Strain-Controlled Electronic and Magnetic Properties of Janus Nitride MXene Monolayer MnCrNO2
Abstract
1. Introduction
2. Methods
3. Results
3.1. Structural Properties and Stability
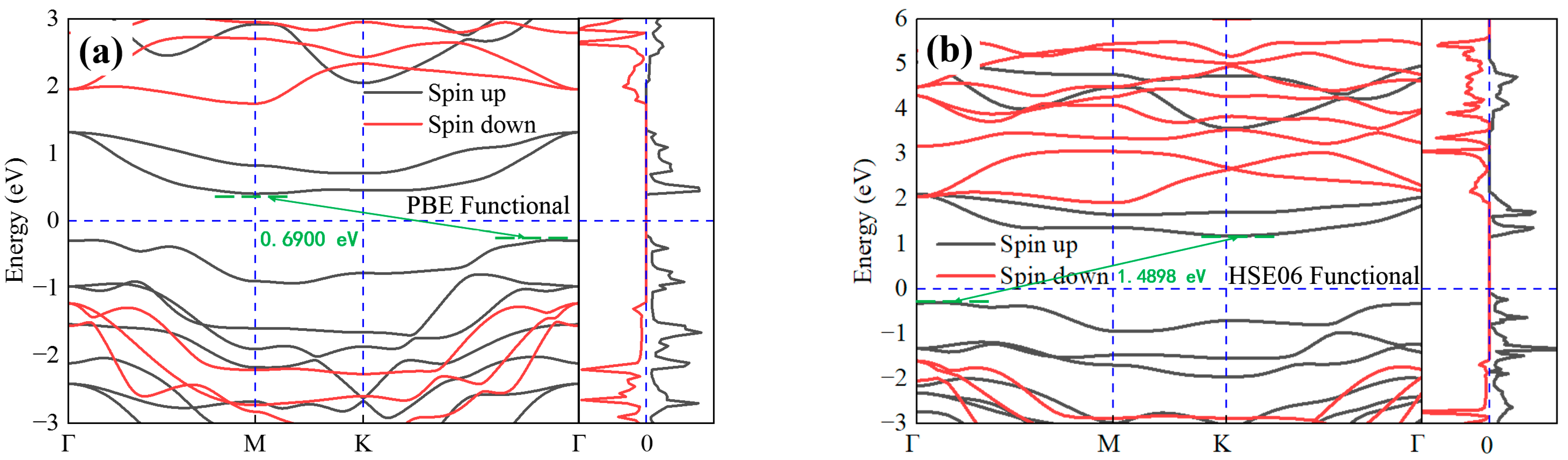
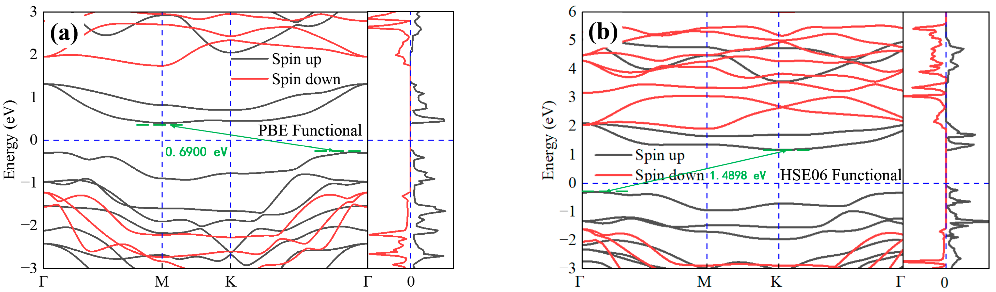
3.2. Magnetic and Electronic Properties
3.3. Effect of Biaxial Strains
4. Conclusions
Supplementary Materials
Author Contributions
Funding
Institutional Review Board Statement
Informed Consent Statement
Data Availability Statement
Conflicts of Interest
References
- Butler, S.Z.; Hollen, S.M.; Cao, L.; Cui, Y.; Gupta, J.A.; Gutiérrez, H.R.; Heinz, T.F.; Hong, S.S.; Huang, J.; Ismach, A.F.; et al. Progress, Challenges, and Opportunities in Two-Dimensional Materials Beyond Graphene. ACS Nano 2013, 7, 2898–2926. [Google Scholar] [CrossRef] [PubMed]
- Khazaei, M.; Arai, M.; Sasaki, T.; Chung, C.-Y.; Venkataramanan, N.S.; Estili, M.; Sakka, Y.; Kawazoe, Y. Novel Electronic and Magnetic Properties of Two-Dimensional Transition Metal Carbides and Nitrides. Adv. Funct. Mater. 2013, 23, 2185–2192. [Google Scholar] [CrossRef]
- Wang, H.; Yuan, H.; Hong, S.S.; Li, Y.; Cui, Y. Physical and chemical tuning of two-dimensional transition metal dichalcogenides. Chem. Soc. Rev. 2015, 44, 2664–2680. [Google Scholar] [CrossRef]
- Khandy, S.A. Inspecting the electronic structure and thermoelectric power factor of novel p-type half-Heuslers. Sci. Rep. 2021, 11, 20756. [Google Scholar] [CrossRef]
- Wani, A.F.; Khandy, S.A.; Patra, L.; Srinivasan, M.; Singh, J.; Ali, A.M.; Islam, I.; Dhiman, S.; Kaur, K. Intrinsic and strain dependent ultralow thermal conductivity in novel AuX (X = Cu, Ag) monolayers for outstanding thermoelectric applications. Phys. Chem. Chem. Phys. 2023, 25, 21736–21747. [Google Scholar] [CrossRef]
- Frey, N.C.; Kumar, H.; Anasori, B.; Gogotsi, Y.; Shenoy, V.B. Tuning Noncollinear Spin Structure and Anisotropy in Ferromagnetic Nitride MXenes. ACS Nano 2018, 12, 6319–6325. [Google Scholar] [CrossRef]
- Wolf, S.A.; Awschalom, D.D.; Buhrman, R.A.; Daughton, J.M.; von Molnár, S.; Roukes, M.L.; Chtchelkanova, A.Y.; Treger, D.M. Spintronics: A Spin-Based Electronics Vision for the Future. Science 2001, 294, 1488–1495. [Google Scholar] [CrossRef] [PubMed]
- Chang, C.-Z.; Zhang, J.; Feng, X.; Shen, J.; Zhang, Z.; Guo, M.; Li, K.; Ou, Y.; Wei, P.; Wang, L.-L.; et al. Experimental Observation of the Quantum Anomalous Hall Effect in a Magnetic Topological Insulator. Science 2013, 340, 167–170. [Google Scholar] [CrossRef]
- Adachi, H. Ultrafast Spintronics: Back to basics. Nat. Phys. 2015, 11, 707–708. [Google Scholar] [CrossRef]
