Deep Spatio-Temporal Graph Attention Network for Street-Level 110 Call Incident Prediction
Abstract
:1. Introduction
2. Related Work
2.1. Crime Prediction
2.2. Street Network Modeling of Crime
3. Data for Study
3.1. 110 Call Records
3.2. Population
3.3. POIs
3.4. Meteorological Data
4. Problem Statement
4.1. Graph Representation
4.2. Spatial Embedding
4.3. Temporal Embedding
4.4. External Embedding
4.5. Model Architecture
5. Experiment
5.1. Hardware and Software Conditions
5.2. Dataset Preparation
5.3. Evaluation Metrics
5.4. Baseline Models
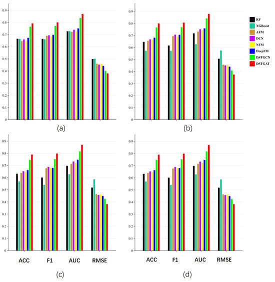
5.5. Experimental Results
5.6. Ablation Experiment
6. Conclusions
Author Contributions
Funding
Data Availability Statement
Acknowledgments
Conflicts of Interest
Appendix A


References
- Wong, K.C. Policing in the People’s Republic of China. The Road to Reform in the 1990s. Br. J. Criminol. 2002, 42, 281–316. [Google Scholar] [CrossRef]
- Dai, M.; Xia, Y.; Han, R. Temporal Variations in Calls for Police Service During COVID-19: Evidence from China. Crime Delinq. 2022, 68, 1183–1206. [Google Scholar] [CrossRef]
- Hipp, J.R.; Williams, S.A. Advances in Spatial Criminology: The Spatial Scale of Crime. Annu. Rev. Criminol. 2020, 3, 75–95. [Google Scholar] [CrossRef]
- Zhang, Y.; Siriaraya, P.; Kawai, Y.; Jatowt, A. Analysis of Street Crime Predictors in Web Open Data. J. Intell. Inf. Syst. 2020, 55, 535–559. [Google Scholar] [CrossRef]
- Luo, L.; Deng, M.; Shi, Y.; Gao, S.; Liu, B. Associating Street Crime Incidences with Geographical Environment in Space Using a Zero-Inflated Negative Binomial Regression Model. Cities 2022, 129, 103834. [Google Scholar] [CrossRef]
- He, Z.; Wang, Z.; Xie, Z.; Wu, L.; Chen, Z. Multiscale Analysis of the Influence of Street Built Environment on Crime Oc-currence Using Street-View Images. Comput. Environ. Urban Syst. 2022, 97, 101865. [Google Scholar] [CrossRef]
- Hipp, J.R.; Lee, S.; Ki, D.; Kim, J.H. Measuring the Built Environment with Google Street View and Machine Learning: Consequences for Crime on Street Segments. J. Quant. Criminol. 2022, 38, 537–565. [Google Scholar] [CrossRef]
- Deng, M.; Yang, W.; Chen, C.; Liu, C. Exploring Associations between Streetscape Factors and Crime Behaviors Using Google Street View Images. Front. Comput. Sci. 2022, 16, 164316. [Google Scholar] [CrossRef]
- Rosser, G.; Davies, T.; Bowers, K.J.; Johnson, S.D.; Cheng, T. Predictive Crime Mapping: Arbitrary Grids or Street Networks? J. Quant. Criminol. 2017, 33, 569–594. [Google Scholar] [CrossRef]
- Zhang, Y.; Cheng, T. Graph Deep Learning Model for Network-Based Predictive Hotspot Mapping of Sparse Spatio-Temporal Events. Comput. Environ. Urban Syst. 2020, 79, 101403. [Google Scholar] [CrossRef]
- Gu, H.; Sui, J.; Chen, P. Graph Representation Learning for Street-Level Crime Prediction. ISPRS Int. J. Geo-Inf. 2024, 13, 229. [Google Scholar] [CrossRef]
- Yu, L.; Du, B.; Hu, X.; Sun, L.; Han, L.; Lv, W. Deep Spatio-Temporal Graph Convolutional Network for Traffic Accident Prediction. Neurocomputing 2021, 423, 135–147. [Google Scholar] [CrossRef]
- Veličković, P.; Cucurull, G.; Casanova, A.; Romero, A.; Liò, P.; Bengio, Y. Graph Attention Networks. arXiv 2018, arXiv:1710.10903. [Google Scholar]
- Brantingham, P.B. Nodes, Paths and Edges: Considerations on the Complexity of Crime and the Physical Environment. J. Environ. Psychol. 1993, 13, 3–28. [Google Scholar] [CrossRef]
