Next Article in Journal
Antimicrobial Properties and Cytotoxic Effect Evaluation of Nanosized Hydroxyapatite and Fluorapatite Dedicated for Alveolar Bone Regeneration
Previous Article in Journal
Multi-UAV Area Coverage Track Planning Based on the Voronoi Graph and Attention Mechanism
 
 
Font Type:
Arial Georgia Verdana
Font Size:
Aa Aa Aa
Line Spacing:
Column Width:
Background:
Article

Possibilities of Increasing the Ampacity of Overhead Lines Using High-Temperature Low-Sag Conductors in the Electric Power System of the Slovak Republic

1
Department of Electric Power Engineering, Faculty of Electrical Engineering and Informatics, Technical University of Kosice, Letna 9, 042 00 Kosice, Slovakia
2
Department of Power Electronics and Power Engineering, Faculty of Electrical and Computer Engineering, Rzeszow University of Technology, Wincentego Pola 2, 35-959 Rzeszow, Poland
3
Department of Power Engineering, Faculty of Electrical Engineering and Computer Science, Lublin University of Technology, Nadbystrzycka 38D, 20-618 Lublin, Poland
*
Author to whom correspondence should be addressed.
Appl. Sci. 2024, 14(17), 7846; https://doi.org/10.3390/app14177846
Submission received: 29 May 2024 / Revised: 16 July 2024 / Accepted: 22 August 2024 / Published: 4 September 2024

Abstract

The examination of ampacity in overhead transmission lines offers a comprehensive overview, covering its definition, thermal evaluation methodologies, standards, practical applications, and the potential of high-temperature low-sag (HTLS) conductors. By navigating through static and dynamic approaches to thermal evaluation and detailing methodologies prescribed by international standards like those from CIGRE and IEEE, this study provides a solid understanding of how ampacity is determined and optimized. Furthermore, the exploration of HTLS conductors introduces a forward-looking perspective on enhancing transmission capacity while mitigating the need for extensive infrastructure modifications. Through an analysis of regional considerations and preferences using Slovak standards and CIGRE Technical Brochure 601, insights are provided into how environmental factors influence transmission line performance. The analysis of the transition from traditional ACSR (Aluminium Conductor Steel-Reinforced) to advanced ACCC (Aluminium Conductor Composite Core) conductors demonstrates the tangible benefits of adopting advanced conductor technologies in real-world scenarios.

