Development of a Novel Beam-Based Finite-Element Approach for the Computationally Efficient Prediction of Residual Stresses and Displacements in Large 3D-Printed Polymer Parts
Abstract
1. Introduction
2. Development of Beam Element-Based Simulation
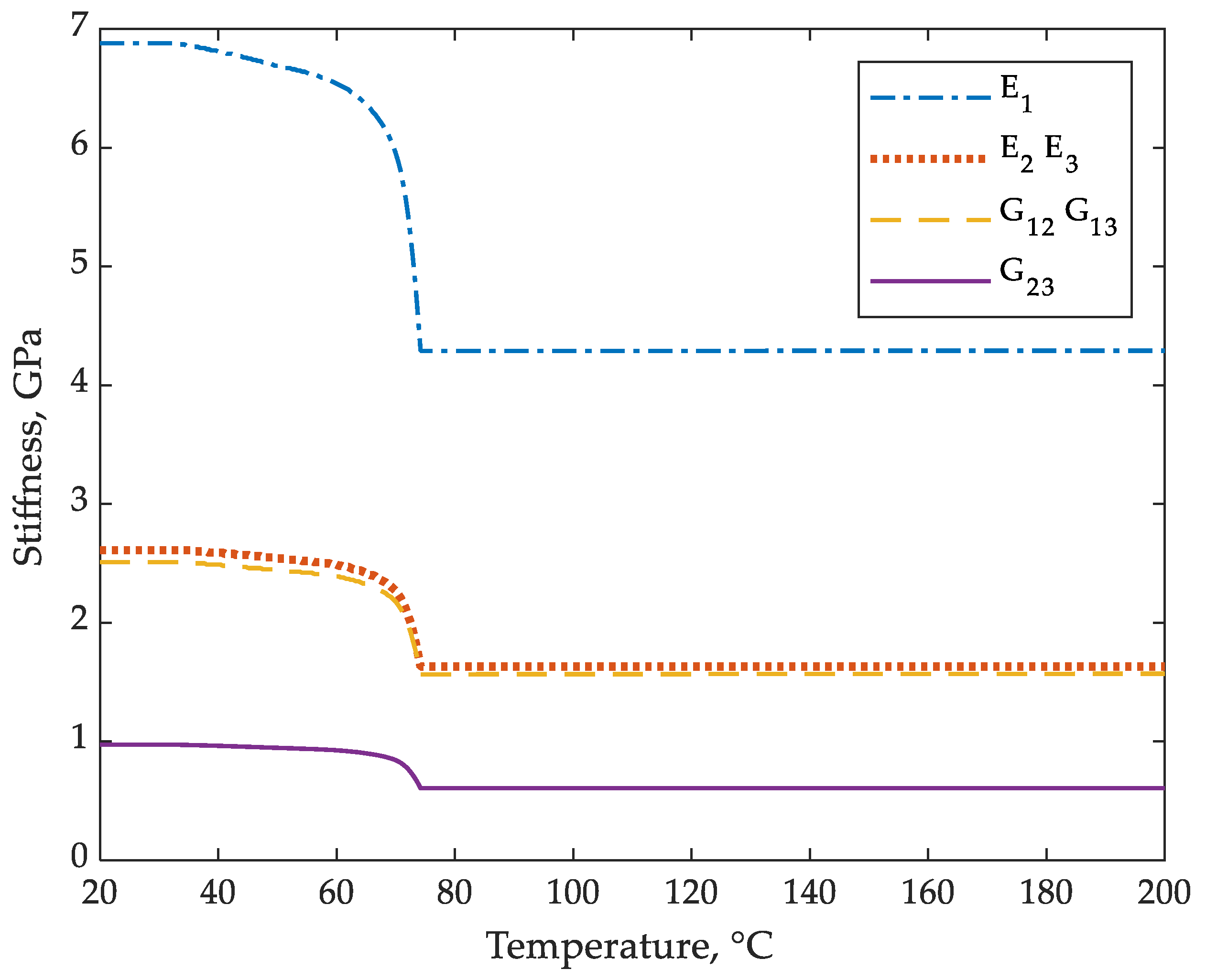
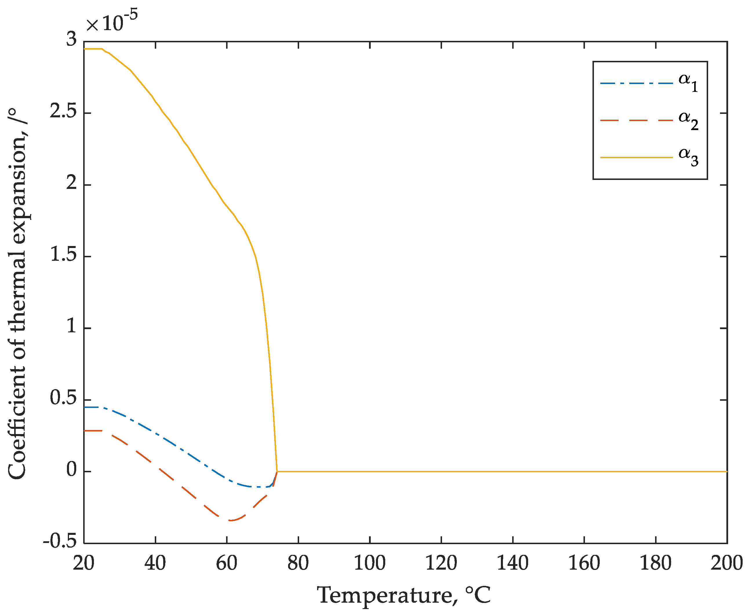
2.1. Model Description
2.1.1. Element Activation
2.1.2. Multipoint Constraints
2.1.3. Boundary Conditions
2.1.4. Solution Strategy
- Set ;
- Determine , the current temperature, and compute for all elements;
- Update by updating elastic moduli and adding new elements, if any;
- Compute and assemble for each element and update if there are new elements;
- Update if there are new elements;
- Compute and ;
- Calculate ;
- While ,
- Solve ;
- ;
- ;
- For each BBOEF element,
- Calculate ;
- Find , in the interval ;
- Break into subintervals using the roots determined in ii and find state of springs in each;
- Calculate ;
- Add to ;
- ;
- Recalculate ;
- ;
- .
3. Wall Print
4. Results and Discussion
4.1. Convergence of Beam-Based Model
4.2. Comparison between Beam-Based Model and ABAQUS Structural Model
4.3. Effect of Boundary Conditions on Beam-Based Model Results
5. Conclusions
- Spatial and temporal convergence studies showed generally smooth and adequate convergence of the beam-based model. Run times for the beam-based model were much less than for the ABAQUS AM model. Although the ABAQUS AM model was not optimized for solution efficiency, the beam-based model was developed using the MATLAB programming language, which is interpreted and relatively inefficient. Overall, convergence and run-time studies indicate that beam-based models have potential to be substantially more computationally efficient than widely available continuum modeling tools.
- The beam-based model and ABAQUS AM predicted very similar patterns of displacements and stresses. While the beam-based model tends to predict smaller displacements and somewhat larger stresses than the ABAQUS AM continuum model, these discrepancies are likely due in part to the simplified model of the brim necessitated by the two-dimensional nature of the current beam-based model.
- Simulations clearly show that simulating the practical boundary condition where part-bed separation is allowed during the print results in significantly reduced residual part stresses, indicating that accurately modeling boundary conditions is critical to accurate predictions. Part-bed separation is challenging to simulate with available continuum models, highlighting the value of this particular feature of the beam-based model developed here.
