An Open-Source Software Reliability Model Considering Learning Factors and Stochastically Introduced Faults
Abstract
1. Introduction
- (1)
- We propose that in the processes of OSS development, testing, and debugging, fault introduction has the characteristics of stochastic changes.
- (2)
- We use SDE to simulate the stochastic change of three types of fault introductions in the processes of OSS development, testing, and debugging.
- (3)
- We propose that in the processes of OSS development, testing, and debugging, fault introduction is related to existing faults in the software.
2. Related Work
3. Modeling Fault Introduction Process
4. Numerical Examples
4.1. Fault Data Sets for OSS
4.2. Model Comparison Criteria
- Mean Square Error (MSE) [55]. This metric is used to assess how well software RMs fit and predict performance. It calculates the deviation between the estimated fault number of a software RM and the actual fault number detected during software testing.and
- Root Mean Square Error (RMSE) [55]. This measures the square root of the distance between the estimated values and the actual observations. In general, it is used to evaluate the fitting and predictive performance of software RMs.and
- Kolmogorov–Smirnov test (K-S test) [56]. This metric is intended to assess how well software RMs fit. At every point, it calculates the absolute deviation between the expected distribution function from the model and the normalized cumulative distributions of the actual observed rates.Equation (12) is also called Kolmogorov distance (KD).Di = supy|Fi(y) − F(y)|
- The Theil statistic (TS) [55]. This is the average distance percentage between the estimated values from the model and the actual values.and
- Bias [55]. This is the sum of the deviation between the observed values and the estimated values from the model.and
4.3. Estimating Model Parameters
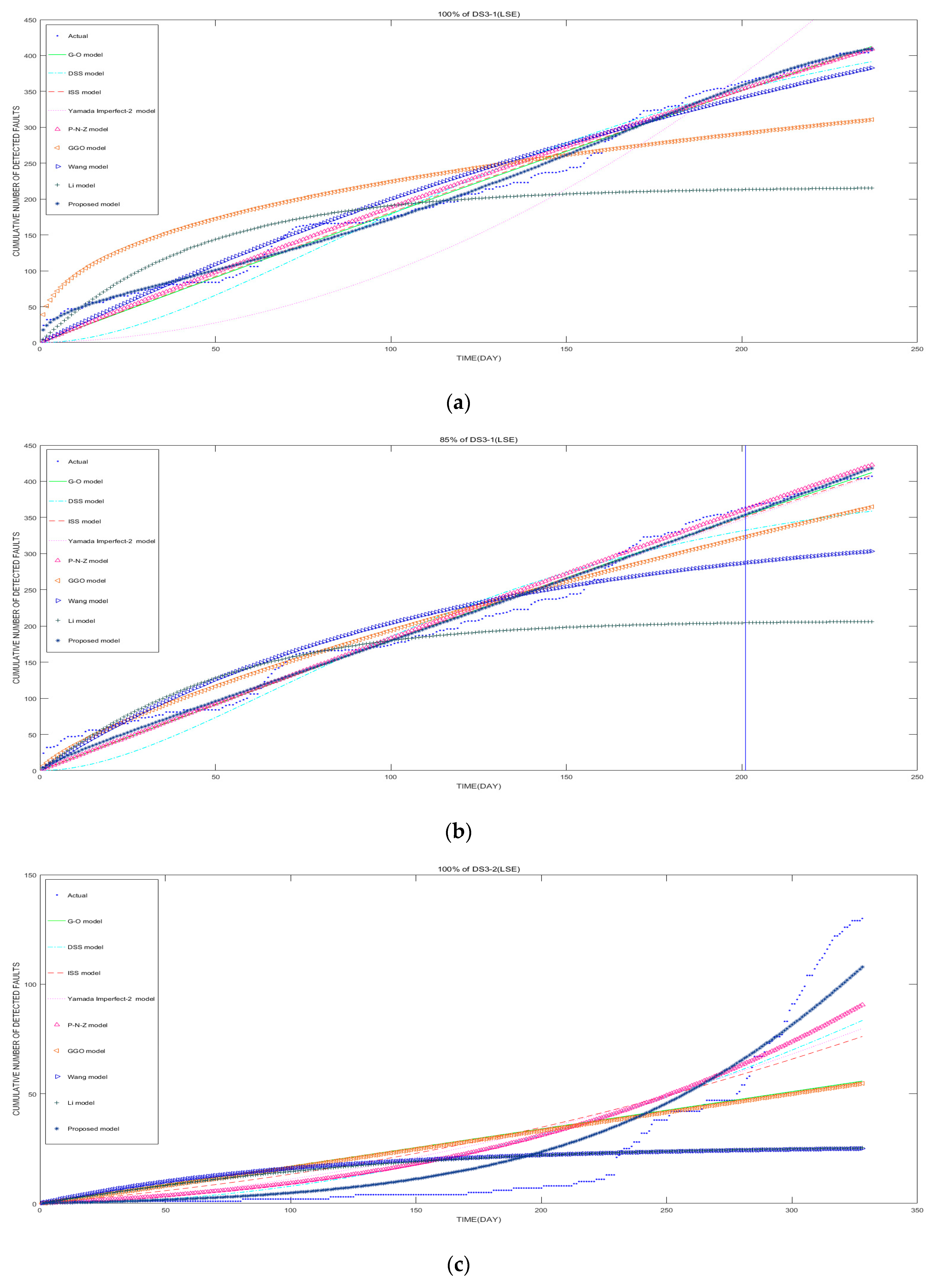
4.4. Analysis and Discussion of Model Performance Comparison Using LSE Estimation Parameter Values
5. Sensitivity Analysis
- (1)
- The total number of original faults (a) in an OSS has an important impact in the process of the OSS development. Because the number of faults in the OSS directly affects and determines the quality and reliability of the OSS, it is a necessary factor to be considered when establishing the RM of OSS.
- (2)
- The FD rate (b) is also an important factor during OSS development and testing. It determines the probability that faults in an OSS will be detected. Its change directly affects the number of faults detected in the OSS. It also determines the number of remaining faults in the OSS. Therefore, it is necessary to consider the influence of the FD rate when establishing the RM of OSS.
- (3)
- The inflection factor () affects the curve shape change in an OSS model. Its changes are related to learning phenomena in the OSS FD. Due to the complexity of OSS FD, community contributors need to continuously learn software in order to continue the development and testing of OSS. So, it has an important impact on OSS reliability modeling.
- (4)
- Fault introduction () also affects the reliability modeling of an OSS. Its changes are related to changes in OSS functions and features. At the same time, its changes also reflect the efficiency of the OSS to completely remove faults.
- (5)
- Parameter d of the PM is also an important parameter. Its changes reflect complicated changes in the introduced faults of an OSS. Its complex changes show the complexity, uncertainty, and randomness of fault introduction for OSS. For example, the PM fits well with the shape of the actual cumulative number of detected faults.
