Perspectives on Adhesive–Bolted Hybrid Connection between Fe Shape Memory Alloys and Concrete Structures for Active Reinforcements
Abstract
1. Introduction
2. Experimental Program
2.1. Test Specimens
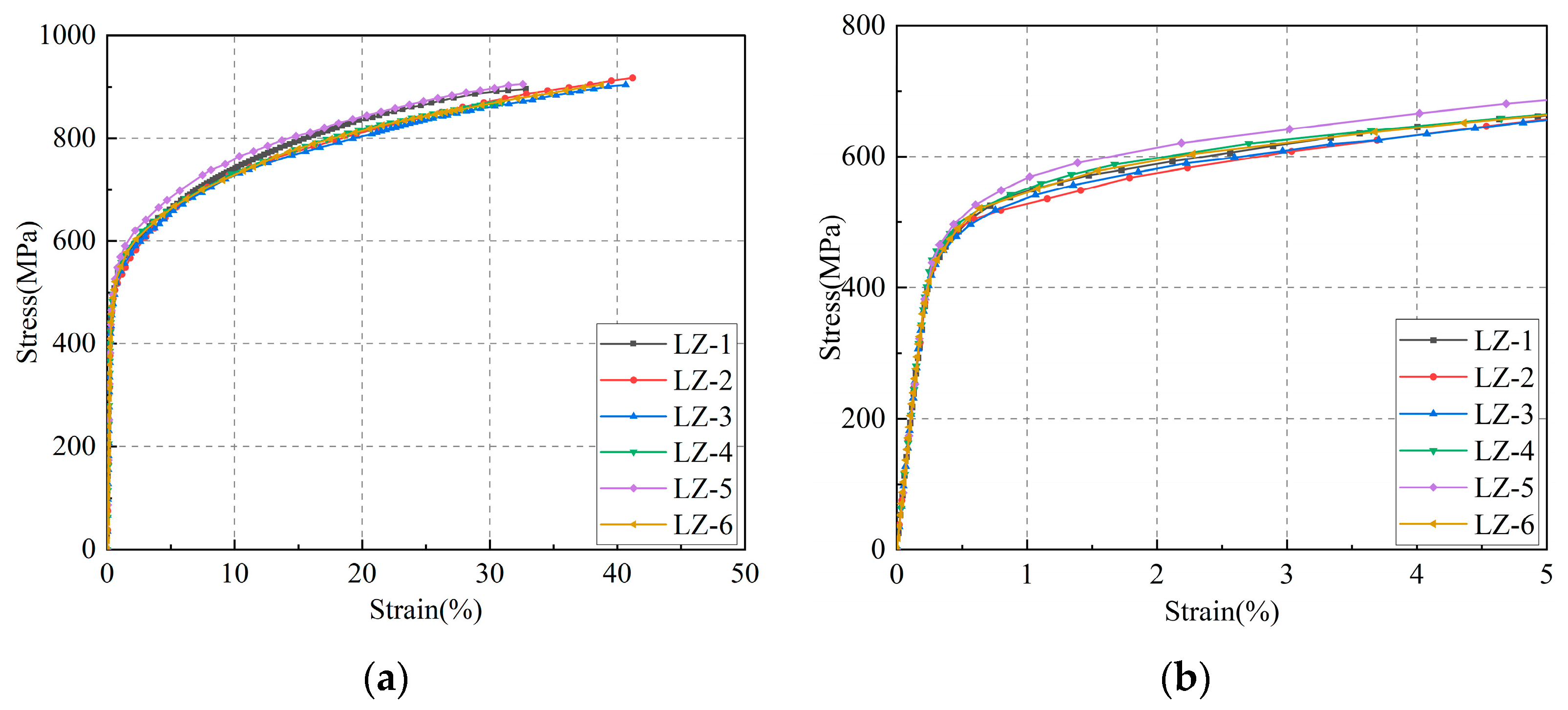
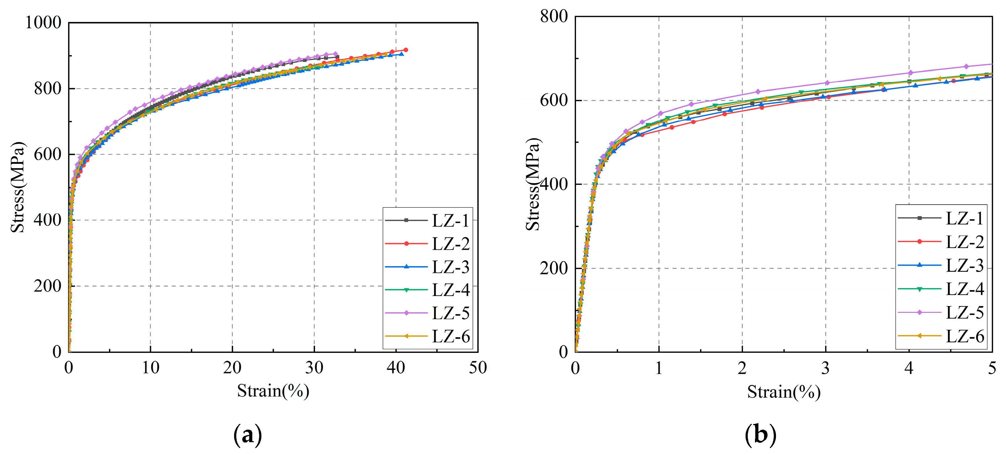
2.2. Mechanical Properties of Materials
2.3. Measurement Scheme
- (1)
- Strain gauges are arranged at the activation boundary of the Fe-SMA plate to determine the magnitude of the recovery strain during the activation process.
