Abstract
This paper presents a sensitivity analysis to assess the impact of random rail unevenness profiles on the generation of ground-borne vibrations. The random profiles are generated from a power spectral density function, assuming that the uneven rail surface is governed by a stationary Gaussian random process in space. Different proposals are employed to generate these profiles. A previously validated PiP model is used to perform a set of parametric studies, involving the dynamic simulation of a train–track–tunnel–ground system. It was found that the number of harmonics in generating ground-borne vibrations has a residual impact on the evaluated vibration levels. The main differences observed, although not significant, are attributed to the stochastic nature of the rail unevenness profile. More critically, it is important to highlight that different existing approaches for generating the PSD function have a pronounced impact on the evaluated vibration levels.
1. Introduction
The management of densely populated urban areas, their mobility, and the need to prevent climate changes are major challenges for society, which justify the wide expansion of railway projects in modern cities. Although the benefits (economic, social, and environmental) inherent to rail transport are evident, their exploration leads to environmental concerns, motivated by the generation and propagation of vibrations that affect the comfort and life quality of the inhabitants in railway surroundings. To predict and prevent these negative effects, it is important to understand the key parameters that contribute to the generation and propagation of ground-borne vibrations induced by railway traffic.
The dynamic excitation induced by the railway traffic, generated at the wheel/rail contact, can be decoupled into quasi-static and dynamic mechanisms [1]. In a general way, quasi-static excitation is due to the movement of loads corresponding to axle loads of the train. This type of excitation presents constant magnitude over time and the dynamic character of the response is only induced by the temporary changes of the stress and strain fields experienced at a fixed point of the domain as the vehicle moves ([2,3]).
In contrast to quasi-static excitation, dynamic excitation is due to the inertial forces that are generated in the vehicle. This excitation mechanism can have different causes, the most common being geometric irregularities, wheel imperfections, and track stiffness variations [4,5,6]. As the dynamic excitation mechanism can be affected by a large number of variables in comparison to the quasi-static mechanism, with a strong impact on the final results, especially at higher frequencies and for larger distances, its numerical modeling is more challenging.
Focusing the discussion on this topic, the geometric irregularities of the rail can cause changes on the dynamic response of the train-track system, affecting ground-borne vibration levels. Therefore, it is investigated further in an attempt to quantify its significance. Bearing that in mind, the present paper presents the relevant aspects related to the characterization of the rail unevenness profile (as outlined in Section 2), offering a systematic overview of commonly utilized approaches and methodologies. The main novelty of this section lies in the systematization and use of multiple approaches for generating synthetic unevenness profiles and associated conclusions.
Section 3 is dedicated to a parametric study conducted in order to better understand the influence of the consideration of synthetic rail unevenness profile on the prediction of ground-borne vibration levels, both in terms of the effect of randomness in the generation of different synthetic profiles and the influence of the number of harmonics. For this purpose, a previously validated PiP railway model is used to simulate the entire system. With this comprehensive numerical study, the present paper intends to contribute to the current state-of-the-art on the topic.
2. Characterization of Rail Unevenness Profile
2.1. Generalities
The rail unevenness profile to be introduced in a numerical model can be evaluated in two different ways: one experimental, by measuring directly the irregularities on existing tracks, and the other one by generating artificial profiles based on empirical formulas, also coming from experimental measurements. Since the longitudinal unevenness of the railway is a geometric quantity, the rail’s unevenness profile can be measured directly along its longitudinal development using specific equipment. Alternatively, and as a result of the experience accumulated by the various railway administrations in measuring and statistically treating a large number of measurements, the unevenness profile can be synthetically generated using a power spectral density (PSD) function that is stochastic in nature. In the next two sections, both methodologies will be presented in detail.
2.2. Experimental Characterization
For a more efficient operation of the track, maintenance planning, and assessment of traffic safety conditions, railway administrations systematically monitor and assess the geometric quality of railway lines. As an example, Figure 1a shows the EM120 inspection vehicle used by the Portuguese railway administration (IP) for geometric characterization of the line. This vehicle allows, among others, the registration of the irregularity profile along the rail. Figure 1b shows, as an example, the longitudinal level of both rails on a stretch of the Portuguese railway network with the recording of information every 25 cm.