- Sakai, S.; Majumdar, S.; Popov, Z.I.; Avramov, P.V.; Entani, S.; Hasegawa, Y.; Yamada, Y.; Huhtinen, H.; Naramoto, H.; Sorokin, P.B.; et al. Proximity-Induced Spin Polarization of Graphene in Contact with Half-Metallic Manganite. ACS Nano 2016, 10, 7532–7541. [Google Scholar] [CrossRef]
- Deng, Y.; Yu, Y.; Song, Y.; Zhang, J.; Wang, N.Z.; Sun, Z.; Yi, Y.; Wu, Y.Z.; Wu, S.; Zhu, J.; et al. Gate-tunable room-temperature ferromagnetism in two-dimensional Fe3GeTe2. Nature 2018, 563, 94–99. [Google Scholar] [CrossRef] [PubMed]
- Jiang, S.; Shan, J.; Mak, K.F. Electric-field switching of two-dimensional van der Waals magnets. Nat. Mater. 2018, 17, 406–410. [Google Scholar] [CrossRef] [PubMed]
- Sun, W.; Wang, W.; Li, H.; Li, X.; Yu, Z.; Bai, Y.; Zhang, G.; Cheng, Z. LaBr2 bilayer multiferroic moiré superlattice with robust magnetoelectric coupling and magnetic bimerons. NPJ Comput. Mater. 2022, 8, 159. [Google Scholar] [CrossRef]
- Vijay, K.; Vavilapalli, D.S.; Arya, A.; Srivastava, S.K.; Singh, R.; Sagdeo, A.; Jha, S.N.; Kumar, K.; Banik, S. Magneto-strain effects in 2D ferromagnetic van der Waal material CrGeTe3. Sci. Rep. 2023, 13, 8579. [Google Scholar] [CrossRef]
- Burch, K.S.; Mandrus, D.; Park, J.-G. Magnetism in two-dimensional van der Waals materials. Nature 2018, 563, 47–52. [Google Scholar] [CrossRef]
- Naguib, M.; Kurtoglu, M.; Presser, V.; Lu, J.; Niu, J.; Heon, M.; Hultman, L.; Gogotsi, Y.; Barsoum, M.W. Two-Dimensional Nanocrystals Produced by Exfoliation of Ti3AlC2. Adv. Mater. 2011, 23, 4248–4253. [Google Scholar] [CrossRef]
- Anasori, B.; Lukatskaya, M.R.; Gogotsi, Y. 2D metal carbides and nitrides (MXenes) for energy storage. Nat. Rev. Mater. 2017, 2, 16098. [Google Scholar] [CrossRef]
- Khazaei, M.; Ranjbar, A.; Arai, M.; Sasaki, T.; Yunoki, S. Electronic properties and applications of MXenes: A theoretical review. J. Mater. Chem. C 2017, 5, 2488–2503. [Google Scholar] [CrossRef]
- Wong, Z.M.; Deng, T.; Shi, W.; Wu, G.; Tan, T.L.; Yang, S.-W. High performance photocatalytic and thermoelectric two-dimensional asymmetrically ordered Janus-like MXene alloys. Mater. Adv. 2020, 1, 1176–1185. [Google Scholar] [CrossRef]
- Yusupov, K.; Björk, J.; Rosen, J. A systematic study of work function and electronic properties of MXenes from first principles. Nanoscale Adv. 2023, 5, 3976–3984. [Google Scholar] [CrossRef]
- Björk, J.; Rosen, J. Functionalizing MXenes by Tailoring Surface Terminations in Different Chemical Environments. Chem. Mater. 2021, 33, 9108–9118. [Google Scholar] [CrossRef]
- Minakshi, M.; Samayamanthry, A.; Whale, J.; Aughterson, R.; Shinde, P.A.; Ariga, K.; Shrestha, L.K. Phosphorous—Containing Activated Carbon Derived from Natural Honeydew Peel Powers Aqueous Supercapacitors. Chem.—Asian J. 2024, e202400622. [Google Scholar] [CrossRef] [PubMed]
