Abstract
The field of wireless communication has undergone revolutionary changes driven by technological advancements in recent years. Central to this evolution is wireless ad hoc networks, which are characterized by their decentralized nature and have introduced numerous possibilities and challenges for researchers. Moreover, most of the existing Internet of Things (IoT) networks are based on ad hoc networks. This study focuses on the exploration of interference management and Medium Access Control (MAC) schemes. Through statistical derivations and systematic simulations, we evaluate the efficacy of guard zone-based MAC protocols under Rayleigh fading channel conditions. By establishing a link between network parameters, interference patterns, and MAC effectiveness, this work contributes to optimizing network performance. A key aspect of this study is the investigation of optimal guard zone parameters, which are crucial for interference mitigation. The adaptive guard zone scheme demonstrates superior performance compared to the widely recognized Carrier Sense Multiple Access (CSMA) and the system-wide fixed guard zone protocol under fading channel conditions that mimic real-world scenarios. Additionally, simulations reveal the interactions between network variables such as node density, path loss exponent, outage probability, and spreading gain, providing insights into their impact on aggregated interference and guard zone effectiveness.
1. Introduction
The evolution of technology has brought about remarkable advancements in the field of wireless communication, enabling us to connect and communicate in ways that were unimaginable just a few decades ago. Wireless ad hoc networks in particular have emerged as a crucial component of this revolution, as they form the backbone of modern wireless network applications such as machine-to-machine (M2M); device-to-device (D2D); and IoT networks. These networks are unique in that they operate without any centralized infrastructure. Unlike wired networks that rely on routers and access points, ad hoc networks do not require a pre-existing infrastructure. Instead, each mobile node in the network takes on the responsibility of controlling and managing the network while routing data to other nodes. Each device in the network acts as both a receiver and a transmitter, relaying information to other devices within its communication range.
This decentralized approach allows for flexible and adaptable network formations, making wireless ad hoc networks exceptionally suitable for a variety of practicalities, particularly in scenarios where traditional wired or infrastructure-based wireless networks are impractical or infeasible. Therefore, these networks are mostly considered generic kinds of wireless networks. Mobile ad hoc networks (MANETs) represent a versatile class of networks that support a wide range of applications. Wireless sensor networks, for instance, are commonly regarded as a subclass of MANETs due to their decentralized and self-configuring nature [1]. Similarly, relay networks, which rely on intermediate nodes to forward data between distant nodes, also fall under the broader MANET category [2]. Vehicular ad hoc networks (VANETs), designed to facilitate communication between vehicles and roadside infrastructure, can likewise be seen as a specialized form of MANETs [3]. Furthermore, wireless mesh networks, which enable dynamic routing between nodes to provide extended communication coverage, as well as certain architectures within cellular networks, can be viewed as extensions or subclasses of MANETs [4].
Wireless ad hoc networks are extensively used in military operations due to their inherent mobility, flexibility, and resilience, which are critical features in battlefield environments. Soldiers equipped with mobile devices can autonomously form ad hoc networks that allow for secure and real-time communication. These networks facilitate the sharing of tactical information, enabling troops to coordinate movements, respond to enemy positions, and maintain situational awareness, even in rapidly changing conditions. The decentralized and self-healing nature of ad hoc networks is particularly valuable in military settings, as they continue to function effectively even when certain nodes are disabled or compromised by rerouting data through alternate paths [5]. Moreover, the implementation of adaptive MAC protocols and secure routing mechanisms enhances the network’s robustness against jamming and cyber attacks [6], ensuring that mission-critical information remains accessible under adverse conditions. These features make wireless ad hoc networks a vital component of modern military communication systems. Beyond military and emergency response scenarios, wireless ad hoc networks play a significant role in various other domains. They are employed in vehicular communication systems to enable vehicle-to-vehicle (V2V) and vehicle-to-infrastructure (V2I) communication, enhancing road safety and traffic efficiency and facilitating autonomous driving [7]. In healthcare, these networks are utilized to create wireless body area networks (WBANs) for remote patient monitoring, allowing healthcare professionals to collect real-time data and provide timely interventions [8].
Although the concept of creating mobile networks is appealing, it comes with substantial difficulties when designing and developing such systems. In addition, the lack of centralized control makes these networks susceptible to security threats such as unauthorized access, data interception, and denial-of-service attacks [9]. The ever-growing demand for greater data rates and a larger number of users, along with the need for continuous connectivity, also imposes strict criteria for improving network performance such as routing, power management, resource allocation, and quality of service, to name a few. Moreover, efficient interference mitigation techniques are also essential, particularly in dense network environments. Furthermore, the advent of the IoT with its numerous applications is driving the research community to focus on wireless networks and address the associated challenges.
This active area of research emphasizes the importance of developing precise system models that account for network self-interference, which is crucial for determining the transmission capacity of a system. Transmission capacity assesses how efficiently an available space is utilized in the presence of outage probability at a specific time instance. As highlighted by Li [10], transmission capacity can be viewed as a key metric in evaluating the performance of wireless ad hoc networks, offering insight into the system’s spatial utilization under various conditions. Furthermore, the trade-off between transmission capacity and outage probability constrains the number of users that can be supported effectively in the network [11]. In particular, their work focuses on relay-assisted D2D networks and highlights the significance of interference management in optimizing transmission capacity. Similarly, in vehicular ad hoc networks (VANETs), Zhao et al. [12] demonstrate how adaptive optimization of quality-of-service (QoS) constraints plays a critical role in improving transmission capacity under varying network conditions.
To model the self-interference of a network, the most widely utilized path loss model for capturing network self-interference is the decaying power law. This model explains the reduction in signal strength relative to the power of transmission distance [13]. In practical channel implementations, it holds significant importance due to its ability to identify the circumstances that lead to the convergence of aggregated interference towards Gaussian assumptions. Therefore, one can find the mean and the standard derivation of the interference having a Gaussian distribution to model the network self-interference. In cases where power control is absent, the interferers located near the receiver have a more significant impact compared to users positioned at greater distances. Importantly, it should be highlighted that interference stemming from extremely close sources can result in an infinite interference scenario. Therefore, the distribution of the aggregated interference at the receiver diverges [14] by violating the central limit theorem [15].
To tackle these obstacles in the real world, the need for effective routing and MAC arises under different fading channels, leading to a reduction in channel interference. Given that interference cannot be controlled in a centralized manner, the management of interference becomes crucial in wireless ad hoc networks. Computations of interference under a fading channel play a significant role in effectively handling the access scheme in a real-world problem [16].
While the complexities of initial communication acquisition and scheduling are well-recognized in MANETs, this work emphasizes a novel mechanism for mitigating interference through the strategic use of guard zones. These zones serve as protective buffers around the receiving nodes, preventing neighboring nodes from initiating transmissions that could cause interference within a defined spatial region. Specifically, the proposed Adaptive MAC scheme integrates the use of Request-to-Send (RTS) and Clear-to-Send (CTS) packets, which are essential signaling mechanisms that allow nodes to initiate communication links and confirm transmission readiness. This signaling process not only resolves the search and initial acquisition problem but also forms the basis for establishing the guard zones, wherein nodes dynamically adjust their transmission schedules based on real-time interference conditions as explained in [17].
This study primarily examines scenarios involving either randomly moving or stationary nodes, under the assumption of a homogeneous Poisson point process (PPP). While real-world node distributions may not strictly adhere to this model, the PPP is widely recognized for generating the highest level of randomness in node mobility, rendering it a conservative and often pessimistic choice for modeling [18,19]. Despite its limitations, the use of the PPP is strategic, as it provides a lower bound for system performance, ensuring that any conclusions drawn represent a worst-case scenario. As such, this research seeks to optimize the minimum achievable density of active nodes in wireless ad hoc networks (WANETs). Furthermore, the PPP serves as a foundational model for several other point processes and distributions [20,21], indicating that the transmission capacity under alternative node distributions may exceed the results presented in this study.
1.1. Related Work
The evolution of MAC protocols in ad hoc IoT networks has been a focal point of research, with numerous studies highlighting the necessity of advanced interference management and efficient resource allocation. Pălăcean et al. [22] proposed a smart IoT power meter for industrial and domestic applications, emphasizing the critical role of MAC protocols in ensuring reliable communication across diverse operational environments. This underscores the importance of adaptive MAC schemes that can handle varying interference levels, which is particularly crucial in dense IoT networks.
Moreover, Batool et al. [23] addressed the integration of security measures within MAC protocols by exploring secure cooperative routing in wireless sensor networks. Their work highlights the need for robust MAC strategies that safeguard data transmission in hostile environments, a concern shared by Aman Ullah et al. [24] in their research on a blockchain-enabled MAC protocol for vehicular networks, which ensures secure and efficient patient monitoring. These studies illustrate the growing demand for MAC protocols that not only manage interference but also enhance security in IoT networks.
