Permeability Characteristics of Improved Loess and Prediction Method for Permeability Coefficient
Abstract
1. Introduction
2. Materials and Methods
2.1. Test Materials
2.1.1. Malan Loess
2.1.2. Lishi Loess
2.1.3. Argillaceous Sandstone
2.1.4. Loess-like Silt
2.2. Falling Head Permeability Test Method and Test Scheme
3. Results and Analysis
3.1. Test Results and Analysis of Improved Loess with Single Index
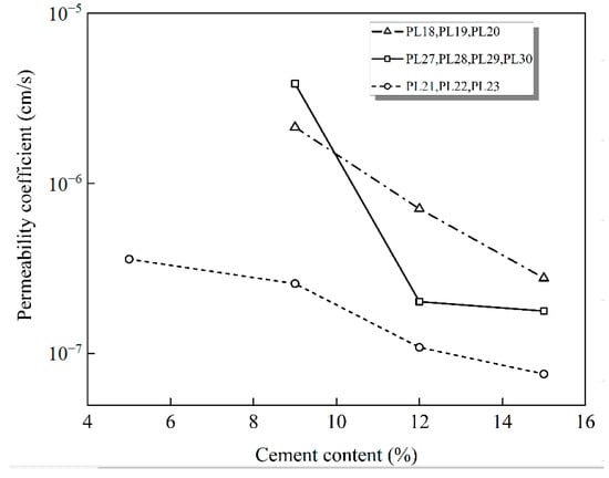
3.1.1. Influence of Admixture on Permeability Coefficient
3.1.2. Influence of Dry Density on Permeability Coefficient
3.1.3. Influence of Grain Size Characteristics on Permeability Coefficient
3.1.4. Influence of Grading Characteristics on Permeability Coefficient
3.2. Gray Correlation Analysis of Factors Affecting Permeability Coefficient
3.3. SVM-Based Prediction Model of Improved Loess Permeability
3.3.1. Construction of the Model
3.3.2. Selection of Parameters
3.3.3. Model Prediction Results
3.3.4. Comparison of Permeability Prediction Models
4. Discussion
5. Conclusions
- (1)
- Without considering the effects of admixtures, grain size, and grading characteristics, the coefficient of permeability of the improved loess tends to decrease with increasing dry density, and there is an obvious turning point in the relationship curve.
- (2)
- Under the same grain size, grading characteristics, and dry density, the permeability coefficient of the improved loess decreases with the increase in admixture (cement and lime) content, and the cement admixture has a more significant effect on the permeability coefficient of specimens with a larger grain size and smaller Cu.
- (3)
- The improved loess’s grain size and grading parameters influence the permeability coefficient. There exists a positive linear correlation between the permeability coefficient and three parameters, namely the average grain size, restricted grain size, and the product of the coefficient of curvature and coefficient of uniformity (Cu*Cc).
- (4)
- Gray correlation analysis was conducted on the permeability coefficient of improved loess material and its influencing factors, and it was concluded that the optimal influencing factor of the permeability coefficient was the type of admixture, and Cc and d60 were the secondary influencing factors. According to the importance of the influencing factors, a support vector machine-based prediction model for the permeability of improved loess materials was proposed. The actual prediction results show that the SVM model prediction results are significantly better than the linear regression and the neural network prediction models, and the prediction errors are more diminutive.
