Relationship between Body Composition and Physical Performance by Sex in Professional Basketball Players
Abstract
1. Introduction
2. Materials and Methods
2.1. Study Design
2.2. Participants
2.3. Body Composition
2.4. Countermovement Jump (CMJ)
2.5. Throwing Ball
2.6. Maximal Isometric Handgrip Strength (MIHS)
2.7. Running Sprint Speed
2.8. Statistical Analysis
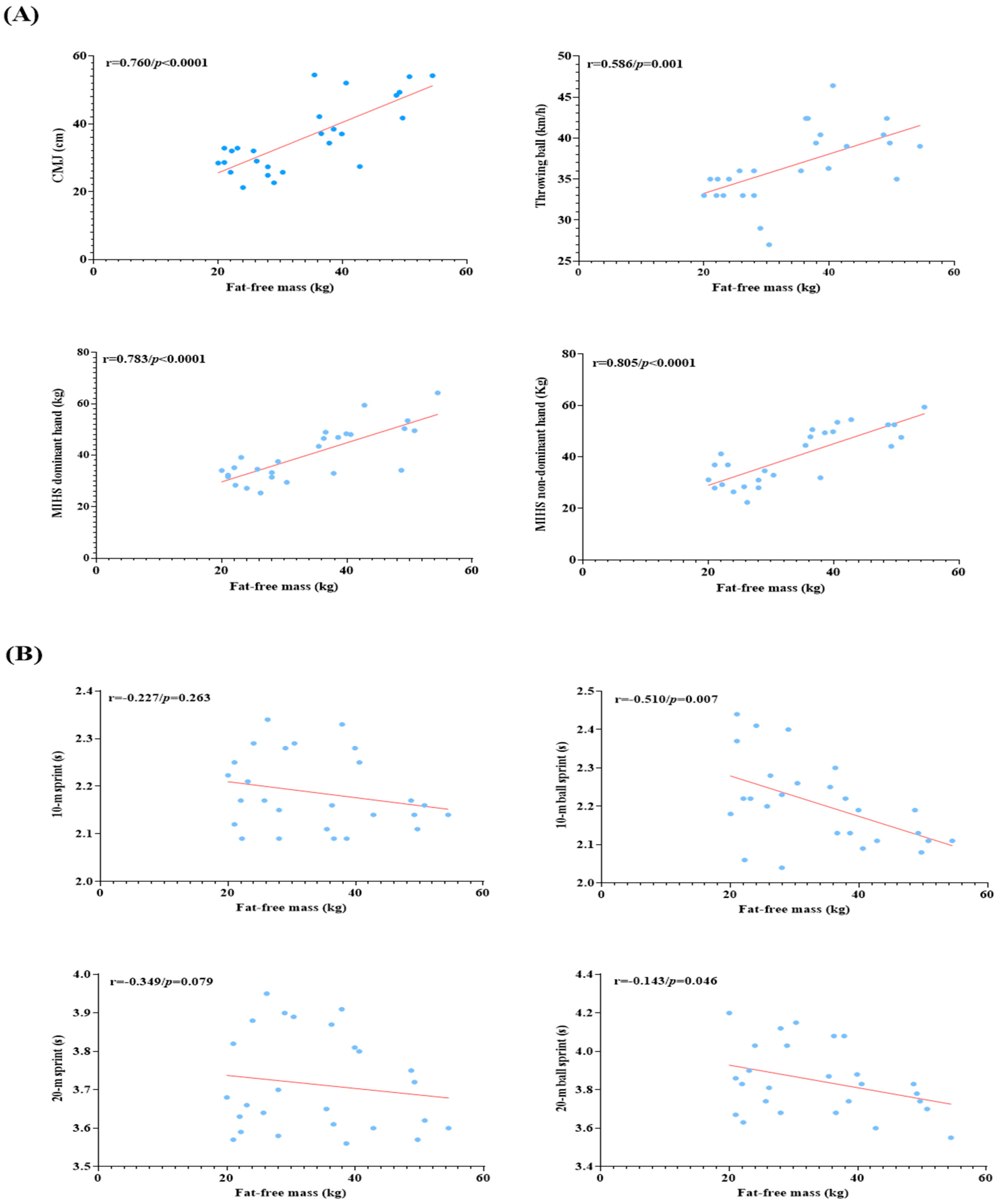
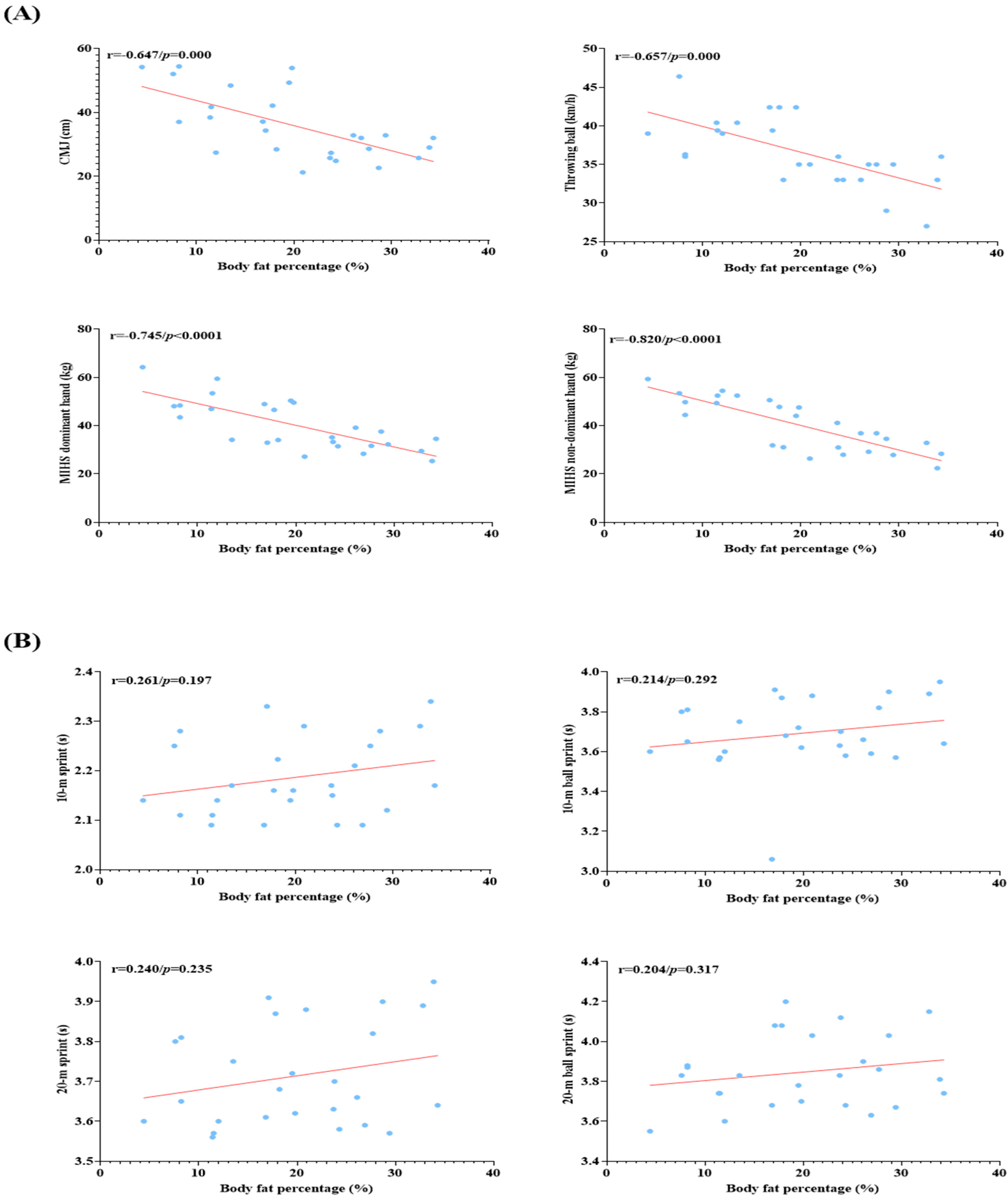
3. Results
4. Discussion
4.1. Limitations and Strengths
4.2. Practical Applications
5. Conclusions
Author Contributions
Funding
Institutional Review Board Statement
Informed Consent Statement
Data Availability Statement
Acknowledgments
Conflicts of Interest
References
- Petway, A.J.; Freitas, T.T.; Calleja-González, J.; Medina Leal, D.; Alcaraz, P.E. Training load and match-play demands in basketball based on competition level: A systematic review. PLoS ONE 2020, 15, e0229212. [Google Scholar] [CrossRef]
- Serrano, L.F.C.; Chaves, D.C.G.; Bernal, A.D. Composición corporal, fuerza explosiva y agilidad en jugadores de baloncesto profesional (Body composition, explosive strength, and agility in professional basketball players). Retos 2023, 49, 189–195. [Google Scholar] [CrossRef]
- Gottlieb, R.; Shalom, A.; Calleja-Gonzalez, J. Physiology of Basketball—Field Tests. Review Article. J. Hum. Kinet. 2021, 77, 159–167. [Google Scholar] [CrossRef] [PubMed]
- Sugiyama, T.; Maeo, S.; Kurihara, T.; Kanehisa, H.; Isaka, T. Change of Direction Speed Tests in Basketball Players: A Brief Review of Test Varieties and Recent Trends. Front. Sports Act. Living 2021, 3, 645350. [Google Scholar] [CrossRef] [PubMed]
- Brini, S.; Boullosa, D.; Calleja-González, J.; Ramirez-Campillo, R.; Nobari, H.; Castagna, C.; Clemente, F.M.; Ardigò, L.P. Neuromuscular and balance adaptations following basketball-specific training programs based on combined drop jump and multidirectional repeated sprint versus multidirectional plyometric training. PLoS ONE 2023, 18, e0283026. [Google Scholar] [CrossRef]
- Carbonell Miralles, V.; Guzmán Luján, J.F.; Dorochenko, P. Efectos de la práctica en variabilidad sobre la autoeficacia y el rendimiento en el lanzamiento en baloncesto (Effects of variability of practice on self-efficacy and performance in basketball throwing). Retos 2023, 47, 498–504. [Google Scholar] [CrossRef]
- Delextrat, A.; Cohen, D. Physiological testing of basketball players: Toward a standard evaluation of anaerobic fitness. J. Strength Cond. Res. 2008, 22, 1066–1072. [Google Scholar] [CrossRef]
