Abstract
This study presents an air quality monitoring system that employs the Arduino Uno microcontroller. The system is augmented with a moving average filter and data fusion techniques from BME680 and CCS811 sensors, which are designed to process and combine data from these sensors. The system was tested and analyzed empirically across a range of residential environments in order to validate its efficacy. The findings indicated that the typical IAQ level in a bedroom was approximately 20 units. However, this level increased significantly, reaching 140 units, within minutes after the introduction of a 17% perfume spray. In contrast, the use of an aromatic diffuser resulted in a smaller increase in IAQ to 40 units, which returned to normal levels after ventilation. Moreover, the analysis demonstrated that the kitchen and bathroom exhibited inferior air quality in comparison to the bedroom. This was evidenced by elevated VOC and humidity levels, which were observed to be 10–20% higher due to the combined effects of household activities and inadequate ventilation. This study makes a significant contribution to the field of air quality monitoring by proposing a solution that employs sensor technology and data processing methods to enhance the quality of life within residential spaces.
1. Introduction
The importance of indoor air quality (IAQ) in affecting human health and well-being is undeniable, particularly given the significant amount of time people spend indoors [1,2,3]. Poor IAQ can cause a range of physiological issues and potential long-term health problems, extending beyond simple discomfort [4]. Research indicates a concerning association between prolonged exposure to poor IAQ and a significant increase in cancer risk, estimated at 16% [1]. Volatile organic compounds (VOCs) are recognized as significant contributors to the deterioration of IAQ, despite their often-unnoticed presence [5,6,7]. Achieving an indoor environment with minimal VOC presence remains a challenging goal, with complete elimination appearing particularly elusive. In response to this challenge, targeted strategies for managing VOC emissions have been developed [8,9,10]. While these actions are valuable, they represent gradual steps toward achieving lower VOC concentrations. CO2 levels and humidity also have substantial effects on indoor environments.
In this connection, there is a need to develop effective monitoring systems for these parameters to prevent their further negative impact. It is equally important to process the data flow from the sensors of such systems. Due to the complexity of the issue and the importance of accurate IAQ monitoring, a data filtration method, specifically, the moving average filter was implemented [11]. Additionally, data fusion from two sensors was integrated into a sensor-based air quality monitoring system. This dual approach represents a significant advancement, enhancing the system’s capability to provide a comprehensive analysis of air quality [12,13]. Furthermore, data fusion can provide a more comprehensive understanding of IAQ by leveraging the unique strengths of each sensor [14,15].
Several studies have investigated different systems for monitoring air quality, demonstrating the effectiveness of IoT technologies in using cost-effective sensors to evaluate indoor air quality [1,16,17,18]. Previous studies have primarily focused on analyzing indoor environmental quality in various building types [19,20,21,22,23,24,25]. Despite the extensive body of work in this field, there is still a noticeable gap in research focusing on air quality monitoring in different residential areas. In recent years, there have been notable advancements in sensor technology and data fusion methods, which have led to significant improvements in the precision and versatility of IAQ monitoring systems. Modern low-cost, high-sensitivity sensors, which measure VOC, CO2, and environmental factors, have become the foundation of many IAQ systems. These sensors, in conjunction with machine learning algorithms, are being employed with increasing frequency to forecast IAQ trends and anomalies. Furthermore, the utilization of sophisticated filtering algorithms, including Kalman filters and wavelet transforms, has enabled researchers to refine data in real time, eliminating noise and providing more reliable insights into air quality dynamics [15,26,27,28,29]. Despite the extensive body of work in this field, there is still a noticeable gap in research focusing on air quality monitoring in different residential areas.
This study aims to address this gap by improving the understanding of IAQ factors in homes and promoting the use of monitoring systems in residential spaces. This work investigates the impact of common household activities and products on IAQ and air quality disparities within different areas of the home. This study utilizes Arduino Uno-based systems, along with Internet of Things (IoT) technology and cost-effective sensors. The developed and implemented system is optimized for IAQ surveillance and appointed to provide actionable insights for occupants to improve their living conditions. By integrating both a moving average filter and data fusion from multiple sensors, this research builds upon existing methods and offers a robust solution for real-time IAQ assessment in domestic settings. Our study employs controlled experiments to elucidate the effect of the introduction of aromatic additives on IAQ parameters, thereby providing valuable insights into the potential health implications.
2. Implementation of the System
The Arduino Uno platform is the foundation of the system due to its robust computational abilities and extensive compatibility with various protocols via its interfaces. This platform was chosen for its user-friendliness and widespread acceptance across numerous projects, ensuring seamless integration and application versatility [30].
To capture a broad spectrum of air quality metrics, the system integrates two multifunctional sensors: the BME680 and CCS811. The sensors are selected for their precision in capturing environmental data, including temperature, humidity, atmospheric pressure, carbon dioxide (CO2) concentrations, VOC, and IAQ.
The system aims to provide a convenient and effective tool for IAQ evaluation, catering to the growing consumer interest in intelligent home technologies that enhance both environmental health and individual comfort.
Figure 1 provides an overview of the system’s design, while Figure 2 offers a detailed view of the electrical circuitry that underpins the intelligent air quality monitoring system. The diagram clarifies the connections and functionalities within the system, revealing its operational dynamics and the intricate workings of its components.
Figure 1.
External appearance of the developed system.
Figure 2.
Functional electrical circuit diagram of the system.
The system’s design centers around the BME680 and CCS811 sensors, which are integrated using the I2C communication protocol to interface with the Arduino Uno microcontroller [26]. These sensors continuously monitor and quantify key air quality metrics, including temperature, humidity, atmospheric pressure, CO2, and VOC concentrations. The sensors collect data which are then sent to the microcontroller for analysis.
The BME680 sensor, developed by Bosch, is a versatile environmental sensor that integrates the measurement of various environmental parameters, including gas, humidity, temperature, and pressure. It integrates the measurement of VOC (formaldehyde, benzene, toluene, acetone, ethanol, and xylene) from various sources such as paints, lacquers, paint strippers, cleaning supplies, furnishings, office equipment, glues, adhesives, etc. The device is capable of measuring CO2 levels with rapid response times of under one second, rendering it suitable for real-time monitoring of air quality. Furthermore, the sensor is capable of accurately measuring humidity (0% to 100% RH), temperature (−40 °C to +85 °C), and atmospheric pressure (300 to 1100 hPa). The BME680 is operational within a voltage range from 1.7 V to 3.6 V and is encased in a compact package measuring 3.0 mm × 3.0 mm × 0.93 mm, supporting both I2C and SPI communication interfaces.
In contrast, the CCS811 sensor (SparkFun, Niwot, CO, USA) has been designed with the specific purpose of monitoring indoor air quality. It is capable of measuring equivalent CO2 levels from 400 to 8192 ppm and VOC levels from 0 to 1187 ppb. This sensor is designed with an emphasis on air quality assessment, with a particular focus on the detection and quantification of airborne pollutants. The CCS811 operates within a voltage range from 1.8 V to 3.6 V, utilizing the I2C communication interface. Its compact form factor (2.7 mm × 4.0 mm × 1.1 mm) and specialized gas sensing capabilities make it particularly well-suited for applications where accurate indoor air quality measurements are essential.