Author Contributions
Funding
Data Availability Statement
Conflicts of Interest
References
- Shan, B.; Wang, C.; Dong, Q.; Tang, L.; Zhang, G.; Wei, J. Experimental study on improving collapsible loess with cement. Glob. Geol. (Engl. Version) 2010, 13, 79–84. [Google Scholar] [CrossRef]
- Gao, Y.; Qian, H.; Yang, J.; Feng, J.; Huo, C. Indoor experimental study on permeability characteristics of remolded Malan Loess. South-to-North Water Transf. Water Sci. Technol. 2016, 14, 130–136. [Google Scholar] [CrossRef]
- Li, Z.Q.; Cui, Z.D.; Wang, Y.P.; Wang, L.C.; Zhong, D. Experimental Study on the Engineering Characteristics of Improved Soil. Adv. Mater. Res. 2011, 168, 1426–1431. [Google Scholar] [CrossRef]
- Xu, P.; Zhang, Q.; Qian, H.; Li, M.; Yang, F. An investigation into the relationship between saturated permeability and microstr-ucture of remolded loess: A case study from Chinese Loess Plateau. Geoderma 2021, 382, 114774. [Google Scholar] [CrossRef]
- Li, P.; Pan, Z.; Xiao, T.; Wang, J. Effects of molding water content and compaction degree on the microstructure and permeability of compacted loess. Acta Geotech. 2023, 18, 921–936. [Google Scholar] [CrossRef]
- Li, X.; Liu, J.; Guo, Z.; Zhang, K.; Meng, J. Study on relationship between pore structure parameters and permeability of Malan Loess. J. Eng. Geol. 2018, 26, 1415–1423. [Google Scholar] [CrossRef]
- Zhao, Z.; Wang, T.; Jin, X.; Zhang, L.; Zhu, X.; Ruan, J. A new model of temperature-dependent permeability coefficient and simulating of pipe leakage produced immersion of loess foundation. Bull. Eng. Geol. Environ. 2023, 82, 23. [Google Scholar] [CrossRef]
- Li, P.; Vanapalli, S.; Li, T. Review of collapse triggering mechanism of collapsible soils due to wetting. J. Rock Mech. Geotech. Eng. 2016, 8, 256–274. [Google Scholar] [CrossRef]
- Krishnan, J.; Shukla, S. Review of chemical stabilizing agents for improving the physical and mechanical properties of loess. Bull. Eng. Geol. Environ. 2019, 78, 3995–4017. [Google Scholar] [CrossRef]
- Yuan, Y.; Jiang, L.; Cai, J.; Fan, J.; Deng, C.; Xue, J. Influencing Factors and Prediction Model for the Antierosion Performance of Cement-Improved Loess Compacted Using Different Compaction Methods. Adv. Mater. Sci. Eng. 2021, 2021, 1788526. [Google Scholar] [CrossRef]
- Wang, H.; Yue, Z.; Ye, C. Experimental Investigation of Permeability Characteristics of Intact and Reshaped Loess. J. Shijiazhuang Tiedao Univ. (Nat. Sci. Ed.) 2009, 22, 20–22. [Google Scholar] [CrossRef]
- Wang, T.; Lu, J.; Zhang, J. Experimental Study on Permeability Coefficient of Artificially Compacted Unsaturated Loess Considering Influence of Density. Chin. J. Rock Mech. Eng. 2006, 25, 2364–2368. [Google Scholar]
- Yan, G.; Zhang, H.; Li, H. Research on Permeability Experiment of Modified Loess. Coal Ash 2013, 6, 1–5. [Google Scholar]
- Zhao, Q.; Su, L.; Liu, H.; He, J.; Yang, J. Experimental study on influence of particle size composition on permeability coefficient anisotropy of loess. J. Cent. South Univ. (Sci. Technol.) 2020, 51, 1615–1626. [Google Scholar]
- Olson, R.E. Effective stress theory of soil compaction. J. Soil Mech. Found. Div. 1963, 89, 27–45. [Google Scholar] [CrossRef]
- Garcia-Bengochea, I.; Altschaeffl, A.G.; Lovell, C.W. Pore distribution and permeability of silty clays. J. Geotech. Eng. Div. 1979, 105, 839–856. [Google Scholar] [CrossRef]
- Mashmood, A.; Tang, X.-W.; Qiu, J.-N.; Gu, W.-J.; Feezan, A. A hybrid approach for evaluating CPT-based seismic soil liquefaction potential using Bayesian belief networks. J. Cent. South Univ. 2020, 27, 500–516. [Google Scholar] [CrossRef]
- Mashmood, A.; Tang, X.-W.; Qiu, J.-N.; Feezan, A. Evaluating seismic soil liquefaction potential using Bayesian belief network and C4.5 decision tree approaches. Appl. Sci. 2019, 9, 4226. [Google Scholar] [CrossRef]
- Wrzesiński, G.; Markiewicz, A. Prediction of permeability coefficient k in sandy soils using ANN. Sustainability 2022, 14, 6736. [Google Scholar] [CrossRef]
- Ahmad, M.; Keawsawasvong, S.; Ibrahim, M.R.B.; Waseem, M.; Kashyzadeh, K.R.; Sabri, M.M.S. Novel approach to predicting soil permeability coefficient using Gaussian process regression. Sustainability 2022, 14, 8781. [Google Scholar] [CrossRef]
- GB/T 50123-2019; Standard for Soil Test Methods. China Planning Press: Beijing, China, 2019.