- Serrien, B.; Clijsen, R.; Blondeel, J.; Goossens, M.; Baeyens, J.-P. Differences in ball speed and three-dimensional kinematics between male and female handball players during a standing throw with run-up. BMC Sports Sci. Med. Rehabil. 2015, 7, 27. [Google Scholar] [CrossRef]
- Stojanović, E.; Stojiljković, N.; Scanlan, A.T.; Dalbo, V.J.; Berkelmans, D.M.; Milanović, Z. The Activity Demands and Physiological Responses Encountered During Basketball Match-Play: A Systematic Review. Sports Med. 2018, 48, 111–135. [Google Scholar] [CrossRef]
- Vanrenterghem, J.; Nedergaard, N.J.; Robinson, M.A.; Drust, B. Training Load Monitoring in Team Sports: A Novel Framework Separating Physiological and Biomechanical Load-Adaptation Pathways. Sports Med. 2017, 47, 2135–2142. [Google Scholar] [CrossRef]
- Sansone, P.; Makivic, B.; Csapo, R.; Hume, P.; Martínez-Rodríguez, A.; Bauer, P. Body Fat of Basketball Players: A Systematic Review and Meta-Analysis. Sports Med. Open 2022, 8, 26. [Google Scholar] [CrossRef] [PubMed]
- Spiteri, T.; Newton, R.U.; Binetti, M.; Hart, N.H.; Sheppard, J.M.; Nimphius, S. Mechanical Determinants of Faster Change of Direction and Agility Performance in Female Basketball Athletes. J. Strength Cond. Res. 2015, 29, 2205–2214. [Google Scholar] [CrossRef]
- Sprague, A.L.; Smith, A.H.; Knox, P.; Pohlig, R.T.; Grävare Silbernagel, K. Modifiable risk factors for patellar tendinopathy in athletes: A systematic review and meta-analysis. Br. J. Sports Med. 2018, 52, 1575–1585. [Google Scholar] [CrossRef]
- Gómez-Carmona, C.D.; Mancha-Triguero, D.; Pino-Ortega, J.; Ibáñez, S.J. Exploring Physical Fitness Profile of Male and Female Semiprofessional Basketball Players through Principal Component Analysis-A Case Study. J. Funct. Morphol. Kinesiol. 2021, 6, 67. [Google Scholar] [CrossRef]
- Fields, J.; Merrigan, J.; White, J.; Jones, M. Seasonal and Longitudinal Changes in Body Composition by Sport-Position in NCAA Division I Basketball Athletes. Sports 2018, 6, 85. [Google Scholar] [CrossRef] [PubMed]
- Sánchez-Díaz, S.; Yanci, J.; Raya-González, J.; Scanlan, A.T.; Castillo, D. A Comparison in Physical Fitness Attributes, Physical Activity Behaviors, Nutritional Habits, and Nutritional Knowledge Between Elite Male and Female Youth Basketball Players. Front. Psychol. 2021, 12, 685203. [Google Scholar] [CrossRef]