- (6)
- The irregular fluctuation factor is also an important parameter. In the process of OSS development, testing, and debugging, fault introduction presents random changes. The fault introduction intensity function changes irregularly over time. Its changes also reflect the complexity, uncertainty, and randomness of fault introduction.
6. Threats to Validity
7. Conclusions
Author Contributions
Funding
Institutional Review Board Statement
Informed Consent Statement
Data Availability Statement
Acknowledgments
Conflicts of Interest
Abbreviations
| Acronyms | |
| NHPP | Nonhomogeneous Poisson Process |
| LSE | Least Squared Estimation |
| MLE | Maximum Likelihood Estimation |
| MVF | Mean Value Function |
| OSS | Open-Source Software |
| SIF | Stochastically Introduced Fault |
| PM | Proposed Model |
| CSS | Closed-Source Software |
| RM | Reliability Model |
| FDR | Fault Detection Rate |
| IF | Inflection Factor |
| NF | New Fault |
| FD | Fault Detection |
| ID | Imperfect Debugging |
| Notations | |
| Expected cumulative number of the detected faults by time t | |
| Fault content function | |
| b(t) | Fault detection rate function |
| Intensity function of software fault introduction | |
| Standardized white noise of Gaussian | |
| One-dimensional Wiener process with a Gaussian distribution | |
| Number of faults observed by time | |
| Magnitude of the irregular fluctuation | |
| a | Expected total number of initially detected faults |
| b | Fault detection rate |
| d | Shape parameter |
| Inflection factor | |
| Rate parameter of the intensity of fault introduction |
Appendix A
References
- Raymond, E.S. The Cathedral and the Bazaar: Musings on Linux and Open Source by an Accidental Revolutionary; O’Reilly: Sebastopol, CA, USA, 2001. [Google Scholar]
- Li, X.; Li, Y.F.; Xie, M.; Ng, S.H. Reliability analysis and optimal version-updating for open source software. Inf. Softw. Technol. 2011, 53, 929–936. [Google Scholar] [CrossRef]
- Wang, J.; Mi, X. Open Source Software Reliability Model with the Decreasing Trend of Fault Detection Rate. Comput. J. 2018, 62, 1301–1312. [Google Scholar] [CrossRef]
- Zhou, Y.; Davis, J. Open source software reliability model: An empirical approach. In Proceedings of the Fifth Workshop on Open Source Software Engineering, St. Louis, MO, USA, 17 May 2005; pp. 1–6. [Google Scholar] [CrossRef]
- Tamura, Y.; Miyahara, H.; Yamada, S. Reliability analysis based on jump diffusion models for an open source cloud computing. In Proceedings of the 2012 IEEE International Conference on Industrial Engineering and Engineering Management, Hong Kong, China, 10–13 December 2012; pp. 752–756. [Google Scholar] [CrossRef]
- Tamura, Y.; Kawakami, M.; Yamada, S. Reliability modeling and analysis for open source cloud computing. Proc. Inst. Mech. Eng. Part O J. Risk Reliab. 2013, 227, 179–186. [Google Scholar] [CrossRef]
- Tamura, Y.; Yamada, S. Comparison of software reliability assessment methods for open source software. In Proceedings of the 11th International Conference on Parallel and Distributed Systems (ICPADS’05), Fuduoka, Japan, 20–22 July 2005; Volume 2, pp. 488–492. [Google Scholar] [CrossRef]
- Tamura, Y.; Yamada, S. A method of reliability assessment based on deterministic chaos theory for an open source software. In Proceedings of the 2008 Second International Conference on Secure System Integration and Reliability Improvement, Yokohama, Japan, 14–17 July 2008; pp. 60–66. [Google Scholar] [CrossRef]
- Tamura, Y.; Yamada, S. Optimisation analysis for reliability assessment based on stochastic differential equation modelling for open source software. Int. J. Syst. Sci. 2009, 40, 429–438. [Google Scholar] [CrossRef]
- Tamura, Y.; Yamada, S. Software reliability growth model based on stochastic differential equations for open source software. In Proceedings of the 2007 IEEE International Conference on Mechatronics, Kumamoto, Japan, 8–10 May 2007; pp. 1–6. [Google Scholar] [CrossRef]
- Tamura, Y.; Yamada, S. Software reliability assessment and optimal version-upgrade problem for open source software. In Proceedings of the 2007 IEEE International Conference on Systems, Man and Cybernetics, Montreal, QC, Canada, 7–10 October 2007; pp. 1333–1338. [Google Scholar] [CrossRef]
- Wang, J. An imperfect software debugging model considering irregular fluctuation of fault introduction rate. Qual. Eng. 2017, 29, 377–394. [Google Scholar] [CrossRef]
- Lin, C.-T.; Li, Y.-F. Rate-Based Queueing Simulation Model of Open Source Software Debugging Activities. IEEE Trans. Softw. Eng. 2014, 40, 1075–1099. [Google Scholar] [CrossRef]
- Huang, C.-Y.; Kuo, C.-S.; Luan, S.-P. Evaluation and Application of Bounded Generalized Pareto Analysis to Fault Distributions in Open Source Software. IEEE Trans. Reliab. 2013, 63, 309–319. [Google Scholar] [CrossRef]