- Anasori, B.; Xie, Y.; Beidaghi, M.; Lu, J.; Hosler, B.C.; Hultman, L.; Kent, P.R.C.; Gogotsi, Y.; Barsoum, M.W. Two-Dimensional, Ordered, Double Transition Metals Carbides (MXenes). ACS Nano 2015, 9, 9507–9516. [Google Scholar] [CrossRef] [PubMed]
- Wang, L.; Hu, P.; Long, Y.; Liu, Z.; He, X. Recent advances in ternary two-dimensional materials: Synthesis, properties and applications. J. Mater. Chem. A 2017, 5, 22855–22876. [Google Scholar] [CrossRef]
- Li, R.; Cheng, Y.; Huang, W. Recent Progress of Janus 2D Transition Metal Chalcogenides: From Theory to Experiments. Small 2018, 14, 1802091. [Google Scholar] [CrossRef]
- Wei, Y.; Tang, X.; Shang, J.; Ju, L.; Kou, L. Two-dimensional functional materials: From properties to potential applications. Int. J. Smart Nano Mater. 2020, 11, 247–264. [Google Scholar] [CrossRef]
- Yagmurcukardes, M.; Qin, Y.; Ozen, S.; Sayyad, M.; Peeters, F.M.; Tongay, S.; Sahin, H. Quantum properties and applications of 2D Janus crystals and their superlattices. Appl. Phys. Rev. 2020, 7, 011311. [Google Scholar] [CrossRef]
- Zhang, L.; Yang, Z.; Gong, T.; Pan, R.; Wang, H.; Guo, Z.; Zhang, H.; Fu, X. Recent advances in emerging Janus two-dimensional materials: From fundamental physics to device applications. J. Mater. Chem. A 2020, 8, 8813–8830. [Google Scholar] [CrossRef]
- Zheng, T.; Lin, Y.-C.; Yu, Y.; Valencia-Acuna, P.; Puretzky, A.A.; Torsi, R.; Liu, C.; Ivanov, I.N.; Duscher, G.; Geohegan, D.B.; et al. Excitonic Dynamics in Janus MoSSe and WSSe Monolayers. Nano Lett. 2021, 21, 931–937. [Google Scholar] [CrossRef]
- Wang, J.; Shu, H.; Zhao, T.; Liang, P.; Wang, N.; Cao, D.; Chen, X. Intriguing electronic and optical properties of two-dimensional Janus transition metal dichalcogenides. Phys. Chem. Chem. Phys. 2018, 20, 18571–18578. [Google Scholar] [CrossRef]
- Li, H.; Qin, Y.; Ko, B.; Trivedi, D.B.; Hajra, D.; Sayyad, M.Y.; Liu, L.; Shim, S.-H.; Zhuang, H.; Tongay, S. Anomalous Behavior of 2D Janus Excitonic Layers under Extreme Pressures. Adv. Mater. 2020, 32, 2002401. [Google Scholar] [CrossRef] [PubMed]
- Kresse, G.; Furthmüller, J. Efficiency of ab-initio total energy calculations for metals and semiconductors using a plane-wave basis set. Comp. Mater. Sci. 1996, 6, 15–50. [Google Scholar] [CrossRef]
- Kresse, G.; Furthmüller, J. Efficient iterative schemes for ab initio total-energy calculations using a plane-wave basis set. Phys. Rev. B 1996, 54, 11169–11186. [Google Scholar] [CrossRef]
- Kresse, G.; Joubert, D. From ultrasoft pseudopotentials to the projector augmented-wave method. Phys. Rev. B 1999, 59, 1758–1775. [Google Scholar] [CrossRef]
- Perdew, J.P.; Burke, K.; Ernzerhof, M. Generalized Gradient Approximation Made Simple. Phys. Rev. Lett. 1996, 77, 3865–3868. [Google Scholar] [CrossRef]