- Brantingham, P.; Brantingham, P. Criminality of Place: Crime Generators and Crime Attractors. Eur. J. Crim. Policy Res. 1995, 3, 5–26. [Google Scholar] [CrossRef]
- Cohen, L.E.; Felson, M. Social Change and Crime Rate Trends: A Routine Activity Approach. Am. Sociol. Rev. 1979, 44, 588. [Google Scholar] [CrossRef]
- Sherman, L.W.; Gartin, P.R.; Buerger, M.E. Hot Spots of Predatory Crime: Routine Activities and the Criminology of Place. Criminology 1989, 27, 27–56. [Google Scholar] [CrossRef]
- Sampson, R.J.; Groves, W.B. Community Structure and Crime: Testing Social-Disorganization Theory. Am. J. Sociol. 1989, 94, 774–802. [Google Scholar] [CrossRef]
- Farrell, G.; Pease, K. Once Bitten, Twice Bitten: Repeat Victimisation and Its Implications for Crime Prevention; Police Research Group Crime Prevention Unit Paper: London, UK, 1993. [Google Scholar]
- Bowers, K.J. Prospective Hot-Spotting: The Future of Crime Mapping? Br. J. Criminol. 2004, 44, 641–658. [Google Scholar] [CrossRef]
- Townsley, M.K.; Homel, R.; Chaseling, J. Infectious Burglaries. A Test of the Near Repeat Hypothesis. Br. J. Criminol. 2003, 43, 615–633. [Google Scholar] [CrossRef]
- Chainey, S.; Ratcliffe, J. Identifying Crime Hotspots; John Wiley & Sons, Inc.: Hoboken, NJ, USA, 2013. [Google Scholar]
- Kalinic, M.; Krisp, J.M. Kernel Density Estimation (KDE) vs. Hot-Spot Analysis–Detecting Criminal Hot Spots in the City of San Francisco. In Proceedings of the 21st AGILE Conference on Geographic Information Science, Lund, Sweden, 12–15 June 2018.
- Mohler, G.O.; Short, M.B.; Brantingham, P.J.; Schoenberg, F.P.; Tita, G.E. Self-Exciting Point Process Modeling of Crime. J. Am. Stat. Assoc. 2011, 106, 100–108. [Google Scholar] [CrossRef]
- Corcoran, J.J.; Wilson, I.D.; Ware, J.A. Predicting the Geo-Temporal Variations of Crime and Disorder. Int. J. Forecast. 2003, 19, 623–634. [Google Scholar] [CrossRef]
- Kennedy, L.W.; Caplan, J.M.; Piza, E. Risk Clusters, Hotspots, and Spatial Intelligence: Risk Terrain Modeling as an Algorithm for Police Resource Allocation Strategies. J. Quant. Criminol. 2011, 27, 339–362. [Google Scholar] [CrossRef]
- Law, J.; Quick, M.; Chan, P. Bayesian Spatio-Temporal Modeling for Analysing Local Patterns of Crime Over Time at the Small-Area Level. J. Quant. Criminol. 2014, 30, 57–78. [Google Scholar] [CrossRef]
- Bernasco, W. Modeling Micro-Level Crime Location Choice: Application of the Discrete Choice Framework to Crime at Places. J. Quant. Criminol. 2010, 26, 113–138. [Google Scholar] [CrossRef]
- Ge, L.; Liu, J.; Zhou, A.; Li, H. Crime Rate Inference Using Tensor Decomposition. In Proceedings of the 2018 IEEE SmartWorld, Ubiquitous Intelligence & Computing, Advanced & Trusted Computing, Scalable Computing & Communications, Cloud & Big Data Computing, Internet of People and Smart City Innovation (SmartWorld/SCALCOM/UIC/ATC/CBDCom/IOP/SCI), Guangzhou, China, 8–12 October 2018; IEEE: Guangzhou, China, 2018; pp. 713–717. [Google Scholar]
- Wang, B.; Luo, X.; Zhang, F.; Yuan, B.; Bertozzi, A.L.; Brantingham, P.J. Graph-Based Deep Modeling and Real Time Forecasting of Sparse Spatio-Temporal Data. arXiv 2018, arXiv:1804.00684. [Google Scholar]
- Shiode, S.; Shiode, N. A Network-Based Scan Statistic for Detecting the Exact Location and Extent of Hotspots along Urban Streets. Comput. Environ. Urban Syst. 2020, 83, 101500. [Google Scholar] [CrossRef]