- Lee, W.; Lee, J.; Baik, J. Software reliability prediction for open source software adoption systems based on early life-cycle measurements. In Proceedings of the IEEE 35th Annual Computer Software and Applications Conference, Munich, Germany, 18–22 July 2011; Volume 111, pp. 366–371. [Google Scholar] [CrossRef]
- Yamada, S.; Tamura, Y. OSS Reliability Measurement and Assessment; Springer International Publishing: Cham, Switzerland, 2016. [Google Scholar]
- Mičko, R.; Chren, S.; Rossi, B. Applicability of Software Reliability Growth Models to Open Source Software. In Proceedings of the 48th Euromicro Conference on Software Engineering and Advanced Applications (SEAA), Gran Canaria, Spain, 31 August–2 September 2022; IEEE: New York, NY, USA, 2002; pp. 255–262. [Google Scholar]
- Zhu, M.; Pham, H. A multi-release software reliability modeling for open source software incorporating dependent fault detection process. Ann. Oper. Res. 2017, 269, 773–790. [Google Scholar] [CrossRef]
- Wang, J. Model of Open Source Software Reliability with Fault Introduction Obeying the Generalized Pareto Distribution. Arab. J. Sci. Eng. 2021, 46, 3981–4000. [Google Scholar] [CrossRef]
- Wang, J. Open source software reliability model with nonlinear fault detection and fault introduction. J. Softw. Evol. Process. 2021, 33, e2385. [Google Scholar] [CrossRef]
- Huang, Y.S.; Chiu, K.C.; Chen, W.M. A software reliability growth model for imperfect debugging. J. Syst. Softw. 2022, 188, 111267. [Google Scholar] [CrossRef]
- Yaghoobi, T.; Leung, M.-F. Modeling Software Reliability with Learning and Fatigue. Mathematics 2023, 11, 3491. [Google Scholar] [CrossRef]
- Singh, S.; Mehrotra, M.; Bharti, T.S. Modeling Reliability Growth among Different Issue Types for Multi-Version Open Source Software. In Proceedings of the 6th International Conference on Information Systems and Computer Networks (ISCON), Mathura, India, 3–4 March 2023; IEEE: New York, NY, USA, 2023; pp. 1–5. [Google Scholar]
- Singhal, S.; Kapur, P.K.; Kumar, V.; Panwar, S. Stochastic debugging based reliability growth models for Open Source Software project. Ann. Oper. Res. 2023, 1–39. [Google Scholar] [CrossRef]
- Liu, X.; Xie, N. Grey-based approach for estimating software reliability under nonhomogeneous Poisson process. J. Syst. Eng. Electron. 2022, 33, 360–369. [Google Scholar] [CrossRef]
- Jagtap, M.; Katragadda, P.; Satelkar, P. Software Reliability: Development of Software Defect Prediction Models Using Advanced Techniques. In Proceedings of the Annual Reliability and Maintainability Symposium (RAMS), Tucson, AZ, USA, 24–27 January 2022; IEEE: New York, NY, USA, 2022; pp. 1–7. [Google Scholar]
- Garg, R.; Raheja, S.; Garg, R.K. Decision support system for optimal selection of software reliability growth models using a hybrid approach. IEEE Trans. Reliab. 2021, 71, 149–161. [Google Scholar] [CrossRef]
- Singh, V.; Kumar, V.; Singh, V.B. Optimal Selection of Software Reliability Growth Models: A CRITIC-CODAS Technique. In Proceedings of the 10th International Conference on Reliability, Infocom Technologies and Optimization (Trends and Future Directions) (ICRITO), Noida, India, 13–14 October 2022; IEEE: New York, NY, USA, 2022; pp. 1–6. [Google Scholar]
- Yaghoobi, T. Selection of optimal software reliability growth model using a diversity index. Soft Comput. 2021, 25, 5339–5353. [Google Scholar] [CrossRef]
- Yang, J.; Liu, Y.; Xie, M.; Zhao, M. Modeling and analysis of reliability of multi-release open source software incorporating both fault detection and correction processes. J. Syst. Softw. 2016, 115, 102–110. [Google Scholar] [CrossRef]
- Saraf, I.; Shrivastava, A.; Iqbal, J. Generalised fault detection and correction modelling framework for multi-release of software. Int. J. Ind. Syst. Eng. 2020, 34, 464–493. [Google Scholar] [CrossRef]
- Khurshid, S.; Shrivastava, A.; Iqbal, J. Generalized Multi-Release Framework for Fault Prediction in Open Source Software. Int. J. Softw. Innov. 2019, 7, 86–107. [Google Scholar] [CrossRef]
- Singh, V.; Sharma, M.; Pham, H. Entropy Based Software Reliability Analysis of Multi-Version Open Source Software. IEEE Trans. Softw. Eng. 2017, 44, 1207–1223. [Google Scholar] [CrossRef]
- Chatterjee, S.; Saha, D.; Sharma, A. Multi-upgradation software reliability growth model with dependency of faults under change point and imperfect debugging. J. Softw. Evol. Process. 2021, 33, e2344. [Google Scholar] [CrossRef]
- Gandhi, N.; Sharma, H.; Aggarwal, A.G.; Tandon, A. Reliability Growth Modeling for Oss: A Method Combining the Bass Model and Imperfect Debugging. In Smart Innovations in Communication and Computational Sciences; Springer: Singapore, 2019; pp. 23–34. [Google Scholar] [CrossRef]
- Diwakar; Aggarwal, A.G. Multi Release Reliability Growth Modeling for OSS under Imperfect Debugging. In System Performance and Management Analytics; Springer: Singapore, 2019; pp. 77–86. [Google Scholar] [CrossRef]
- Tandon, A.; Neha; Aggarwal, A.G. Testing coverage based reliability modeling for multi-release open-source software incorporating fault reduction factor. Life Cycle Reliab. Saf. Eng. 2020, 9, 425–435. [Google Scholar] [CrossRef]