The sensors are capable of detecting changes in total volatile organic compound (TVOC) concentrations, which include analytes such as formaldehyde, benzene, toluene, acetone, ethanol, and xylene. It should be noted, however, that the BME680 and CCS811 sensors are not designed to specifically identify or differentiate between individual VOC. In lieu of identifying specific VOCs, these sensors provide a comprehensive assessment of indoor air quality by detecting the overall presence of VOCs. To illustrate, the BME680 (Bosch Sensortec, Kusterdingen, Germany) employs a metal-oxide gas sensor to respond to a diverse array of airborne pollutants, whereas the CCS811 gauges VOC levels without isolating specific compounds. Our objective was not to achieve selective detection of individual VOC, which is why we selected these specific sensors. Nevertheless, selective VOC detection can be integrated into our system by incorporating additional sensors designed for that purpose.
The Arduino Uno microcontroller acts as the central point of the system, receiving and processing sensor data [31]. It uses its processing capabilities to execute complex algorithms and evaluate the gathered IAQ parameters, providing a detailed assessment of the air quality in the monitored environment. The NX3224T028 (ITEAD Intelligent Systems Co., Ltd., Shenzhen, China) display serves as a user-friendly interface [32], connecting directly to the Arduino Uno through the UART port, which includes both RXD and TXD functionalities [33]. This configuration enables the display to promptly present air quality data to users, empowering them to make informed decisions and actively contribute to enhancing IAQ [34]. Additionally, the system includes an audible warning feature. This feature is activated by a single input to the speaker, which emits audible alerts when air quality levels exceed predetermined limits. This critical function acts as an effective alert system, facilitating swift action to address air quality concerns and enhancing the safety and healthiness of indoor environments [35].
The air quality monitoring system has a color-coded display that intuitively shows important air quality metrics. This display gives users an immediate overview of the IAQ in the observed area, including CO2 levels and VOC concentrations.
The integration of the color-coded display significantly enhances user interaction and accessibility, making it an ideal tool for a wide range of users, regardless of their technical background. This feature encourages users to actively participate in monitoring and improving their IAQ.
The system is designed to provide an accessible and straightforward means for users to assess air quality, as demonstrated by the combination of the color-coded display and the detailed air quality index in Table 1. This highlights the system’s role in promoting informed and proactive IAQ management.
Table 1.
The ranges for the color-coded air quality indicators.
Table 2 shows the maximum possible measurement deviations for various air quality indicators in the air quality monitoring system. These deviations are in line with the specifications provided by the sensor manufacturers, confirming the system’s measurement precision and reliability.
Table 2.
The maximum possible measurement deviations of the air quality indicators.
An air quality monitoring system was developed using a moving average filter algorithm to enhance data processing efficiency. The filter window was set to encompass 10 measurements, which effectively reduced temporal noise and deviations inherent in sensor-derived data. The system was designed based on empirical analysis to balance noise mitigation and preservation of significant data trends [36].
It includes a moving average filter that utilizes a cyclic buffer for sensor data management. This configuration enables real-time data processing by dynamically updating with new measurements while discarding the oldest [37]. This results in the calculation of an average based on the ten most recent readings, providing a more precise representation of IAQ. The use of a moving average filter improves data quality by reducing noise interference. This enhances the system’s adaptability across diverse measurement scenarios and increases the reliability and accuracy of air quality monitoring.
As part of developing an air quality monitoring system, data from the BME680 and CCS811 sensors was integrated using optimal fusion parameters to ensure high accuracy and reliability of monitoring [38]. The strategy was to exploit the synergy between the two sensors. The BME680 provided important temperature and humidity data, while the CCS811 focused on measuring VOC concentrations and equivalent CO2 levels. This combination of data provided a more complete picture of IAQ.
To implement data fusion effectively, an algorithm integrating measurements from both sensors was developed, considering their timestamps to synchronize the data [39]. The system analyzes the collected data using machine learning techniques, such as neural networks, to identify relationships between humidity, temperature, VOC, and CO2 parameters. This approach enables the accurate determination of air pollutant levels and the prediction of potential changes in air quality based on the dynamics of these parameters.
The integration process considers the significance of normalization and pre-processing of input data to ensure compatibility and compliance with the analytical model’s requirements. The use of filtering and normalization helps eliminate potential data distortions and improve the accuracy of the system’s conclusions. The integration results demonstrate that using data from multiple sensors improves the accuracy of air quality measurements.
In order to achieve the optimal data fusion process, a weighted averaging technique was employed, whereby data from the BME680 and CCS811 sensors were combined in order to leverage the strengths of each sensor. The multi-parameter readings provided by the BME680 were enhanced by data obtained from the CCS811, thus facilitating a more comprehensive understanding of IAQ. The fusion algorithm assigns weights based on the accuracy and relevance of each sensor’s data for specific air quality parameters, thereby ensuring that the final readings reflect the most reliable and pertinent information.
The efficacy of these algorithms was verified through extensive testing across diverse residential environments. The effectiveness of the moving average filter was validated by comparing raw sensor data with filtered data, demonstrating a clear reduction in noise and transient anomalies without sacrificing significant trends.
Our machine learning model processes the sensor data to recognize patterns and correlations that may not be immediately apparent through simple observation. This analysis enables the system to provide more meaningful and actionable insights into indoor air quality, thereby facilitating proactive air quality management. This machine learning-based approach is a key element of the system’s intellectualization, transforming it from an ordinary measuring device into an intelligent air quality management tool.
The integration of BME680 and CCS811 sensor data in a fusion air quality monitoring system is a crucial step toward developing an advanced solution capable of providing an accurate and comprehensive assessment of air quality in residential areas. The use of advanced data processing methods significantly enhances the system’s potential to detect and respond to changes in air quality, contributing to a healthier and safer home environment [40].
The calibration of the CC811 and BME680 sensors is a crucial process in order to ensure precise and reliable indoor air quality monitoring. The CC811 sensor requires an initial baseline correction in order to account for sensor drift over time. This is achieved by exposing the sensor to clean air to establish a reference point. The baseline correction is vital as it adjusts the sensor’s output to reflect true ambient conditions. Additionally, the sensor is subjected to environmental conditioning, whereby it is subjected to controlled variations in temperature and humidity. This step helps to understand the sensor’s behavior under different conditions and allows for necessary adjustments to be made to maintain accuracy. Furthermore, the CC811 sensor is exposed to known concentrations of target gases. During this stage, the sensor’s readings are compared to the known values, and adjustments are made to align the sensor’s response with the actual gas concentrations. This process ensures that the sensor is able to accurately detect and quantify VOC and CO2 levels in real-world scenarios.
The BME680 sensor, which integrates gas, pressure, humidity, and temperature sensing capabilities, undergoes a similarly detailed calibration process. Temperature calibration is performed by placing the sensor in environments with known temperature levels and adjusting its readings to match these known values. Humidity calibration follows a similar procedure, where the sensor is exposed to environments with known humidity levels. In order to ensure the precise detection of gases, the BME680 sensor is exposed to standard concentrations of gases. Its response is then calibrated in order to account for any discrepancies. Additionally, the BME680 utilizes sophisticated compensation algorithms that integrate temperature and humidity data in order to correct gas concentration readings. These algorithms ensure that the sensor’s output remains accurate under varying environmental conditions, accounting for potential cross-sensitivity effects among the different measured parameters. This comprehensive calibration process for both sensors ensures that they provide reliable and accurate data for indoor air quality monitoring, rendering them effective tools for maintaining healthy indoor environments. By meticulously calibrating these sensors, we can ensure they deliver high-quality performance, which is essential for applications in smart homes, HVAC systems, and environmental monitoring solutions.