Li et al. [25] contributed to the field by introducing a preemptive-resume priority MAC protocol aimed at improving Basic Safety Message (BSM) transmission in UAV-assisted vehicular ad hoc networks (VANETs), which is particularly relevant in scenarios requiring rapid and reliable communication. This is complemented by the work of Choi [26], who developed an efficient node insertion algorithm for a connectivity-based multipolling MAC protocol in Wi-Fi sensor networks, further advancing the adaptability of MAC protocols in IoT systems.
In addition to these contributions, the work of Reyna et al. [27] on virtual antenna arrays with frequency diversity for radar systems in fifth-generation flying ad hoc networks (FANETs) highlights the need for MAC protocols that can effectively manage the complexities of such advanced networks. Chen et al. [28] also explored a hybrid relay protocol design based on non-orthogonal multiple access (NOMA), offering innovative cross-layer approaches to MAC protocol design that could inform future developments in resource allocation and interference management.
Furthermore, Leonardi et al. [29] examined the combined use of LoRaWAN MAC protocols for IoT applications, presenting strategies to enhance communication efficiency in IoT networks. Finally, Pedditi and Debasis [30] focused on energy-efficient routing protocols for IoT-based wireless sensor networks (WSNs) to detect forest fires, demonstrating the critical importance of MAC protocols in ensuring reliable communication in life-critical applications.
In designing MAC, the author in [31], introduced a simple distributed technique within the network. This technique addressed the scheduling and power control, tailored for the physical layer in Direct Sequence Code Division Multiple Access (DS-CDMA). The scheduling strategy is based on the concept of a guard zone. Transmitters are restricted from initiating transmissions if positioned inside the defined area depending on the network parameters for a receiver. This defined area is called a guard zone, which is a simple and easy-to-implement technique and is conducive to decentralized implementation, as shown in Figure 1. However, this scheduling approach does not fully maximize spatial efficiency while the analysis and derivation are carried out for non-fading channels only, which is contrary to the practical scenarios. In [32], the author extended the research and introduced an innovative concept of an adaptive guard zone MAC. This novel scheme demonstrated substantial performance improvements and spatial efficiency compared to both the CSMA and the fix-sized guard zone scheme presented in [31]. The suggested adaptive guard zone not only factors in the distance between the interferers and the receiver but also incorporates their transmitter–receiver separation, as shown in Figure 2, a crucial feature in determining their transmission powers under pairwise power control. By focusing on pairwise power control, the method put forward calculates the nodes’ transmission powers exclusively using distance information derived from their intended receivers. Through the examination of critical network parameters, with a specific focus on the outage constraint, the research ascertained an optimal value for the guard zone multiplier parameter. The proposed scheme offers practical feasibility and represents a significant stride forward in optimizing wireless communication under challenging interference scenarios.
Figure 1.
Fixed guard zone example in the network. Guard zone around silence from transmission while may transmit concurrently as it is outside the guard zone Do.
Figure 2.
Adaptive guard zone example in a simplified network. Here, there are two guard zones for each transmitter–receiver pair based on their separation. and both may transmit concurrently as both are outside the guard zones defined for each.
In [33], the author developed a model for shot noise processes within the wireless ad hoc network, which is marked by a decaying power law, where node distribution follows a Poisson point process. However, when dealing with a diminishing power law, the aggregated interference becomes unbounded. To tackle this issue, the study incorporated a pragmatic power law that guarantees convergence of aggregated interference towards a Gaussian distribution. The author derived a closed-form equation for the moment generating function (MGF) for the aggregated interference. The proposed model included performance analyses for non-fading and Rayleigh fading channels. The shot noise model is applied to a network employing a guard zone-based MAC protocol. Using [33], the authors in [34] analyzed the generalized area spectral efficiency (GASE) within a wireless network operating under a Rayleigh fading channel. Closed-form MGF was formulated for the total interference and then used to assess various network metrics including the affected area, the generalized area spectral efficiency (GASE), and the ergodic capacity under Rayleigh fading channels.
In [35], the author introduced a MAC called the Hybrid Spread Spectrum scheme. This scheme was used to mitigate far-field interference, by employing a guard zone-based MAC coupled with direct sequence spread spectrum (DSSS). The scheme managed near-field interference by incorporating slow-frequency hopping techniques. The hybrid scheme does not restrict the spatial positioning of nodes. Instead, it employs a frequency hopping mechanism to handle interference. The research presented a novel dual-pronged approach for interference management, combining guard zone-based strategies and frequency hopping techniques in non-fading channels.
In [36], an exploration of the balancing of the advantages and drawbacks of guard zones and CSMA (carrier sense multiple access) was introduced, for both DS-CDMA and non-spreading networks. This research considered a finite network with a Nakagami fading channel. The author demonstrated that the necessary spreading factor for a given outage probability rises as the guard zone diminishes until it aligns with the exclusion zone. The utilization of CSMA led to a more gradual degradation of transmission capacity with increasing Tx distances, resulting in superior performance when compared to systems without CSMA.
The study conducted in [37] has affirmed that proximity to an interferer does not necessarily ensure its dominance. In this research, as in [38], an adaptive scheduling strategy has been proposed which anticipates the transmitted power of each interferer to determine inhibitory actions. The research also involves the derivation of an optimal exclusion-zone multiplier that depends on network variables in an inhomogeneously distributed wireless network. Furthermore, in [17], the study presented a finite-sized wireless ad hoc network, distinguishing itself from existing solutions. The presented approach merged adaptive scheduling and power control in a decentralized fashion, eliminating the need for nodes to exchange network-wide information. Notably, the analysis of performance underscores the superiority of the proposed scheme in comparison to existing distributed scheduling strategies for finite-sized networks.
In recent research, there has been a growing focus on optimizing resource allocation and task scheduling in networked systems, particularly in satellite edge computing environments. For instance, Tang et al. proposed a two-timescale hierarchical approach to jointly address service deployment and task scheduling, significantly enhancing the efficiency of satellite edge computing networks by considering dynamic task arrivals and computational resource constraints [39]. Additionally, in another study, Tang et al. introduced SIaTS, a service intent-aware task scheduling framework designed for computing power networks. This framework emphasizes the importance of aligning task scheduling with service intent to improve network efficiency and overall service quality [40]. These studies provide valuable insights into task scheduling and resource management, complementing the broader context of interference management and transmission scheduling discussed in this paper.
One of the main differences between the existing literature and our work is that we have proposed the variable guard zone-based MAC under pairwise power control in a Rayleigh fading channel. On the other hand, the existing literature only considers a simple path loss propagation model while proposing and analyzing guard zone-based channel access schemes.
1.2. Contributions
Within this research, an investigation into the influence of a variable guard zone on network performance in the context of Rayleigh fading has been conducted. This approach ensures spatial segregation among concurrent transmissions by creating a safeguarded area encompassing each active receiver. Within this area, all transmissions except those from the intended transmitter are prevented. The dimension (radius) of the proposed protective zone is a function of the distance between the interfering transmitter and its receiver. This parameter is utilized to calculate the best guard zone multiplier, i.e.,, which in turn calculates the corresponding transmission capacity, specifically under a Rayleigh fading channel. In essence, the introduced algorithm leverages the distance between an interferer’s transmitter and receiver to make decisions about its inclusion within the network.
The performance comparison with CSMA and fixed guard zone-based MAC protocols will elaborate on the effects of fading on the proposed scheme. Furthermore, this research delves into the investigation of various network parameters, including node density within the network, spreading gain, outage probability, and path loss exponent. This exploration sheds light on how these factors impact spatial reuse and the optimal parameter.
The remainder of this paper is structured as follows: Section 2 presents the network model, establishing the foundational framework for the research. Section 3 elaborates on the adopted methodology, including the statistical analysis of interference and the derivation of transmission capacity under both outage and spatial constraints. In Section 4, the validation of the derived results is thoroughly examined, accompanied by a detailed performance analysis. Section 5 provides an in-depth comparison of the proposed scheme with existing benchmark methods, highlighting its advantages, particularly under Rayleigh fading conditions. Finally, Section 6 concludes the paper, summarizing the key findings and contributions.
2. Network Model
We examine an ad hoc wireless network in which nodes are distributed within a two-dimensional homogeneous space denoted as , subject to the effects of Rayleigh fading channels. The transmitters are scattered as the Poisson point process (PPP) of density λ (). Here, the values represent the stochastic distances between the transmitters and the point of origin. Each transmitter is paired with its designated receiver (Rx), evenly dispersed within a circle with a radius of , centered at that specific transmitter (Tx). Each transmitter (Tx) establishes communication exclusively with a designated receiver (Rx). In the case of each Tx–Rx pair, the probability density function describing the distance is denoted as Equation (1).