- Saraf, I.; Iqbal, J.; Shrivastava, A.K.; Khurshid, S. Modelling reliability growth for multi-version open source software considering varied testing and debugging factors. Qual. Reliab. Eng. Int. 2021, 38, 1814–1825. [Google Scholar] [CrossRef]
- Pradhan, V.; Kumar, A.; Dhar, J. Modelling software reliability growth through generalized inflection S-shaped fault reduction factor and optimal release time. Proc. Inst. Mech. Eng. Part O J. Risk Reliab. 2021, 236, 18–36. [Google Scholar] [CrossRef]
- Yang, J.; Wang, X.; Huo, Y.; Cai, J. Change point reliability modelling for open source software with masked data using expectation maximization algorithm. In Proceedings of the 2020 Global Reliability and Prognostics and Health Management (PHM-Shanghai), Yantai, China, 13–16 October 2022; pp. 16–18. [Google Scholar] [CrossRef]
- Yang, J.; Chen, J.; Wang, X. EM Algorithm for Estimating Reliability of Multi-Release Open Source Software Based on General Masked Data. IEEE Access 2021, 9, 18890–18903. [Google Scholar] [CrossRef]
- Yang, J.; Zhao, M.; Chen, J. ELS algorithm for estimating open source software reliability with masked data considering both fault detection and correction processes. Commun. Stat.—Theory Methods 2021, 51, 6792–6817. [Google Scholar] [CrossRef]
- Xiao, H.; Cao, M.; Peng, R. Artificial neural network based software fault detection and correction prediction models considering testing effort. Appl. Soft Comput. 2020, 94, 106491. [Google Scholar] [CrossRef]
- Rani, P.; Mahapatra, G.S. Entropy based enhanced particle swarm optimization on multi-objective software reliability modelling for optimal testing resources allocation. Softw. Test. Verif. Reliab. 2021, 31, e1765. [Google Scholar] [CrossRef]
- Arnold, L. Stochastic Differential Equations-Theory and Applications; John Wiley & Sons: New York, NY, USA, 1974. [Google Scholar]
- Wong, E. Stochastic Processes in Information and Systems; McGrawHill: New York, NY, USA, 1971. [Google Scholar]
- Goel, A.L.; Okumoto, K. Time-Dependent Error-Detection Rate Model for Software Reliability and Other Performance Measures. IEEE Trans. Reliab. 1979, R-28, 206–211. [Google Scholar] [CrossRef]
- Illes-Seifert, T.; Paech, B. Exploring the relationship of a file’s history and its fault-proneness: An empirical method and its application to open source programs. Inf. Softw. Technol. 2010, 52, 539–558. [Google Scholar] [CrossRef]
- Bishop, P.G.; Pullen, F.D. Error Masking: A Source of Failure Dependency in Multi-Version Programs. In Dependable Computing and Fault-Tolerant Systems; Springer: Vienna, Austria, 1991. [Google Scholar] [CrossRef]
- Yamada, S.; Ohba, M.; Osaki, S. S-Shaped Reliability Growth Modeling for Software Error Detection. IEEE Trans. Reliab. 1983, R-32, 475–484. [Google Scholar] [CrossRef]
- Ohba, M. Inflection S-Shaped Software Reliability Growth Model. In Stochastic Models in Reliability Theory; Springer: Berlin/Heidelberg, Germany, 1984; pp. 144–162. [Google Scholar] [CrossRef]
- Yamada, S.; Tokuno, K.; Osaki, S. Imperfect debugging models with fault introduction rate for software reliability assessment. Int. J. Syst. Sci. 1992, 23, 2241–2252. [Google Scholar] [CrossRef]
- Pham, H.; Nordmann, L.; Zhang, Z. A general imperfect-software-debugging model with S-shaped fault-detection rate. IEEE Trans. Reliab. 1999, 48, 169–175. [Google Scholar] [CrossRef]
- Goel, A. Software Reliability Models: Assumptions, Limitations, and Applicability. IEEE Trans. Softw. Eng. 1985, SE-11, 1411–1423. [Google Scholar] [CrossRef]
- Sharma, K.; Garg, R.; Nagpal, C.K. Selection of Optimal Software Reliability Growth Models Using a Distance Based Approach. IEEE Trans. Reliab. 2010, 59, 266–276. [Google Scholar] [CrossRef]
- Huang, C.-Y.; Lyu, M.R. Estimation and Analysis of Some Generalized Multiple Change-Point Software Reliability Models. IEEE Trans. Reliab. 2011, 60, 498–514. [Google Scholar] [CrossRef]
- Erto, P.; Giorgio, M.; Lepore, A. The Generalized Inflection S-Shaped Software Reliability Growth Model. IEEE Trans. Reliab. 2018, 69, 228–244. [Google Scholar] [CrossRef]








| Fault Data Sets | Total Number of Detected Faults | Total Time | Time Period of Collected Fault Data Sets | |
|---|---|---|---|---|
| DS1(KNOX) | KNOX 0.3.0 (DS1-1) | 85 | 33 weeks | From March 2013 to November 2013 |
| KNOX 0.4.0 (DS1-2) | 117 | 73 weeks | From March 2013 to August 2014 | |
| KNOX 0.5.0 (DS1-3) | 80 | 83 weeks | From April 2013 to October 2014 | |
| DS2(NIFI) | NIFI 1.2.0 (DS2-1) | 396 | 39 months | From December 2014 to January 2018 |
| NIFI 1.3.0 (DS2-2) | 111 | 179 weeks | From March 2015 to July 2018 | |
| NIFI 1.4.0 (DS2-3) | 201 | 168 weeks | From December 2014 to January 2018 | |
| DS3(TEZ) | TEZ 0.2.0 (DS3-1) | 406 | 237 days | From 19 April 2013 to 1 December 2013 |
| TEZ 0.3.0 (DS3-2) | 130 | 328 days | From 19 April 2013 to 1 March 2014 | |