- Philipp, N.M.; Cabarkapa, D.; Nijem, R.M.; Blackburn, S.D.; Fry, A.C. Vertical Jump Neuromuscular Performance Characteristics Determining On-Court Contribution in Male and Female NCAA Division 1 Basketball Players. Sports 2023, 11, 239. [Google Scholar] [CrossRef] [PubMed]
- Barrera-Domínguez, F.J.; Almagro, B.J.; Molina-López, J. The Influence of Functional Movement and Strength upon Linear and Change of Direction Speed in Male and Female Basketball Players. J. Hum. Kinet. 2024, 92, 147–159. [Google Scholar] [CrossRef] [PubMed]
- Koley, S.; Jarnail, S. Anthropometric and physiological characteristics on Indian inter-university basketball players. Citius Altius Fortius 2010, 28, 70. [Google Scholar]
- Ramos, S.; Volossovitch, A.; Ferreira, A.P.; Teles, J.; Fragoso, I.; Massuça, L.M. The Body Composition Effects on Physical Tests and On-Court Game Performance of U-14 Elite Portuguese Basketball Players. Appl. Sci. 2023, 13, 6313. [Google Scholar] [CrossRef]
- Čaušević, D.; Čović, N.; Abazović, E.; Rani, B.; Manolache, G.M.; Ciocan, C.V.; Zaharia, G.; Alexe, D.I. Predictors of Speed and Agility in Youth Male Basketball Players. Appl. Sci. 2023, 13, 7796. [Google Scholar] [CrossRef]
- Sadeghi Boroujerdi, S.; Ghanbari, T.; Hasani, K. The comparison of competitive balances of basketball leagues of Portugal, Italy, Turkey, Czech, Slovenia, Russia, Greece, France and Germany. Sport Sci. Int. Sci. J. Kinesiol. 2013, 6, 44–48. [Google Scholar]
- Shim, Y.; Shin, M. An empirical link between motivation gain and NBA statistics: Applying hierarchical linear modelling. BMC Psychol. 2023, 11, 135. [Google Scholar] [CrossRef] [PubMed]
- Bakkenbüll, L.B. Physical Constitution Matters for Athletic Performance and Salary of NBA Players (No. 1/2017); Diskussionspapier des Instituts für Organisationsökonomik: Münster, Germany, 2017. [Google Scholar]
- Marfell-Jones, M.; Olds, T.; De Ridder, J. International Standards for Anthropometric Assessment; International Society for the Advancement of Kinanthropometry: Lower Hutt, New Zealand, 2012; Volume 137. [Google Scholar]
- Bosco, C.; Luhtanen, P.; Komi, P.V. A simple method for measurement of mechanical power in jumping. Eur. J. Appl. Physiol. Occup. Physiol. 1983, 50, 273–282. [Google Scholar] [CrossRef] [PubMed]
- Floody, P.D.; Navarrete, F.C.; Thuillier, B.C.; Fuentes, F.J.G.; Campillo, R.R.; Barría, M.C.; Román, P.Á.L.; Pinillos, F.G.; Salazar, C.M.; Mayorga, D.J. Comparison of body composition and physical performance between college and professional basketball players. Arch. Med. Deporte Rev. Fed. Española Med. Deporte Confed. Iberoam. Demedicina Deporte 2017, 34, 332–336. [Google Scholar]