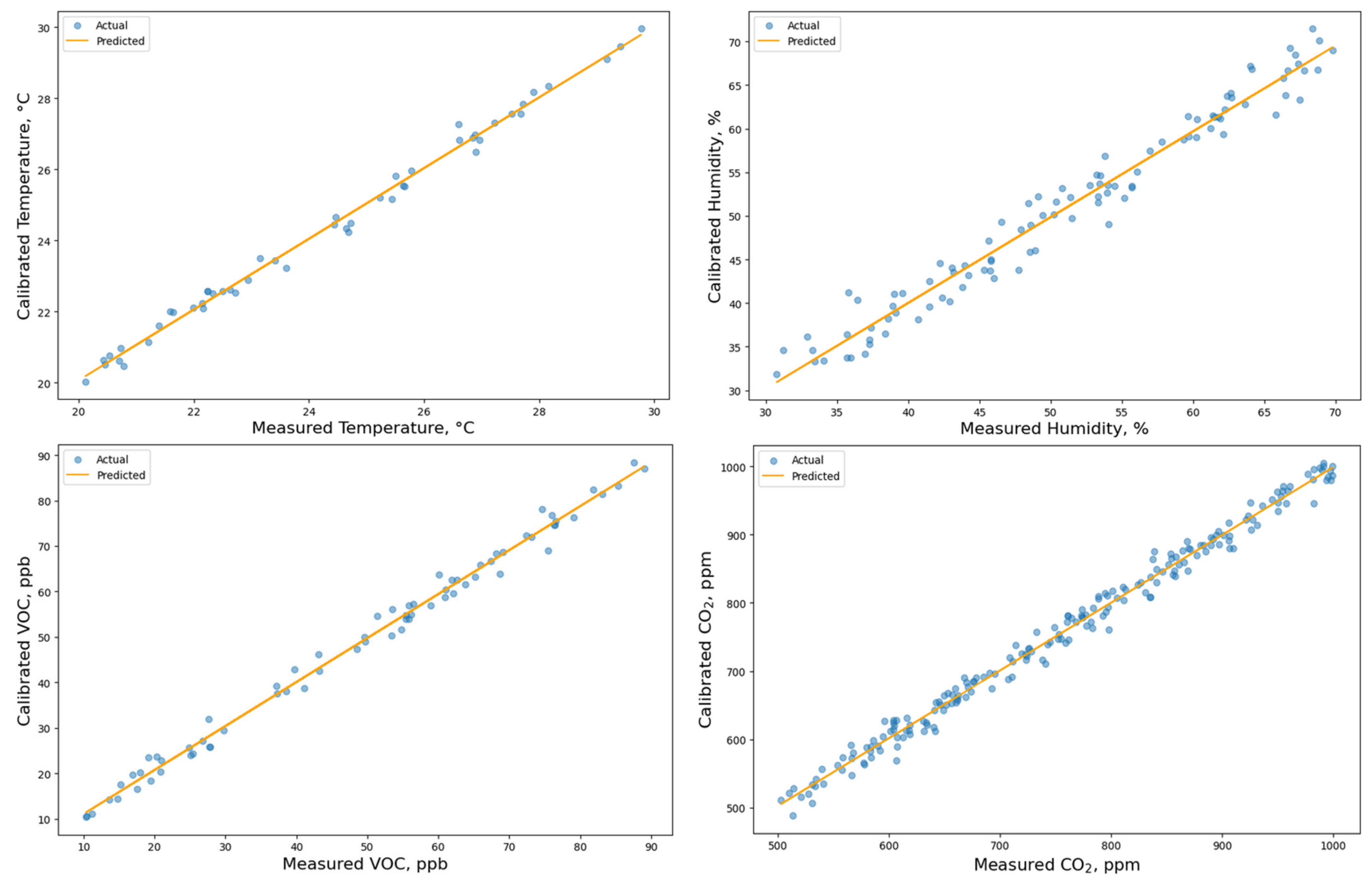
A comprehensive calibration of two sensors was conducted, with a focus on temperature, humidity, VOC, and CO2 measurements. The calibration was performed by comparing the sensor readings to reference values obtained under controlled laboratory conditions. Post-calibration, the results demonstrated a significant improvement in the accuracy of both sensors. The calibrated data closely aligned with the laboratory reference values, indicating that the calibration procedure effectively reduced measurement discrepancies and enhanced overall sensor performance. Figure 3 illustrates the calibration results for temperature, humidity, VOC, and CO2, respectively.
Figure 3.
Results of temperature, humidity, VOC, and CO2 calibrations.
3. Analysis of the Variation of the Air Quality in the Different Living Rooms of a Single Building
This study aimed to conduct an examination of the variations in air quality across different rooms within a single building, specifically a bedroom, a kitchen, and a bathroom. Three identical systems were designed to collect sensor data continuously for 10 days. To ensure consistency and reduce the impact of time-related variability, measurements were systematically taken at 1:00 PM each day. A 30-min sensor calibration period was conducted before each data recording session to ensure the accuracy and reliability of the gathered data [33]. This methodical approach allowed for a detailed exploration of the air quality dynamics unique to each of the examined living spaces.
Figure 4 presents a comparison of the discrepancies between the three identical systems. These figures illustrate that there are minimal differences between the systems. Due to the meticulous calibration process, a lower level of error was achieved than initially anticipated by the manufacturers.
Figure 4.
Temperature (a), humidity (b), VOC (c), and CO2 (d) comparisons of the three systems.
The investigation generated comprehensive data on four key air quality metrics: IAQ, humidity, CO2 levels, and VOC. Each metric was meticulously recorded and evaluated for the three rooms under study. Figure 5 illustrates the CO2 levels, Figure 6 shows the humidity data, Figure 7 depicts the findings related to IAQ, and Figure 8 displays the VOC measurements.
Figure 5.
Dataset for carbon dioxide.
Figure 6.
Dataset for humidity.
Figure 7.
Dataset for indoor air quality.
Figure 8.
Dataset for volatile organic compounds.
This study aims to disclose the distinct air quality variations observed within different residential zones by analyzing the patterns depicted in these figures. It focuses on IAQ and aims to shed light on the underlying causes affecting it. The study paves the way for future research and interventions to improve living conditions. The outcomes of this analysis provide a basis for making informed decisions and adopting evidence-based strategies to promote healthier and eco-friendlier indoor environments.
Figure 5 shows the difference in CO2 levels between the kitchen, bathroom, and bedroom, with the kitchen having the highest CO2 concentrations. The significant disparity in CO2 concentrations, with the kitchen exhibiting the highest levels, suggests the presence of underlying factors influencing indoor air quality dynamics within each space. In the kitchen, the elevated CO2 levels may stem from various sources, including inadequate ventilation, the use of gas appliances, and the accumulation of airborne contaminants emitted during cooking activities [27,41]. Additionally, factors such as poor air circulation and limited airflow contribute to the buildup of CO2 in this area.