- Suykens, J.A.K.; Van Gestel, T.; Brabanter, J.; De Moor, B.; Vandewalle, J. Least Squares Support Vector Machines; World Scientific: Singapore, 2002. [Google Scholar]
- Sun, J.; Zhang, J.; Gu, Y.; Huang, Y.; Sun, Y.; Ma, G. Prediction of permeability and unconfined compressive strength of pervious concrete using evolved support vector regression. Constr. Build. Mater. 2019, 207, 440–449. [Google Scholar] [CrossRef]
- Ma, G.; Chao, Z.; He, K. Predictive Models for Permeability of Cracked Rock Masses Based on Support Vector Machine Techniques. Geotech. Geol. Eng. 2021, 39, 1023–1031. [Google Scholar] [CrossRef]
- Moosavi, N.; Bagheri, M.; Nabi-Bidhendi, M.; Heidari, R. Fuzzy support vector regression for permeability estimation of petroleum reservoir using well logs. Acta Geophys. 2022, 70, 161–172. [Google Scholar] [CrossRef]
- Zhu, M. Research on Physical Mechanics Properties and Road Usage of Improved Loess. Ph.D. Dissertation, Chang’an University, Xi’an, China, 2021. [Google Scholar] [CrossRef]
- Zhu, M.; Ni, W.; Yuan, K.; Li, L.; Li, X.; Wang, H. Improvement and optimization of permeability and strength properties of loess. Coal Geol. Explor. 2020, 48, 195–200. [Google Scholar]















| Name | Natural Density (g/cm3) | Dry Density (g/cm3) | Maximum Dry Density (g/cm3) | Natural Water Content (%) | Optimum Moisture Content (%) | Specific Weight (Gs) | Liquid Limit (%) | Plastic Limit (%) | Plasticity Index | Void Ratio |
|---|---|---|---|---|---|---|---|---|---|---|
| Loess-like silt | 1.49 | 1.36 | 1.80 | 9.7 | 11.7 | 2.75 | 26.1 | 18.9 | 7.2 | 0.995 |
| Malan loess | 1.52 | 1.42 | 1.88 | 6.9 | 13.2 | 2.73 | 26.5 | 19.1 | 7.4 | 0.901 |
| Lishi loess | 1.80 | 1.61 | 1.80 | 11.9 | 14.0 | 2.46 | 28.0 | 19.8 | 8.2 | 0.676 |
| Argillaceo-us sandstone | 2.09 | 1.94 | / | 7.8 | / | / | / | / | / | 0.364 |
| Sample Name | Content of Admixture (%) | Type of Admixture | d10 (mm) | d50 (mm) | d60 (mm) | Cu | Cc | Dry Density (g/cm3) | Permeability Coefficient (cm/s) |
|---|---|---|---|---|---|---|---|---|---|
| PL1 | 0 | None | 0.0828 | 0.32 | 0.46 | 5.58 | 0.67 | 1.75 | 2.65 × 10−6 |
| PL2 | 0 | None | 0.0807 | 0.30 | 0.43 | 5.31 | 0.71 | 1.86 | 7.97 × 10−7 |
| PL3 | 0 | None | 0.0828 | 0.26 | 0.37 | 4.41 | 0.70 | 1.80 | 2.74 × 10−6 |