- Delextrat, A.; Cohen, D. Strength, Power, Speed, and Agility of Women Basketball Players According to Playing Position. J. Strength Cond. Res. 2009, 23, 1974–1981. [Google Scholar] [CrossRef]
- Weisberg, A.; Gall, J.L.; Stergiou, P.; Katz, L. Comparison of Two Methods to Estimate the Maximal Velocity of a Ball during an Overhand Throw. Proceedings 2020, 49, 43. [Google Scholar] [CrossRef]
- Fess, E. Clinical assessment recommendations. Am. Soc. Hand Ther. 1981, 6–8. [Google Scholar]
- Drozd, M.; Krzysztofik, M.; Nawrocka, M.; Krawczyk, M.; Kotuła, K.; Langer, A.; Maszczyk, A. Analysis of the 30-m running speed test results in soccer players in third soccer leagues. Turk. J. Kinesiol. 2017, 3, 1–5. [Google Scholar]
- Eisinga, R.; Grotenhuis, M.t.; Pelzer, B. The reliability of a two-item scale: Pearson, Cronbach, or Spearman-Brown? Int. J. Public Health 2013, 58, 637–642. [Google Scholar] [CrossRef]
- Cohen, J. A power primer. Psychol. Bull. 1992, 112, 155–159. [Google Scholar] [CrossRef] [PubMed]
- Toro-Román, V.; Grijota, F.J.; Muñoz, D.; Maynar-Mariño, M.; Clemente-Gil, S.; Robles-Gil, M.C. Anthropometry, Body Composition, and Physical Fitness in Semi-Professional Soccer Players: Differences between Sexes and Playing Position. Appl. Sci. 2023, 13, 1249. [Google Scholar] [CrossRef]
- Shi, H.; Clegg, D.J. Sex differences in the regulation of body weight. Physiol. Behav. 2009, 97, 199–204. [Google Scholar] [CrossRef]
- Cordero, M.L.; Cesani, M.F. Crecimiento, estado nutricional y composición corporal: Un estudio transversal sobre las manifestaciones del dimorfismo sexual en escolares de Tucumán, Argentina. Rev. Española Nutr. Humana Dietética 2020, 24, 50–60. [Google Scholar] [CrossRef]
- Pulit, S.L.; Karaderi, T.; Lindgren, C.M. Sexual dimorphisms in genetic loci linked to body fat distribution. Biosci Rep 2017, 37, BSR20160184. [Google Scholar] [CrossRef]
- Taylor, R.W.; Grant, A.M.; Williams, S.M.; Goulding, A. Sex differences in regional body fat distribution from pre- to postpuberty. Obesity 2010, 18, 1410–1416. [Google Scholar] [CrossRef] [PubMed]
- Rivera-Sosa, J.M. Propiedades Antropométricas y Somatotipo de Jugadores de Baloncesto de Diferente Nivel Competitivo. Int. J. Morphol. 2016, 34, 179–188. [Google Scholar] [CrossRef][Green Version]