- (2)
- In order to monitor the local strain inside and outside the anchor bolt holes of the Fe-SMA plate during the activation process, strain gauges are arranged on the inner side of the Fe-SMA plate holes and the outer side of the Fe-SMA plate, respectively.
- (3)
- In order to measure the average stress on the surface of the concrete during the activation process, a strain gauge of 10 mm in length is attached to the surface of the concrete.
- (4)
- To determine the average strain inside the concrete during the activation process, a strain gauge of 10 mm in length is attached to the side of the specimens at a distance of 10 mm from the upper surface.
- (5)
- To determine the local stress near the anchor bolt holes during the activation process, a strain gauge of 3 mm in length is attached to the concrete surface 5 mm away from the inner side of the anchor bolt holes.
2.4. Activation Process
3. Test Results and Discussion
3.1. Fe-SMA Stress
3.2. Local Stress inside the Anchor Hole of Fe-SMA Plates
3.3. Local Stress on the Compression Side of Anchor Hole in Fe-SMA Plates
3.4. Surface Strain and Stress of Concrete Specimen
3.5. Strain and Stress of Concrete Specimen on Side Surface
3.6. Strain and Stress at Concrete Anchor Hole
4. Conclusions
- During the activation process of an Fe-SMA, the recovery force generated during the heating stage is relatively small, while the recovery force increases significantly during the cooling stage. When the activation temperature of the Fe-SMA reaches 250 °C, the recovery stress in the adhesive–bolted hybrid connection reaches 246 MPa, which is sufficient for structural reinforcement of concrete structures.
- In the adhesive–bolted hybrid connection, the average prestress on the reinforced surface of the concrete specimen reaches −19.3 MPa, achieving good reinforcement effect to apply compression.
- A simple bolted connection can lead to local stress concentrated in the concrete block and Fe-SMA plate around the hole, which can easily cause early cracking of the concrete. The adhesively bonded connection can effectively avoid this problem, so the application of a structural adhesive in the adhesive–bolted hybrid connection significantly alleviates the stress concentration phenomenon.
- A simple adhesively bonded connection is prone to softening and slip of the structural adhesive during the activation process, which reduces the overall restoring force, hence having adverse effects on the structural reinforcement. Additionally, the low glass transition temperature characteristic of adhesive affects the performance of the connection between the Fe-SMA and concrete. Optimizing the performance of the structural adhesive is of great significance in practical applications. However, structural adhesive has a superior effect on applying even prestress on the surface of concrete and can be used for repairing cracks in concrete structures. In addition, the bonded connection avoids damage caused by openings in the parent structure, which can be effectively applied in the non-destructive reinforcement of structures.
- The adhesive–bolted hybrid connection effectively combines the advantages of adhesively bonded connection and bolted connection. The experimental results show that the adhesive–bolted hybrid connection effectively reduces the local stress concentration problem of the concrete and Fe-SMA at the anchor bolt hole, while avoiding the prestress loss caused by the softening and slip of structural adhesive during elevated-temperature activation, achieving an ideal reinforcement effect.
- Compared to the bolted connection and adhesively bonded connection, in adhesive–bolted hybrid connections, the Fe-SMA can bring greater local prestress to concrete structures and have a better effect in suppressing the further expansion of shear cracks in concrete structures.