In this study, we consider a scenario where each transmitter–receiver pair communicates using omnidirectional antennas while sharing a common frequency band. The focus is exclusively on single-hop transmissions without any form of coordination or imposed restrictions. Transmission capacity is defined as the maximum intensity of transmitters capable of maintaining successful communication with their intended receivers, given a specific outage probability. The receivers are assumed to utilize matched filtering with de-spreading capabilities, as in Direct Sequence Code Division Multiple Access (DS-CDMA). Transmitters are modeled to adjust their transmission power based on the distance to their intended receivers through Pairwise Power Control (PPC). Specifically, each transmitter adjusts its transmission power to ensure a consistent signal strength, ρ, at the intended receiver. Consequently, under PPC, the transmitter will emit at a power level of , where represents the distance between the transmitter and receiver, and α denotes the path loss exponent.
Under the interference model, any transmitting node can interfere with any receiver located within the network. For a transmission over a distance d, the power decays following the law with α as the path loss exponent. The aggregate interference power at a receiver is expressed as where n represents the total number of transmitters and the network is assumed to be infinite, i.e., . According to the Maclaurin and Cauchy criterion [41], it is essential (though not exclusively) that the path loss exponent α exceeds 2 to maintain a finite mean value of aggregate interference.
The performance results in this research are derived from averaging across various network configurations. However, it is important to note that certain aspects, such as shadowing effects, routing protocols, and end-to-end delays, are beyond the scope of this analysis. The network is assumed to operate using two distinct, non-overlapping frequency channels allocated for control and communication purposes [42]. The narrowband control link is responsible for communicating control packets necessary for implementing the proposed channel access and power control scheme. Meanwhile, the communication channel operates with DS-CDMA at the physical layer. As a result, within the asynchronous DS-CDMA framework, the signal-to-interference-plus-noise ratio (SINR) requirement at the receiver is represented as γ/M rather than γ, where γ denotes the SINR requirement for narrowband communication, and M is the spreading factor of DS-CDMA.
The probability of an outage is defined as the probability that the signal-to-interference ratio (SIR) falls below a predefined threshold i.e., . In this context, the background noise power is disregarded, as it is significantly smaller compared to the self-interference within the network. Consequently, the network is modeled as an interference-limited system.
3. Methodology
As per Slivnyak’s Theorem [43], the network distribution in the Poisson field in a two-dimensional homogeneous space does not change by placing a receiver () at the origin. Assume that this receiver at the origin is receiving the desired signal with a power of () under the Rayleigh fading channel due to significant signal scattering resulting in a multipath effect. Where is the intended received power under the PPC while is an independent random variable defined to model the multipath effect. This is an exponential random variable with a mean () for the Rayleigh fading channel, i.e., . Therefore, the probability of outage () at () can be written as Equation (2).
where is the noise at the receiver, is the distance from the interferer to this receiver at the origin (), is the Tx-Rx separation of the node, M is the spreading factor, is the random variable to model the multipath effect, is the exponent for the path loss resulting in signal attenuation due to environment conditions and is the threshold SINR for successful communications. The summation component within the denominator represents the cumulative interference received at the receiver . Each transmitter in the network contributes to the interference aggregation therefore it is summed for all except the intended transmitter as shown in Figure 2. The interference is regarded as wideband noise, and as a result, the SINR requirement within DS-CDMA is treated as [44,45].
Now, by implementing the proposed MAC, the number of active transmitters in the network decreases depending on the size of the guard zone due to its inhibiting criteria. Let us consider a guard zone size of is used to inhibit node, then the transmitter will be inhibited if and only if . Hence by implementing the variable guard zone MAC, the probability of outage () at can be written as Equation (3).
The parameter quantifies the balance between the probability of an outage and the extent to which spatial reuse can be achieved. Therefore, we will take into account two constraints, namely the outage constraint and the spatial constraint in order to derive an expression for . But first, we are required to derive the expression for aggregated interference that is the total interference received at the receiver placed at the origin as a result of surrounding transmitters and signal scattering.
3.1. Interference Statistics
Consider the receiver () positioned at the origin, the interference statistics observed by this receiver reflect the statistics of the entire plane, assuming a homogeneous scenario. Therefore, the analysis of interference at this particular point holds general applicability, extending to all points within the network. The aggregated interference encountered by , through non-coherent summation, can be expressed as Equation (4):
where , and is the fading power gain of the ith interferer. Here, and are independent random variables. Note that the interfering source adheres to the path loss propagation, where the interference power diminishes with respect to the distance among the receiver and the interferer. Moreover, the transmitters and receivers are scattered in a two-dimensional space under the Poisson point process with density . Hence, the aggregated interference can be exhibited as shot noise [33]. As a consequence, the MGF of the combined interference at the origin, accounting for a system-wide fixed guard zone across the system, can be expressed as follows:
where is given by Equation (6)
where is the incomplete gamma function [46] and is the product of two independent random variables and , where . Over the Rayleigh fading channel, is an exponential random variable having mean (), i.e., . While has distribution given by (1). Therefore, the distribution of random variable can be easily derived as Equation (7).
Now the distribution of can be found by convolution method using the distribution of and . Therefore, the distribution of random variable can easily be derived as Equation (8).
Using Equation (8) and results of [46], it can be shown that
Applying the equations of [46], we can further show that
where is the Gauss hyper-geometric function defined in [46]. Substituting Equations (9)–(11) in Equation (5) yields MGF of the aggregated interference over Rayleigh fading, as shown in Equation (12).
The mean and variance of the aggregated interference can be calculated directly from the MGF, as shown in Equation (13).
This mean and variance of the aggregated interference under Rayleigh fading is for system-wide fixed guard zone MAC. In order to find the mean and variance for variable guard zone MAC, we will use Campbell’s Theorem for the underlying process. Therefore, the MGF of the aggregated interference at the origin, taking into account the variable guard zone within the range of (let can be expressed as:
Similarly, the mean and variance of the aggregated interference can be calculated directly from the MGF, as shown in Equation (18).
To determine the optimal guard zone parameter () value, it is essential to first derive the probability density function (PDF) of the aggregated interference (). While a closed-form expression for the PDF was derived specifically for a network characterized by fixed transmitter–receiver distances without a guard zone [47], the existing literature indicates that the distribution of aggregated interference can be estimated as a Gaussian distribution when nearby interferers are suppressed. This approximation is particularly valid for interference originating from distant nodes. This Gaussian distribution assumption is supported by references such as [17,48]. However, with the multipath effect in play, the approximation for Gaussian distribution is to be validated through simulations. The outcome of simulations conducted on the network model is depicted in Figure 3. It can be seen that the aggregated interference can be approximated as Gaussian under Rayleigh fading. Additionally, the validity of this assumption has been corroborated by extensive simulations, as elaborated in the following sections.
Figure 3.
Aggregated interference distribution under simulation compared with the Gaussian distribution.
3.2. Transmission Capacity under Outage Constraint
Subject to the outage constraint, it is required that the outage probability, which is the likelihood of unsuccessful communication at any receiver, remains below a certain constant ε. This constraint can be mathematically expressed in the form of Equation (19) where n = 0 is assumed to simplify the expression. The equation can alternatively be represented by Equation (20).
where , and is a random variable with exponential distribution. The pdf of is Gaussian with the mean and variance given by Equation (18). Therefore, Equation (20) can be normalized, as shown in Equation (21).
Here, Z represents a normally distributed random variable with a mean of zero and a variance of one.
Let is a random variable. Therefore, the distribution of is governed by the distribution of i.e., Gaussian distribution and the distribution of i.e., exponential distribution with mean and variance .
Therefore, the distribution of can be derived to be an exponentially modified random variable with mean and variance . For higher values of SINR threshold , the pdf of can be estimated as Gaussian. Therefore, the outage constraint of Equation (22) can be rewritten as Equation (23).
The highest achievable node density that can effectively engage in communication while adhering to the outage constraint in a Rayleigh fading channel can be determined by substituting the expressions for the average and dispersion of aggregated interference and random variable in Equation (23), which leads to Equation (24).
where , , and .
The above expression is derived by implementing the guard zone only around one of the receivers that is placed at the origin (). However, in the network, guard zone MAC shall be implemented around every receiving node, thus decreasing the number of scheduled nodes in the space also known as spatial constraint. Additionally, the expression does not account for scenarios where communication links might exist without the implementation of a guard zone ( = 0). It is worth noting that in situations of low node densities, nodes naturally maintain some separation due to the intrinsic properties of the fundamental Poisson point process. This inherent separation contributes to the sustainability of certain communication links [49].