- Dudarev, S.L.; Botton, G.A.; Savrasov, S.Y.; Humphreys, C.J.; Sutton, A.P. Electron-energy-loss spectra and the structural stability of nickel oxide: An LSDA+U study. Phys. Rev. B 1998, 57, 1505–1509. [Google Scholar] [CrossRef]
- Zhou, F.; Cococcioni, M.; Marianetti, C.A.; Morgan, D.; Ceder, G. First-principles prediction of redox potentials in transition-metal compounds with LDA + U. Phys. Rev. B 2004, 70, 235121. [Google Scholar] [CrossRef]
- Jain, A.; Hautier, G.; Ong, S.P.; Moore, C.J.; Fischer, C.C.; Persson, K.A.; Ceder, G. Formation enthalpies by mixing GGA and GGA+U calculations. Phys. Rev. B 2011, 84, 045115. [Google Scholar] [CrossRef]
- Wu, Z.; Shen, Z.; Xue, Y.; Song, C. Strain-induced topological phase transition and enhanced Curie temperature in MnBi2Te4/CrI3 heterojunction. Phys. Rev. Mater. 2022, 6, 014011. [Google Scholar] [CrossRef]
- Wang, B.; Wu, Y.; Bai, Y.; Shi, P.; Zhang, G.; Zhang, Y.; Liu, C. Origin and regulation of triaxial magnetic anisotropy in the ferromagnetic semiconductor CrSBr monolayer. Nanoscale 2023, 15, 13402–13410. [Google Scholar] [CrossRef]
- Monkhorst, H.J.; Pack, J.D. Special points for Brillouin-zone integrations. Phys. Rev. B 1976, 13, 5188–5192. [Google Scholar] [CrossRef]
- Gonze, X.; Lee, C. Dynamical matrices, Born effective charges, dielectric permittivity tensors, and interatomic force constants from density-functional perturbation theory. Phys. Rev. B 1997, 55, 10355–10368. [Google Scholar] [CrossRef]
- Oba, F.; Togo, A.; Tanaka, I.; Paier, J.; Kresse, G. Defect energetics in ZnO: A hybrid Hartree-Fock density functional study. Phys. Rev. B 2008, 77, 245202. [Google Scholar] [CrossRef]
- Togo, A. First-principles Phonon Calculations with Phonopy and Phono3py. J. Phys. Soc. Jpn. 2022, 92, 012001. [Google Scholar] [CrossRef]
- Togo, A.; Chaput, L.; Tadano, T.; Tanaka, I. Implementation strategies in phonopy and phono3py. J. Phys. Condens. Matter 2023, 35, 353001. [Google Scholar] [CrossRef] [PubMed]
- Kumar, H.; Frey, N.C.; Dong, L.; Anasori, B.; Gogotsi, Y.; Shenoy, V.B. Tunable Magnetism and Transport Properties in Nitride MXenes. ACS Nano 2017, 11, 7648–7655. [Google Scholar] [CrossRef] [PubMed]
- Qi, R.; Shi, R.; Li, Y.; Sun, Y.; Wu, M.; Li, N.; Du, J.; Liu, K.; Chen, C.; Chen, J.; et al. Measuring phonon dispersion at an interface. Nature 2021, 599, 399–403. [Google Scholar] [CrossRef]
- Hao, D.; Wang, Y.; Tang, X.; Zhao, X.; An, Y.; Wang, W.; Li, J.; Shan, X.; Lu, X. Geometrical and magnetic properties of small titanium and chromium clusters on monolayer hexagonal boron nitride. Phys. Chem. Chem. Phys. 2023, 25, 6079–6088. [Google Scholar] [CrossRef]