- The experimental findings not only provide test support for the application of Fe-SMAs in reinforcing concrete structures but also offer new perspectives for future research. Future studies could further optimize the reinforcement effectiveness of Fe-SMAs in concrete structures.
Author Contributions
Funding
Institutional Review Board Statement
Informed Consent Statement
Data Availability Statement
Conflicts of Interest
References
- George, S.; Thenmozhi, R.; Magudeswaran, P.N. Study on corrosion of activated fly ash concrete beams. Asian J. Chem. 2012, 24, 5142–5144. [Google Scholar]
- Jin, L.; Xia, H.; Jiang, X.; Du, X. Size effect on shear failure of CFRP-strengthened concrete beams without web reinforcement: Meso-scale simulation and formulation. Compos. Struct. 2020, 236, 111895. [Google Scholar] [CrossRef]
- Gusella, F.; Orlando, M. Failure analysis and retrofitting of reinforced concrete beams in existing moment resisting frames. Eng. Fail. Anal. 2023, 153, 107601. [Google Scholar] [CrossRef]
- Foraboschi, P. Bending load-carrying capacity of reinforced concrete beams subjected to premature failure. Materials 2019, 12, 3085. [Google Scholar] [CrossRef] [PubMed]
- Jafarzadeh, H.; Nematzadeh, M. Flexural strengthening of fire-damaged GFRP-reinforced concrete beams using CFRP sheet: Experimental and analytical study. Compos. Struct. 2022, 288, 115378. [Google Scholar] [CrossRef]
- Xu, X.; He, D.; Zeng, S.; He, W.; Tan, H.; Yu, Z. Effect of concrete cracks on the corrosin of headed studs in steel and concrete composite structures. Constr. Build. Mater. 2021, 293, 123440. [Google Scholar] [CrossRef]
- Xu, Y.; Huang, J. Cyclic performance of corroded reinforced concrete short columns strengthened using carbon fiber-reinforced polymer. Constr. Build. Mater. 2020, 247, 118548. [Google Scholar] [CrossRef]
- Teng, J.; Yu, T.; Fernando, D. Strengthening of steel structures with fiber-reinforced polymer composites (Review). J. Constr. Steel. Res. 2012, 78, 131–143. [Google Scholar] [CrossRef]
- Rodrigues, H.; Arede, A.; Furtado, A.; Rocha, P. Seismic behavior of strengthened RC columns under biaxial loading: An experimental characterization. Construct. Build. Mater. 2015, 95, 393–405. [Google Scholar] [CrossRef]
- Tan, C.; Jiang, X.; Qiang, X.; Fan, M. Flexural performance of carbon fiber-reinforced polymer prestressed spun high-strength concrete pile. Appl. Sci. 2024, 14, 7170. [Google Scholar] [CrossRef]
- Sellitto, A.; Riccio, A. Overview and future advanced engineering applications for morphing surfaces by shape memory alloy materials. Materials 2019, 12, 708. [Google Scholar] [CrossRef] [PubMed]
- Cui, D.; Li, H.; Song, G. Progress on study and application of shape memory alloy in civil engineering. J. Disaster. Prev. Mitig. Eng. 2005, 65, 86–94. [Google Scholar]
- Qiang, X.; Wang, Y.; Wu, Y.; Jin, P.; Jiang, X. Constitutive model and activation recovery performance of Fe-SMA: Experimental and theoretical study. Construct. Build. Mater. 2024, 420, 135537. [Google Scholar] [CrossRef]
- Billah, A.M.; Rahman, J.; Zhang, Q. Shape memory alloys (SMAs) for resilient bridges: A state-of-the-art review. Structures 2022, 37, 514–527. [Google Scholar] [CrossRef]
- Mohamed, E.; Ahmed, k.; Mohammad, A.; Raim, H.; Wael, A. Enhancing the shear capacity of RC beams with web openings in shear zones using pre-stressed Fe-SMA bars: Numerical Study. Buildings 2023, 13, 1505. [Google Scholar] [CrossRef]
- Cladera, A.; Oller, E.; Ribas, C. Pilot experiences in the application of shape memory alloys in structural concrete. J. Mater. Civ. Eng. 2014, 26, 0000974. [Google Scholar] [CrossRef]
- Benito, M.; Antoni, C.; Carlos, R. Experimental study on concrete beams reinforced with pseudoelastic Ni-Ti continuous rectangular spiral reinforcement failing in shear. Eng. Struct. 2016, 127, 759–768. [Google Scholar] [CrossRef]
- Lv, Z.; Jiang, X.; Qiang, X. Proactive strengthening of U-rib butt-welded joints in steel bridge decks using adhesively bonded Fe-SMA strips. Eng. Struct. 2024, 301, 117316. [Google Scholar] [CrossRef]
- Jani, J.M.; Leary, M.; Subic, A.; Gibson, M.A. A review of shape memory alloy research, applications and opportunities. Mater. Des. 2014, 56, 1078–1113. [Google Scholar] [CrossRef]
