowledge Discovery and Data Mining, New York, NY, USA, 24–27 August 2014; pp. 701–710. [Google Scholar]
- Qiu, J.; Dong, Y.; Ma, H.; Li, J.; Wang, K.; Tang, J. Network Embedding as Matrix Factorization: Unifying DeepWalk, LINE, PTE, and node2vec. In Proceedings of the Eleventh ACM International Conference on Web Search and Data Mining, Marina Del Rey, CA, USA, 5–9 February 2018; pp. 459–467. [Google Scholar]
- Zhang, M.; Chen, Y. Link prediction based on graph neural networks. In Proceedings of the 32nd International Conference on Neural Information Processing Systems, Montreal, QC, Canada, 3–8 December 2018; pp. 5171–5181. [Google Scholar]
- Teru, K.; Denis, E.; Hamilton, W. Inductive relation prediction by subgraph reasoning. In Proceedings of the International Conference on Machine Learning, Online, 13–18 July 2020; pp. 9448–9457. [Google Scholar]
- Niepert, M.; Ahmed, M.; Kutzkov, K. Learning convolutional neural networks for graphs. In Proceedings of the International Conference on Machine Learning, New York, NY, USA, 19–24 June 2016; pp. 2014–2023. [Google Scholar]
- Wu, Z.; Pan, S.; Chen, F.; Long, G.; Zhang, C.; Philip, S.Y. A comprehensive survey on graph neural networks. IEEE Trans. Neural Netw. Learn. Syst. 2020, 32, 4–24. [Google Scholar] [CrossRef] [PubMed]
- Scarselli, F.; Gori, M.; Tsoi, A.C.; Hagenbuchner, M.; Monfardini, G. The graph neural network model. IEEE Trans. Neural Netw. 2008, 20, 61–80. [Google Scholar] [CrossRef] [PubMed]
- Jiang, H.; Hu, H.; Zhong, R.; Xu, J.; Xu, J.; Huang, J.; Wang, S.; Ying, Y.; Lin, T. A deep learning approach to conflating heterogeneous geospatial data for corn yield estimation: A case study of the US Corn Belt at the county level. Glob. Chang. Biol. 2020, 26, 1754–1766. [Google Scholar] [CrossRef]
- Sanida, T.; Tsiktsiris, D.; Sideris, A.; Dasygenis, M. A heterogeneous implementation for plant disease identification using deep learning. Multimed. Tools Appl. 2022, 81, 15041–15059. [Google Scholar] [CrossRef]
- Zhang, C.; Song, D.; Huang, C.; Swami, A.; Chawla, N.V. Heterogeneous Graph Neural Network. In Proceedings of the 25th ACM SIGKDD International Conference on Knowledge Discovery & Data Mining, Anchorage, AK, USA, 4–8 August 2019; pp. 793–803. [Google Scholar]
- Nickel, M.; Murphy, K.; Tresp, V.; Gabrilovich, E. A review of relational machine learning for knowledge graphs. Proc. IEEE 2015, 104, 11–33. [Google Scholar] [CrossRef]
- Wang, X.; Ji, H.; Shi, C.; Wang, B.; Ye, Y.; Cui, P.; Yu, P.S. Heterogeneous Graph Attention Network. In Proceedings of the World Wide Web Conference, San Francisco, CA, USA, 13–17 May 2019; pp. 2022–2032. [Google Scholar]
- Yang, K.; Wang, N.; Liu, G.; Wang, R.; Yu, J.; Zhang, R.; Chen, J.; Zhou, X. Heterogeneous network embedding for identifying symptom candidate genes. J. Am. Med. Inform. Assoc. JAMIA 2018, 25, 1452–1459. [Google Scholar] [CrossRef]