Figure 1.
Geometric characterization of the rail: (a) EM120 inspection vehicle; (b) spatial representation of unevenness profile on a stretch of the Portuguese railway network (both rails).
From the point of view of numerical modeling, it is usual to treat the longitudinal-level values of the track in the wavenumber domain, through power spectral density (PSD) functions [7]. To determine the PSD, it is firstly necessary to transform the signal from the space domain to the wavenumber domain (also called spatial frequency) by means of a Fourier transform. This process is identical to obtain a frequency spectrum of a temporal signal, only with the particularity that it is a transform in relationship to space in place of a transform regarding time, resulting in a spectrum of the signal as a function of the wavenumber. In a generic way, and according to the procedure described in Newland [8], for a given spatial signal , its transformation to the wavenumber domain can be defined by the following expression:
where represents the longitudinal wavenumber and is the longitudinal distance.
As can be understood, the previous transform is only applied to analog signals. To deal with digital signals, it is necessary to adapt the previous equation to account for the discrete nature of the latter. In this sense, a discrete Fourier transform can be stated as follows:
where N corresponds to the number of sampling points. The discrete finite Fourier transform can be calculated by means of a very efficient mathematical algorithm, called FFT (Fast Fourier Transform) [9]. The commercial software MatLab R2023b has this algorithm implemented, which allows its application in a direct way for a large set of measurement points.
The final goal being the evaluation of the power spectral density function and keeping in mind that the longitudinal-level data correspond to a continuous random signal, Equation (1), corresponding to the Fourier transform, is adapted in order to meet this typology of signals. To contain the growth of to infinity, the limit given in the following expression is applied:
To estimate the PSD function for the case of a digital signal, the initial spatial recording is subject to an additional treatment. In this case, the signal is divided into a set of blocks of period and number of samples in order to obtain a smoother configuration of the function. The overlapping of these blocks can also be considered, and it is usual to consider an overlapping close to half of the block length (overlapping of 50%). For each block, it is then possible to estimate the PSD function from the response spectrum in the wavenumber domain. Thus, we take advantage of Parseval’s theorem, which states that the energy of a signal in the temporal/spatial domain is exactly the same as a signal in the frequency/wavenumber domain, and can be translated as follows:
It is observed that the term corresponds to the contribution of the wave number to the total power spectrum, and thus the power spectrum of a block as a function of wave number is given by the following relation:
Dividing the power spectrum by the wave number increment, , an approximation of the power density function , as given by Equation (6), is obtained. This function corresponds to an approximation due to the space series not having infinite duration and only measuring its value at spaced positions of .
The spectral density function calculated from the previous equation corresponds to the situation in which the energy is mirrored with respect to the Nyquist frequency (the maximum frequency that can be accurately obtained for a sampling interval ). This case is called two-sided PSD. Since the initial signal is a real quantity, it is necessary to perform an additional operation in order to concentrate all the energy in only one of the parts (PSD one-sided) according to the following relation:
Figure 2 presents, as examples, the spectral density functions evaluated for the longitudinal-level profiles of both rails. In these figures, it is possible to compare the spectral density function for two different cases: the first corresponds to considering the entire signal evaluated on the 2500 m track (); the second corresponds to subdividing the initial signal into blocks of 256 sampling points.
Figure 2.
Power spectral density function of vertical unevenness profile: (a) rail 1; (b) rail 2.
The comparison of the PSD curves shows a smoother profile for the second case, which is attributed to the averaging effect introduced by the shorter block length. However, splitting the initial signal into blocks of reduced length also results in a loss of information at higher wavelengths (lower wavenumbers), leading to an overestimation of amplitude at the initial stages, as is evident in the previous figure. Despite that, for practical purposes, the consideration of minimum wavenumbers of the order of 10−1 rad/m is sufficient for the purposes at hand.