Author Contributions
Funding
Institutional Review Board Statement
Informed Consent Statement
Data Availability Statement
Acknowledgments
Conflicts of Interest
References
- Ngo, T.D.; Kashani, A.; Imbalzano, G.; Nguyen, K.T.Q.; Hui, D. Additive Manufacturing (3D Printing): A Review of Materials, Methods, Applications and Challenges. Compos. Part B Eng. 2018, 143, 172–196. [Google Scholar] [CrossRef]
- Love, L.J.; Duty, C.E.; Post, B.K.; Lind, R.F.; Lloyd, P.D.; Kunc, V.; Peter, W.H.; Blue, C.A. Breaking Barriers in Polymer Additive Manufacturing; Oak Ridge National Lab (ORNL): Oak Ridge, TN, USA; Manufacturing Demonstration Facility (MDF): Baltimore, MD, USA, 2015. [Google Scholar]
- Love, L.J.; Kunc, V.; Rios, O.; Duty, C.E.; Elliott, A.M.; Post, B.K.; Smith, R.J.; Blue, C.A. The Importance of Carbon Fiber to Polymer Additive Manufacturing. J. Mater. Res. 2014, 29, 1893–1898. [Google Scholar] [CrossRef]
- Roschli, A.; Post, B.K.; Chesser, P.C.; Sallas, M.; Love, L.J.; Gaul, K.T. Precast Concrete Models Fabricated with Big Area Additive Manufacturing; University of Texas at Austin: Austin, TX, USA, 2018. [Google Scholar]
- Bhandari, S.; Lopez-Anido, R.A.; Rojas, F.S.; LeBihan, A. Design and Manufacture of Precast Concrete Formworks Using Polymer Extrusion-Based Large-Scale Additive Manufacturing and Postprocessing; ASTM International: West Conshohocken, PA, USA, 2022. [Google Scholar] [CrossRef]
- Bhandari, S.; Lopez-Anido, R.; Anderson, J.; Mann, A. Large-Scale Extrusion-Based 3D Printing for Highway Culvert Rehabilitation. 10 May 2021. Available online: https://www.researchgate.net/publication/353130634_Large-scale_extrusion-based_3D_printing_for_highway_culvert_rehabilitation (accessed on 27 September 2024).
- Davids, W.G.; Diba, A.; Dagher, H.J.; Guzzi, D.; Schanck, A.P. Development, Assessment and Implementation of a Novel FRP Composite Girder Bridge. Constr. Build. Mater. 2022, 340, 127818. [Google Scholar] [CrossRef]
- Ferrini-Mundy, J.; Varahramyan, K. 2022 Research Report: R1 Global Impact-Local Relevance; University of Maine: Orono, ME, USA, 2023. [Google Scholar]
- Bhandari, S.; Lopez-Anido, R.A. Coupled Thermo-Mechanical Numerical Model to Minimize Risk in Large-Format Additive Manufacturing of Thermoplastic Composite Designs. Prog. Addit. Manuf. 2023, 8, 393–407. [Google Scholar] [CrossRef]
- Dizon, J.R.C.; Espera, A.H.; Chen, Q.; Advincula, R.C. Mechanical Characterization of 3D-Printed Polymers. Addit. Manuf. 2018, 20, 44–67. [Google Scholar] [CrossRef]
- Brenken, B.; Barocio, E.; Favaloro, A.; Kunc, V.; Pipes, R.B. Development and Validation of Extrusion Deposition Additive Manufacturing Process Simulations. Addit. Manuf. 2019, 25, 218–226. [Google Scholar] [CrossRef]
- Alaimo, G.; Marconi, S.; Costato, L.; Auricchio, F. Influence of Meso-Structure and Chemical Composition on FDM 3D-Printed Parts. Compos. Part B Eng. 2017, 113, 371–380. [Google Scholar] [CrossRef]
- Bhandari, S.; Lopez-Anido, R.A.; Wang, L.; Gardner, D.J. Elasto-Plastic Finite Element Modeling of Short Carbon Fiber Reinforced 3D Printed Acrylonitrile Butadiene Styrene Composites. JOM 2020, 72, 475–484. [Google Scholar] [CrossRef]
- Casavola, C.; Cazzato, A.; Moramarco, V.; Pappalettere, C. Orthotropic Mechanical Properties of Fused Deposition Modelling Parts Described by Classical Laminate Theory. Mater. Des. 2016, 90, 453–458. [Google Scholar] [CrossRef]