| TEZ 0.4.0 (DS3-3) | 72 | 164 days | From 8 October 2013 to 30 March 2014 | |
| DS4(BIGTOP) | BIGTOP 0.3.0 (DS5-1) | 92 | 164 days | From October 2011 to April 2012 |
| BIGTOP 0.4.0 (DS5-2) | 237 | 385 days | From September 2011 to October 2012 | |
| BIGTOP 0.5.0 (DS5-3) | 96 | 66 weeks | From September 2011 to December 2012 | |
| Model Name | Mean Value Function (MVF) | Model Description | |
|---|---|---|---|
| 1 | G-O model [47] | CSS RM | |
| 2 | Delayed S-shaped model (DSS) [50] | CSS RM | |
| 3 | Inflection S-shaped model (ISS) [51] | CSS RM | |
| 4 | Yamada Imperfect-2 model [52] | CSS RM | |
| 5 | P-N-Z model [53] | CSS RM | |
| 6 | Weibull distribution model (GGO) [54] | CSS RM | |
| 7 | Wang model [3] | OSS RM | |
| 8 | Li model [2] | OSS RM | |
| 9 | Proposed model (PM) | OSS RM |
| Model | Parameter Estimation Values | MSE | R2 | RMSE | KD | TS | Bias |
|---|---|---|---|---|---|---|---|
| G-O model | a = 7294.4; b = 0.000327 | 84.69 | 0.8715 | 9.2 | 0.2494 | 19.49 | 7.66 |
| Delayed S-shaped model (DSS) | a = 281.75; b = 0.034538 | 74.06 | 0.8876 | 8.61 | 0.1823 | 18.22 | 7.62 |
| Inflection S-shaped model (ISS) | a = 968.32; b = 0.042453; | 52.09 | 0.921 | 7.22 | 0.2192 | 15.28 | 6.16 |
| Yamada Imperfect-2 model | a = 920; b = 0.001384; | 55.15 | 0.9163 | 7.43 | 0.2011 | 15.73 | 6.29 |
| P-N-Z model | a = 126.29; b = 0.0316; ; | 56.16 | 0.9148 | 7.49 | 0.1854 | 15.87 | 6.05 |
| Weibull distribution model (GGO) | a = 828.68; b = 0.002392; c = 1.0687 | 80.84 | 0.8773 | 8.99 | 0.2405 | 19.04 | 7.39 |
| Wang model | a = 133.01; b = 0.000023; ; d = 2.8811 | 84.98 | 0.8711 | 9.22 | 0.2484, | 19.52 | 7.7 |
| Li model | a = 132.92; b = 0.027505; ; N = 12.143 | 178.49 | 0.7292 | 13.36 | 0.3972 | 28.29 | 11.25 |
| PM | a = 100.01; b = 0.047628; ; d = 2.6091; ; | 35.85 | 0.9456 | 5.99 | 0.1438 | 12.68 | 4.82 |
| Model | Parameter Estimation Values | MSE | R2 | RMSE | KD | TS | Bias |
|---|---|---|---|---|---|---|---|
| G-O model | a = 14,739; b = 0.000104 | 373.29 | 0.819 | 19.32 | 0.2872 | 28.37 | 17 |
| Delayed S-shaped model (DSS) | a = 1402.2; b = 0.007262 | 124.31 | 0.9397 | 11.15 | 0.3572 | 16.37 | 8.64 |
| Inflection S-shaped model (ISS) | a = 1219.5; b = 0.01225; | 265.25 | 0.8714 | 16.29 | 0.288 | 23.92 | 13.51 |
| Yamada Imperfect-2 model | a = 1069; b = 0.001073; c = 0.01393 | 257.66 | 0.8751 | 16.05 | 0.2793 | 23.57 | 13.57 |
| P-N-Z model | a = 414.45; b = 0.001462; ; | 247.04 | 0.8802 | 15.72 | 0.3398 | 23.08 | 11.36 |
| Weibull distribution model (GGO) | a = 988.87; b = 0.000455; c = 1.323 | 224.85 | 0.891 | 15 | 0.2736 | 22.02 | 12.59 |
| Wang model | a = 120; b = 0.016791; ; d = 1.2024 | 987.14 | 0.5215 | 31.42 | 0.5562 | 46.14 | 26.89 |
| Li model | a = 120; b = 0.026661; ; N = 3.7994 | 994.26 | 0.518 | 31.53 | 0.5497 | 46.3 | 26.66 |
| PM | a = 102.05; b = 0.12683; ; d = 0.10146; ; | 39.4 | 0.9809 | 6.28 | 0.1762 | 9.22 | 4.99 |
| Model | Parameter Estimation Values | MSE | R2 | RMSE | KD | TS | Bias |
|---|---|---|---|---|---|---|---|
| G-O model | a = 8563.5; b = 0.00007 | 77.12 | 0.7854 | 8.78 | 0.4003 | 29.08 | 6.42 |
| Delayed S-shaped model (DSS) | a = 24846; b = 0.000893 | 26.32 | 0.9268 | 5.13 | 0.2116 | 16.99 | 4.56 |
| Inflection S-shaped model (ISS) | a = 93.807; b = 0.013585; | 87.57 | 0.7563 | 9.36 | 0.4316 | 30.99 | 6.78 |
| Yamada Imperfect-2 model | a = 227.72; b = 0.001534; c = 0.025675 | 42.34 | 0.8822 | 6.51 | 0.2952 | 21.55 | 4.56 |
| P-N-Z model | a = 165.16; b = 0.014861; ; | 35.01 | 0.9026 | 5.92 | 0.2649 | 19.59 | 4.18 |
| Weibull distribution model (GGO) | a = 617.45; b = 0.000389; c = 1.2317 | 58.21 | 0.838 | 7.63 | 0.3515 | 25.26 | 5.35 |
| Wang model | a = 220; b = 0.00029; ; d = 1.9148 | 79.7 | 0.7782 | 8.93 | 0.4072 | 29.56 | 6.49 |
| Li model | a = 219.57; b = 0.008231; ; N = 10.761 | 113.92 | 0.683 | 10.67 | 0.4872 | 35.34 | 7.89 |
| PM | a = 150.02; b = 0.004319; ; d = 2.4545; ; | 16.02 | 0.9554 | 4.0 | 0.1732 | 13.25 | 3.67 |
| Model | Parameter Estimation Values | MSE | R2 | RMSE | KD | TS | Bias |
|---|---|---|---|---|---|---|---|
| G-O model | a = 57,619; b = 0.000146 | 9378.4 | 0.6567 | 96.84 | 0.4692 | 44.9 | 87.82 |
| Delayed S-shaped model (DSS) | a = 208,930; b = 0.001712 | 3622.7 | 0.8674 | 60.19 | 0.3548 | 27.91 | 48.38 |
| Inflection S-shaped model (ISS) | a = 398.82; b = 0.069061; | 9261.9 | 0.661 | 96.24 | 0.4943 | 44.62 | 86.63 |
| Yamada Imperfect-2 model | a = 50,948; b = 0.000013; | 4249.1 | 0.8445 | 65.19 | 0.35 | 30.22 | 52.4 |
| P-N-Z model | a = 114.8; b = 0.15004; ; | 2659.7 | 0.9026 | 51.57 | 0.3059 | 23.91 | 39.05 |
| Weibull distribution model (GGO) | a = 436.11; b = 1 × 10−5; c = 3.389 | 2450.7 | 0.9103 | 49.5 | 0.2516 | 22.95 | 35.99 |
| Wang model | a = 420; b = 0.016864; ; d = 1.2419 | 13,986 | 0.488 | 118.26 | 0.6285 | 54.83 | 108.21 |
| Li model | a = 419.98; b = 0.073397; ; N = 1.2736 | 16,313 | 0.4028 | 127.72 | 0.6895 | 59.22 | 111.16 |