Conversely, the bathroom demonstrates relatively lower CO2 levels compared to the kitchen, indicative of improved ventilation practices or the presence of exhaust fans that facilitate the removal of indoor air pollutants. However, despite the apparent ventilation improvements, the use of cleaning products and air fresheners in the bathroom may introduce VOC into the air, contributing to a decline in overall air quality when compared to the bedroom environment. Furthermore, it is crucial to consider the frequency and duration of occupancy in each space, as human activities can significantly influence indoor air quality parameters. For instance, prolonged occupancy in the kitchen during meal preparation may lead to higher CO2 levels due to increased metabolic activity and exhalation of occupants. The observed differences in CO2 levels among the kitchen, bathroom, and bedroom underscore the complex interplay of various factors, including ventilation efficiency, human activities, and the presence of indoor pollutants. A more comprehensive understanding of these dynamics is essential for the implementation of targeted interventions designed to improve indoor air quality and enhance occupant well-being.
The humidity variations depicted in Figure 6 highlight distinct patterns across different indoor spaces. The kitchen and bathroom exhibit higher humidity levels than the bedroom. These elevated humidity levels can be attributed to several factors, including activities involving water use and the lack of efficient ventilation systems in these areas [42]. In the kitchen, culinary processes such as cooking and dishwashing contribute to increased moisture levels in the air. The evaporation of water during cooking, boiling, and steaming activities adds humidity to the indoor environment, particularly in the absence of adequate ventilation to remove excess moisture. Similarly, in the bathroom, activities such as showering, bathing, and air-drying laundry introduce moisture into the air, leading to higher humidity levels within this space. Furthermore, the general lack of efficient ventilation exacerbates the humidity levels in both the kitchen and bathroom. In the absence of effective airflow and ventilation systems, moisture accumulates, creating an environment conducive to mold growth and other indoor air quality issues. In contrast, the bedroom typically exhibits lower humidity levels due to reduced water-related activities and potentially better ventilation. However, factors such as proximity to external sources of moisture, such as leaky pipes or damp walls, may still influence humidity levels in this space. It is, therefore, of the utmost importance to gain an understanding of the implications of these humidity variations if one is to be able to mitigate indoor air quality issues and maintain a comfortable and healthy indoor environment. Implementing strategies to improve ventilation, such as installing exhaust fans or utilizing dehumidifiers, can help regulate humidity levels and prevent moisture-related problems in indoor spaces. Additionally, promoting good ventilation practices and minimizing activities that contribute to excessive moisture build-up can further enhance indoor air quality and occupant comfort.
The variations in IAQ depicted in Figure 7 highlight distinct patterns across different indoor spaces. The kitchen and bathroom exhibit lower air quality compared to the bedroom. Several factors contribute to these differences, including the presence of household chemicals, cleaning products, and air fresheners, coupled with elevated humidity levels in these spaces. In the kitchen, the use of cooking appliances, cleaning agents, and other household chemicals can release VOC into the air, contributing to reduced IAQ. Furthermore, the combustion of fuels and the production of particulate matter during cooking activities can also contribute to the deterioration of air quality in this area. The combination of these factors, in conjunction with potentially inadequate ventilation, can create an environment conducive to the accumulation of indoor air pollutants [43].
Similarly, the bathroom may also contain a variety of household chemicals, including cleaning products, personal care items, and air fresheners, which can emit VOC and other pollutants into the air. It is of the utmost importance to gain an understanding of the factors influencing IAQ variations if effective strategies are to be implemented to improve indoor air quality and promote occupant health and well-being. Measures such as proper ventilation, regular cleaning and maintenance, and the minimization of the use of potentially harmful chemicals can help to mitigate indoor air pollution and create a healthier indoor environment for occupants.
Figure 8 illustrates the distribution of VOC concentrations across the examined living spaces, demonstrating notable disparities among them. The highest concentrations of VOC are observed in the bathroom, primarily attributed to the presence and use of air fresheners, cleaning products, cosmetics, and personal care items [44]. These sources emit a variety of VOC into the air, contributing to elevated levels within the confined space of the bathroom.
In the kitchen, the levels of VOC are influenced by the cooking activities that take place there and the operation of air heaters, both of which can release VOCs into the indoor environment. Cooking processes, including frying, baking, and grilling, produce combustion byproducts and cooking emissions, which further contribute to the VOC load in the kitchen air. Additionally, the operation of gas appliances and the use of certain cooking materials may also contribute to VOC emissions. Conversely, in the bedroom, sources of VOC are minimal compared to those in the kitchen and bathroom. While personal care products and cleaning agents may still contribute to VOC emissions to some extent, their impact is typically lower in this space. As a result, VOC concentrations in the bedroom are generally lower compared to the other living spaces examined.
In order to provide a comprehensive background for our indoor air quality assessments, we conducted outdoor measurements for temperature and humidity over a period of 10 days. These measurements serve as a reference to better understand the dynamics of the indoor environment. The inclusion of outdoor temperature and humidity data, presented alongside the existing indoor IAQ indexes, enables a more nuanced analysis by accounting for external influences. This approach helps to contextualize the indoor air quality data, offering a clearer understanding of the factors affecting indoor environmental conditions. The accompanying images illustrate the outdoor temperature and humidity trends, providing essential background information for our study. Figure 9 presents the outdoor temperature and Figure 10 shows the outdoor humidity.
Figure 9.
Dataset for outside temperature.
Figure 10.
Dataset for outside humidity.
Figure 11 illustrates the fluctuations in CO2, VOC levels, and IAQ index throughout the day, from 8:00 to 22:00.
Figure 11.
Variations in CO2 levels (a) as well as VOC Levels and IAQ (b) throughout the day.
This visualization offers a comprehensive overview of the fluctuations in concentrations of volatile organic compounds and their corresponding impact on indoor air quality over the course of the day. The illustration demonstrates the relatively stable behavior of the IAQ index and VOC levels throughout the day, with IAQ remaining within the range of 50–65 and VOC concentrations between 15 and 20. These stable levels indicate that, despite the occurrence of daily indoor activities, there were no notable increases in pollutant sources such as cleaning products, cooking, or aerosols that typically elevate VOC levels. Similarly, the IAQ index, which is influenced by a combination of CO2, VOC, and other factors, demonstrates minimal variation, indicating that the indoor air quality remained moderate without significant deterioration throughout the day.
However, the CO2 concentration demonstrates a consistent upward trajectory, rising from 460 ppm at 08:00 to 620 ppm by 22:00. This increase can be attributed to the gradual accumulation of exhaled CO2 from occupants in the enclosed environment, combined with potentially limited ventilation throughout the day. The uninterrupted increase in CO2 levels, without parallel rises in VOC or IAQ values, underscores the influence of human activity, particularly respiration, on indoor air quality. This trend in CO2 emphasizes the necessity for effective ventilation in order to prevent the accumulation of carbon dioxide in residential spaces, particularly in situations where IAQ and VOC levels may remain constant but CO2 rises due to inadequate air circulation. Prolonged exposure to elevated CO2 concentrations can result in discomfort and a reduction in cognitive function, making it a crucial parameter to monitor and address.
In our analysis, we employed machine learning techniques, particularly neural networks, to identify and model the relationships between different air quality parameters, including humidity, temperature, CO2, and VOC. The neural networks were trained on off-the-shelf datasets, and the results were presented using data collected from CCS811 and BME680 sensors. Data preprocessing techniques were employed to ensure the quality and relevance of the input data. Consequently, predicted values were generated that exhibited a high degree of correlation with actual sensor measurements, as illustrated in the accompanying calibration graphs.