3.3. Transmission Capacity under Spatial Constraint
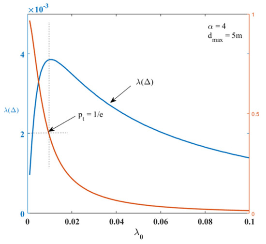
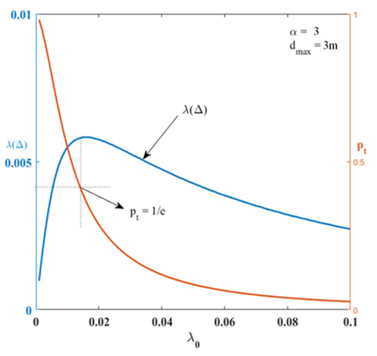
The derived expression has tackled only one facet of the problem, and at this point, it is essential to introduce the spatial constraint. This new constraint takes into consideration the introduced guard zone encompassing every network receiver. After employing the proposed MAC, only a designated proportion () of the initial competing nodes are granted permission to transmit [17,31,32]. The determination of () involves utilizing the void probability associated with the underlying Poisson point process at the initial node density. Given that the guard zone size is not uniform across the network and varies based on the Tx–Rx separations of the interferers, the mean of the guard zone’s area is utilized for computing the void probability. Hence,
Under the spatial constraint, the upper limit for the node density that can transmit concurrently is . The objective is to determine the highest achievable (optimal) node density capable of simultaneous communication () and to compute the associated ideal value for the parameter (). To achieve the goal, it is necessary to solve the nonlinear optimization problem as follows in Equation (26):
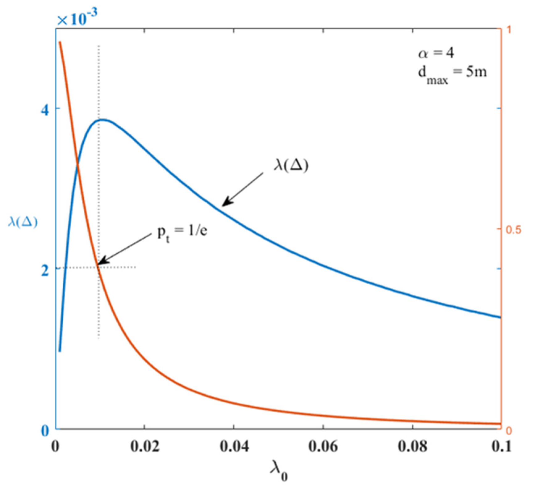
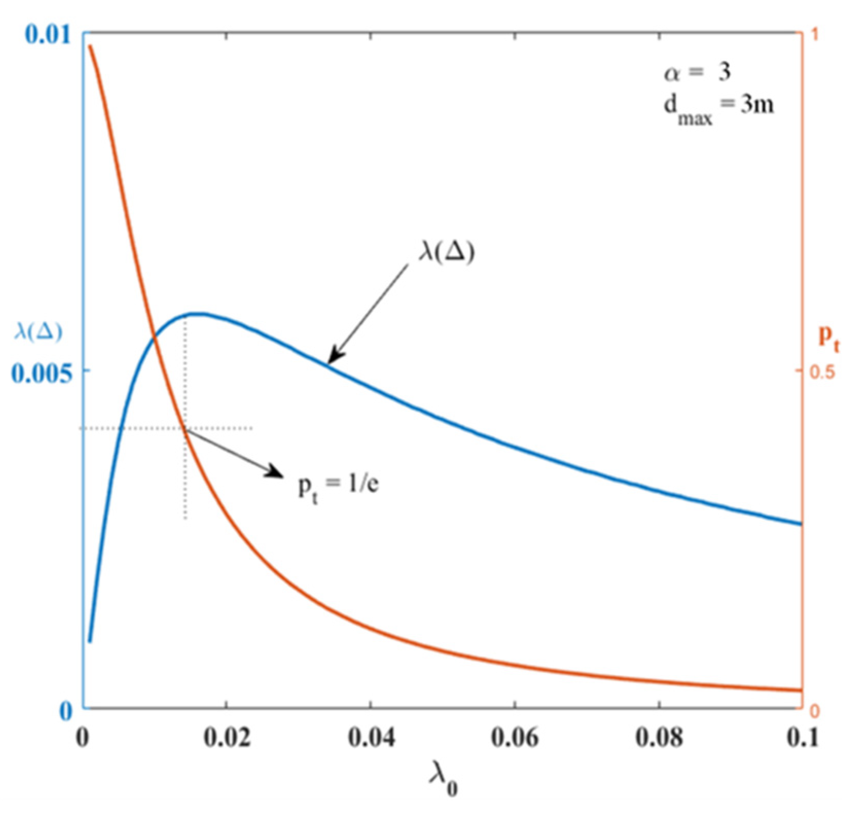
The numerical computations indicate that across various values, the optimal Δ value that maximizes λ(Δ) corresponds to a value that yields . Confirmation of this discovery has been supported by employing a wide array of network parameters, two of which are visually depicted in Figure 4 and Figure 5. Consequently, the maximum attainable density that satisfies the prescribed guard zone criteria can be mathematically expressed as Equation (27).
Figure 4.
Plot of λ(Δ) vs. initially contended node density shows that the maximum of λ(Δ) occurs when for α = 4 and .
Figure 5.
Plot of λ(Δ) vs. initially contended node density shows that the maximum of λ(Δ) occurs when for α = 3 and .
3.4. Optimal Transmission Capacity
Having successfully derived the outage and spatial constraints as expressed in (24) and (27), it is notable that is directly related to Δ, while is inversely related to Δ. This interrelation enables the determination of the optimal , denoted as , by equating to . As a result, along with the corresponding optimal transmission capacity () can be deduced for DS-CDMA. These values are presented as Equations (28) and (29), respectively.
where .
4. Validation through Simulation
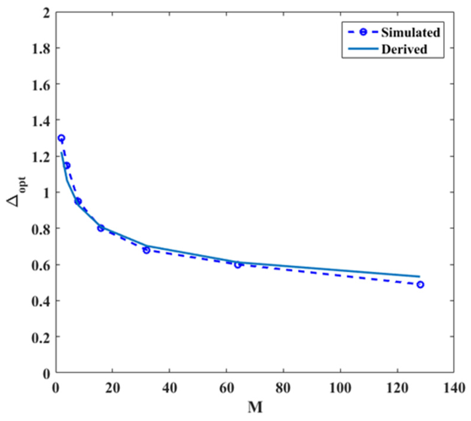
The conducted simulations were executed on the specified system model with parameters outlined in Table 1. These simulations served to validate our Gaussian assumption, as evidenced by the close alignment between the obtained outcomes from the simulated results (without any distribution assumption about interference) and the results derived under the Gaussian assumption. The optimal value of was determined through simulation across various network parameters to facilitate a comparison with the derived results. This comparison is visually depicted in Figure 6 and Figure 7.
Table 1.
Network parameters used for simulations, unless otherwise specified.
Figure 6.
The derived and the simulated values of plotted against . The plot verifies the derivations of the expression.
Figure 7.
The derived and the simulated values of plotted against M. The plot verifies the derivations of the expression.