- Landinez Parra, N.S.; Contreras Valencia, K.; Castro Villamil, Á. Proceso de envejecimiento, ejercicio y fisioterapia. Rev. Cuba. Salud Pública 2012, 38, 562–580. [Google Scholar] [CrossRef]
- Belzunce, M.A.; Henckel, J.; Di Laura, A.; Horga, L.M.; Hart, A.J. Gender similarities and differences in skeletal muscle and body composition: An MRI study of recreational cyclists. BMJ Open Sport Exerc. Med. 2023, 9, e001672. [Google Scholar] [CrossRef]
- Ben Mansour, G.; Kacem, A.; Ishak, M.; Grélot, L.; Ftaiti, F. The effect of body composition on strength and power in male and female students. BMC Sports Sci. Med. Rehabil. 2021, 13, 150. [Google Scholar] [CrossRef]
- Blazevich, A.J.; Sharp, N.C. Understanding muscle architectural adaptation: Macro- and micro-level research. Cells Tissues Organs 2005, 181, 1–10. [Google Scholar] [CrossRef]
- Alegre, L.M.; Lara, A.J.; Elvira, J.L.; Aguado, X. Muscle morphology and jump performance: Gender and intermuscular variability. J. Sports Med. Phys. Fit. 2009, 49, 320–326. [Google Scholar]
- Perez-Gomez, J.; Rodriguez, G.V.; Ara, I.; Olmedillas, H.; Chavarren, J.; González-Henriquez, J.J.; Dorado, C.; Calbet, J.A.L. Role of muscle mass on sprint performance: Gender differences? Eur. J. Appl. Physiol. 2008, 102, 685–694. [Google Scholar] [CrossRef] [PubMed]
- Jaworowski, A.; Porter, M.M.; Holmbäck, A.M.; Downham, D.; Lexell, J. Enzyme activities in the tibialis anterior muscle of young moderately active men and women: Relationship with body composition, muscle cross-sectional area and fibre type composition. Acta Physiol. Scand. 2002, 176, 215–225. [Google Scholar] [CrossRef] [PubMed]
- Cardoso de Araújo, M.; Baumgart, C.; Jansen, C.T.; Freiwald, J.; Hoppe, M.W. Sex Differences in Physical Capacities of German Bundesliga Soccer Players. J. Strength Cond. Res. 2020, 34, 2329–2337. [Google Scholar] [CrossRef]
- Ribeiro, B.; Mota, H.R.; Jorge, F.; Morales, A.; Leite, T.C. Correlation between body composition and the performance of vertical jumps in basketball players. J. Exerc. Physiol. Online 2015, 18, 69–78. [Google Scholar]
- Gil, S.M.; Gil, J.; Ruiz, F.; Irazusta, A.; Irazusta, J. Physiological and anthropometric characteristics of young soccer players according to their playing position: Relevance for the selection process. J. Strength Cond. Res. 2007, 21, 438–445. [Google Scholar] [CrossRef]
- Wagner, H.; Fuchs, P.; Fusco, A.; Fuchs, P.; Bell, W.; Duvillard, S. Physical Performance in Elite Male and Female Team Handball Players. Int. J. Sports Physiol. Perform. 2018, 14, 60–67. [Google Scholar] [CrossRef]