| PM | a = 401.99; b = 0.24812; ; d = 0.78784; ; | 1040 | 0.9619 | 32.25 | 0.2497 | 14.95 | 22.76 |
| Model | Parameter Estimation Values | MSE | R2 | RMSE | KD | TS | Bias |
|---|---|---|---|---|---|---|---|
| G-O model | a = 13,720; b = 0.00004 | 910.49 | 0.6332 | 30.17 | 0.5051 | 46.6 | 27.33 |
| Delayed S-shaped model (DSS) | a = 45,139; b = 0.000442 | 476.11 | 0.8082 | 21.82 | 0.5142 | 33.7 | 17.23 |
| Inflection S-shaped model (ISS) | a = 7594.7; b = 0.000085; | 963.68 | 0.6118 | 31.04 | 0.506 | 47.94 | 26.33 |
| Yamada Imperfect-2 model | a = 2071; b = 0.000162; | 676.83 | 0.7273 | 26.02 | 0.4051 | 40.18 | 22.1 |
| P-N-Z model | a = 1498; b = 0.000545; ; | 960.58 | 0.613 | 30.99 | 0.5095 | 47.87 | 26.59 |
| Weibull distribution model (GGO) | a = 1347.4; b = 0.003495; c = 0.51984 | 1486.4 | 0.4012 | 38.55 | 0.6762 | 59.54 | 36.9 |
| Wang model | a = 120; b = 0.005039; ; d = 1.3032 | 1497.6 | 0.3967 | 38.7 | 0.7125 | 59.77 | 35.45 |
| Li model | a = 120; b = 0.012707; ; N = 3.2208 | 1658.9 | 0.3317 | 40.73 | 0.7479 | 62.9 | 36.45 |
| PM | a = 349.79; b = 0.002847; ; d = 3.0276; ; | 356.92 | 0.8562 | 18.89 | 0.3842 | 29.18 | 12.93 |
| Model | Parameter Estimation Values | MSE | R2 | RMSE | KD | TS | Bias |
|---|---|---|---|---|---|---|---|
| G-O model | a = 14,737; b = 0.00049 | 2219 | 0.5256 | 47.11 | 0.5746 | 56 | 40.5 |
| Delayed S-shaped model (DSS) | a = 253.02; b = 0.00959 | 1813.7 | 0.6123 | 42.59 | 0.5387 | 50.63 | 33 |
| Inflection S-shaped model (ISS) | a = 191.7; b = 0.004842; | 2581.5 | 0.4481 | 50.81 | 0.6305 | 60.4 | 42.14 |
| Yamada Imperfect-2 model | a = 2514.3; b = 0.000181; | 1713.1 | 0.6338 | 41.39 | 0.4954 | 49.21 | 34.78 |
| P-N-Z model | a = 226.63; b = 0.007945; ; | 1297.9 | 0.7225 | 36.03 | 0.4251 | 42.83 | 29.84 |
| Weibull distribution model (GGO) | a = 2310.3; b = 0.000434; c = 0.92979 | 2359.6 | 0.4956 | 48.58 | 0.5925 | 57.75 | 41.74 |
| Wang model | a = 220; b = 0.008512; ; d = 0.92986 | 3256.6 | 0.3038 | 57.07 | 0.7148 | 67.84 | 43.71 |
| Li model | a = 219.98; b = 0.017717; ; N = 1.4019 | 3660.9 | 0.2174 | 60.51 | 0.7617 | 71.93 | 42.6 |
| PM | a = 199.9; b = 0.014022; ; d = 2.2099; ; | 1142.3 | 0.7558 | 33.8 | 0.392 | 40.18 | 27.67 |
| Model | Parameter Estimation Values | MSE | R2 | RMSE | KD | TS | Bias |
|---|---|---|---|---|---|---|---|
| G-O model | a = 3860.1; b = 0.000477 | 272.52 | 0.9792 | 16.51 | 0.1825 | 6.79 | 13.71 |
| Delayed S-shaped model (DSS) | a = 484.4; b = 0.012872 | 723.34 | 0.9449 | 26.9 | 0.2467 | 11.06 | 22.68 |
| Inflection S-shaped model (ISS) | a = 2604.3; b = 0.000768; | 275.1 | 0.979 | 16.59 | 0.187 | 6.82 | 13.94 |
| Yamada Imperfect-2 model | a = 803.59; b = 0.000135; | 3684.6 | 0.7203 | 60.7 | 0.2895 | 24.92 | 55.12 |
| P-N-Z model | a = 619.52; b = 0.003312; ; | 279.26 | 0.9788 | 16.71 | 0.0816 | 6.86 | 14.23 |
| Weibull distribution model (GGO) | a = 9379.7; b = 0.004168; c = 0.38209 | 3506 | 0.7339 | 59.21 | 0.3538 | 24.3 | 54.54 |
| Wang model | a = 220; b = 0.001238; ; d = 1.9418 | 495.98 | 0.9624 | 22.27 | 0.1354 | 9.14 | 20.07 |
| Li model | a = 220.03; b = 0.008648; ; N = 9.9537 | 7708 | 0.4149 | 87.8 | 0.4837 | 36.04 | 63.54 |
| PM | a = 1714.5; b = 0.005115; ; d = 0.4337; ; | 122.31 | 0.9907 | 11.06 | 0.0741 | 4.54 | 8.47 |
| Model | Parameter Estimation Values | MSE | R2 | RMSE | KD | TS | Bias |
|---|---|---|---|---|---|---|---|
| G-O model | a = 12,170; b = 0.000015 | 604.47 | 0.497 | 24.59 | 0.6019 | 59.28 | 18.57 |
| Delayed S-shaped model (DSS) | a = 204,190; b = 0.000088 | 291.13 | 0.7578 | 17.06 | 0.3903 | 41.14 | 12.78 |
| Inflection S-shaped model (ISS) | a = 247.57; b = 0.006256; | 407.72 | 0.6607 | 20.19 | 0.4619 | 48.69 | 16.11 |
| Yamada Imperfect-2 model | a = 2948.2; b = 0.000018; | 359.18 | 0.7011 | 18.95 | 0.4337 | 45.7 | 14.84 |
| P-N-Z model | a = 140.39; b = 0.006483; ; | 262.13 | 0.7819 | 16.19 | 0.3515 | 39.04 | 12.77 |
| Weibull distribution model (GGO) | a = 1114.2; b = 0.000129; c = 1.03 | 600.94 | 0.5 | 24.51 | 0.5991 | 59.11 | 18.23 |
| Wang model | a = 220; b = 0.004571; ; d = 0.92305 | 1004.4 | 0.1642 | 31.69 | 0.8387 | 76.42 | 21.3 |
| Li model | a = 220; b = 0.011034; ; N = 0.30068 | 983.72 | 0.1814 | 31.36 | 0.8284 | 75.63 | 20.59 |
| PM | a = 148.72; b = 0.013007; ; d = 0.19862; ; | 113.84 | 0.9053 | 10.67 | 0.2245 | 25.73 | 8.02 |
| Model | Parameter Estimation Values | MSE | R2 | RMSE | KD | TS | Bias |
|---|---|---|---|---|---|---|---|
| G-O model | a = 6735.5; b = 0.000023 | 174.27 | 0.4091 | 13.2 | 0.6948 | 66.13 | 9.88 |
| Delayed S-shaped model (DSS) | a = 137,680; b = 0.000144 | 103.14 | 0.6502 | 10.16 | 0.5092 | 50.88 | 7.01 |
| Inflection S-shaped model (ISS) | a = 113.1; b = 0.027176; | 65.37 | 0.7783 | 8.08 | 0.3873 | 40.5 | 5.54 |
| Yamada Imperfect-2 model | a = 474.57; b = 0.000142; | 129.1 | 0.5622 | 11.36 | 0.5723 | 56.92 | 8.1 |
| P-N-Z model | a = 215.56; b = 0.008277; ; | 92.29 | 0.687 | 9.61 | 0.4593 | 48.13 | 6.98 |
| Weibull distribution model (GGO) | a = 301.19; b = 4 × 10−6; c = 2.0165 | 109.29 | 0.6294 | 10.45 | 0.5187 | 52.37 | 6.88 |