- Monaldo, E.; Marfia, S. Multiscale Technique for the Analysis of 3D-Printed Materials. Int. J. Solids Struct. 2021, 232, 111173. [Google Scholar] [CrossRef]
- Rodrı´guez, J.F.; Thomas, J.P.; Renaud, J.E. Design of Fused-Deposition ABS Components for Stiffness and Strength. J. Mech. Des. 2003, 125, 545–551. [Google Scholar] [CrossRef]
- Somireddy, M.; Czekanski, A. Computational Modeling of Constitutive Behaviour of 3D Printed Composite Structures. J. Mater. Res. Technol. 2021, 11, 1710–1718. [Google Scholar] [CrossRef]
- Choi, J.Y.; Kortschot, M.T. Stiffness Prediction of 3D Printed Fiber-Reinforced Thermoplastic Composites. Rapid Prototyp. J. 2020, 26, 549–555. [Google Scholar] [CrossRef]
- Malagutti, L.; Mazzanti, V.; Mollica, F. Tensile Properties of FDM 3D-Printed Wood Flour Filled Polymers and Mathematical Modeling through Classical Lamination Theory. Rapid Prototyp. J. 2022, 28, 1834–1842. [Google Scholar] [CrossRef]
- van de Werken, N.; Hurley, J.; Khanbolouki, P.; Sarvestani, A.N.; Tamijani, A.Y.; Tehrani, M. Design Considerations and Modeling of Fiber Reinforced 3D Printed Parts. Compos. Part B Eng. 2019, 160, 684–692. [Google Scholar] [CrossRef]
- Karamooz Ravari, M.R.; Kadkhodaei, M.; Badrossamay, M.; Rezaei, R. Numerical Investigation on Mechanical Properties of Cellular Lattice Structures Fabricated by Fused Deposition Modeling. Int. J. Mech. Sci. 2014, 88, 154–161. [Google Scholar] [CrossRef]
- Damanpack, A.R.; Bodaghi, M.; Liao, W.H. Experimentally Validated Multi-Scale Modeling of 3D Printed Hyper-Elastic Lattices. Int. J. Non-Linear Mech. 2019, 108, 87–110. [Google Scholar] [CrossRef]
- Bhandari, S.; Lopez-Anido, R. Finite Element Analysis of Thermoplastic Polymer Extrusion 3D Printed Material for Mechanical Property Prediction. Addit. Manuf. 2018, 22, 187–196. [Google Scholar] [CrossRef]
- Scapin, M.; Peroni, L. Numerical Simulations of Components Produced by Fused Deposition 3D Printing. Materials 2021, 14, 4625. [Google Scholar] [CrossRef]
- Abbot, D.W.; Kallon, D.V.V.; Anghel, C.; Dube, P. Finite Element Analysis of 3D Printed Model via Compression Tests. Procedia Manuf. 2019, 35, 164–173. [Google Scholar] [CrossRef]
- Avanzini, A.; Battini, D.; Giorleo, L. Finite Element Modelling of 3D Printed Continuous Carbon Fiber Composites: Embedded Elements Technique and Experimental Validation. Compos. Struct. 2022, 292, 115631. [Google Scholar] [CrossRef]
- Cerda-Avila, S.N.; Medellín-Castillo, H.I.; de Lange, D.F. Analysis and Numerical Simulation of the Structural Performance of Fused Deposition Modeling Samples With Variable Infill Values. J. Eng. Mater. Technol. 2018, 141, 021005. [Google Scholar] [CrossRef]
- Özen, A.; Ganzosch, G.; Völlmecke, C.; Auhl, D. Characterization and Multiscale Modeling of the Mechanical Properties for FDM-Printed Copper-Reinforced PLA Composites. Polymers 2022, 14, 3512. [Google Scholar] [CrossRef] [PubMed]
- Dryzek, M.; Cecot, W.; Tekieli, M. Experimental and Multiscale Computational Static and Dynamic Study of 3D Printed Elements with Mesostructure. Finite Elem. Anal. Des. 2023, 215, 103876. [Google Scholar] [CrossRef]