- Tillaar, R.; Cabri, J. Gender differences in the kinematics and ball velocity of overarm throwing in elite team handball players. J. Sports Sci. 2012, 30, 807–813. [Google Scholar] [CrossRef]
- van den Tillaar, R.; Ettema, G. Effect of body size and gender in overarm throwing performance. Eur. J. Appl. Physiol. 2004, 91, 413–418. [Google Scholar] [CrossRef]
- Hermassi, S.; Hayes, L.; Schwesig, R. Can Body Fat Percentage, Body Mass Index, and Specific Field Tests Explain Throwing Ball Velocity in Team Handball Players? Appl. Sci. 2021, 11, 3492. [Google Scholar] [CrossRef]
- Maughan, R.J.; Watson, J.S.; Weir, J. Relationships between muscle strength and muscle cross-sectional area in male sprinters and endurance runners. Eur. J. Appl. Physiol. Occup. Physiol. 1983, 50, 309–318. [Google Scholar] [CrossRef] [PubMed]
- Suchomel, T.J.; Nimphius, S.; Stone, M.H. The Importance of Muscular Strength in Athletic Performance. Sports Med. 2016, 46, 1419–1449. [Google Scholar] [CrossRef] [PubMed]
- Khanna, A.; Koley, S. Comparison of anthropometric profile and handgrip strength between inter-university volleyball players and a reference group. Biomed. Hum. Kinet. 2020, 12, 82–90. [Google Scholar] [CrossRef]
- Page, S.T.; Amory, J.K.; Bowman, F.D.; Anawalt, B.D.; Matsumoto, A.M.; Bremner, W.J.; Tenover, J.L. Exogenous testosterone (T) alone or with finasteride increases physical performance, grip strength, and lean body mass in older men with low serum T. J. Clin. Endocrinol. Metab. 2005, 90, 1502–1510. [Google Scholar] [CrossRef]
- Wang, C.; Swerdloff, R.S.; Iranmanesh, A.; Dobs, A.; Snyder, P.J.; Cunningham, G.; Matsumoto, A.M.; Weber, T.; Berman, N. Transdermal testosterone gel improves sexual function, mood, muscle strength, and body composition parameters in hypogonadal men. J. Clin. Endocrinol. Metab. 2000, 85, 2839–2853. [Google Scholar] [CrossRef]
- Nevill, A.M.; Bate, S.; Holder, R.L. Modeling physiological and anthropometric variables known to vary with body size and other confounding variables. Am. J. Phys. Anthr. 2005, 128 (Suppl. 41), 141–153. [Google Scholar] [CrossRef]
- Hernandez-Martinez, J.; Perez-Carcamo, J.; Canales-Canales, S.; Coñapi-Union, B.; Cid-Calfucura, I.; Herrera-Valenzuela, T.; Branco, B.H.M.; Valdés-Badilla, P. Body Composition and Physical Performance by Playing Position in Amateur Female Soccer Players. Appl. Sci. 2024, 14, 5665. [Google Scholar] [CrossRef]