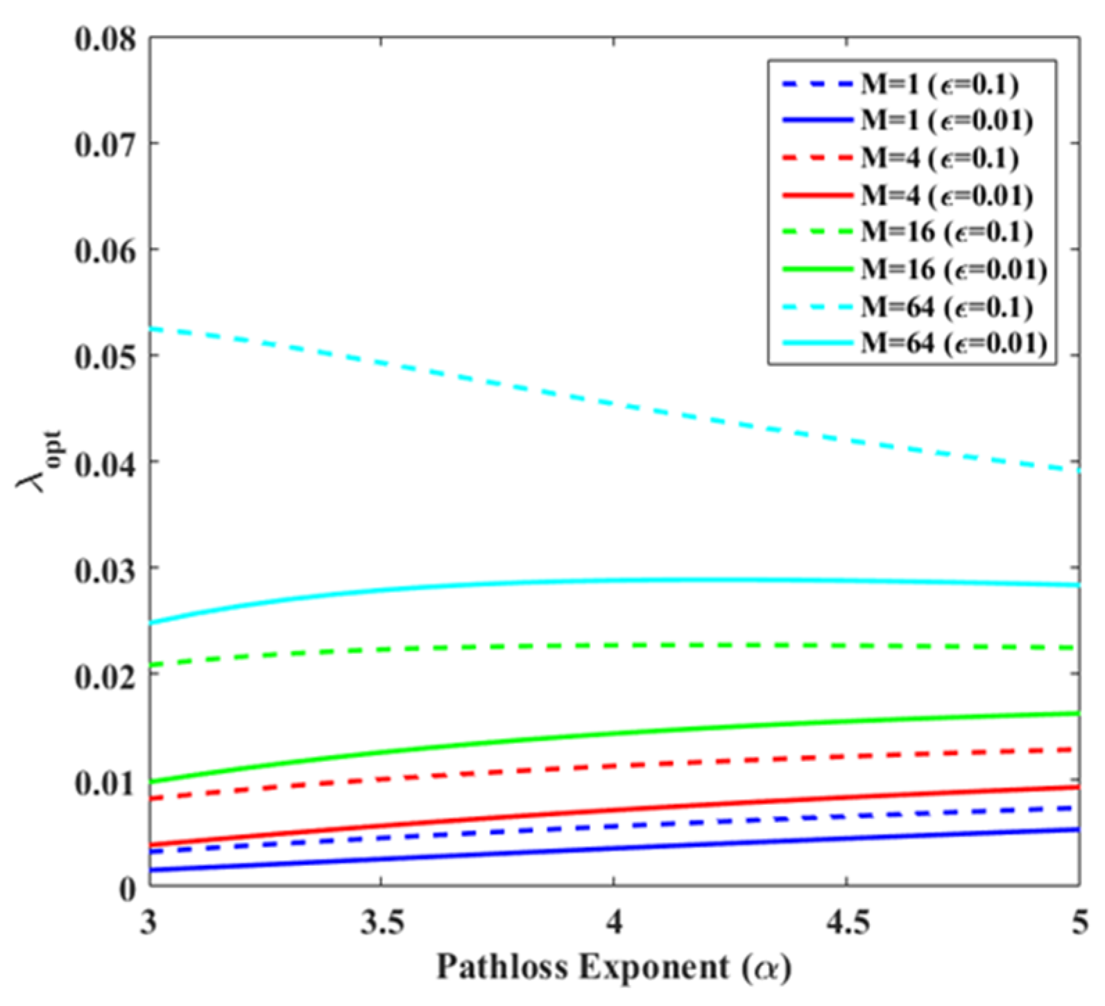
4.1. Analysis of Derived
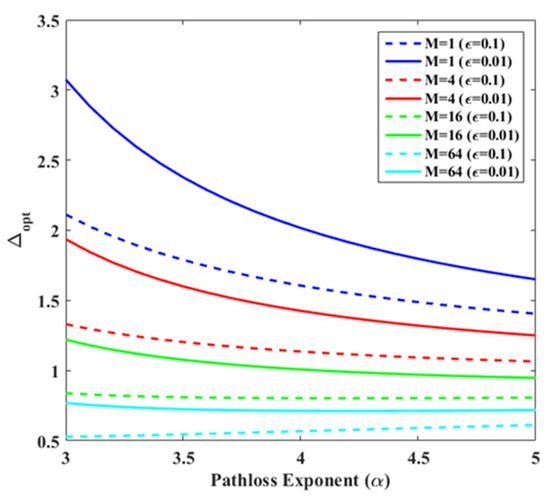
The formulated equations were also plotted for various network parameters to assess the impact on . It is evident in Figure 8 that when the outage constraint is relaxed, the value of the optimal guard zone decreases. This reduction in the optimal value occurs due to the relaxation of the outage constraint, which permits a greater number of transmitters to be accommodated in the network, consequently leading to a reduction in the size of the required guard zone.
Figure 8.
The derived expression for is plotted against for different values of and M.
Furthermore, the findings indicate that a greater path loss exponent results in smaller values for the guard zone parameter. The outcome can be attributed to the increased signal attenuation associated with higher path loss exponents. However, interestingly, when considering larger spreading gains (M = 64), the value of increases with . This observation might be attributed to the condition .
When examined in relation to the spreading gain (M), it is evident that M also has an impact on . The optimal multiplier parameter value exhibits an exponential decrease as the spreading gain, M, increases. Notably, with larger spreading gains, the optimal parameter could potentially be smaller than one.
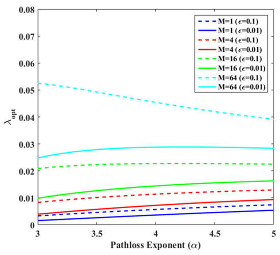
4.2. Analysis of Derived
Likewise, Figure 9 and Figure 10 provide insights into how various network parameters influence the optimal transmission capacity within the proposed scheduling approach. In the context of a narrow-band network, as depicted in Figure 9, it becomes apparent that the value of rises with an escalation in the path loss exponent (). This phenomenon arises due to the fact that a higher enables the network to accommodate more nodes by utilizing smaller .
Figure 9.
The derived expression for is plotted against for different values of .
Figure 10.
The derived expression of is plotted against for different values of and M.
On the other hand, in scenarios involving a network with larger ,, as shown in Figure 9, the increase in is relatively small. This is due to the fact that larger transmitter–receiver separations inherently hinder the efficient packing of additional transmitter–receiver pairs within the network.
Figure 10 reveals that for any combination of M and values, the value of rises when the outage constraint is relaxed. This relaxation permits a higher number of pairs to be accommodated. Furthermore, with a fixed and , the transmission capacity experiences an increase when the path loss exponent is increased for M = 1, 4 and 16. However, this trend is reversed at M = 64, where the transmission capacity decreases with . This observation might be attributed to the condition .
5. Performance Analysis and Discussion
The suggested approach has also been evaluated against established benchmarks, accompanied by an in-depth analysis of how they compare across various network parameters.
5.1. Comparison between the Proposed Scheme and CSMA
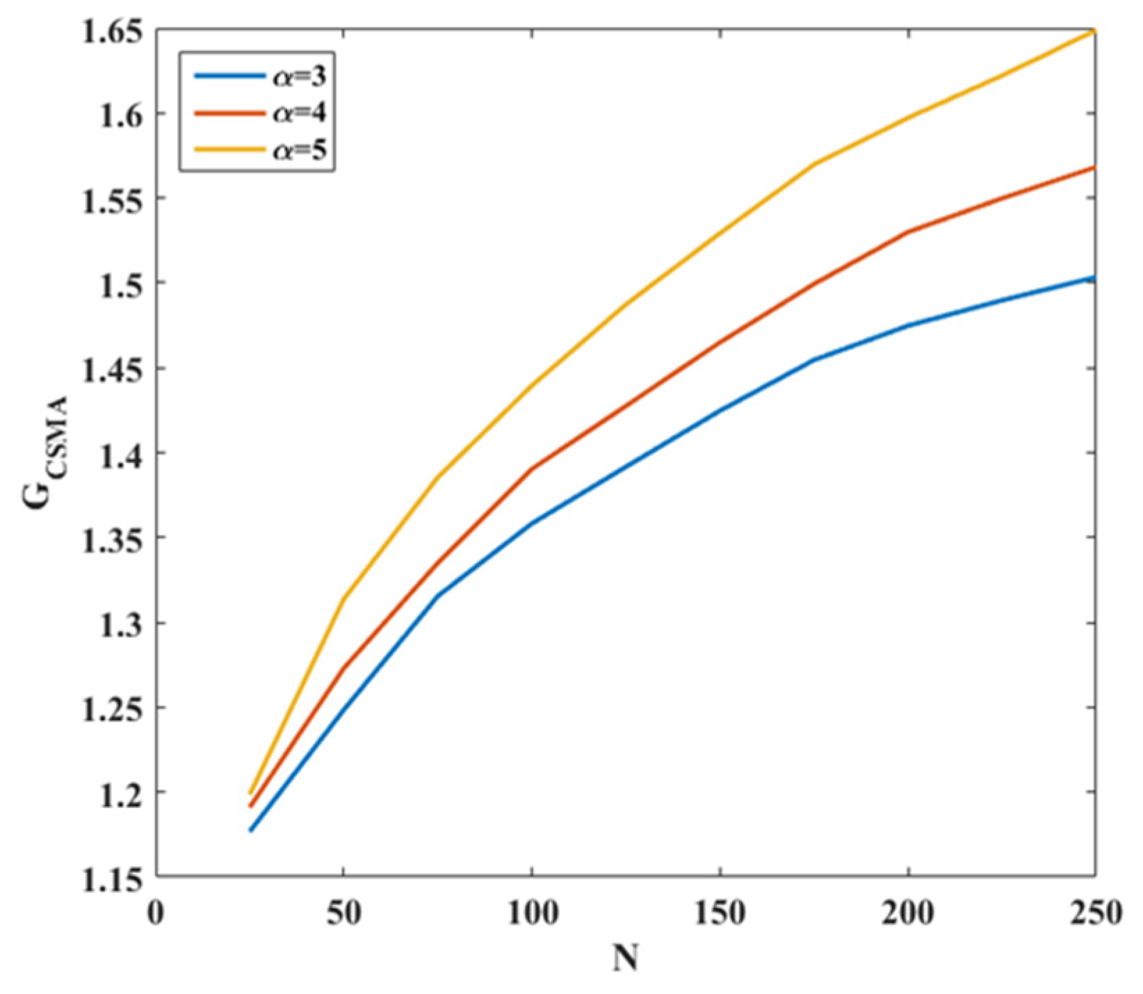
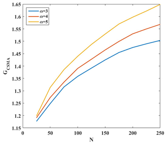
The well-known CSMA scheme [50] is widely used as a distributed scheduling method in networking. A comparison of its performance has been made with that of the CSMA scheme to highlight the advantages of the proposed scheme. This is accomplished by conducting simulations within the predetermined, finite-sized network for the CSMA scheme. Comprehensive network simulations provide compelling evidence that the proposed scheme offers an extensive enhancement in transmission capacity when matched to the benchmark. This is represented as , wherein signifies the capacity achieved through the CSMA scheme.