- Gonabadi, H.; Chen, Y.; Yadav, A.; Bull, S. Investigation of the Effect of Raster Angle, Build Orientation, and Infill Density on the Elastic Response of 3D Printed Parts Using Finite Element Microstructural Modeling and Homogenization Techniques. Int J. Adv. Manuf. Technol. 2022, 118, 1485–1510. [Google Scholar] [CrossRef]
- Garzon-Hernandez, S.; Arias, A.; Garcia-Gonzalez, D. A Continuum Constitutive Model for FDM 3D Printed Thermoplastics. Compos. Part B Eng. 2020, 201, 108373. [Google Scholar] [CrossRef]
- Giri, T.R.; Mailen, R.W. Thermomechanical Behavior of Polymeric Periodic Structures. Addit. Manuf. 2022, 49, 102512. [Google Scholar] [CrossRef]
- Hoshikawa, Y.; Shirasu, K.; Higuchi, R.; Kawagoe, Y.; Tohmyoh, H.; Okabe, T. Experimental and Numerical Investigation of the Relationship between Material Defects and Elastoplasticity Behavior of 3D-Printed Carbon-Fiber-Reinforced Thermoplastics under Compressive Loading. Compos. Sci. Technol. 2023, 241, 110116. [Google Scholar] [CrossRef]
- Jayswal, A.; Liu, J.; Harris, G.; Mailen, R.; Adanur, S. Creep Behavior of 3D Printed Polymer Composites. Polym. Eng. Sci. 2023, 63, 3809–3819. [Google Scholar] [CrossRef]
- Kucewicz, M.; Baranowski, P.; Małachowski, J. A Method of Failure Modeling for 3D Printed Cellular Structures. Mater. Des. 2019, 174, 107802. [Google Scholar] [CrossRef]
- Bandinelli, F.; Peroni, L.; Morena, A. Elasto-Plastic Mechanical Modeling of Fused Deposition 3D Printing Materials. Polymers 2023, 15, 234. [Google Scholar] [CrossRef] [PubMed]
- Corvi, A.; Collini, L. Combined RVE-Cohesive Elements Approach to the Multi-Scale Modelling of FDM 3D-Printed Components. Theor. Appl. Fract. Mech. 2023, 128, 104140. [Google Scholar] [CrossRef]
- Vaňková, T.; Kroupa, T.; Zemčík, R.; Krystek, J.; Zemčík, H. Identification of Temperature-Dependent Parameters for an Elastic–Plastic-Damage Material Model of 3D-Printed PETG. Polymer 2023, 284, 126295. [Google Scholar] [CrossRef]
- Afshar, R.; Jeanne, S.; Abali, B.E. Nonlinear Material Modeling for Mechanical Characterization of 3-D Printed PLA Polymer With Different Infill Densities. Appl Compos Mater 2023, 30, 987–1001. [Google Scholar] [CrossRef]
- Wang, T.-M.; Xi, J.-T.; Jin, Y. A Model Research for Prototype Warp Deformation in the FDM Process. Int J Adv Manuf Technol 2007, 33, 1087–1096. [Google Scholar] [CrossRef]
- Zhang, Y.; Chou, K. A Parametric Study of Part Distortions in Fused Deposition Modelling Using Three-Dimensional Finite Element Analysis. Proc. Inst. Mech. Eng. Part B J. Eng. Manuf. 2008, 222, 959–968. [Google Scholar] [CrossRef]
- Al Rashid, A.; Koç, M. Numerical Predictions and Experimental Validation on the Effect of Material Properties in Filament Material Extrusion. J. Manuf. Process. 2023, 94, 403–412. [Google Scholar] [CrossRef]
- Panchasara, K.M.; Ramakrishnan, A.N.; Mehle, K.; Ludtka, C.; Schwan, S. Modeling of Manufacturing Induced Residual Stress in 3D-Printed Components. Macromol. Symp. 2022, 403, 2100465. [Google Scholar] [CrossRef]
- Alzyod, H.; Ficzere, P. Material-Dependent Effect of Common Printing Parameters on Residual Stress and Warpage Deformation in 3D Printing: A Comprehensive Finite Element Analysis Study. Polymers 2023, 15, 2893. [Google Scholar] [CrossRef]