2.3. The Generation of Synthetic Unevenness Profiles
As stated before, railway operators routinely collect rail unevenness data for maintenance purposes. Although these datasets are large and site-dependent, statistical analysis has shown that they can be approximated numerically using PSD functions. Therefore, using spectral representation theory [10], sinusoidal functions can be superimposed to generate a rail profile:
where λj is the wavelength within the range of interest and N is the total number of harmonics considered. δuj is a complex number representing the amplitude of the corresponding harmonic, which is given by the following:
In Equation (9), θj is the phase angle, taken as a random variable with uniform distribution in the interval [0, 2π], and is the amplitude of the corresponding harmonic ( is the wavenumber spacing):
The experience accumulated by the various railway administrations has enabled the systematization of different power spectral density functions, typically defined as a function of the track quality. Particular emphasis is placed on the proposals of the Federal Railroad Administration (FRA) [11], those proposed by the French Railway Administration (SNCF), and those resulting from studies endorsed by Braun and Hellenbroich [12] or Frederich [13].
The FRA’s proposal [11] defines the following power spectral density function (PSD):
where is the wavenumber, and and are constants which take the values of 0.1464 rad/m and 0.8246 rad/m, respectively. Parameter A corresponds to a roughness constant and it is a function of the track geometric quality, with the entity proposing six distinct classes, as shown in Table 1.
Table 1.
Track geometry quality: roughness constant A [11].
Alternatively, studies elaborated by Braun and Hellenbroich [12] (referenced by Van der Broeck [14]) suggest the use of the analytical expression defined by ISO 8608 [15] to define the power spectral density function of road pavement irregularity profiles, suitably adapted to meet railway conditions. The expression proposed by these authors is formulated as:
here, takes the value of 1 rad/m and the exponent assumes values in the range of 3 to 4 (a value of 3.5 is assumed along the present paper). The parameter varies between 5 × 10−7 m3/rad for poor quality tracks to 1 × 10−9 m3/rad for very good quality tracks.
According to studies conducted by SNCF, the PSD function defined by Equation (13) offers a suitable approximation to measured results for wavelengths ranging from 2 m to 40 m:
Regarding the parameters involved, reflects the quality of the track, taking the value 160 for tracks of good quality and 550 otherwise, while is equal to 0.307 rad/m.
Lastly, the PSD function of the track unevenness can be determined using the formula proposed by Frederich [13] (as cited in Forrest and Hunt [16]), expressed as follows:
where the parameters and reflects the condition of the track, being given in Table 2.
Table 2.
Frederich’s proposal: parameters values for different track conditions.
Figure 3 presents graphical representations of different proposals, facilitating direct comparisons. Each proposal includes two curves representing the best (lower bound) and worst (upper bound) track conditions. Upon analysis of the figure, a significant dispersion in the proposals from various entities for the power spectral density function of the track irregularities is evident. The influence of this variability on the ground vibration response will be further explored. The previously presented experimental power spectral density functions shown in Figure 2 (Nb = 256) have also been included for comparison.
Figure 3.
Power spectral density function of vertical unevenness profile considering different proposals.
3. Numerical Model
The numerical model PiP (“Pipe in Pipe”) [16,17,18,19] was used for the generation of transfer functions between the tunnel invert and the ground surface. In brief, the PiP model is a semi-analytical model that accounts for the generation and propagation of vibration from an underground railway tunnel. The model performs the calculations in two stages. In the first stage, vibration at the tunnel–soil interface is calculated based on a model of two concentric pipes (and therefore the name of Pipe in Pipe), with the inner pipe representing a tunnel wall and the outer pipe representing the surrounding infinite domain of soil (with an internal radius equal to the external radius of the tunnel and external radius tending to infinity). The equations of motions for a linear elastic isotropic media are solved in the wavenumber–frequency domain in a cylindrical coordinate system, producing an efficient calculation for the displacements at the tunnel–soil interface [16,17,18]. In the second stage, fictitious forces are generated to produce the same displacement field but in a full-space media that does not contain the tunnel. These forces are then introduced in a half-space or layered-half-space media to calculate the displacements in the far-field. The model assumes that the displacement field at the tunnel–soil interface is not influenced by details in the far-field such as layering or existence of free-surface. The model was verified against a FE-BE model and good matching was observed.