- Kim, K.-M.; Kwak, D.; Kwak, H.; Park, Y.-J.; Sim, S.; Cho, J.-H.; Kim, M.; Kwon, J.; Sung, N.; Ha, J.-W. Tripartite heterogeneous graph propagation for large-scale social recommendation. In Proceedings of the 13th ACM Conference on Recommender Systems, Copenhagen, Denmark, 16–20 September 2019; pp. 56–60. [Google Scholar]
- Salamat, A.; Luo, X.; Jafari, A. HeteroGraphRec: A heterogeneous graph-based neural networks for social recommendations. Knowl.-Based Syst. 2021, 217, 106817. [Google Scholar] [CrossRef]
- Liben-Nowell, D.; Kleinberg, J. The link prediction problem for social networks. In Proceedings of the Twelfth International Conference on Information and Knowledge Management, New Orleans, LA USA, 3–8 November 2003; pp. 556–559. [Google Scholar]
- Katz, L.J.P. A new status index derived from sociometric analysis. Psychometrika 1953, 18, 39–43. [Google Scholar] [CrossRef]
- Brin, S.; Page, L. Reprint of: The anatomy of a large-scale hypertextual web search engine. Comput. Netw. 2012, 56, 3825–3833. [Google Scholar] [CrossRef]
- Jeh, G.; Widom, J. SimRank: A measure of structural-context similarity. In Proceedings of the Eighth ACM SIGKDD International Conference on Knowledge Discovery and Data Mining, Edmonton, AB, Canada, 23–26 July 2002; pp. 538–543. [Google Scholar]
- Lü, L.; Zhou, T. Link prediction in complex networks: A survey. Phys. A Stat. Mech. Its Appl. 2011, 390, 1150–1170. [Google Scholar] [CrossRef]
- Mikolov, T.; Chen, K.; Corrado, G.; Dean, J. Efficient estimation of word representations in vector space. In Proceedings of the 1st International Conference on Learning Representations, Scottsdale, AZ, USA, 2–4 May 2013. [Google Scholar]
- Yang, S.; Hu, B.; Zhang, Z.; Sun, W.; Wang, Y.; Zhou, J.; Shan, H.; Cao, Y.; Ye, B.; Fang, Y. Inductive link prediction with interactive structure learning on attributed graph. In Proceedings of the Machine Learning and Knowledge Discovery in Databases. Research Track: European Conference, ECML PKDD 2021, Bilbao, Spain, 13–17 September 2021; Proceedings, Part II 21. pp. 383–398. [Google Scholar]
- Adamic, L.A.; Adar, E. Friends and neighbors on the web. Soc. Netw. 2003, 25, 211–230. [Google Scholar] [CrossRef]
- Zhang, M.; Chen, Y. Weisfeiler-Lehman Neural Machine for Link Prediction. In Proceedings of the 23rd ACM SIGKDD International Conference on Knowledge Discovery and Data Mining, Halifax, NS, Canada, 13–17 August 2017; pp. 575–583. [Google Scholar]
- Yun, S.; Kim, S.; Lee, J.; Kang, J.; Kim, H. Neo-gnns: Neighborhood overlap-aware graph neural networks for link prediction. In Proceedings of the Advances in Neural Information Processing Systems 34, Online, 6–14 December 2021; pp. 13683–13694. [Google Scholar]







| OGB-PPA | OGB-DDI | OGB-Collab | OGB-Citation2 | Jujube | |
|---|---|---|---|---|---|
| Nodes | 576,289 | 4267 | 235,868 | 2,927,963 | 2118 |
| Edges | 30,326,273 | 1,334,889 | 1,285,465 | 30,561,187 | 43,417 |
| Features | 50 | 232 | 128 | 128 | 32 |
| Training | 403,402 | 3413 | 216,998 | 2,869,403 | 1624 |
| Validation | 115,258 | 427 | 9435 | 29,280 | 247 |