- Camposeco-Negrete, C.; Lavertu, P.-Y.; Lopez-de-Alda, J. Prediction and Optimization of the Yield Stress of Material Extrusion Specimens Made of ABS, Using Numerical Simulation and Experimental Tests. Int J Adv Manuf Technol 2022, 118, 3657–3671. [Google Scholar] [CrossRef]
- El Moumen, A.; Tarfaoui, M.; Lafdi, K. Modelling of the Temperature and Residual Stress Fields during 3D Printing of Polymer Composites. Int J Adv Manuf Technol 2019, 104, 1661–1676. [Google Scholar] [CrossRef]
- Cattenone, A.; Morganti, S.; Alaimo, G.; Auricchio, F. Finite Element Analysis of Additive Manufacturing Based on Fused Deposition Modeling (FDM): Distortion Prediction and Comparison with Experimental Data. J. Manuf. Sci. Eng. 2018, 141, 011010. [Google Scholar] [CrossRef]
- Trofimov, A.; Le Pavic, J.; Pautard, S.; Therriault, D.; Lévesque, M. Experimentally Validated Modeling of the Temperature Distribution and the Distortion during the Fused Filament Fabrication Process. Addit. Manuf. 2022, 54, 102693. [Google Scholar] [CrossRef]
- Syrlybayev, D.; Zharylkassyn, B.; Seisekulova, A.; Perveen, A.; Talamona, D. Optimization of the Warpage of Fused Deposition Modeling Parts Using Finite Element Method. Polymers 2021, 13, 3849. [Google Scholar] [CrossRef] [PubMed]
- Corvi, A.; Collini, L.; Sciancalepore, C.; Lutey, A. Influence of Process Parameters on Temperature Field and Residual Strain in FFF-Printed Parts. J Mech Sci Technol 2023, 37, 5521–5527. [Google Scholar] [CrossRef]
- Akbar, I.; El Hadrouz, M.; El Mansori, M.; Lagoudas, D. Continuum and Subcontinuum Simulation of FDM Process for 4D Printed Shape Memory Polymers. J. Manuf. Process. 2022, 76, 335–348. [Google Scholar] [CrossRef]
- Jiang, B.; Chen, Y.; Ye, L.; Chang, L.; Dong, H. Residual Stress and Warpage of Additively Manufactured SCF/PLA Composite Parts. Adv. Manuf. Polym. Compos. Sci. 2023, 9, 2171940. [Google Scholar] [CrossRef]
- Antony Samy, A.; Golbang, A.; Archer, E.; Mcilhagger, A. Simulation on Influence of Environmental Conditions on Part Distortion in Fused Deposition Modelling (FDM). 22 April 2021. Available online: https://www.researchgate.net/publication/351703060 (accessed on 27 September 2024).
- Antony Samy, A.; Golbang, A.; Harkin-Jones, E.; Archer, E.; McIlhagger, A. Prediction of Part Distortion in Fused Deposition Modelling (FDM) of Semi-Crystalline Polymers via COMSOL: Effect of Printing Conditions. CIRP J. Manuf. Sci. Technol. 2021, 33, 443–453. [Google Scholar] [CrossRef]
- Samy, A.A.; Golbang, A.; Harkin-Jones, E.; Archer, E.; Tormey, D.; McIlhagger, A. Finite Element Analysis of Residual Stress and Warpage in a 3D Printed Semi-Crystalline Polymer: Effect of Ambient Temperature and Nozzle Speed. J. Manuf. Process. 2021, 70, 389–399. [Google Scholar] [CrossRef]
- Antony Samy, A.; Golbang, A.; Harkin-Jones, E.; Archer, E.; Dahale, M.; McIlhagger, A. Influence of Ambient Temperature on Part Distortion: A Simulation Study on Amorphous and Semi-Crystalline Polymer. Polymers 2022, 14, 879. [Google Scholar] [CrossRef]
- Antony Samy, A.; Golbang, A.; Harkin-Jones, E.; Archer, E.; Dahale, M.; McAfee, M.; Abdi, B.; McIlhagger, A. Influence of Raster Pattern on Residual Stress and Part Distortion in FDM of Semi-Crystalline Polymers: A Simulation Study. Polymers 2022, 14, 2746. [Google Scholar] [CrossRef] [PubMed]
- Courter, B.; Savane, V.; Bi, J.; Dev, S.; Hansen, C. Finite Element Simulation of the Fused Deposition Modelling Process. In Proceedings of the NAFEMS World Congress, Stockholm, Sweden, 13 June 2017. [Google Scholar]