- Kadar, C.; Pletikosa, I. Mining Large-Scale Human Mobility Data for Long-Term Crime Prediction. EPJ Data Sci. 2018, 7, 26. [Google Scholar] [CrossRef]
- Song, G.; Liu, L.; Bernasco, W.; Xiao, L.; Zhou, S.; Liao, W. Testing Indicators of Risk Populations for Theft from the Person across Space and Time: The Significance of Mobility and Outdoor Activity. Ann. Am. Assoc. Geogr. 2018, 108, 1370–1388. [Google Scholar] [CrossRef]
- Song, G.; Bernasco, W.; Liu, L.; Xiao, L.; Zhou, S.; Liao, W. Crime Feeds on Legal Activities: Daily Mobility Flows Help to Explain Thieves’ Target Location Choices. J. Quant. Criminol. 2019, 35, 831–854. [Google Scholar] [CrossRef]
- Sun, J.; Yue, M.; Lin, Z.; Yang, X.; Nocera, L.; Kahn, G.; Shahabi, C. CrimeForecaster: Crime Prediction by Exploiting the Geographical Neighborhoods’ Spatiotemporal Dependencies. In Machine Learning and Knowledge Discovery in Databases. Applied Data Science and Demo Track; Dong, Y., Ifrim, G., Mladenić, D., Saunders, C., Van Hoecke, S., Eds.; ECML PKDD 2020. Lecture Notes in Computer Science; Springer: Cham, Switzerland, 2021; Volume 12461. [Google Scholar] [CrossRef]
- Wang, C.; Lin, Z.; Yang, X.; Sun, J.; Yue, M.; Shahabi, C. HAGEN: Homophily-Aware Graph Convolutional Recurrent Network for Crime Forecasting. In Proceedings of the AAAI Conference on Artificial Intelligence, Online, 22 February–1 March 2022. [Google Scholar]
- Liang, W.; Wang, Y.; Tao, H.; Cao, J. Towards Hour-Level Crime Prediction: A Neural Attentive Framework with Spatial–Temporal-Categorical Fusion. Neurocomputing 2022, 486, 286–297. [Google Scholar] [CrossRef]
- Davies, T.P.; Bishop, S.R. Modelling Patterns of Burglary on Street Networks. Crime Sci. 2013, 2, 10. [Google Scholar] [CrossRef]
- Frith, M.J.; Johnson, S.D.; Fry, H.M. Role of the Street Network in Burglars’ Spatial Decision-making: Offender Spatial Decision-making. Criminology 2017, 55, 344–376. [Google Scholar] [CrossRef]
- Summers, L.; Johnson, S.D. Does the Configuration of the Street Network Influence Where Outdoor Serious Violence Takes Place? Using Space Syntax to Test Crime Pattern Theory. J. Quant. Criminol. 2017, 33, 397–420. [Google Scholar] [CrossRef]
- Kim, Y.-A. Examining the Relationship Between the Structural Characteristics of Place and Crime by Imputing Census Block Data in Street Segments: Is the Pain Worth the Gain? J. Quant. Criminol. 2018, 34, 67–110. [Google Scholar] [CrossRef]
- Zeng, M.; Mao, Y.; Wang, C. The Relationship between Street Environment and Street Crime: A Case Study of Pudong New Area, Shanghai, China. Cities 2021, 112, 103143. [Google Scholar] [CrossRef]
- Kim, D.; Oh, A. How to Find Your Friendly Neighborhood: Graph Attention Design with Self-Supervision. arXiv 2022, arXiv:2204.04879. [Google Scholar]
- Sun, C.; Li, C.; Lin, X.; Zheng, T.; Meng, F.; Rui, X.; Wang, Z. Attention-Based Graph Neural Networks: A Survey. Artif. Intell. Rev. 2023, 56, 2263–2310. [Google Scholar] [CrossRef]
- Ratcliffe, J.H. Geocoding crime and a first estimate of a minimum acceptable hit rate. Int. J. Geogr. Inf. Sci. 2004, 18, 61–72. [Google Scholar] [CrossRef]
- Porta, S.; Crucitti, P.; Latora, V. The Network Analysis of Urban Streets: A Dual Approach. Phys. Stat. Mech. Its Appl. 2006, 369, 853–866. [Google Scholar] [CrossRef]