- Qiang, X.; Wu, Y.; Wang, Y.; Jiang, X. Research progress and applications of Fe-Mn-Si-based shape memory alloys on reinforcing steel and concrete bridges. Appl. Sci. 2023, 13, 3404. [Google Scholar] [CrossRef]
- Choi, E.; Mohammadzadeh, B.; Kim, D.; Jeon, J. A new experimental investigation into the effects of reinforcing mortar beams with superelastic SMA fibers on controlling and closing cracks. Compos. Part B Eng. 2018, 137, 140–152. [Google Scholar] [CrossRef]
- Cladera, A.; Luis, A.; Montoya-Coronado, G.; Joaquín, R.-P.; Ribas, C. Shear strengthening of slender reinforced concrete T-shaped beams using iron-based shape memory alloy strips. Eng. Struct. 2020, 221, 111018. [Google Scholar] [CrossRef]
- Hong, K.; Lee, S.; Yeon, Y.; Jung, K. Flexural response of reinforced concrete beams strengthened with near-surface-mounted Fe-based shape-memory alloy strips. Inter. J. Con. Struct. Mater. 2018, 12, 45. [Google Scholar] [CrossRef]
- Rojob, H.; El-Hacha, R. Fatigue performance of RC beams strengthened with self-prestressed iron-based shape memory alloys. Eng. Struct. 2018, 168, 35–43. [Google Scholar] [CrossRef]
- Qiang, X.; Chen, L.; Jiang, X.; Dong, H. Experimental study on anchorage and activation performance of Fe-SMA strips for structural reinforcements. Constr. Build. Mater. 2023, 401, 132961. [Google Scholar] [CrossRef]
- Hu, F.; Wang, Z. Cyclic behavior of high-strength steel beam-to-column welded flange-bolted web connections. Thin. Wall. Struct. 2024, 201, 111999. [Google Scholar] [CrossRef]
- Xu, Q.; Chen, H.; Li, W.; Zheng, S.; Zhang, X. Experimental investigation on seismic behavior of steel welded connections considering the influence of structural forms. Eng. Fail. Anal. 2022, 139, 106499. [Google Scholar] [CrossRef]
- Izadi, M.R.; Ghafoori, E.; Shahverdi, M.; Motavalli, M.; Maalek, S. Development of an iron-based shape memory alloy (Fe-SMA) strengthening system for steel plates. Eng. Struct. 2018, 174, 433–446. [Google Scholar] [CrossRef]
- Li, L.; Wang, S.; Chatzi, E.; Motavalli, M.; Ghafoori, E. Analysis and design recommendations for structures strengthened by prestressed bonded Fe-SMA. Eng. Struct. 2024, 303, 117513. [Google Scholar] [CrossRef]
- Wu, Y.; Qiang, X.; Jiang, X.; Meng, X.; Tang, Y. Experimental study on bonding properties of Fe-SMA-to-steel bonded interface. Eng. Struct. 2024, 306, 117779. [Google Scholar] [CrossRef]
- Vůjtěch, J.; Ryjáček, P.; Campos Matos, J.; Ghafoori, E. Iron-based shape memory alloy for strengthening of 113-Year bridge. Eng. Struct. 2021, 248, 113231. [Google Scholar] [CrossRef]
- Wang, W.; Hosseini, A.; Ghafoori, E. Experimental study on Fe-SMA-to-steel adhesively bonded interfaces using DIC. Eng. Fract. Mech. 2021, 244, 107553. [Google Scholar] [CrossRef]
- Jakobsen, J.; Endelt, B.; Shakibapour, F. Bolted joint method for composite materials using a novel fiber/metal patch as hole reinforcement—Improving both static and fatigue properties. Compos. Part B Eng. 2024, 269, 111105. [Google Scholar] [CrossRef]
- Kim, T.; Yoo, J.; Roeder, C.W. Experimental investigation on strength and curling influence of bolted connections in thin-walled carbon steel. Thin. Wall. Struct. 2015, 91, 1–12. [Google Scholar] [CrossRef]
- Shu, Y.; Qiang, X.; Jiang, X.; Wang, F. Durability of Fe-SMA/steel single-lap joints exposed to hygrothermal environments. Constr. Build. Mater. 2024, 435, 136861. [Google Scholar] [CrossRef]
- Li, L.; Wang, W.; Chatzi, E.; Ghafoori, E. Experimental investigation on debonding behavior of Fe-SMA-to-steel joints. Constr. Build. Mater. 2023, 364, 129857. [Google Scholar] [CrossRef]
- Julien, M.; Jose, S.; Rouven, C.; Christoph, C.; Masoud, M. Mechanical performance of cold-curing epoxy adhesives after different mixing and curing procedures. Compos. Part B Eng. 2016, 98, 434–443. [Google Scholar] [CrossRef]
- Jirasek, M. Modeling of Fracture and Damage in Quasibrittle Materials. Ph.D. Thesis, Northwestern University, Evanston, IL, USA, 1993. Available online: https://www.proquest.com/dissertations-theses/modeling-fracture-damage-quasibrittle-materials/docview/304059266/se-2?accountid=28839 (accessed on 10 August 2024).


