Figure 11 displays graphs depicting the gain versus the initially competing nodes (N) for different path loss exponent (α) values. exhibits a direct proportionality to N. In contrast to the proposed method, the CSMA algorithm faces challenges in densely populated networks, often resulting in unsuccessful communications. Additionally, for lower initially contended nodes, it is evident that the gain remains relatively unaffected by the value of path loss. However, for higher N, a higher path loss contributes to a greater . This aligns with earlier observations in the case of a narrowband system, where a higher value of path loss proves advantageous for the introduced scheme, consequently supporting a higher . This is because the greater causes a lower for maximization of the node density.
Figure 11.
Gain for CSMA MAC is plotted against initially contended nodes for different values of α.
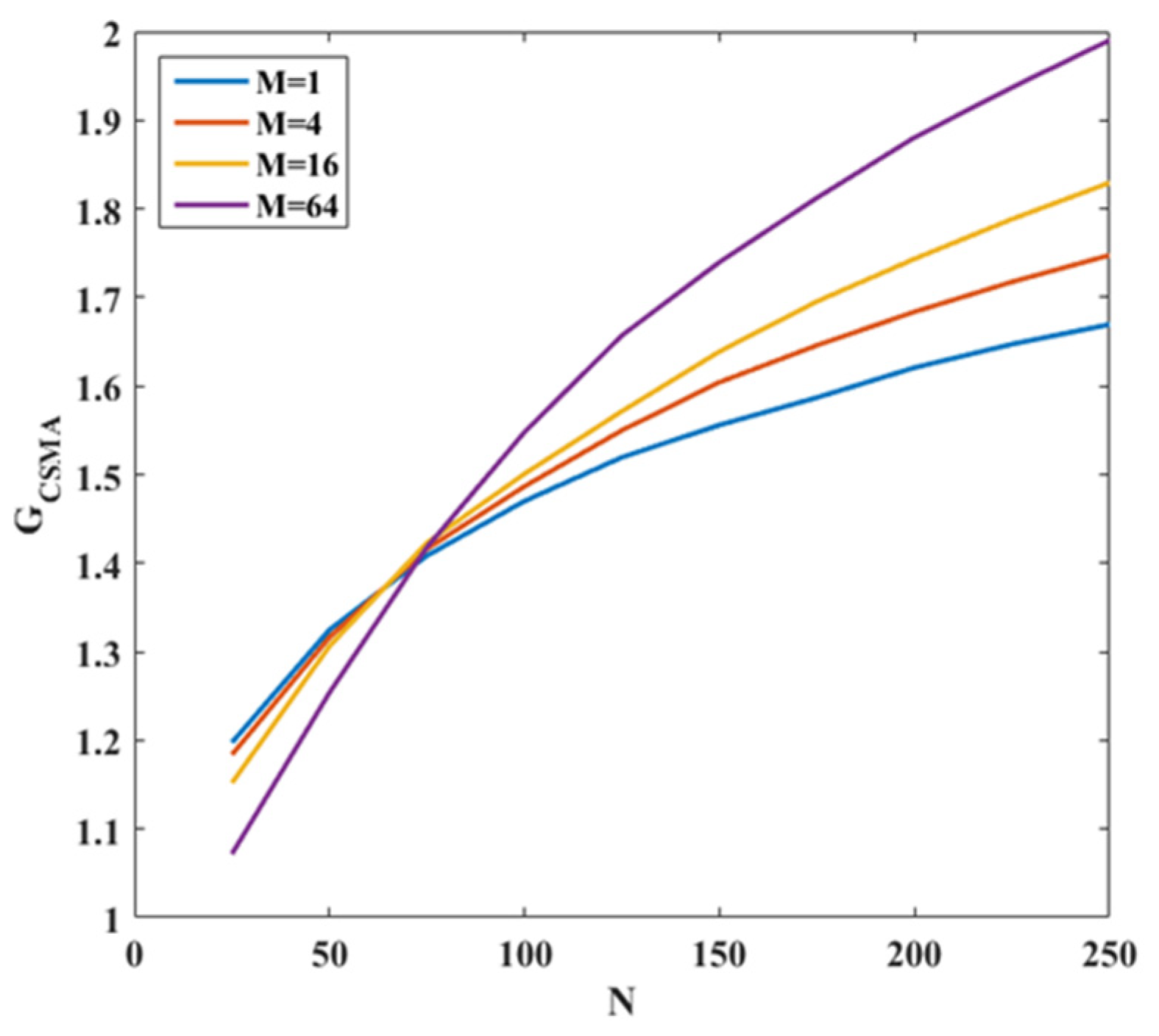
Furthermore, the proposed design achieves an approximately 100% increase in capacity compared to CSMA. The relationship between the gain of the proposed scheme in comparison to CSMA and the initial contending nodes (N) can be seen in Figure 12, considering four different values of M. The depicted graphs demonstrate that, at lower N values, gain exhibits an inverse correlation with the spreading gain. However, as N increases, the transmission capacity gain associated with higher spreading gains surpasses that achieved with lower spreading gains.
Figure 12.
Gain in transmission capacity for CSMA is plotted against initially contended nodes for different M.
5.2. Comparison between the Proposed Scheme and System-Wide Fixed Guard Zone
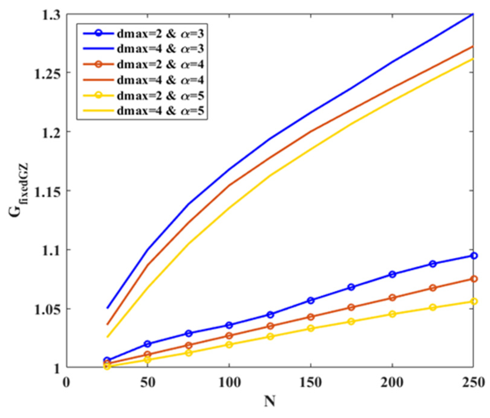
In a similar system model, the optimal guard zone size and its associated transmission capacity were determined in [31,45] for fixed system-wide guard zone and in [17,32] for variable guard zone size without taking into account the multipath effect of the channel. These two MAC protocols were compared in [17,32] to highlight the advantages of the latter. However, in a realistic scenario, multipath effects cannot be ruled out. Therefore, to highlight the effects of Rayleigh fading on the network model and then discover the advantages of the proposed scheme, the results of the adaptive guard zone scheme were matched with those of the aforementioned system. For this comparative analysis, a MATLAB simulation was conducted using the specified network model. Subsequently, both the newly introduced scheme and the network-wide fixed guard zone scheme were implemented within the identical network operating under Rayleigh fading conditions. The results were subsequently averaged over numerous network instances.
The gain is represented as , where stands for the optimal transmission capacity achieved in the Rayleigh fading channel through the network-wide fix-sized guard zone approach. Under the same conditions, the suggested protocol delivers a transmission capacity gain of up to 30% compared to the fixed guard zone strategy, as shown in Figure 13. Furthermore, a direct correlation between the gain and the parameter is evident, while it exhibits an inverse correlation with the spreading gain, as depicted in Figure 14.
Figure 13.
Gain in transmission capacity compared to a fixed guard zone is plotted against N, for different .
Figure 14.
Gain in transmission capacity for a fixed guard zone is plotted against initially contended nodes for different values of and and M.