- Bafekry, A.; Akgenc, B.; Ghergherehchi, M.; Peeters, F.M. Strain and electric field tuning of semi-metallic character WCrCO2 MXenes with dual narrow band gap. J. Phys. Condens. Matter 2020, 32, 355504. [Google Scholar] [CrossRef]
- Johari, P.; Shenoy, V.B. Tuning the Electronic Properties of Semiconducting Transition Metal Dichalcogenides by Applying Mechanical Strains. ACS Nano 2012, 6, 5449–5456. [Google Scholar] [CrossRef]
- Wang, D.-S.; Wu, R.; Freeman, A.J. First-principles theory of surface magnetocrystalline anisotropy and the diatomic-pair model. Phys. Rev. B 1993, 47, 14932–14947. [Google Scholar] [CrossRef] [PubMed]
- Song, Y.; Wang, X.; Mi, W. Role of electron filling in the magnetic anisotropy of monolayer WSe2 doped with 5d transition metals. Phys. Rev. Mater. 2017, 1, 074408. [Google Scholar] [CrossRef]
- Wang, L.; Lin, Z.; An, Y. Tunable valley polarization, magnetic anisotropy and dipole moment for layered Janus 2H–VSSe with intrinsic room temperature ferromagnetism. J. Alloys Compd. 2021, 854, 157141. [Google Scholar] [CrossRef]






| Bond | Length (Å) | Bond | Angle (°) |
|---|---|---|---|
| O-Cr | 1.932 | O-Cr-N | 87.004 |
| Cr-N | 2.228 | Cr-N-Mn | 91.610 |
| N-Mn | 2.058 | N-Mn-Mn | 84.047 |
| Mn-O | 1.956 |
Disclaimer/Publisher’s Note: The statements, opinions and data contained in all publications are solely those of the individual author(s) and contributor(s) and not of MDPI and/or the editor(s). MDPI and/or the editor(s) disclaim responsibility for any injury to people or property resulting from any ideas, methods, instructions or products referred to in the content. |
© 2024 by the authors. Licensee MDPI, Basel, Switzerland. This article is an open access article distributed under the terms and conditions of the Creative Commons Attribution (CC BY) license (https://creativecommons.org/licenses/by/4.0/).
Share and Cite
Yue, W.; Shan, J.; Jiao, R.; Zhang, L.; Chen, Y.; Hao, D. Strain-Controlled Electronic and Magnetic Properties of Janus Nitride MXene Monolayer MnCrNO2. Appl. Sci. 2024, 14, 8427. https://doi.org/10.3390/app14188427
Yue W, Shan J, Jiao R, Zhang L, Chen Y, Hao D. Strain-Controlled Electronic and Magnetic Properties of Janus Nitride MXene Monolayer MnCrNO2. Applied Sciences. 2024; 14(18):8427. https://doi.org/10.3390/app14188427
Chicago/Turabian StyleYue, Wentao, Jun Shan, Runxian Jiao, Lichuan Zhang, Yuanping Chen, and Dong Hao. 2024. "Strain-Controlled Electronic and Magnetic Properties of Janus Nitride MXene Monolayer MnCrNO2" Applied Sciences 14, no. 18: 8427. https://doi.org/10.3390/app14188427
APA StyleYue, W., Shan, J., Jiao, R., Zhang, L., Chen, Y., & Hao, D. (2024). Strain-Controlled Electronic and Magnetic Properties of Janus Nitride MXene Monolayer MnCrNO2. Applied Sciences, 14(18), 8427. https://doi.org/10.3390/app14188427