Subsequently, the dynamics of both the train and the track are addressed by integrating the tunnel-ground model with the train and track models. The track is modeled using a semi-analytical approach, where the rails and the slab are represented as infinitely long Bernoulli–Euler beams, while the rail pads are simulated as continuously supported spring-dashpot systems (see Figure 4). Consequently, the response of the track structure in the frequency/wavenumber domain, due to a point load acting on the rails, is determined through the following system of equations:
where and represent the vertical displacement of the rails and slab, respectively; and represent the bending stiffness and mass, respectively; with the subscript ‘r’ and ‘s’ denoting the rails and slab, respectively. The equivalent complex stiffness of the rail pads, , is defined as , where and represent the equivalent stiffness and damping of the rail pads, respectively. is the equivalent stiffness of the foundation, evaluated by considering the displacement field at the tunnel invert computed using the PiP model.
Figure 4.
Semi-analytical model of the slab track.
The consideration of the train–track interaction is essential in problems involving the generation of vibrations due to railway traffic. As initially discussed, the load applied by the train on the track can be divided into two components: (i) the static load, (ii) the dynamic load. The latter component requires simulation of the dynamic train–track interactions which is solved using a compliance procedure, where the reference frame moves with the train. Additional details can be found in Colaço et al. [20].
4. Case Study
4.1. General Description
The present section intends to investigate the influence of the use of synthetic rail unevenness profiles on the prediction of ground-borne vibration levels. An overview of the application example is shown in Figure 5, where a tunnel embedded in a homogeneous half-space is presented. The geometrical and mechanical properties are further detailed in the same figure, as well as in Table 3.
Figure 5.
Schematic representation of the track-tunnel-ground system.
Table 3.
Slab track properties.
With regard to rolling stock, the passage of the Tram-Train vehicle, at a speed of 100 km/h, is considered. The geometric properties and weight per axle can be found in Figure 6. A constant value of 1538 kg for the unsprung masses (Mr) is considered. As reported by Colaço et al. [20], this parameter plays the most relevant contribution for vibrations induced by railway traffic.
Figure 6.
Train model: (a) geometrical configuration and axle loads of the Tram-Train; (b) multi-body train model.
In this study, the dynamic excitation mechanism is provided exclusively by the unevenness of the rail. In Section 4.2 and Section 4.3, a synthetic unevenness profile was generated in accordance with the FRA proposal (assuming Class 3 track quality). In Section 4.4, different proposals will be considered to discuss their influence on the ground vibration response.
4.2. The Effect of Randomness in the Generation of Different Synthetic Profiles on Vibration Levels
Given the stochastic nature of the PSD function, one hundred simulations were run, each with a different synthetic unevenness profile, in order to quantify the randomness significance. Each unevenness profile can be generated by combining a different number of harmonics (three situations are considered: 25, 50, and 75). The influence of this latter aspect is analyzed in a second step.
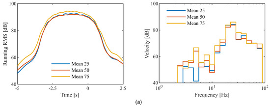
Based on that, Figure 7 and Figure 8 show the mean curves at two different locations on the ground surface (plane of symmetry and 30 m away), in time (running RMS—Root Mean Square—values computed with a time window of 1 s as prescribed by the ISO 2631 standard [21]) and frequency domain (1/3 octave bands), as well as their upper/lower standard deviations and maximum/minimum curves. These curves are repeated for the different number of harmonics considered in the generation of each artificial unevenness profile (25, 50, and 75).

Figure 7.
Influence of the number of sinusoidal functions used to generate the rail unevenness profile on vertical velocity (observation point A): (a) 25 sinusoidal functions; (b) 50 sinusoidal functions; (c) 75 sinusoidal functions (left: running RMS curves; right: one-third octave bands). dB ref. 1 × 10−8 m/s.

Figure 8.
Influence of the number of sinusoidal functions used to generate the rail unevenness profile on vertical velocity (observation point B): (a) 25 sinusoidal functions; (b) 50 sinusoidal functions; (c) 75 sinusoidal functions (left: running RMS curves; right: one-third octave bands). dB ref. 1 × 10−8 m/s.