Notably, at higher node densities, lower path loss contributes to greater gain. This occurs because a greater path loss confers a superior advantage to a fixed guard zone scheme, as opposed to the proposed scheme within the context of a Rayleigh fading channel. The has been subject to simulation across varying values of the initial number of nodes. The outcomes reveal a direct correlation between the gain and both the initially contending nodes as well as the value of , as depicted in Figure 14. It demonstrates a direct relationship with the gain but inversely with the gain due to the decreasing ratio of transmission capacities with increasing M. Additionally, the efficiency is most pronounced at larger values of and higher , particularly in narrow-band systems. Importantly, the results underscore the advantages of the proposed MAC to effectively handle nodes with significant transmitter–receiver separations. Thus, the proposed scheme establishes its superiority by surpassing the performance of the distributed scheduling approach [31,45].
6. Conclusions
In the inherently decentralized environment of WANETs, nodes that attempt to communicate within close spatial proximity are required to share the wireless channel. The absence of a centralized authority necessitates a robust and easily implementable scheduling mechanism to efficiently manage channel access. To address the resulting interference and expand transmission capacity, a well-designed MAC scheme becomes essential. In this context, only a subset of competing nodes is allowed to transmit simultaneously, selected based on criteria established by the scheduling scheme to optimize network performance.
This research introduces an innovative adaptive guard zone mechanism, specifically designed for Rayleigh fading channel conditions. The proposed scheme encompasses a comprehensive approach, including proposal, modeling, derivation, analysis, and validation, demonstrating significant advantages over existing benchmark methods. Extensive simulation results not only validate the analytical findings but also highlight the superiority of the adaptive scheme, achieving a 100% improvement in transmission capacity compared to the conventional CSMA scheme and a 30% enhancement over the fixed-sized guard zone scheme, both under Rayleigh fading.
Future work will extend this study by considering various channel models and node distribution patterns, aiming to further elucidate the potential of the proposed adaptive guard zone mechanism across diverse network scenarios. Moreover, upcoming research will focus on comparing this scheme with more recent benchmarks beyond those based solely on guard zones. This investigation will also explore the proposed scheme’s performance in terms of computational complexity, energy efficiency, and implementation overhead, providing a more comprehensive evaluation of real-world applications.
Author Contributions
Conceptualization, E.A. and A.F.; Data curation, E.A. and A.F.; Formal analysis, E.A. and A.F.; Funding acquisition, A.F. and J.R.; Investigation, A.F. and M.A.; Methodology, E.A. and A.F.; Project administration, J.R., M.A. and M.Z.; Software, E.A. and A.F.; Supervision, A.F.; Validation, E.A.; Writing—original draft, E.A. and A.F.; Writing—review and editing, A.F., J.R., E.A. and A.F. contributed equally to this paper, and they are the co-first authors. All authors have read and agreed to the published version of the manuscript.
Funding
This work was supported by ETRI grant funded by Korean government. [23ZK1130, Honam region regional industry-based ICT convergence technology advancement support project].
Institutional Review Board Statement
Not applicable.
Informed Consent Statement
Not applicable.
Data Availability Statement
The original contributions presented in the study are included in the article, further inquiries can be directed to the corresponding authors.
Conflicts of Interest
The authors declare no conflicts of interest.
References
- Ramphull, D.; Mungur, A.; Armoogum, S.; Pudaruth, S. A Review of Mobile Ad hoc Network (MANET) Protocols and their Applications. In Proceedings of the 2021 5th International Conference on Intelligent Computing and Control Systems (ICICCS), Madurai, India, 6–8 May 2021; pp. 204–211. [Google Scholar] [CrossRef]
- Saini, T.K.; Sharma, S.C. Prominent unicast routing protocols for Mobile Ad hoc Networks: Criterion, classification, and key attributes. Ad. Hoc Netw. 2019, 89, 58–77. [Google Scholar] [CrossRef]
- Pamarthi, S.; Narmadha, R. Literature review on network security in Wireless Mobile Ad-hoc Network for IoT applications: Network attacks and detection mechanisms. Int. J. Intell. Unmanned Syst. 2022, 10, 482–506. [Google Scholar] [CrossRef]
- Khatri, P.; Rajvanshi, P.R. A Relative Study About Mobile Ad-Hoc Network (MANET): Applications, Standard, Protocols, Architecture, and Recent Trends. In Advances in Computational Intelligence and Robotics; Rao, R.S., Jain, V., Kaiwartya, O., Singh, N., Eds.; IGI Global: Hershey, PA, USA, 2020; pp. 156–173. [Google Scholar] [CrossRef]
- Patel, Z.; Khanpara, P.; Valiveti, S.; Raval, G. The Evolution of Ad Hoc Networks for Tactical Military Communications: Trends, Technologies, and Case Studies. In Proceedings of the Third International Conference on Sustainable Expert Systems, Kathmandu, Nepal, 9–10 September 2022; Lecture Notes in Networks and Systems. Shakya, S., Balas, V.E., Wang, H.X., Eds.; Springer: Singapore, 2023; Volume 587. [Google Scholar] [CrossRef]
- Al Ajrawi, S.; Tran, B. Mobile Wireless Ad-Hoc Network Routing Protocols Comparison for Real-Time Military Application. Spat. Inf. Res. 2024, 32, 119–129. [Google Scholar] [CrossRef]
- Shahwani, H.; Shah, S.A.; Ashraf, M.; Akram, M.; Jeong, J.; Shin, J. A comprehensive survey on data dissemination in Vehicular Ad Hoc Networks. Veh. Commun. 2022, 34, 100420. [Google Scholar] [CrossRef]
- Carissimo, C.; Cerro, G.; Di Libero, T.; Ferrigno, L.; Miele, G. An Ad-Hoc Networked Measurement Framework to Real-Time Monitoring of Neurodegenerative Diseases. In Proceedings of the 2024 IEEE International Symposium on Measurements & Networking (M&N), Rome, Italy, 8–10 July 2024; pp. 1–6. [Google Scholar] [CrossRef]
- Dani, V. Different Network Threats and Issues Based on Wireless Ad hoc Networks: A Survey Details. SSRN Electron. J. 2020. [Google Scholar] [CrossRef]
- Li, P. Capacity of Wireless Ad Hoc Networks. In Encyclopedia of Wireless Networks; Shen, X.S., Lin, X., Zhang, K., Eds.; Springer International Publishing: Cham, Switzerland, 2020; pp. 160–164. [Google Scholar] [CrossRef]
- Amodu, O.A.; Othman, M.; Noordin, N.K.; Ahmad, I. Transmission capacity analysis of relay-assisted D2D cellular networks with interference cancellation. Ad. Hoc Netw. 2021, 117, 102400. [Google Scholar] [CrossRef]
- Zhao, J.; Wu, Z.; Wang, Y.; Ma, X. Adaptive optimization of QoS constraint transmission capacity of VANET. Veh. Commun. 2019, 17, 1–9. [Google Scholar] [CrossRef]
- Al Hajj, M.; Wang, S.; Tu, L.T.; Azzi, S.; Wiart, J. A Statistical Estimation of 5G Massive MIMO Networks’ Exposure Using Stochastic Geometry in mmWave Bands. Appl. Sci. 2020, 10, 8753. [Google Scholar] [CrossRef]
- Zucker, S.N.; Bergel, I. Optimal and sub-optimal rate and power allocation for random networks. Trans. Emerg. Telecommun. Technol. 2023, 34, e4730. [Google Scholar] [CrossRef]
- Petropulu, A.P.; Pesquet, J.-C.; Yang, X. Power-law shot noise and its relationship to long-memory α-stable processes. IEEE Trans. Signal Process. 2000, 48, 1883–1892. [Google Scholar] [CrossRef]