- Wang, J.; Papadopoulos, P. Coupled Thermomechanical Analysis of Fused Deposition Using the Finite Element Method. Finite Elem. Anal. Des. 2021, 197, 103607. [Google Scholar] [CrossRef]
- Sreejith, P.; Kannan, K.; Rajagopal, K. A Thermodynamic Framework for Additive Manufacturing, Using Amorphous Polymers, Capable of Predicting Residual Stress, Warpage and Shrinkage. Int. J. Eng. Sci. 2021, 159, 103412. [Google Scholar] [CrossRef]
- Xia, H.; Lu, J.; Tryggvason, G. Simulations of Fused Filament Fabrication Using a Front Tracking Method. Int. J. Heat Mass Transf. 2019, 138, 1310–1319. [Google Scholar] [CrossRef]
- D’Amico, T.; Peterson, A.M. Bead Parameterization of Desktop and Room-Scale Material Extrusion Additive Manufacturing: How Print Speed and Thermal Properties Affect Heat Transfer. Addit. Manuf. 2020, 34, 101239. [Google Scholar] [CrossRef]
- Talagani, F.; DorMohammadi, S.; Dutton, R.; Godines, C.; Baid, H.; Abdi, F.; Kunc, V.; Compton, B.; Simunovic, S.; Duty, C.; et al. Numerical Simulation of Big Area Additive Manufacturing (3D Printing) of a Full Size Car. Sampe J. 2015, 51, 27–36. [Google Scholar]
- Kim, S.; Baid, H.; Hassen, A.A.; Kumar, A.; Lindahl, J.; Hoskins, D.; Ajinjeru, C.; Duty, C.; Yeole, P.; Vaidya, U.; et al. Analysis on Part Distortion and Residual Stress in Big Area Additive Manufacturing with Carbon Fiber-Reinforced Thermoplastic Using Dehomogenization Technique. In Proceedings of the Composites and Advanced Materials Expo (CAMX 2019), Anaheim, CA, USA, 1 January 2019. [Google Scholar]
- Friedrich II, B.K.; Choo, K. Thermal-Stress Characteristics of a Large Area Additive Manufacturing. Heat Transf. Eng. 2023, 44, 1083–1098. [Google Scholar] [CrossRef]
- Ramos, N.; Mittermeier, C.; Kiendl, J. Efficient Simulation of the Heat Transfer in Fused Filament Fabrication. J. Manuf. Process. 2023, 94, 550–563. [Google Scholar] [CrossRef]
- Nagaraj, M.H.; Maiaru, M. A Novel Higher-Order Finite Element Framework for the Process Modeling of Material Extrusion Additive Manufacturing. Addit. Manuf. 2023, 76, 103759. [Google Scholar] [CrossRef]
- Liu, L.; Jo, E.; Hoskins, D.; Vaidya, U.; Ozcan, S.; Ju, F.; Kim, S. Layer Time Optimization in Large Scale Additive Manufacturing via a Reduced Physics-Based Model. Addit. Manuf. 2023, 72, 103597. [Google Scholar] [CrossRef]
- Bhandari, S.; Lopez-Anido, R.A. Discrete-Event Simulation Thermal Model for Extrusion-Based Additive Manufacturing of PLA and ABS. Materials 2020, 13, 4985. [Google Scholar] [CrossRef] [PubMed]
- Bhandari, S.; Lopez-Anido, R.A. Efficient Residual Stress Modeling for Large-Format Polymer Composite Extrusion-Based Additive Manufacturing. In Proceedings of the American Society for Composites-Thirty-Eighth Technical Conference, Lowell, MA, USA, 18 September 2023. [Google Scholar]
- Erkmen, R.E. Multiple-Point Constraint Applications for the Finite Element Analysis of Shear Deformable Composite Beams—Variational Multiscale Approach to Enforce Full Composite Action. Comput. Struct. 2015, 149, 17–30. [Google Scholar] [CrossRef]
- Chung, W.; Sotelino, E.D. Nonlinear Finite-Element Analysis of Composite Steel Girder Bridges. J. Struct. Eng. 2005, 131, 304–313. [Google Scholar] [CrossRef]