| Materials | Average Compressive Strength/MPa | Yield Strength/MPa | Ultimate Strength/MPa | Elastic Modulus/GPa |
|---|---|---|---|---|
| C50 concrete | 51.7 | - | - | 34.6 |
| Structural adhesive | - | - | 38.1 | 9.4 |
| Bolt | - | 640 | 800 | 205 |
| Fe-SMA | - | 389 | 891 | 171 |
| Anchoring Methods | Activated Boundary Stress/MPa | Stress outside the Bolt Hole/MPa | Stress inside the Bolt Hole/MPa |
|---|---|---|---|
| Adhesive–bolted hybrid connection | 246.02 | 183.81 | −165.66 |
| Bolted connection | 227.21 | 245.36 | −414.65 |
| Adhesively bonded connection | 184.64 | 130.35 | - |
| Anchoring Methods | Average Stress on Specimen Surface/MPa | Average Stress on Specimen Side Surface/MPa | Stress at Concrete Anchor Hole/MPa |
|---|---|---|---|
| Adhesive–bolted hybrid connection | −19.26 | −5.14 | −34.78 |
| Bolted connection | −13.23 | −5.68 | −46.28 |
| Adhesively bonded connection | −15.31 | −1.94 | −17.84 |
Disclaimer/Publisher’s Note: The statements, opinions and data contained in all publications are solely those of the individual author(s) and contributor(s) and not of MDPI and/or the editor(s). MDPI and/or the editor(s) disclaim responsibility for any injury to people or property resulting from any ideas, methods, instructions or products referred to in the content. |
© 2024 by the authors. Licensee MDPI, Basel, Switzerland. This article is an open access article distributed under the terms and conditions of the Creative Commons Attribution (CC BY) license (https://creativecommons.org/licenses/by/4.0/).
Share and Cite
Qiang, X.; Zhang, D.; Wu, Y.; Jiang, X. Perspectives on Adhesive–Bolted Hybrid Connection between Fe Shape Memory Alloys and Concrete Structures for Active Reinforcements. Appl. Sci. 2024, 14, 8800. https://doi.org/10.3390/app14198800
Qiang X, Zhang D, Wu Y, Jiang X. Perspectives on Adhesive–Bolted Hybrid Connection between Fe Shape Memory Alloys and Concrete Structures for Active Reinforcements. Applied Sciences. 2024; 14(19):8800. https://doi.org/10.3390/app14198800
Chicago/Turabian StyleQiang, Xuhong, Delin Zhang, Yapeng Wu, and Xu Jiang. 2024. "Perspectives on Adhesive–Bolted Hybrid Connection between Fe Shape Memory Alloys and Concrete Structures for Active Reinforcements" Applied Sciences 14, no. 19: 8800. https://doi.org/10.3390/app14198800
APA StyleQiang, X., Zhang, D., Wu, Y., & Jiang, X. (2024). Perspectives on Adhesive–Bolted Hybrid Connection between Fe Shape Memory Alloys and Concrete Structures for Active Reinforcements. Applied Sciences, 14(19), 8800. https://doi.org/10.3390/app14198800