It is seen that the different profiles cause changes in response, in both the time and frequency domains. In general, these are generated because the rail profile varies spatially (in a sinusoidal pattern), meaning that the rail is subject to varying interaction forces with respect to time. However, these variations are not so significant. As can be seen, a maximum around 3 dB is found in relation to the mean running RMS curve. In terms of frequency content, a maximum deviation around 5 dB can be found for the frequency range with the most significative frequency content.
Despite that, further analysis reveals that for the time and frequency domain plots, the effect of randomness in the generation of different synthetic profiles on vibration levels is higher when considering a higher number of harmonics for the generation of the unevenness rail profile. This is particularly evident comparing the results from 25 sinusoidal functions to 50 and 75 functions.
4.3. The Influence of the Number of Harmonics
Given the previous results, it is now intended to compare the influence of the number of harmonics used for the generation of the synthetic unevenness profile. Thus, Figure 9 presents the mean curves of the previous cases in the same plot for comparison purposes.

Figure 9.
Influence of the number of sinusoidal functions used to generate the rail unevenness profile on vertical velocity: (a) point at the symmetry plane of the track (observation point A); (b) point B at 30 m away from the track (left: running RMS mean curves; right: one-third octave mean bands). dB ref. 1 × 10−8 m/s.
In general, there is a high similarity between both curves, either in the time or frequency domain. The differences observed when considering 25, 50, and 75 harmonics are lower than those inferred by the randomness of the generation process of the rail unevenness profile. It should be highlighted that the randomness effect is also considered here, once the curves represented correspond to the mean curves of the previous one hundred cases. Thus, it is possible to conclude that, and for the conditions assumed, the effect of the number of harmonics has a small influence on the vibration levels evaluated.
This finding is particularly relevant to the computational efficiency of the numerical tools. In fact, the computation CPU time is directly proportional with the number of harmonics, as can be seen in Figure 10. This figure illustrates the performance of the different cases using a bar chart. The calculation times are normalized in relation to the case of a number of sinusoidal functions equal to 25.
Figure 10.
Normalized CPU times for different numbers of sinusoidal functions.
4.4. The Impact of Track Quality on Vibration Levels
Another topic of particular relevance is related to track quality. Due to the significant dispersion in the power spectral density functions discussed in Section 2.2, it is essential to evaluate the impact of this variability on the ground vibration response. To achieve this, extreme track conditions for each proposal will be considered. Figure 11 illustrates the ground vibration response at an observation point located on the surface of the ground, 30 m away from the center of the tunnel (observation point B, see Figure 5).
Figure 11.
Influence of track quality on vibration levels considering different PSD functions generated according to the following proposals: (a) FRA; (b) Braun and Hellenbroich; (c) SNCF; (d) Frederich. dB ref. 1 × 10−8 m/s.
Considering the previously highlighted discrepancies in the PSD functions, the findings are not surprising. However, this issue is far from a minor question, as the adoption of a specific proposal can result in considerable discrepancies in vibration predictions. Indeed, from an engineering standpoint, where real data on the unevenness profile (or its evolution) are lacking, the selection of a particular PSD function is standard practice. However, this decision holds paramount importance, as it has the potential to significantly influence all subsequent conclusions.
Upon general analysis, it becomes apparent that the incorporation of Braun and Hellenbroich’s proposed PSD function introduces a notable contrast compared to the other cases. Specifically, the maximum vibration levels induced for the worst track condition are lower or close than the vibration levels observed for the best track condition in both the SNCF and FRA proposals, respectively. From another perspective, the PSD function for the worst track condition leads to similar results in the SNCF and Frederich proposals. However, the consideration of a favorable scenario significantly impacts the final results, with the Frederich proposal leading to vibration levels more than 20 dB lower.
Additionally, from a track maintenance perspective, a crucial practical finding emerges for all the proposals: there is a significant increase in vibration levels when track quality deteriorates from high to low quality. Therefore, if ground-borne vibration is likely to be a problem, then it is vital to maintain a high-quality rail unevenness profile.