The predicted trend was derived from a model trained on a substantial dataset of experiments conducted in controlled laboratory environments. The implementation of controlled conditions permitted the attainment of consistent measurements and the minimization of external variability, thereby facilitating more accurate predictions.
It should be noted, however, that the actual trend presented in the figures is based on an experiment conducted in a living space, where a number of uncontrolled factors could potentially influence VOC levels. Such factors include the influence of daily activities, discrepancies in ventilation, and the existence of supplementary VOC sources, which are not always present or accounted for in laboratory conditions. The graphs illustrate the relationship between the measured and calibrated values of temperature, humidity, and CO2 with VOC, thereby demonstrating the underlying dynamics of air quality indicators. They also highlight the challenges of applying laboratory-based models to real-world environments.
Figure 12 illustrates the correlation between VOC concentrations and temperature using machine learning models. It presents expected versus actual correlations, highlighting the predictive capabilities of the model in capturing fluctuations in VOC levels in response to temperature changes. This figure aids in understanding the dynamic relationship between temperature variations and VOC emissions.
Figure 12.
Correlation between VOC and temperature.
Figure 13 explores the relationship between VOC concentrations and humidity levels through machine learning analysis. It depicts the expected versus observed correlations, providing insights into how humidity influences VOC emissions. The figure illustrates the model’s capacity to identify patterns and dependencies between humidity and VOC levels.
Figure 13.
Correlation between VOC and humidity.
Figure 14 depicts the variation of VOC concentrations with CO2 levels using machine learning techniques. It presents anticipated versus actual correlations, showcasing the model’s efficacy in capturing the interplay between VOC emissions and CO2 concentrations. This visual aids in understanding potential co-emission sources or interactions between VOCs and CO2 in ambient air.
Figure 14.
Correlation between VOC and CO2.
The strength of these correlations varies depending on the specific IAQ parameters involved. For instance, the relationship between CO2 and VOC concentrations is more complex, as both are influenced by different sources and activities within a living space. In contrast, humidity and VOC levels often show a more straightforward relationship, as changes in humidity can directly affect the emission rates of certain VOCs.
In terms of statistical significance, the correlations observed in the controlled laboratory settings were robust, with high correlation coefficients indicating the strong predictive power of the model. However, as previously discussed, the actual trends in real-world environments, such as those observed in the living space experiments, may show discrepancies due to uncontrolled variables. This variability can lead to weaker correlations in practical applications, underscoring the need for caution when interpreting these figures in non-laboratory conditions.
Although the machine learning models exhibit robust and statistically significant correlations in controlled settings, the inherent complexity and variability of real-world environments may attenuate the strength of these correlations, underscoring the necessity for caution when interpreting the results of IAQ monitoring systems in practical applications.
4. Analysis of the Impact of Fragrance Products on Indoor Air Quality
In modern scientific inquiry, IAQ is a crucial concern due to the release of VOC from household cleaning products and chemical interactions. These VOCs can significantly degrade IAQ, potentially resulting in adverse health outcomes and discomfort for residents.
This study conducted an analysis of the effect of household products that emit VOC on IAQ. The study included commonly used items such as aromatic diffusers, perfumes, and aerosol sprays, which are often used for air freshening, personal care, and cleaning.
To measure the impact of these products on IAQ, advanced analytical methods were used to measure key IAQ parameters, including concentrations of CO2 and VOC. Accurate CO2 measurements are essential in evaluating indoor air ventilation efficiency and the breathing activity of occupants. VOC levels, on the other hand, indicate the release of potentially hazardous compounds into the environment.
Figure 15 shows the impact of aromatic diffuser and perfume on CO2 (a), IAQ (b), and VOC (c). Figure 15a presents the complete results on CO2 concentrations, providing insight into the effect of household items on indoor air ventilation. Analyzing CO2 levels is crucial for evaluating air exchange and identifying high CO2 levels, which may indicate poor ventilation.

Figure 15.
Impact of aromatic diffuser and perfume on CO2 (a), IAQ (b), and VOC (c) with predicted values and marked air quality indexes marked in Table 1.
The figure reflects the cumulative effect of the household products under study on the ambient air conditions. Figure 15b illustrates the findings related to IAQ, which encompasses a variety of elements such as VOCs, particulate matter, and other airborne contaminants that affect the healthfulness of indoor environments. By examining Figure 15b, we can gain a better understanding of the impact that common household products have on IAQ.
Figure 15c presents a detailed analysis of VOC data, identifying the specific VOC and their corresponding concentrations detected throughout the experiment. This thorough examination enables the precise identification of the predominant and potentially hazardous VOC emitted by each household product, enhancing the overall understanding of sources of indoor air pollution and associated health risks [28,45].
The data were subjected to analysis using a predictive model [46]. The predictive model demonstrates robust performance, as evidenced by the close alignment between the actual data points and the predicted values. In the majority of instances, the predicted values are closely aligned with the actual data, thereby demonstrating the efficacy of the model for prediction across diverse environmental contexts.
It is important to note the behavior of the predictive model when encountering spikes in the actual data. The observed data points tend to exhibit higher values during these spikes, whereas the predicted values are somewhat lower. This discrepancy arises from the fact that the predictive model is based on a substantial volume of training data, which enables it to accurately predict general trends but may result in the smoothing out of sudden, short-term fluctuations such as spikes. These spikes in the actual data represent specific conditions or anomalies that deviate from the typical environmental patterns captured by the model. Nevertheless, the predictive model provides a reliable basis for air quality analysis and can be optimized to improve its performance in scenarios where air quality is moderately or very sensitive.
The experiment began with the introduction of an aromatic diffuser located approximately five meters from the sensing equipment. The diffuser contained 50 mL of essential oil, and diffusion commenced at 15:01, with the concentration peaking at 15:03, followed by a gradual dispersion of VOC into the surroundings. At 15:10, there was a notable improvement in IAQ after opening a window.
However, the window was closed at 15:12, and at 15:14, a perfume with a 17% concentration was sprayed in a quantity of 0.1 mL, resulting in a marked decline in air quality. The concentration of VOC spiked, indicating a significant presence of pollutants. The dispersion of VOC began at 15:17, and air quality showed signs of recovery by 15:20, further aided by the reopening of the window. Sensor readings were normalized at 15:41.
The results indicate that although aromatic diffusers have a slight negative impact on IAQ, they do not cause dangerous pollution levels. In contrast, aerosols, as demonstrated by the effect of perfume, can significantly compromise air quality, posing a risk in residential or confined spaces due to potential health hazards.
In regard to the particular health consequences associated with the levels of VOC and CO2 documented in the study, it is essential to underscore that although our experiment did not directly assess or examine health outcomes, the data imply potential implications for human well-being during periods of elevated VOC concentrations. During the observed peaks, such as those caused by the perfume spray, there is a possibility that VOC levels could have resulted in short-term health effects, particularly for individuals who are sensitive to air pollutants, such as those with asthma or allergies. Elevated levels of VOC have been linked to a range of symptoms, including eye, nose, and throat irritation, headaches, and dizziness, with specific effects depending on the duration and intensity of exposure. In confined or poorly ventilated spaces, these effects could be more pronounced, indicating the necessity for immediate measures such as enhanced ventilation. Although the present study was primarily concerned with the dynamics of air quality, future research might profitably investigate the direct correlation between the observed spikes in VOC levels and specific health impacts. Such research could extend beyond the scope of the present study to include real-time monitoring of health in conjunction with measurements of indoor air quality.