- Ma, M.; Liu, K.; Luo, X.; Zhang, T.; Liu, F. Review of MAC Protocols for Vehicular Ad Hoc Networks. Sensors 2020, 20, 6709. [Google Scholar] [CrossRef] [PubMed]
- Fazil, A.; Hasan, A.; Alyaei, B.R.; Khan, K.; Zakwan, M. A proactive Medium Access Control (MAC) for finite-sized machine-to-machine (M2M) communication networks. Comput. Electr. Eng. 2022, 102, 108243. [Google Scholar] [CrossRef]
- Musovic, J.; Lipovac, V.; Lipovac, A. Stochastic Geometry-Based Analysis of Heterogeneous Wireless Network Spectral, Energy and Deployment Efficiency. Electronics 2021, 10, 786. [Google Scholar] [CrossRef]
- Kusaladharma, S.; Tellambura, C. Impact of Beacon Misdetection on Aggregate Interference for Hybrid Underlay-Interweave Networks. IEEE Commun. Lett. 2013, 17, 2052–2055. [Google Scholar] [CrossRef]
- Afshang, M.; Saha, C.; Dhillon, H.S. Nearest-Neighbor and Contact Distance Distributions for Thomas Cluster Process. IEEE Wirel. Commun. Lett. 2017, 6, 130–133. [Google Scholar] [CrossRef]
- Saha, C.; Afshang, M.; Dhillon, H.S. 3GPP-Inspired HetNet Model Using Poisson Cluster Process: Sum-Product Functionals and Downlink Coverage. IEEE Trans. Commun. 2018, 66, 2219–2234. [Google Scholar] [CrossRef]
- Pălăcean, A.-V.; Trancă, D.-C.; Rughiniș, R.-V.; Rosner, D. Smart Internet of Things Power Meter for Industrial and Domestic Applications. Appl. Sci. 2024, 14, 7621. [Google Scholar] [CrossRef]
- Rida, B.; Bibi, N.; Alhazmi, S.; Muhammad, N. Secure Cooperative Routing in Wireless Sensor Networks. Appl. Sci. 2024, 14, 5220. [Google Scholar] [CrossRef]
- Ullah, M.A.; Alvi, A.N.; Javed, M.A.; Khan, M.B.; Hasanat, M.H.A.; Saudagar, A.K.J.; Alkhathami, M. An Efficient MAC Protocol for Blockchain-Enabled Patient Monitoring in a Vehicular Network. Appl. Sci. 2022, 12, 10957. [Google Scholar] [CrossRef]
- Li, J.; Han, T.; Guan, W.; Lian, X. A Preemptive-Resume Priority MAC Protocol for Efficient BSM Transmission in UAV-Assisted VANETs. Appl. Sci. 2024, 14, 2151. [Google Scholar] [CrossRef]
- Choi, W.-Y. Efficient Node Insertion Algorithm for Connectivity-Based Multipolling MAC Protocol in Wi-Fi Sensor Networks. Appl. Sci. 2023, 13, 11974. [Google Scholar] [CrossRef]
- Alberto, R.; Garza, J.C.; Balderas, L.I.; Méndez, J.; Panduro, M.A.; Maldonado, G.; Lourdes; García, Y. Virtual Antenna Arrays with Frequency Diversity for Radar Systems in Fifth-Generation Flying Ad Hoc Networks. Appl. Sci. 2024, 10, 4219. [Google Scholar] [CrossRef]
- Chen, Z.; Cao, T.; Wang, P.; Feng, J. Research on Hybrid Relay Protocol Design and Cross-Layer Performance Based on NOMA. Appl. Sci. 2024, 14, 3044. [Google Scholar] [CrossRef]
- Leonardi, L.; Lo Bello, L.; Patti, G.; Pirri, A.; Pirri, M. Combined Use of LoRaWAN Medium Access Control Protocols for IoT Applications. Appl. Sci. 2023, 13, 2341. [Google Scholar] [CrossRef]
- Pedditi, R.B.; Kumar, D. Energy Efficient Routing Protocol for an IoT-Based WSN System to Detect Forest Fires. Appl. Sci. 2023, 13, 3026. [Google Scholar] [CrossRef]
- Hasan, A.; Ali, A. Guard zone-based scheduling in ad hoc networks. Comput. Commun. 2015, 56, 89–97. [Google Scholar] [CrossRef]
- Fazil, A.; Hasan, A.; Qureshi, I.M.; Shafi, Q. Proactive channel access scheme for wireless ad hoc networks. IET Commun. 2019, 13, 1893–1901. [Google Scholar] [CrossRef]
- Venkataraman, J.; Haenggi, M.; Collins, O. Shot Noise Models for Outage and Throughput Analyses in Wireless Ad Hoc Networks. In Proceedings of the MILCOM 2006, Washington, DC, USA, 23–25 October 2006; pp. 1–7. [Google Scholar] [CrossRef]
- Zhu, J.; Zhang, L.; Yang, H.-C.; Hasna, M.O. Generalized area spectral efficiency of wireless ad-hoc networks over Rayleigh fading. J. Commun. Netw. 2020, 22, 293–302. [Google Scholar] [CrossRef]
- Ajmal, S.; Jabeen, S.; Rasheed, A.; Hasan, A. An intelligent hybrid spread spectrum MAC for interference management in mobile ad hoc networks. Comput. Commun. 2015, 72, 116–129. [Google Scholar] [CrossRef]
- Torrieri, D.; Valenti, M.C. Exclusion and Guard Zones in DS-CDMA Ad Hoc Networks. IEEE Trans. Commun. 2013, 61, 2468–2476. [Google Scholar] [CrossRef]
- Fazil, A.; Hasan, A.; Rehman, M.; Qureshi, I. An adaptive scheduling scheme for in homogeneously distributed wireless ad hoc Networks. Turk. J. Electr. Eng. Comput. Sci. 2019, 27, 2496–2510. [Google Scholar] [CrossRef]
- Tam, W.M.; Lau, F.C.; Chi, K.T. Digital Communications with Chaos: Multiple Access Techniques and Performance; Elsevier: Amsterdam, The Netherlands, 2010. [Google Scholar]
- Tang, Q.; Liu, Y.; Li, Q.; Song, T.; Wang, H. Joint Service Deployment and Task Scheduling for Satellite Edge Computing: A Two-Timescale Hierarchical Approach. IEEE J. Sel. Areas Commun. 2024, 42, 1063–1079. [Google Scholar] [CrossRef]
- Tang, Q.; Song, T.; Li, Q.; Zhang, H.; Wang, H.; Liu, Y. SIaTS: A Service Intent-Aware Task Scheduling Framework for Computing Power Networks. IEEE Netw. 2023, 38, 233–240. [Google Scholar] [CrossRef]
- Apostol, T.M. Mathematical Analysis, 2nd ed.; Addison-Wesley: Reading, MA, USA, 1974. [Google Scholar]
- Taneja, K.; Taneja, H.; Kumar, R. Multi-channel medium access control protocols: Review and comparison. J. Inf. Optim. Sci. 2018, 39, 239–247. [Google Scholar] [CrossRef]
- Feller, W. An Introduction to Probability Theory and Its Applications; John Wiley & Sons: New York, NY, USA, 1991; Volume 2. [Google Scholar]
- Weber, S.P.; Yang, X.; Andrews, J.G.; de Veciana, G. Transmission Capacity of Wireless Ad Hoc Networks with Outage Constraints. IEEE Trans. Inf. Theory 2005, 51, 4091–4102. [Google Scholar] [CrossRef]
- Hasan, A.; Andrews, J. The Guard Zone in Wireless Ad hoc Networks. IEEE Trans. Wirel. Commun. 2007, 6, 897–906. [Google Scholar] [CrossRef]
- Zwillinger, D.; Jeffrey, A. Table of Integrals, Series, and Products, 7th ed.; Elsevier: San Diego, CA, USA, 2007. [Google Scholar]
- Sousa, E.S.; Silvester, J.A. Optimum transmission ranges in a direct-sequence spread-spectrum multihop packet radio network. IEEE J. Sel. Areas Commun. 1990, 8, 762–771. [Google Scholar] [CrossRef]
- Aljuaid, M.; Yanikomeroglu, H. Investigating the Gaussian Convergence of the Distribution of the Aggregate Interference Power in Large Wireless Networks. IEEE Trans. Veh. Technol. 2010, 59, 4418–4424. [Google Scholar] [CrossRef]
- Weber, S.P.; Andrews, J.G.; Yang, X.; de Veciana, G. Transmission Capacity of Wireless Ad Hoc Networks with Successive Interference Cancellation. IEEE Trans. Inf. Theory 2007, 53, 2799–2814. [Google Scholar] [CrossRef]
- IEEE Std 802.11-2020; IEEE Standard for Information Technology—Telecommunications and Information Exchange between Systems—Local and Metropolitan Area Networks—Specific Requirements—Part 11: Wireless LAN Medium Access Control (MAC) and Physical Layer (PHY) Specifications. IEEE: New York, NY, USA, 2021; pp. 1–4379. [CrossRef]
Disclaimer/Publisher’s Note: The statements, opinions and data contained in all publications are solely those of the individual author(s) and contributor(s) and not of MDPI and/or the editor(s). MDPI and/or the editor(s) disclaim responsibility for any injury to people or property resulting from any ideas, methods, instructions or products referred to in the content. |
© 2024 by the authors. Licensee MDPI, Basel, Switzerland. This article is an open access article distributed under the terms and conditions of the Creative Commons Attribution (CC BY) license (https://creativecommons.org/licenses/by/4.0/).