| Wang model | a = 220; b = 0.007303; ; d = 0.77038 | 240.35 | 0.185 | 15.5 | 0.8572 | 77.66 | 10.26 |
| Li model | a = 220; b = 0.012906; ; N = 0.27747 | 219.45 | 0.2559 | 14.81 | 0.8185 | 74.21 | 10.17 |
| PM | a = 150.01; b = 0.018062; ; d = 1.0871; ; | 57.79 | 0.804 | 7.6 | 0.3472 | 38.08 | 5.42 |
| Model | Parameter Estimation Values | MSEpredict | RMSEpredict | TSpredict | Biaspredict |
|---|---|---|---|---|---|
| G-O model | a = 4340; b = 0.000502 | 302.96 | 17.41 | 20.67 | 2.6 |
| Delayed S-shaped model (DSS) | a = 159.89; b = 0.050676 | 108.09 | 10.4 | 12.35 | 1.48 |
| Inflection S-shaped model (ISS) | a = 529.13; b = 0.043241; | 49.52 | 7.04 | 8.36 | 0.86 |
| Yamada Imperfect-2 model | a = 1821.4; b = 0.0008092; | 74.46 | 8.63 | 10.25 | 1.1 |
| P-N-Z model | a = 137.86; b = 0.033775; ; | 54.95 | 7.41 | 8.8 | 0.91 |
| Weibull distribution model (GGO) | a = 559.16; b = 0.006495; c = 0.83948 | 530.95 | 23.04 | 27.37 | 3.48 |
| Wang model | a = 133.01; b = 0.000027; ; d = 2.865 | 343.62 | 18.54 | 22.02 | 2.78 |
| Li model | a = 132.98; b = 0.026009; ; N = 8.4145 | 868.29 | 29.47 | 35 | 4.46 |
| PM | a = 180; b = 0.024217; ; d = 2.0528; ; | 45.63 | 6.76 | 8.02 | 0.84 |
| Model | Parameter Estimation Values | MSEpredict | RMSEpredict | TSpredict | Biaspredict |
|---|---|---|---|---|---|
| G-O model | a = 15,384; b = 0.000093 | 384.31 | 19.6 | 16.89 | 2.88 |
| Delayed S-shaped model (DSS) | a = 69,278; b = 0.000963 | 860.68 | 29.34 | 25.27 | 3.98 |
| Inflection S-shaped model (ISS) | a = 169.49; b = 0.09902; | 721.22 | 26.86 | 23.13 | 3.91 |
| Yamada Imperfect-2 model | a = 550.62; b = 0.00016; | 809.63 | 28.45 | 24.51 | 3.84 |
| P-N-Z model | a = 116.44; b = 0.095367; ; | 832.66 | 28.86 | 24.86 | 4.16 |
| Weibull distribution model (GGO) | a = 774.76; b = 0.002447; c = 0.93203 | 644.44 | 25.39 | 21.87 | 3.79 |
| Wang model | a = 220; b = 0.000497; ; d = 2.0004 | 473.97 | 21.77 | 18.75 | 3.22 |
| Li model | a = 126.26; b = 0.019206; ; N = 8.0543 | 795.44 | 28.2 | 24.29 | 4.22 |
| PM | a = 188; b = 0.006066; ; d = 0.96689; ; | 211.38 | 14.54 | 12.52 | 2.05 |
| Model | Parameter Estimation Values | MSEpredict | RMSEpredict | TSpredict | Biaspredict |
|---|---|---|---|---|---|
| G-O model | a = 4124.8; b = 0.000117 | 657.47 | 25.64 | 41.34 | 3.44 |
| Delayed S-shaped model (DSS) | a = 162.24; b = 0.013341 | 332.53 | 18.24 | 29.4 | 2.33 |
| Inflection S-shaped model (ISS) | a = 93.789; b = 0.031273; | 336.23 | 18.34 | 29.56 | 2.35 |
| Yamada Imperfect-2 model | a = 89.907; b = 0.003484; | 406.58 | 20.16 | 32.51 | 2.63 |
| P-N-Z model | a = 163.03; b = 0.008491; ; | 454.22 | 21.31 | 34.36 | 2.8 |
| Weibull distribution model (GGO) | a = 500.27; b = 0.000441; c = 1.2008 | 555.69 | 23.57 | 38 | 3.13 |
| Wang model | a = 220; b = 0.000431; ; d = 1.758 | 694.05 | 26.34 | 42.47 | 3.54 |
| Li model | a = 117.61; b = 0.009977; ; N = 15.754 | 991.27 | 31.48 | 50.76 | 4.29 |
| PM | a = 149.9; b = 0.019652; ; d = 2.5565; ; | 113.91 | 10.67 | 17.21 | 1.22 |
| Model | Parameter Estimation Values | MSEpredict | RMSEpredict | TSpredict | Biaspredict |
|---|---|---|---|---|---|
| G-O model | a = 57,779; b = 0.000119 | 20,925 | 144.66 | 36.65 | 22.19 |
| Delayed S-shaped model (DSS) | a = 1150.4; b = 0.025851 | 13,432 | 115.9 | 29.37 | 17.62 |
| Inflection S-shaped model (ISS) | a = 578.36; b = 0.27254; | 13,260 | 115.15 | 29.18 | 17.2 |
| Yamada Imperfect-2 model | a = 301.53; b = 0.008722; | 3863.1 | 62.15 | 15.75 | 8.75 |
| P-N-Z model | a = 460.31; b = 0.065729; ; | 6923 | 83.2 | 21.08 | 10.43 |
| Weibull distribution model (GGO) | a = 2836.8; b = 1 × 10−6; c = 3.4407 | 50,403 | 224.51 | 56.88 | 32 |
| Wang model | a = 420; b = 0.003043; ; d = 1.7471 | 28,218 | 167.98 | 42.56 | 25.81 |
| Li model | a = 420.01; b = 0.03163; ; N = 3.6529 | 50,748 | 225.27 | 57.08 | 34.65 |
| PM | a = 399.97; b = 0.074046; ; d = 1.5573; ; | 1789.1 | 42.3 | 10.72 | 5.48 |
| Model | Parameter Estimation Values | MSEpredict | RMSEpredict | TSpredict | Biaspredict |
|---|---|---|---|---|---|
| G-O model | a = 12,240; b = 0.000039 | 972.08 | 31.18 | 28.35 | 4.67 |
| Delayed S-shaped model (DSS) | a = 189,750; b = 0.00022 | 317.25 | 17.81 | 16.2 | 2.18 |
| Inflection S-shaped model (ISS) | a = 146.14; b = 0.063423; | 720.84 | 26.85 | 24.42 | 4 |
| Yamada Imperfect-2 model | a = 1191.2; b = 0.000045; | 189.53 | 13.77 | 12.52 | 1.69 |
| P-N-Z model | a = 170.5; b = 0.008725; ; | 1152.1 | 33.94 | 30.87 | 4.57 |
| Weibull distribution model (GGO) | a = 984.25; b = 0.000719; c = 0.91933 | 1247.1 | 35.31 | 32.11 | 5.31 |
| Wang model | a = 120; b = 0.008146; ; d = 1.0133 | 4943.9 | 70.31 | 63.94 | 10.61 |
| Li model | a = 120; b = 0.012852; ; N = 3.0644 | 4369.6 | 66.1 | 60.11 | 9.97 |
| PM | a = 199.99; b = 0.001332; ; d = 1.3562; ; | 92.41 | 9.61 | 8.74 | 1.19 |
| Model | Parameter Estimation Values | MSEpredict | RMSEpredict | TSpredict | Biaspredict |