This study provides insights into selecting safer household products to preserve a healthy indoor atmosphere and safeguard occupant health. It enriches collective knowledge on the interaction between daily use products and IAQ, laying the groundwork for developing strategies to improve indoor environments. Further applications and development may include many directions, which include not only indoor environments but also others [47,48,49,50,51,52,53,54,55].
5. Discussion
The objective of this study was to demonstrate the efficacy of a low-cost IAQ monitoring system in residential settings. The experimental setup yielded valuable insights into the relationships between VOC, CO2 levels, temperature, and humidity. The employment of data fusion techniques with sensors such as the BME680 and CCS811 enabled the capture of detailed fluctuations in air quality, particularly in response to human activities such as the use of air fresheners and perfumes. The results demonstrate the necessity of monitoring IAQ parameters over time in dynamic, real-life environments, as opposed to controlled laboratory settings where external influences are limited. The considerable discrepancies between the laboratory-derived predictions and the actual real-life data emphasize the intricate nature of residential spaces, where a multitude of factors—including ventilation, occupancy, and material off-gassing—exert a pivotal influence on the determination of air quality.
Furthermore, the study demonstrated that even minor activities, such as the use of perfumes or essential oil diffusers, can result in considerable short-term elevations in VOC concentrations, which, subsequently, have a detrimental impact on indoor air quality. The observed data demonstrate that while VOC levels eventually return to normal, these sudden spikes may pose health risks, particularly for individuals with pre-existing conditions such as asthma or allergies. The findings emphasize the importance of effective ventilation strategies in residential environments in order to minimize exposure to harmful pollutants. In contrast, spaces such as kitchens and bathrooms, which typically have higher humidity and CO2 levels, exhibited poorer air quality. This is likely due to the presence of cooking activities and cleaning products, which further underscores the necessity for targeted monitoring in high-risk areas.
It is acknowledged that air velocity is indeed an important parameter in the study of indoor air quality [56]. Although our study did not specifically measure air velocity, we designed the experiment to minimize its influence by conducting it in a relatively stable environment where air movement was limited. It is proposed by research that air velocities within domestic environments typically range between 0.05 m/s and 0.2 m/s. At lower air velocities (below 0.1 m/s), the impact on pollutant dispersion is typically minimal. In light of the controlled conditions of the experiment, it seems reasonable to posit that any deviations in VOC concentrations due to air velocity were likely to be minor, with a potential variation in readings of less than 5%, as evidenced by findings from similar studies. While the impact of air velocity in our specific experimental setup was minimized, future studies could benefit from incorporating air velocity measurements to further refine the accuracy of IAQ assessments, particularly in more dynamic environments where air movement could have a more pronounced effect on pollutant dispersion.
The prospective Incorporation of an air quality monitoring system into a smart home environment has the potential to significantly expand its functionality and improve user interaction. By connecting to a central smart home hub, the system will be able to interact with other devices, including HVAC systems, air purifiers, and smart windows. Integration with smart home assistants will facilitate the generation of real-time indoor air quality alerts and queries, allowing residents to more effectively monitor and respond to changes in indoor air quality. Such integration not only improves overall household air quality management but also contributes to a healthier living environment by implementing automated and actionable actions based on real-time data.
6. Conclusions
This study presents an IAQ monitoring system, introducing intelligent, analytics-based management of air quality. The research emphasizes the impact of household products on IAQ and provides a comprehensive dataset for scholarly exploration. The study lays the groundwork for future progress in IAQ research. The study’s findings are expected to help people make informed decisions, improve indoor air quality, and raise public health standards. The monitoring system is user-friendly and provides instant feedback on IAQ. It gives residents valuable information about their indoor air, allowing them to make informed decisions and improve their living environment. The integration of this system contributes to advancing our understanding of IAQ dynamics. It advocates for a proactive stance toward optimizing IAQ for the betterment of individual and communal well-being.
The combination of a moving average filter and data fusion from BME680 and CCS811 sensors in our IAQ monitoring system improves the stability and reliability of air quality trends. This approach helps to identify long-term changes and patterns in VOC concentrations while ensuring that the system’s outputs accurately reflect the actual indoor air conditions. By integrating a filtering technique and leveraging the strengths of multiple sensors, this system highlights the importance of data quality in effectively managing indoor environments. This approach facilitates informed decisions and interventions to improve IAQ, paving the way for enhanced health, comfort, and well-being in residential spaces. This advancement in IAQ monitoring is in line with the broader objective of achieving healthier indoor environments through the use of advanced sensor technology and data processing methods. It offers a comprehensive solution to IAQ management.
Author Contributions
Conceptualization, I.R.; methodology, I.R.; software, I.R. and Y.K.; validation, I.R. and Y.K.; formal analysis, I.R.; investigation, I.R. and I.Z.; resources, I.R. and I.Z.; data curation, I.R.; writing—original draft preparation, I.R. and I.K.; writing—review and editing, I.R., H.K., M.K. and A.I.P.; visualization, I.R.; supervision, H.K.; project administration, H.K.; funding acquisition, I.K., M.K., H.K. and A.I.P. All authors have read and agreed to the published version of the manuscript.
Funding
This work was supported by the Ministry of Education and Science of Ukraine (project for young researchers No. 0122U000807). In addition, M.K. and A.I.P. thank the Institute of Solid State Physics, University of Latvia (ISSP UL), which is the Center of Excellence is supported through European Unions Horizon 2020 Framework Programme H2020-WIDESPREAD-01-2016-2017-TeamingPhase2 under grant agreement No. 739508, project CAMART2.
Institutional Review Board Statement
Not applicable.
Informed Consent Statement
Not applicable.
Data Availability Statement
This study’s source code and data are hosted in the GitHub repository: https://github.com/IvanRud10/Air-Quality-Monitoring (accessed on 22 March 2024). If the GitHub repository is not available, please get in touch with the authors.
Conflicts of Interest
The authors declare no conflicts of interest.