- Lezgy-Nazargah, M.; Vidal, P.; Polit, O. A Penalty-Based Multifiber Finite Element Model for Coupled Bending and Torsional-Warping Analysis of Composite Beams. Eur. J. Mech. A/Solids 2020, 80, 103915. [Google Scholar] [CrossRef]
- Zhang, Y.; Murphy, K.D. Response of a Finite Beam in Contact with a Tensionless Foundation under Symmetric and Asymmetric Loading. Int. J. Solids Struct. 2004, 41, 6745–6758. [Google Scholar] [CrossRef]
- Robles Poblete, F.; Ireland, M.; Slattery, L.; Davids, W.G.; Lopez-Anido, R.A. In Situ, Real-Time Temperature Mapping and Thermal FE Simulations of Large-Format 3D Printed PETG/CF Vertical Wall. Materials 2023, 16, 6486. [Google Scholar] [CrossRef]


















| Type | Max-BB | Max-Cont | Min-BB | Min-Cont | Max Diff | Min Diff |
|---|---|---|---|---|---|---|
| X-displacement (mm) | 0.174 | 0.173 | −0.171 | −0.172 | 0.803% | −0.583% |
| Y-displacement (mm) | 1.03 × 10−5 | 0 | −0.355 | −0.361 | 100% | −1.89% |
| Axial Stress (Mpa) | 2.60 | 1.99 | −1.12 | −1.21 | 23.4% | −7.57% |
| Vertical Stress (Mpa) | 5.09 | 3.97 | −1.80 | −1.25 | 22.0% | 30.6% |
| Type | Max-Spring | Max-Fixed | Min-Spring | Min-Fixed | Max Diff | Min Diff |
|---|---|---|---|---|---|---|
| X-displacement (mm) | 0.174 | 0.1744 | −0.171 | −0.171 | −0.229% | −0.467% |
| Y-displacement (mm) | 0.232 | 1.03 × 10−5 | −0.330 | −0.355 | 2260000% | −6.91% |
| Axial Stress (Mpa) | 1.50 | 2.60 | −1.52 | −1.12 | −42.5% | 35.4% |
| Vertical Stress (Mpa) | 1.25 | 5.09 | −1.87 | −1.80 | −75.4% | 4.29% |
Disclaimer/Publisher’s Note: The statements, opinions and data contained in all publications are solely those of the individual author(s) and contributor(s) and not of MDPI and/or the editor(s). MDPI and/or the editor(s) disclaim responsibility for any injury to people or property resulting from any ideas, methods, instructions or products referred to in the content. |
© 2024 by the authors. Licensee MDPI, Basel, Switzerland. This article is an open access article distributed under the terms and conditions of the Creative Commons Attribution (CC BY) license (https://creativecommons.org/licenses/by/4.0/).
Share and Cite
Hepler, I.B.; Davids, W.G. Development of a Novel Beam-Based Finite-Element Approach for the Computationally Efficient Prediction of Residual Stresses and Displacements in Large 3D-Printed Polymer Parts. Appl. Sci. 2024, 14, 8834. https://doi.org/10.3390/app14198834
Hepler IB, Davids WG. Development of a Novel Beam-Based Finite-Element Approach for the Computationally Efficient Prediction of Residual Stresses and Displacements in Large 3D-Printed Polymer Parts. Applied Sciences. 2024; 14(19):8834. https://doi.org/10.3390/app14198834
Chicago/Turabian StyleHepler, Irja B., and William G. Davids. 2024. "Development of a Novel Beam-Based Finite-Element Approach for the Computationally Efficient Prediction of Residual Stresses and Displacements in Large 3D-Printed Polymer Parts" Applied Sciences 14, no. 19: 8834. https://doi.org/10.3390/app14198834
APA StyleHepler, I. B., & Davids, W. G. (2024). Development of a Novel Beam-Based Finite-Element Approach for the Computationally Efficient Prediction of Residual Stresses and Displacements in Large 3D-Printed Polymer Parts. Applied Sciences, 14(19), 8834. https://doi.org/10.3390/app14198834