| Test | 57,629 | 427 | 9435 | 29,280 | 247 |
| Metric | Hits@100 | Hits@20 | Hits@100 | MRR | Hits@20 |
| PPA | DDI | Collab | Citation2 | Jujube | |
|---|---|---|---|---|---|
| CN | 27.65 ± 0.00 | 17.73 ± 0.00 | 50.06 ± 0.00 | 76.20 ± 0.00 | 18.97 ± 0.00 |
| AA | 32.45 ± 0.00 | 18.61 ± 0.00 | 53.00 ± 0.00 | 76.12 ± 0.00 | 21.19 ± 0.00 |
| RA | 49.33 ± 0.00 | 6.23 ± 0.00 | 52.89 ± 0.00 | 76.20 ± 0.00 | 19.88 ± 0.00 |
| MF | 32.29 ± 0.00 | 33.70 ± 0.03 | 48.96 ± 0.00 | 51.89 ± 0.04 | 37.46 ± 0.02 |
| MLP | 0.47 ± 0.05 | —— | 19.98 ± 0.96 | 28.99 ± 0.16 | 22.47 ± 0.11 |
| Node2Vec | 17.24 ± 0.76 | 21.95 ± 1.58 | 41.36 ± 0.69 | 53.47 ± 0.12 | 22.13 ± 0.86 |
| GCN | 16.98 ± 1.33 | 44.60 ± 8.87 | 47.01 ± 0.79 | 84.79 ± 0.24 | 43.17 ± 4.38 |
| GraphSAGE | 13.93 ± 2.38 | 48.01 ± 9.02 | 48.60 ± 0.46 | 82.62 ± 0.01 | 53.61 ± 5.46 |
| SEAL | 48.15 ± 4.17 | 26.25 ± 6.00 | 54.37 ± 0.02 | 86.32 ± 0.52 | 62.78 ± 0.43 |
| Neo | 49.13 ± 0.60 | 63.57 ± 3.52 | 57.52 ± 0.37 | 87.26 ± 0.84 | 63.61 ± 0.77 |
| HMAGNN | 49.72 ± 3.06 | 64.66 ± 7.74 | 57.63 ± 0.72 | 86.54 ± 0.34 | 65.28 ± 0.22 |
| α | HMAGNN (w/GCN) | HMAGNN (w/o GCN) | GCN | |
|---|---|---|---|---|
| PPA | 0.92 ± 0.012 | 49.72 ± 3.06 | 47.26 ± 0.56 | 16.98 ± 1.33 |
| COLLAB | 0.59 ± 0.015 | 57.63 ± 0.72 | 55.87 ± 0.41 | 47.01 ± 0.79 |
| DDI | 0.57 ± 0.024 | 64.66 ± 7.74 | 37.07 ± 3.05 | 44.60 ± 8.87 |
Disclaimer/Publisher’s Note: The statements, opinions and data contained in all publications are solely those of the individual author(s) and contributor(s) and not of MDPI and/or the editor(s). MDPI and/or the editor(s) disclaim responsibility for any injury to people or property resulting from any ideas, methods, instructions or products referred to in the content. |
© 2024 by the authors. Licensee MDPI, Basel, Switzerland. This article is an open access article distributed under the terms and conditions of the Creative Commons Attribution (CC BY) license (https://creativecommons.org/licenses/by/4.0/).
Share and Cite
Wu, Y.; Heng, L.; Tan, F.; Yang, J.; Guo, L. Dynamic Link Prediction in Jujube Sales Market: Innovative Application of Heterogeneous Graph Neural Networks. Appl. Sci. 2024, 14, 9333. https://doi.org/10.3390/app14209333
Wu Y, Heng L, Tan F, Yang J, Guo L. Dynamic Link Prediction in Jujube Sales Market: Innovative Application of Heterogeneous Graph Neural Networks. Applied Sciences. 2024; 14(20):9333. https://doi.org/10.3390/app14209333
Chicago/Turabian StyleWu, Yichang, Liang Heng, Fei Tan, Jingwen Yang, and Li Guo. 2024. "Dynamic Link Prediction in Jujube Sales Market: Innovative Application of Heterogeneous Graph Neural Networks" Applied Sciences 14, no. 20: 9333. https://doi.org/10.3390/app14209333
APA StyleWu, Y., Heng, L., Tan, F., Yang, J., & Guo, L. (2024). Dynamic Link Prediction in Jujube Sales Market: Innovative Application of Heterogeneous Graph Neural Networks. Applied Sciences, 14(20), 9333. https://doi.org/10.3390/app14209333