|---|---|---|---|---|---|
| G-O model | a = 13,587; b = 0.000028 | 18,870 | 137.37 | 69.88 | 20.41 |
| Delayed S-shaped model (DSS) | a = 199,080; b = 0.000195 | 11,278 | 106.2 | 54.02 | 15.77 |
| Inflection S-shaped model (ISS) | a = 1121.3; b = 0.050711; | 6141.7 | 78.37 | 39.86 | 9.02 |
| Yamada Imperfect-2 model | a = 1405; b = 0.000009; | 10,835 | 104.09 | 52.95 | 15.45 |
| P-N-Z model | a = 64.107; b = 0.009432; ; | 12,738 | 112.86 | 57.41 | 16.76 |
| Weibull distribution model (GGO) | a = 932.41; b = 0.000008; c = 1.8644 | 11,953 | 109.33 | 55.61 | 16.24 |
| Wang model | a = 220; b = 0.008994; ; d = 0.81963 | 25,696 | 160.3 | 81.54 | 23.82 |
| Li model | a = 219.94; b = 0.27305; ; N = 5.5202 | 29,722 | 172.4 | 87.7 | 25.62 |
| PM | a = 202.02; b = 0.031377; ; d = 1.1128; ; | 1484.8 | 38.53 | 19.6 | 5.1 |
| Model | Parameter Estimation Values | MSEpredict | RMSEpredict | TSpredict | Biaspredict |
|---|---|---|---|---|---|
| G-O model | a = 3600; b = 0.000513 | 29.79 | 5.46 | 1.41 | 0.73 |
| Delayed S-shaped model (DSS) | a = 408.41; b = 0.015366 | 1659.2 | 40.73 | 10.52 | 6.11 |
| Inflection S-shaped model (ISS) | a = 2159.8; b = 0.001081; | 51.27 | 7.16 | 1.85 | 0.99 |
| Yamada Imperfect-2 model | a = 156.87; b = 0.012401; | 83.56 | 9.14 | 2.36 | 1.27 |
| P-N-Z model | a = 1013.5; b = 0.00246; ; | 58.24 | 7.63 | 1.97 | 0.97 |
| Weibull distribution model (GGO) | a = 13,594; b = 0.00048; c = 0.73826 | 1788.6 | 42.29 | 10.92 | 6.41 |
| Wang model | a = 220; b = 0.00395; ; d = 1.4774 | 8394.4 | 91.62 | 23.66 | 13.84 |
| Li model | a = 520; b = 0.022143; ; N = 1.3252 | 33,109 | 181.96 | 46.99 | 27.56 |
| PM | a = 400.01; b = 0.003037; ; d = 0.72174; ; | 28.75 | 5.36 | 1.38 | 0.61 |
| Model | Parameter Estimation Values | MSEpredict | RMSEpredict | TSpredict | Biaspredict |
|---|---|---|---|---|---|
| G-O model | a = 4364.7; b = 0.00002 | 5368.5 | 73.27 | 74 | 10.38 |
| Delayed S-shaped model (DSS) | a = 31,017; b = 0.000173 | 3392.1 | 58.24 | 58.82 | 8.14 |
| Inflection S-shaped model (ISS) | a = 9387.6; b = 0.00004; | 2094.6 | 45.77 | 46.22 | 6.01 |
| Yamada Imperfect-2 model | a = 197.18; b = 0.000238; | 4317.1 | 65.71 | 66.36 | 9.25 |
| P-N-Z model | a = 401.93; b = 0.005908; ; | 3091.9 | 55.61 | 56.16 | 7.77 |
| Weibull distribution model (GGO) | a = 316.51; b = 0.000003; c = 1.9495 | 1719.6 | 41.47 | 41.88 | 5.46 |
| Wang model | a = 520; b = 0.004203; ; d = 0.71584 | 7561.4 | 86.96 | 87.82 | 12.47 |
| Li model | a = 520; b = 0.006785; ; N = 0.10747 | 6656.2 | 81.59 | 82.4 | 11.65 |
| PM | a = 150.04; b = 0.010432; ; d = 1.0354; ; | 1469.1 | 38.33 | 38.71 | 5.28 |
| Model | Parameter Estimation Values | MSEpredict | RMSEpredict | TSpredict | Biaspredict |
|---|---|---|---|---|---|
| G-O model | a = 4246.8; b = 0.000014 | 1605.8 | 40.07 | 82.26 | 5.68 |
| Delayed S-shaped model (DSS) | a = 57,610; b = 0.000147 | 1221.5 | 34.95 | 71.75 | 4.9 |
| Inflection S-shaped model (ISS) | a = 62.975; b = 0.040457; | 563.23 | 23.73 | 48.72 | 3.22 |
| Yamada Imperfect-2 model | a = 61.613; b = 0.00053; | 1394.8 | 37.35 | 76.67 | 5.26 |
| P-N-Z model | a = 208.37; b = 0.014731; ; | 1073.1 | 32.76 | 67.25 | 4.57 |
| Weibull distribution model (GGO) | a = 67.157; b = 0.000034; c = 1.7283 | 1364.8 | 36.94 | 75.84 | 5.2 |
| Wang model | a = 220; b = 0.006693; ; d = 0.65349 | 1913.5 | 43.74 | 89.8 | 6.26 |
| Li model | a = 220; b = 0.007648; ; N = 0.73774 | 1766.1 | 42.02 | 86.27 | 5.99 |
| PM | a = 102; b = 0.047586; ; d = 0.15255; ; | 9.13 | 3.02 | 6.2 | 0.39 |
Disclaimer/Publisher’s Note: The statements, opinions and data contained in all publications are solely those of the individual author(s) and contributor(s) and not of MDPI and/or the editor(s). MDPI and/or the editor(s) disclaim responsibility for any injury to people or property resulting from any ideas, methods, instructions or products referred to in the content. |
© 2024 by the authors. Licensee MDPI, Basel, Switzerland. This article is an open access article distributed under the terms and conditions of the Creative Commons Attribution (CC BY) license (https://creativecommons.org/licenses/by/4.0/).
Share and Cite
Wang, J.; Zhang, C. An Open-Source Software Reliability Model Considering Learning Factors and Stochastically Introduced Faults. Appl. Sci. 2024, 14, 708. https://doi.org/10.3390/app14020708
Wang J, Zhang C. An Open-Source Software Reliability Model Considering Learning Factors and Stochastically Introduced Faults. Applied Sciences. 2024; 14(2):708. https://doi.org/10.3390/app14020708
Chicago/Turabian StyleWang, Jinyong, and Ce Zhang. 2024. "An Open-Source Software Reliability Model Considering Learning Factors and Stochastically Introduced Faults" Applied Sciences 14, no. 2: 708. https://doi.org/10.3390/app14020708
APA StyleWang, J., & Zhang, C. (2024). An Open-Source Software Reliability Model Considering Learning Factors and Stochastically Introduced Faults. Applied Sciences, 14(2), 708. https://doi.org/10.3390/app14020708