| PL4 | 0 | None | 0.0828 | 0.24 | 0.33 | 4.03 | 0.73 | 1.71 | 2.00 × 10−6 |
| PL5 | 0 | None | 0.0828 | 0.23 | 0.30 | 3.68 | 0.72 | 1.99 | 2.29 × 10−7 |
| PL6 | 0 | None | 0.0828 | 0.21 | 0.28 | 3.35 | 0.75 | 1.76 | 6.44 × 10−8 |
| PL7 | 0 | None | 0.0987 | 0.44 | 0.62 | 6.33 | 0.80 | 1.85 | 6.16 × 10−8 |
| PL8 | 0 | None | 0.1037 | 0.49 | 0.69 | 6.64 | 0.91 | 1.88 | 1.07 × 10−5 |
| PL9 | 0 | None | 0.1032 | 0.44 | 0.61 | 5.89 | 0.89 | 1.85 | 4.72 × 10−7 |
| PL10 | 0 | None | 0.0828 | 0.36 | 0.54 | 6.57 | 0.66 | 1.84 | 1.09 × 10−7 |
| PL11 | 0 | None | 0.0828 | 0.36 | 0.54 | 6.57 | 0.66 | 1.61 | 4.86 × 10−7 |
| PL12 | 0 | None | 0.0848 | 0.42 | 0.65 | 7.68 | 0.65 | 1.90 | 4.67 × 10−7 |
| PL13 | 0 | None | 0.0848 | 0.42 | 0.65 | 7.68 | 0.65 | 1.82 | 4.85 × 10−7 |
| PL14 | 0 | None | 0.0848 | 0.49 | 0.78 | 9.20 | 0.65 | 1.90 | 1.04 × 10−7 |
| PL15 | 0 | None | 0.0848 | 0.49 | 0.78 | 9.20 | 0.65 | 1.82 | 7.12 × 10−7 |
| PL16 | 0 | None | 0.0848 | 0.49 | 0.78 | 9.20 | 0.65 | 1.77 | 5.12 × 10−6 |
| PL17 | 0 | None | 0.0848 | 0.49 | 0.78 | 9.20 | 0.65 | 1.69 | 9.12 × 10−6 |
| PL18 | 9 | Cement | 0.091 | 0.50 | 0.76 | 8.30 | 0.65 | 1.62 | 2.14 × 10−6 |
| PL19 | 12 | Cement | 0.091 | 0.50 | 0.76 | 8.30 | 0.65 | 1.62 | 7.09 × 10−7 |
| PL20 | 15 | Cement | 0.091 | 0.50 | 0.76 | 8.30 | 0.65 | 1.63 | 2.78 × 10−7 |
| PL21 | 9 | Cement | 0.091 | 0.42 | 0.64 | 7.03 | 0.64 | 1.64 | 2.02 × 10−7 |
| PL22 | 12 | Cement | 0.091 | 0.42 | 0.64 | 7.03 | 0.64 | 1.62 | 3.85 × 10−6 |
| PL23 | 15 | Cement | 0.091 | 0.42 | 0.64 | 7.03 | 0.64 | 1.65 | 1.78 × 10−7 |
| PL24 | 6 | Lime | 0.085 | 0.49 | 0.78 | 9.20 | 0.65 | 1.78 | 8.07 × 10−7 |
| PL25 | 9 | Lime | 0.085 | 0.49 | 0.78 | 9.20 | 0.65 | 1.81 | 6.93 × 10−7 |
| PL26 | 12 | Lime | 0.085 | 0.49 | 0.78 | 9.20 | 0.65 | 1.81 | 6.23 × 10−7 |
| PL27 | 5 | Cement | 0.085 | 0.49 | 0.78 | 9.20 | 0.65 | 1.81 | 3.59 × 10−7 |
| PL28 | 9 | Cement | 0.085 | 0.49 | 0.78 | 9.20 | 0.65 | 1.80 | 2.58 × 10−7 |
| PL29 | 9 | Cement | 0.085 | 0.49 | 0.78 | 9.20 | 0.65 | 1.48 | 6.29 × 10−8 |
| PL30 | 12 | Cement | 0.085 | 0.49 | 0.78 | 9.20 | 0.65 | 1.62 | 7.09 × 10−7 |
| PL31 | 15 | Cement | 0.085 | 0.49 | 0.78 | 9.20 | 0.65 | 1.63 | 5.23 × 10−6 |
| PL32 | 5 | Cement | 0.083 | 0.36 | 0.54 | 6.57 | 0.65 | 1.81 | 3.72 × 10−7 |