5. Conclusions
The present study investigates the impact of random rail unevenness profiles on the generation of ground-borne vibrations. To achieve this, relevant aspects of rail unevenness profile characterization were presented in an initial phase for a clear interpretation of the phenomenon under analysis. This includes the treatment of experimental data and the synthetic generation of rail unevenness profiles.
Based on the conducted parametric studies, the following three observations can be discerned: (i) the number of harmonics in the generation of ground-borne vibrations has a residual influence on the vibration levels evaluated; (ii) the randomness character of the rail unevenness profile has a higher, although not significant, influence; (iii) the PSD function plays a vital role in the vibration levels.
The first two conclusions are particularly relevant for reducing the computation effort of numerical tools and for situations where conclusions are drawn from a measurement campaign: reducing the number of harmonics can enhance computational efficiency; the relatively low impact of the randomness in the rail unevenness profile on vibration levels permits the extrapolation of experimental irregularity data to similar tracks with minimal introduced error.
Regarding the last conclusion, prospective studies of ground vibrations, where there is no information about rail irregularities, can lead to very distinct conclusions depending on the PSD function chosen and the assumed track condition. Thus, it is essential to be aware of this situation in order to make appropriate engineering judgments.
In future research, integrating synthetic models with experimental measurements could greatly enhance the understanding of how rail unevenness influences vibrations across different track conditions. This approach would provide a more comprehensive framework for assessing vibration impacts, ultimately leading to more effective design and maintenance strategies in railway engineering.
Author Contributions
Conceptualization, A.C., P.A.C. and M.F.M.H.; Methodology, A.C., P.A.C. and M.F.M.H.; Formal analysis, A.C.; Investigation, A.C.; Writing—original draft, A.C.; Writing—review & editing, P.A.C. and M.F.M.H. All authors have read and agreed to the published version of the manuscript.
Funding
This work was financially supported by: Base Funding—UIDB/04708/2020 with DOI 10.54499/UIDB/04708/2020 (https://doi.org/10.54499/UIDB/04708/2020) and Programmatic Funding—UIDP/04708/2020 with DOI 10.54499/UIDP/04708/2020 (https://doi.org/10.54499/UIDP/04708/2020) of the CONSTRUCT—Instituto de I&D em Estruturas e Construções—funded by national funds through the FCT/MCTES (PIDDAC); Project PTDC/ECI-EGC/3352/2021, funded by national funds through FCT/ MCTES; Individual Grant no. 2022.00898. CEECIND (Scientific Employment Stimulus—5th Edition) provided by FCT (https://doi.org/10.54499/2022.00898.CEECIND/CP1733/CT0005).

Institutional Review Board Statement
Not applicable.
Informed Consent Statement
Not applicable.
Data Availability Statement
The original contributions presented in the study are included in the article, further inquiries can be directed to the corresponding author.
Conflicts of Interest
The authors declare no conflict of interest.