References
- Liu, Z.; Wang, G.; Zhao, L.; Yang, G. Multi-points indoor air quality monitoring based on internet of things. IEEE Access 2021, 9, 70479–70492. [Google Scholar] [CrossRef]
- De Capua, C.; Fulco, G.; Lugarà, M.; Ruffa, F. An improvement strategy for indoor air quality monitoring systems. Sensors 2023, 23, 3999. [Google Scholar] [CrossRef] [PubMed]
- Bousiotis, D.; Alconcel, L.N.S.; Beddows, D.C.; Harrison, R.M.; Pope, F.D. Monitoring and apportioning sources of indoor air quality using low-cost particulate matter sensors. Environ. Int. 2023, 174, 107907. [Google Scholar] [CrossRef] [PubMed]
- El Fazziki, A.; Benslimane, D.; Sadiq, A.; Ouarzazi, J.; Sadgal, M. An agent based traffic regulation system for the roadside air quality control. IEEE Access 2017, 5, 13192–13201. [Google Scholar] [CrossRef]
- Al-Hemoud, A.; Al-Awadi, L.; Al-Khayat, A.; Behbehani, W. Streamlining IAQ guidelines and investigating the effect of door opening/closing on concentrations of VOCs, formaldehyde, and NO2 in office buildings. Built. Environ. 2018, 137, 127–137. [Google Scholar] [CrossRef]
- Elosua, C.; Matias, I.R.; Bariain, C.; Arregui, F.J. Volatile organic compound optical fiber sensors: A review. Sensors 2006, 6, 1440–1465. [Google Scholar] [CrossRef]
- Spinelle, L.; Gerboles, M.; Kok, G.; Persijn, S.; Sauerwald, T. Review of portable and low-cost sensors for the ambient air monitoring of benzene and other volatile organic compounds. Sensors 2017, 17, 1520. [Google Scholar] [CrossRef]
- Jo, J.; Jo, B.; Kim, J.; Kim, S.; Han, W. Development of an IoT-based indoor air quality monitoring platform. J. Sens. 2020, 1, 8749764. [Google Scholar] [CrossRef]
- Khatib, M.; Haick, H. Sensors for volatile organic compounds. ACS Nano 2022, 16, 7080–7115. [Google Scholar] [CrossRef]
- Guo, H.; Lee, S.C.; Chan, L.Y.; Li, W.M. Risk assessment of exposure to volatile organic compounds in different indoor environments. Environ. Res. 2004, 94, 57–66. [Google Scholar] [CrossRef]
- Yan, Y.; Li, Y.; Sun, M.; Wu, Z. Primary pollutants and air quality analysis for urban air in China: Evidence from Shanghai. Sustainability 2019, 11, 2319. [Google Scholar] [CrossRef]
- Nguyen, T.; Qin, X.; Dinh, A.; Bui, F. Low resource complexity R-peak detection based on triangle template matching and moving average filter. Sensors 2019, 19, 3997. [Google Scholar] [CrossRef] [PubMed]
- Armand, T.P.T.; Mozumder, M.A.I.; Ali, S.; Amaechi, A.O.; Kim, H.C. Developing a low-cost IoT-based remote cardiovascular patient monitoring system in Cameroon. Healthcare 2023, 11, 199. [Google Scholar] [CrossRef] [PubMed]
- Carnevale, C.; Angelis, E.D.; Finzi, G.; Turrini, E.; Volta, M. Application of data fusion techniques to improve air quality forecast: A case study in the northern Italy. Atmosphere 2020, 11, 244. [Google Scholar] [CrossRef]
- Sánchez-Barajas, M.A.; Cuevas-González, D.; Reyna, M.A.; Delgado-Torres, J.C.; Altamira-Colado, E.; López-Avitia, R. Development of a low-cost particulate matter optical sensor for real-time monitoring. Eng. Proc. 2023, 58, 41. [Google Scholar] [CrossRef]
- Hung, F.H.; Tsang, K.F.; Wu, C.K.; Liu, Y.; Wang, H.; Zhu, H.; Koo, C.H.; Wan, W.H. An adaptive indoor air quality control scheme for minimizing volatile organic compounds density. IEEE Access 2022, 8, 22357–22365. [Google Scholar] [CrossRef]
- Mannan, M.; Al-Ghamdi, S.G. Indoor air quality in buildings: A comprehensive review on the factors influencing air pollution in residential and commercial structure. Int. J. Environ. Res. Public Health 2021, 18, 3276. [Google Scholar] [CrossRef]
- Yahiaoui, A. Modeling and control of hybrid ventilation in a building with double skin façade. IEEE Access 2020, 8, 184172–184186. [Google Scholar] [CrossRef]
- Tanji, A.K., Jr.; de Brito, M.A.; Alves, M.G.; Garcia, R.C.; Chen, G.L.; Ama, N.R. Improved noise cancelling algorithm for electrocardiogram based on moving average adaptive filter. Electronics 2021, 10, 2366. [Google Scholar] [CrossRef]
- Venkatraman Jagatha, J.; Klausnitzer, A.; Chacón-Mateos, M.; Laquai, B.; Nieuwkoop, E.; van der Mark, P.; Vogt, U.; Schneider, C. Calibration method for particulate matter low-cost sensors used in ambient air quality monitoring and research. Sensors 2021, 21, 3960. [Google Scholar] [CrossRef]
- Kang, J.; Hwang, K.I. A comprehensive real-time indoor air-quality level indicator. Sustainability 2016, 8, 881. [Google Scholar] [CrossRef]
- Taştan, M.; Gökozan, H. Real-time monitoring of indoor air quality with internet of things-based E-nose. Appl. Sci. 2019, 9, 3435. [Google Scholar] [CrossRef]
- Sun, S.; Zheng, X.; Villalba-Díez, J.; Ordieres-Meré, J. Indoor air-quality data-monitoring system: Long-term monitoring benefits. Sensors 2019, 19, 4157. [Google Scholar] [CrossRef] [PubMed]
- Zhang, H.; Srinivasan, R. A systematic review of air quality sensors, guidelines, and measurement studies for indoor air quality management. Sustainability 2020, 12, 9045. [Google Scholar] [CrossRef]
- Samet, J.M.; Spengler, J.D. Indoor environments and health: Moving into the 21st century. Am. J. Public Health 2003, 93, 1489–1493. [Google Scholar] [CrossRef]
- Salamone, F.; Belussi, L.; Danza, L.; Galanos, T.; Ghellere, M.; Meroni, I. Design and development of a nearable wireless system to control indoor air quality and indoor lighting quality. Sensors 2017, 17, 1021. [Google Scholar] [CrossRef]
- Choi, Y.; Lim, Y.; Kim, J.; Song, D. Why does a high humidity level form in low-income households despite low water vapor generation? Sustainability 2020, 12, 7563. [Google Scholar] [CrossRef]
- Yang, J.; Wen, Y.; Wang, Y.; Zhang, S.; Pinto, J.P.; Pennington, E.A.; Wang, Z.; Wu, Y.; Sander, S.T.; Jiang, H.H.; et al. From COVID-19 to future electrification: Assessing traffic impacts on air quality by a machine-learning model. Proc. Natl. Acad. Sci. USA 2021, 118, e2102705118. [Google Scholar] [CrossRef]
- da Silva Sousa, D.; Leal, V.G.; dos Reis, G.T.; da Silva, S.G.; Cardoso, A.A.; da Silveira Petruci, J.F. An automated, self-powered, and integrated analytical platform for on-line and in situ air quality monitoring. Chemosensors 2022, 10, 454. [Google Scholar] [CrossRef]
- Khan, A.U.; Khan, M.E.; Hasan, M.; Zakri, W.; Alhazmi, W.; Islam, T. An Efficient wireless sensor network based on the ESP-MESH protocol for indoor and outdoor air quality monitoring. Sustainability 2022, 14, 16630. [Google Scholar] [CrossRef]
- DIY Air Quality Monitor—PM2.5, CO2, VOC, Ozone, Temp & Hum Arduino Meter. How To Mechatronics. Available online: https://howtomechatronics.com/projects/diy-air-quality-monitor-pm2-5-co2-voc-ozone-temp-hum-arduino-meter/ (accessed on 30 July 2024).