- Kipf, T.N.; Welling, M. Semi-Supervised Classification with Graph Convolutional Networks. arXiv 2017, arXiv:1609.02907. [Google Scholar]
- Sak, H.; Senior, A.; Beaufays, F. Long Short-Term Memory Based Recurrent Neural Network Architectures for Large Vocabulary Speech Recognition. arXiv 2014, arXiv:1402.1128. [Google Scholar]
- Breiman, L. Random Forests. Mach. Learn. 2001, 45, 5–32. [Google Scholar] [CrossRef]
- Chen, T.; Guestrin, C. XGBoost: A Scalable Tree Boosting System. In Proceedings of the 22nd ACM SIGKDD International Conference on Knowledge Discovery and Data Mining, San Francisco, CA, USA, 13–17 August 2016; ACM: San Francisco, CA, USA, 2016; pp. 785–794. [Google Scholar]
- Guo, H.; Tang, R.; Ye, Y.; Li, Z.; He, X. DeepFM: A Factorization-Machine Based Neural Network for CTR Prediction. arXiv 2017, arXiv:1703.04247. [Google Scholar]
- Xiao, J.; Ye, H.; He, X.; Zhang, H.; Wu, F.; Chua, T.-S. Attentional Factorization Machines: Learning the Weight of Feature Interactions via Attention Networks. arXiv 2017, arXiv:1708.04617. [Google Scholar]
- Wang, R.; Fu, B.; Fu, G.; Wang, M. Deep & Cross Network for Ad Click Predictions. arXiv 2017, arXiv:1708.05123. [Google Scholar]
- He, X.; Chua, T.-S. Neural Factorization Machines for Sparse Predictive Analytics. arXiv 2017, arXiv:1708.05027. [Google Scholar]
- Zhang, L.; Long, C. Road Network Representation Learning: A Dual Graph-Based Approach. ACM Trans. Knowl. Discov. Data 2023, 17, 121. [Google Scholar] [CrossRef]
- Zhang, H.; Wu, Y.; Tan, H.; Dong, H.; Ding, F.; Ran, B. Understanding and Modeling Urban Mobility Dynamics via Dis-entangled Representation Learning. IEEE Trans. Intell. Transport. Syst. 2022, 23, 2010–2020. [Google Scholar] [CrossRef]
- Gharaee, Z.; Kowshik, S.; Stromann, O.; Felsberg, M. Graph Representation Learning for Road Type Classification. Pattern Recognit. 2021, 120, 108174. [Google Scholar] [CrossRef]









| Factorization | Name | Content | Dimension |
|---|---|---|---|
| Spatial features | Street attribute | one-way; layer; bridge; tunnel; type; length | 6 |
| Population | population/den | 2 | |
| POIs | dining/den; scenery/den; facility/den; enterprise/den; shopping/den; transportation/den; finance/den; education/den; residence/den; service/den; sports/den; medical/den; government/den; underground/den | 28 | |
| Temporal features | Calendar | month; day; weekday; is_holiday; hour | 5 |
| External features | Weather | wind_speed; temperature; atmospheric_pressure; humidity; precipitation | 5 |
| Models | All Incidents | Crime-Related Incidents | ||||||
|---|---|---|---|---|---|---|---|---|
| ACC | F1 | AUC | RMSE | ACC | F1 | AUC | RMSE | |
| RF | 0.6654 | 0.6645 | 0.7276 | 0.4981 | 0.6458 | 0.6163 | 0.7174 | 0.5066 |
| XGBoost | 0.6641 | 0.6608 | 0.7280 | 0.4999 | 0.5719 | 0.5718 | 0.6262 | 0.5749 |
| AFM | 0.6473 | 0.6899 | 0.7229 | 0.4601 | 0.655 | 0.6936 | 0.7324 | 0.4571 |
| DCN | 0.6600 | 0.6944 | 0.7395 | 0.4533 | 0.6671 | 0.7063 | 0.7516 | 0.4511 |
| NFM | 0.6478 | 0.6850 | 0.7248 | 0.4591 | 0.6643 | 0.6890 | 0.7420 | 0.4522 |
| DeepFM | 0.6630 | 0.6877 | 0.7410 | 0.4524 | 0.6712 | 0.6952 | 0.7488 | 0.4503 |
| DSTGCN | 0.7645 | 0.7713 | 0.8369 | 0.4014 | 0.7657 | 0.7682 | 0.8413 | 0.4081 |
| DSTGAT | 0.7922 | 0.8007 | 0.8700 | 0.3811 | 0.7992 | 0.8066 | 0.8786 | 0.3746 |