References
- Lombaert, G.; Degrande, G.; François, S.; Thompson, D.J. Ground-borne vibration due to railway traffic: A review of excitation mechanisms, prediction methods and mitigation measures. In Notes on Numerical Fluid Mechanics and Multidisciplinary Design; Springer: Berlin/Heidelberg, Germany, 2015; pp. 253–287. [Google Scholar]
- Thompson, D. Railway Noise and Vibration. Mechanisms, Modelling and Means Control 2010; Elsevier: Oxford, UK, 2008. [Google Scholar]
- Lombaert, G.; Degrande, G. Ground-borne vibration due to static and dynamic axle loads of InterCity and high-speed trains. J. Sound Vib. 2009, 319, 1036–1066. [Google Scholar] [CrossRef]
- Auersch, L. The excitation of ground vibration by rail traffic: Theory of vehicle–track–soil interaction and measurements on high-speed lines. J. Sound Vib. 2005, 284, 103–132. [Google Scholar] [CrossRef]
- Germonpré, M.; Nielsen, J.C.O.; Degrande, G.; Lombaert, G. Contributions of longitudinal track unevenness and track stiffness variation to railway induced vibration. J. Sound Vib. 2018, 437, 292–307. [Google Scholar] [CrossRef]
- Sheng, X.; Jones, C.J.C.; Thompson, D.J. A theoretical model for ground vibration from trains generated by vertical track irregularities. J. Sound Vib. 2004, 272, 937–965. [Google Scholar] [CrossRef]
- Iyengar, R.N.; Jaiswal, O.R. Random field modeling of railway track irregularities. J. Transp. Eng. 1995, 121, 303–308. [Google Scholar] [CrossRef]
- Newland, D.E. An Introduction to Random Vibrations, Spectral & Wavelet Analysis, 3rd ed.; I. Dover Publications: Mineola, NY, USA, 1993. [Google Scholar]
- Cooley, J.W.; Tukey, J.W. An algorithm for the machine calculation of complex fourier series. Math. Comput. 1965, 19, 249–259. [Google Scholar] [CrossRef]
- Shinozuka, M.; Deodatis, G. Simulation of stochastic processes by spectral representation. Appl. Mech. Rev. 1991, 44, 191–204. [Google Scholar] [CrossRef]
- Hamid, A.; Rasmussen, K.; Baluja, M.; Yang, T. Analytical Descriptions of Track Geometry Variations; Federal Railroad Administration: Washington, DC, USA, 1983.
- Braun, H.; Hellenbroich, T. Messergebnisse von strassenunebenheiten. VDI Berichte 1991, 877, 47–80. [Google Scholar]
- Frederich, F. Die Gleislage—aus fahrzeugtechnischer Sicht [Effect of track geometry on vehicle performance]. Z. Eisenbahnwesen Vekehrstechnik—Glas. Ann. 1984, 108, 355–362. [Google Scholar]
- Van den Broeck, P. A Prediction Model for Ground-Borne Vibrations due to Railway Traffic. Ph.D. Thesis, Departement Burgerlijke Bouwkunde, Katholieke Universiteit Leuven, Leuven, Belgium, 2001. [Google Scholar]
- ISO 8608; Mechanical Vibration—Road Surface Profiles—Reporting Measured Data. I.O.f. Standardization, Editor; CEN: Brussels, Belgium, 1995.
- Forrest, J.A.; Hunt, H.E.M. Ground vibration generated by trains in underground tunnels. J. Sound Vib. 2006, 294, 706–736. [Google Scholar] [CrossRef]
- Forrest, J.A.; Hunt, H.E.M. A three-dimensional tunnel model for calculation of train-induced ground vibration. J. Sound Vib. 2006, 294, 678–705. [Google Scholar] [CrossRef]
- Hussein, M.F.M.; Hunt, H.E.M. A numerical model for calculating vibration from a railway tunnel embedded in a full-space. J. Sound Vib. 2007, 305, 401–431. [Google Scholar] [CrossRef]
- Hussein, M.F.M.; François, S.; Schevenels, M.; Hunt, H.E.M.; Talbot, J.P.; Degrande, G. The fictitious force method for efficient calculation of vibration from a tunnel embedded in a multi-layered half-space. J. Sound Vib. 2014, 333, 6996–7018. [Google Scholar] [CrossRef]
- Colaço, A.; Costa, P.A.; Connolly, D.P. The influence of train properties on railway ground vibrations. Struct. Infrastruct. Eng. 2016, 12, 517–534. [Google Scholar] [CrossRef]
- ISO 2631; Mechanical Vibration and Shock—Evaluation of Human Exposure to Whole-Body Vibration. Part 1: General Requirements. International Organization for Standardization: Genève, Switzerland, 2007.
Disclaimer/Publisher’s Note: The statements, opinions and data contained in all publications are solely those of the individual author(s) and contributor(s) and not of MDPI and/or the editor(s). MDPI and/or the editor(s) disclaim responsibility for any injury to people or property resulting from any ideas, methods, instructions or products referred to in the content. |
© 2024 by the authors. Licensee MDPI, Basel, Switzerland. This article is an open access article distributed under the terms and conditions of the Creative Commons Attribution (CC BY) license (https://creativecommons.org/licenses/by/4.0/).