- Bae, J.Y. Positional Differences in Physique, Physical Strength, and Lower Extremity Stability in Korean Male Elite High School Basketball Athletes. Int. J. Env. Res. Public Health 2022, 19, 3416. [Google Scholar] [CrossRef]
- Khodadadi, F.; Bagheri, R.; Negaresh, R.; Moradi, S.; Nordvall, M.; Camera, D.M.; Wong, A.; Suzuki, K. The Effect of High-Intensity Interval Training Type on Body Fat Percentage, Fat and Fat-Free Mass: A Systematic Review and Meta-Analysis of Randomized Clinical Trials. J. Clin. Med. 2023, 12, 2291. [Google Scholar] [CrossRef]
- Paoli, A.; Cerullo, G.; Bianco, A.; Neri, M.; Gennaro, F.; Charrier, D.; Moro, T. Not Only Protein: Dietary Supplements to Optimize the Skeletal Muscle Growth Response to Resistance Training: The Current State of Knowledge. J. Hum. Kinet. 2024, 91, 225–244. [Google Scholar] [CrossRef]
- Stokes, T.; Hector, A.J.; Morton, R.W.; McGlory, C.; Phillips, S.M. Recent Perspectives Regarding the Role of Dietary Protein for the Promotion of Muscle Hypertrophy with Resistance Exercise Training. Nutrients 2018, 10, 180. [Google Scholar] [CrossRef] [PubMed]
- Maimón, A.; Courel-Ibáñez, J.; Ruíz, F. The Basketball Pass: A Systematic Review. J. Hum. Kinet. 2020, 71, 275–284. [Google Scholar] [CrossRef] [PubMed]
- Theodorou, A.S.; Rizou, H.-P.; Zacharakis, E.; Ktistakis, I.; Bekris, E.; Panoutsakopoulos, V.; Strouzas, P.; Bourdas, D.I.; Kostopoulos, N. Pivot Step Jump: A New Test for Evaluating Jumping Ability in Young Basketball Players. J. Funct. Morphol. Kinesiol. 2022, 7, 116. [Google Scholar] [CrossRef] [PubMed]
- Caamaño-Navarrete, F.; Delgado-Floody, P.; Martinez-Salazar, C.; Jerez-Mayorga, D. Speed and throwing the ball are related to jump capacity and skeletal muscle mass in university basketball players. J. Sports Med. Phys. Fitness 2021, 61, 771–778. [Google Scholar] [CrossRef]


| Male Professional BPs (n = 12) | Female Professional BPs (n = 14) | p Value | |
|---|---|---|---|
| Age (years) | 23.1 ± 4.43 | 24.9 ± 5.41 | 0.354 |
| Body weight (kg) | 86.1 ± 13.7 | 75.0 ± 10.5 | 0.020 |
| Height (cm) | 187.0 ± 9.44 | 175.4 ± 8.97 | 0.001 |
| BMI (kg/m2) | 24.3 ± 2.54 | 24.5 ± 2.53 | 0.000 |
| Body fat percentage (%) | 12.9 ± 4.9 | 25.8 ± 5.99 | 0.000 |
| Fat-free mass (kg) | 43.1 ± 6.52 | 34.9 ± 3.25 | 0.000 |
| CMJ (cm) | 45.2 ± 7.59 | 27.8 ± 3.55 | 0.000 |
| Throwing ball (km/h) | 40.5 ± 3.09 | 34.2 ± 3.16 | 0.000 |
| MIHS dominant hand (kg) | 49.3 ± 7.75 | 32.4 ± 4.37 | 0.000 |
| MIHS non-dominant hand (kg) | 48.5 ± 6.71 | 30.9 ± 4.57 | 0.000 |