| Models | Security-related incidents | Assistance-related incidents | ||||||
| ACC | F1 | AUC | RMSE | ACC | F1 | AUC | RMSE | |
| RF | 0.6320 | 0.6007 | 0.6974 | 0.5184 | 0.6280 | 0.5922 | 0.6965 | 0.5222 |
| XGBoost | 0.5688 | 0.5406 | 0.6277 | 0.5862 | 0.5619 | 0.5407 | 0.6126 | 0.5823 |
| AFM | 0.6387 | 0.6756 | 0.7135 | 0.4637 | 0.6301 | 0.6612 | 0.7040 | 0.4672 |
| DCN | 0.6520 | 0.6879 | 0.7326 | 0.4571 | 0.6369 | 0.6694 | 0.7136 | 0.4631 |
| NFM | 0.6443 | 0.6793 | 0.7197 | 0.4612 | 0.6242 | 0.6696 | 0.6973 | 0.4701 |
| DeepFM | 0.6525 | 0.6708 | 0.7274 | 0.4592 | 0.6337 | 0.6464 | 0.7059 | 0.4681 |
| DSTGCN | 0.7461 | 0.7518 | 0.8166 | 0.4249 | 0.7290 | 0.7342 | 0.8001 | 0.4355 |
| DSTGAT | 0.7896 | 0.7980 | 0.8697 | 0.3817 | 0.7818 | 0.7897 | 0.8578 | 0.3911 |
| Feature and Component | All Incidents | Crime-Related Incidents | ||||||
|---|---|---|---|---|---|---|---|---|
| ACC | F1 | AUC | RMSE | ACC | F1 | AUC | RMSE | |
| DSTGAT | 0.7922 | 0.8007 | 0.87 | 0.3811 | 0.7992 | 0.8066 | 0.8786 | 0.3746 |
| w/o T | 0.7769 | 0.7852 | 0.8547 | 0.4062 | 0.7835 | 0.7903 | 0.8625 | 0.3605 |
| w/o W | 0.7626 | 0.7741 | 0.8407 | 0.4067 | 0.7685 | 0.7779 | 0.8478 | 0.4018 |
| w/o T and W | 0.7573 | 0.7690 | 0.8355 | 0.4118 | 0.763 | 0.7728 | 0.8429 | 0.4067 |
| w/o S | 0.5970 | 0.6699 | 0.6223 | 0.4851 | 0.6047 | 0.6833 | 0.6364 | 0.4831 |
| Feature and Component | Security-Related Incidents | Assistance-Related Incidents | ||||||
| ACC | F1 | AUC | RMSE | ACC | F1 | AUC | RMSE | |
| DSTGAT | 0.7896 | 0.7980 | 0.8697 | 0.3817 | 0.7818 | 0.7897 | 0.8578 | 0.3911 |
| w/o T | 0.7738 | 0.7830 | 0.8536 | 0.3674 | 0.7674 | 0.7754 | 0.8434 | 0.3758 |
| w/o W | 0.7595 | 0.7715 | 0.8399 | 0.4075 | 0.7586 | 0.7687 | 0.8342 | 0.4121 |
| w/o T and W | 0.7545 | 0.7647 | 0.8337 | 0.4133 | 0.7537 | 0.7633 | 0.8285 | 0.4172 |
| w/o S | 0.5950 | 0.6704 | 0.6149 | 0.4853 | 0.5821 | 0.6667 | 0.5928 | 0.4913 |
Disclaimer/Publisher’s Note: The statements, opinions and data contained in all publications are solely those of the individual author(s) and contributor(s) and not of MDPI and/or the editor(s). MDPI and/or the editor(s) disclaim responsibility for any injury to people or property resulting from any ideas, methods, instructions or products referred to in the content. |
© 2024 by the authors. Licensee MDPI, Basel, Switzerland. This article is an open access article distributed under the terms and conditions of the Creative Commons Attribution (CC BY) license (https://creativecommons.org/licenses/by/4.0/).
Share and Cite
Sui, J.; Chen, P.; Gu, H. Deep Spatio-Temporal Graph Attention Network for Street-Level 110 Call Incident Prediction. Appl. Sci. 2024, 14, 9334. https://doi.org/10.3390/app14209334
Sui J, Chen P, Gu H. Deep Spatio-Temporal Graph Attention Network for Street-Level 110 Call Incident Prediction. Applied Sciences. 2024; 14(20):9334. https://doi.org/10.3390/app14209334
Chicago/Turabian StyleSui, Jinguang, Peng Chen, and Haishuo Gu. 2024. "Deep Spatio-Temporal Graph Attention Network for Street-Level 110 Call Incident Prediction" Applied Sciences 14, no. 20: 9334. https://doi.org/10.3390/app14209334
APA StyleSui, J., Chen, P., & Gu, H. (2024). Deep Spatio-Temporal Graph Attention Network for Street-Level 110 Call Incident Prediction. Applied Sciences, 14(20), 9334. https://doi.org/10.3390/app14209334