| PL33 | 5 | Cement | 0.085 | 0.42 | 0.65 | 7.68 | 0.65 | 1.82 | 3.64 × 10−7 |
| PL34 | 15 | Cement | 0.085 | 0.49 | 0.78 | 9.20 | 0.65 | 1.65 | 8.47 × 10−7 |
| PL35 | 15 | Cement | 0.085 | 0.49 | 0.78 | 9.20 | 0.65 | 1.74 | 5.00 × 10−7 |
| PL36 | 15 | Cement | 0.085 | 0.49 | 0.78 | 9.20 | 0.65 | 1.80 | 7.60 × 10−8 |
| Sample Name | Measured Values | Predicted Values |
|---|---|---|
| PL33 | 3.64 × 10−7 | 4.16 × 10−7 |
| PL34 | 8.47 × 10−7 | 8.09 × 10−7 |
| PL35 | 5.00 × 10−7 | 5.73 × 10−7 |
| PL36 | 7.60 × 10−7 | 9.19 × 10−7 |
| Prediction Models | SVM Regression | Multiple Linear Regression | Neural Network Regression |
|---|---|---|---|
| RMSE | 1.30 × 10−7 | 2.11 × 10−6 | 1.07 × 10−6 |
| R2 | 0.494 | 0.898 | 0.982 |
Disclaimer/Publisher’s Note: The statements, opinions and data contained in all publications are solely those of the individual author(s) and contributor(s) and not of MDPI and/or the editor(s). MDPI and/or the editor(s) disclaim responsibility for any injury to people or property resulting from any ideas, methods, instructions or products referred to in the content. |
© 2024 by the authors. Licensee MDPI, Basel, Switzerland. This article is an open access article distributed under the terms and conditions of the Creative Commons Attribution (CC BY) license (https://creativecommons.org/licenses/by/4.0/).
Share and Cite
Ran, G.; Zhu, Y.; Yang, X.; Huang, A.; Chen, D. Permeability Characteristics of Improved Loess and Prediction Method for Permeability Coefficient. Appl. Sci. 2024, 14, 8072. https://doi.org/10.3390/app14178072
Ran G, Zhu Y, Yang X, Huang A, Chen D. Permeability Characteristics of Improved Loess and Prediction Method for Permeability Coefficient. Applied Sciences. 2024; 14(17):8072. https://doi.org/10.3390/app14178072
Chicago/Turabian StyleRan, Guoliang, Yanpeng Zhu, Xiaohui Yang, Anping Huang, and Dong Chen. 2024. "Permeability Characteristics of Improved Loess and Prediction Method for Permeability Coefficient" Applied Sciences 14, no. 17: 8072. https://doi.org/10.3390/app14178072
APA StyleRan, G., Zhu, Y., Yang, X., Huang, A., & Chen, D. (2024). Permeability Characteristics of Improved Loess and Prediction Method for Permeability Coefficient. Applied Sciences, 14(17), 8072. https://doi.org/10.3390/app14178072