| 10 m sprint (s) | 2.16 ± 7.75 | 2.53 ± 5.17 | 0.371 |
| 10 m ball sprint (s) | 2.26 ± 6.88 | 2.35 ± 11.2 | 0.142 |
| 20 m sprint (s) | 3.53 ± 5.18 | 3.70 ± 1.21 | 0.915 |
| 20 m ball sprint (s) | 3.81 ± 15.4 | 3.88 ± 20.0 | 0.301 |
Disclaimer/Publisher’s Note: The statements, opinions and data contained in all publications are solely those of the individual author(s) and contributor(s) and not of MDPI and/or the editor(s). MDPI and/or the editor(s) disclaim responsibility for any injury to people or property resulting from any ideas, methods, instructions or products referred to in the content. |
© 2024 by the authors. Licensee MDPI, Basel, Switzerland. This article is an open access article distributed under the terms and conditions of the Creative Commons Attribution (CC BY) license (https://creativecommons.org/licenses/by/4.0/).
Share and Cite
Hernandez-Martinez, J.; Perez-Carcamo, J.; Coñapi-Union, B.; Canales-Canales, S.; Negron-Molina, M.; Avila-Valencia, S.; Cid-Calfucura, I.; Herrera-Valenzuela, T.; Cisterna, D.; Branco, B.H.M.; et al. Relationship between Body Composition and Physical Performance by Sex in Professional Basketball Players. Appl. Sci. 2024, 14, 9165. https://doi.org/10.3390/app14209165
Hernandez-Martinez J, Perez-Carcamo J, Coñapi-Union B, Canales-Canales S, Negron-Molina M, Avila-Valencia S, Cid-Calfucura I, Herrera-Valenzuela T, Cisterna D, Branco BHM, et al. Relationship between Body Composition and Physical Performance by Sex in Professional Basketball Players. Applied Sciences. 2024; 14(20):9165. https://doi.org/10.3390/app14209165
Chicago/Turabian StyleHernandez-Martinez, Jordan, Joaquín Perez-Carcamo, Bayron Coñapi-Union, Sebastian Canales-Canales, Mario Negron-Molina, Sergio Avila-Valencia, Izham Cid-Calfucura, Tomas Herrera-Valenzuela, Diego Cisterna, Braulio Henrique Magnani Branco, and et al. 2024. "Relationship between Body Composition and Physical Performance by Sex in Professional Basketball Players" Applied Sciences 14, no. 20: 9165. https://doi.org/10.3390/app14209165
APA StyleHernandez-Martinez, J., Perez-Carcamo, J., Coñapi-Union, B., Canales-Canales, S., Negron-Molina, M., Avila-Valencia, S., Cid-Calfucura, I., Herrera-Valenzuela, T., Cisterna, D., Branco, B. H. M., & Valdés-Badilla, P. (2024). Relationship between Body Composition and Physical Performance by Sex in Professional Basketball Players. Applied Sciences, 14(20), 9165. https://doi.org/10.3390/app14209165