- Venturini, A.; Pancake, M.; VanCleave, W.; Wan, Y.; Cornish, K. Invention of a medical glove durability assessment device. Inventions 2022, 7, 62. [Google Scholar] [CrossRef]
- Pazzi, B.M.; Pistoia, D.; Alberti, G. RGB-Detector: A smart, low-cost device for reading RGB indexes of microfluidic paper-based analytical devices. Micromachines 2022, 13, 1585. [Google Scholar] [CrossRef] [PubMed]
- Domínguez-Amarillo, S.; Fernández-Agüera, J.; Cesteros-García, S.; González-Lezcano, R.A. Bad air can also kill: Residential indoor air quality and pollutant exposure risk during the COVID-19 crisis. Int. J. Environ. Res. Public Health 2020, 17, 7183. [Google Scholar] [CrossRef] [PubMed]
- Wall, D.; McCullagh, P.; Cleland, I.; Bond, R. Development of an Internet of Things solution to monitor and analyse indoor air quality. Internet Things 2021, 14, 100392. [Google Scholar] [CrossRef]
- Gressent, A.; Malherbe, L.; Colette, A.; Rollin, H.; Scimia, R. Data fusion for air quality mapping using low-cost sensor observations: Feasibility and added-value. Environ. Int. 2020, 143, 105965. [Google Scholar] [CrossRef]
- Dong, J.; Zhuang, D.; Huang, Y.; Fu, J. Advances in multi-sensor data fusion: Algorithms and applications. Sensors 2009, 9, 7771–7784. [Google Scholar] [CrossRef]
- Chamseddine, A.; Alameddine, I.; Hatzopoulou, M.; El-Fadel, M. Seasonal variation of air quality in hospitals with indoor–outdoor correlations. Built. Environ. 2019, 148, 689–700. [Google Scholar] [CrossRef]
- Popescu, D.; Stoican, F.; Stamatescu, G.; Ichim, L.; Dragana, C. Advanced UAV–WSN system for intelligent monitoring in precision agriculture. Sensors 2020, 20, 817. [Google Scholar] [CrossRef]
- Cho, K.; Cho, D.; Kim, T. Experimental analysis of CO2 concentration changes in an apartment using a residential heat recovery ventilator. Sustainability 2021, 13, 10302. [Google Scholar] [CrossRef]
- Gäbel, P.; Koller, C.; Hertig, E. Development of air quality boxes based on low-cost sensor technology for ambient air quality monitoring. Sensors 2022, 22, 3830. [Google Scholar] [CrossRef]
- Lin, B.; Huangfu, Y.; Lima, N.; Jobson, B.; Kirk, M.; O’Keeffe, P.; Pressley, S.N.; Walden, V.; Lamb, B.; Cook, D.J. Analyzing the relationship between human behavior and indoor air quality. J. Sens. Actuator Netw. 2017, 6, 13. [Google Scholar] [CrossRef]
- Cheng, W.H.; Chen, Y.C.; Shih, S.Y. Volatile organic compound emissions from indoor fragrance diffusers. Atmosphere 2023, 14, 1012. [Google Scholar] [CrossRef]
- Rádis-Baptista, G. Do synthetic fragrances in personal care and household products impact indoor air quality and pose health risks? J. Xenobiot. 2023, 13, 121–131. [Google Scholar] [CrossRef]
- Messan, S.; Shahud, A.; Anis, A.; Kalam, R.; Ali, S.; Aslam, M.I. Air-MIT: Air quality monitoring using Internet of Things. Eng. Proc. 2022, 20, 45. [Google Scholar] [CrossRef]
- Benammar, M.; Abdaoui, A.; Ahmad, S.H.; Touati, F.; Kadri, A. A modular IoT platform for real-time indoor air quality monitoring. Sensors 2018, 18, 581. [Google Scholar] [CrossRef] [PubMed]
- Frontczak, M.; Wargocki, P. Literature survey on how different factors influence human comfort in indoor environments. Build. Environ. 2011, 46, 922–937. [Google Scholar] [CrossRef]
- Ahmad, A.; Ali, M.; Al-Sehemi, A.G.; Al-Ghamdi, A.A.; Park, J.W.; Algarni, H.; Anwer, H. Carbon-integrated semiconductor photocatalysts for removal of volatile organic compounds in indoor environments. Chem. Eng. J. 2023, 452, 139436. [Google Scholar] [CrossRef]
- Matheson, S.; Fleck, R.; Irga, P.J.; Torpy, F.R. Phytoremediation for the indoor environment: A state-of-the-art review. Rev. Environ. Sci. Bio. 2023, 22, 249–280. [Google Scholar] [CrossRef]
- Konuhova, M.; Kamolins, E.; Orlova, S.; Suleiko, A.; Otankis, R. Optimisation of permanent magnets of bioreactor magnetic coupling while preserving their efficiency. Latv. J. Phys. Tech. Sci. 2019, 56, 38–48. [Google Scholar] [CrossRef]
- Suleiko, A.; Vanags, J.; Konuhova, M.; Dubencovs, K.; Grigs, O. The application of novel magnetically coupled mixer drives in bioreactors of up to 15 m3. Biochem. Eng. J. 2020, 154, 107464. [Google Scholar] [CrossRef]
- Lee, J.; Jung, Y.; Sung, S.H.; Lee, G.; Kim, J.; Seong, J.; Shim, Y.-S.; Jun, S.C.; Jeon, S. High-performance gas sensor array for indoor air quality monitoring: The role of Au nanoparticles on WO3, SnO2, and NiO-based gas sensors. J. Mater. Chem. A 2021, 9, 1159–1167. [Google Scholar] [CrossRef]
- Tofful, L.; Canepari, S.; Sargolini, T.; Perrino, C. Indoor air quality in a domestic environment: Combined contribution of indoor and outdoor PM sources. Build. Environ. 2021, 202, 108050. [Google Scholar] [CrossRef]
- Trilles, S.; Luján, A.; Belmonte, Ó.; Montoliu, R.; Torres-Sospedra, J.; Huerta, J. SEnviro: A sensorized platform proposal using open hardware and open standards. Sensors 2015, 15, 5555–5582. [Google Scholar] [CrossRef] [PubMed]
- Klym, H.; Ingram, A.; Shpotyuk, O.; Karbovnyk, I. Influence of CsCl addition on the nanostructured voids and optical properties of 80GeS2-20Ga2S3 glasses. Opt. Mater. 2016, 59, 39–42. [Google Scholar] [CrossRef]
- Matthews, T.G.; Thompson, C.V.; Wilson, D.L.; Hawthorne, A.R.; Mage, D.T. Air velocities inside domestic environments: An important parameter in the study of indoor air quality and climate. Environ. Int. 1989, 15, 545–550. [Google Scholar] [CrossRef]
Disclaimer/Publisher’s Note: The statements, opinions and data contained in all publications are solely those of the individual author(s) and contributor(s) and not of MDPI and/or the editor(s). MDPI and/or the editor(s) disclaim responsibility for any injury to people or property resulting from any ideas, methods, instructions or products referred to in the content. |
© 2024 by the authors. Licensee MDPI, Basel, Switzerland. This article is an open access article distributed under the terms and conditions of the Creative Commons Attribution (CC BY) license (https://creativecommons.org/licenses/by/4.0/).