1. Introduction

Current economic and societal trends are driving continuous increases in the consumption and production of electrical energy, leading to progressively higher demands on the transmission of electrical power from generation sites to consumption areas. Measures aimed at achieving national goals in industrial decarbonization and energy self-sufficiency and mitigating the ongoing energy price crisis significantly contribute to the increase in electricity transmission. These measures primarily include increasing the share of renewable energy sources (RESs) in the energy mix, as well as the development of electromobility and the associated need to expand charging infrastructure. The European Union also emphasizes the importance of increasing cross-border transmission capacities, which is crucial for the integration of electricity markets. According to the Agency for the Cooperation of Energy Regulators, providing maximum transmission capacity for electricity trading is an essential condition for achieving the targets for RES development [1,2].
With the increasing demands on power transfers, there should be a corresponding process of enhancing the transmission capacities of existing lines or constructing new lines. However, the implementation of new lines is a complex or even unfeasible process due to economic, environmental, legislative, or political reasons, and it often cannot keep up with the growing demands for electricity transmission from a temporal perspective. For these reasons, it is important to focus on researching the possibilities of maximizing the potential of existing electrical lines in terms of their transmission capacities or increasing the transmission capabilities of these lines with the lowest possible investment costs [3,4].
Increasing the transmission capacity of lines can be achieved by raising the voltage level or enhancing the current-carrying capacity of the line. In terms of the level of intervention on pylon structures, methods involving voltage increases are significantly more demanding and financially costly. Technically, economically, and temporally, increasing the current-carrying capacity appears to be more advantageous. In the context of the Slovak Republic, ACSR conductors, which allow operation up to approximately 80 °C, are predominantly used. A suitable solution for increasing transmission capacity seems to be the replacement of existing conductors with high-temperature conductors [5,6].
The aim of this article is as follows:
  • To determine the impact of external climatic conditions and the state of conductor wear on the load-carrying capacity of lines (dynamic ampacity) and subsequently compare it with static ampacity. Given that the transmission capacity of lines in the Slovak Republic is determined based on static ampacity by grid operators, this calculation will highlight the actual load-carrying capacity of lines under real operating conditions.
  • To calculate the change in ampacity of high-temperature conductors compared to existing ACSR conductors, considering the maximum allowable operating temperature of the conductor, external climatic conditions, and the state of conductor wear. The selection of the type and parameters of high-temperature conductors was made to ensure that no modifications to the pylon structures would be necessary when replacing the conductors.
The individual chapters of the article contain the following:
  • The issue of ampacity of overhead transmission lines using ACSR conductors, focusing on their maximum current capacity and operational limitations due to temperature constraints. It explores methodologies like static line rating (SLR) and dynamic line rating (DLR) to evaluate ampacity under varying environmental conditions, emphasizing the need for dynamic adjustments to optimize transmission efficiency.
  • Contrasts in CIGRE and IEEE standards in calculating ampacity and conductor temperature using different thermal balance equations, addressing key factors like convection, radiation, and solar heating for accurate temperature estimation in varied environmental conditions.
  • Considerations relating to the use of high-temperature low-sag conductors, covering their types and applications in overhead transmission lines.
  • The exploration of overhead transmission line ampacity in Slovakia, guided by CIGRE Technical Brochure 601. This includes an analysis of ambient temperature, wind speed, and solar radiation effects on ACSR conductors’ maximum current capacities.
  • An analysis of using HTLS conductors to enhance the ampacity of overhead transmission lines. It focuses on replacing ACSR conductors with ACCC conductors, comparing their ampacity under varying meteorological conditions specified by STN standards for SLR and the application of steady-state DLR on conductor performance.

2. Thermal Evaluation of Overhead Electrical Lines

The ampacity of overhead transmission lines is defined as the maximum electrical current that the lines can carry without reducing their electrical and mechanical properties. The most used conductors for overhead transmission lines are ACSR conductors, with aluminium forming the conductive layer. Manufacturers of these conductors state their maximum operating temperature in the range of 90 to 110 °C. Prolonged exposure to temperatures beyond this range makes the material more brittle and reduces its lifespan. Overloading of electrical conductors appears as a recurring topic in many studies on various subjects, often either as a primary focus or as a limitation on transmission capacity due to issues with current overload [7,8,9].
Similarly, it is imperative to avoid exceeding its extension or maximum sag, which, if surpassed, would violate the minimum safe distances from the ground, objects, or other conductors beneath the overhead lines. To ensure in practise that the material strength of the electrical conductors is not compromised, nominal values are assigned to transmission lines in the design process, i.e., limits on energy transmission [7,8].
The minimum safe height of the conductors is determined in standards for various types of environments, which are designed for the most critical circumstances and with a high level of reliability [7,8]. The mentioned factors influencing the ampacity of the lines are described in Figure 1 [10].
The determination of ampacity is carried out through thermal evaluation, which is categorized into the following [11]:
  • Static ampacity (probabilistic approach, static line rating—SLR),
  • Dynamic ampacity (deterministic approach, dynamic line rating—DLR) with direct methods and indirect methods.
The ampacity of long lines is often defined by stability limits or voltage constraints, whereas the ampacity of short lines is determined by temperature limitations [11].

2.1. Static Line Rating

In SLR, electrical grids are operated under the assumption that their conductors have a constant ampacity, which remains the same for every hour of the day, any day of the year, or any season. Entire regions with many overhead lines are considered areas with consistent meteorological conditions. Static assessment is a conservative estimate based on assumptions of weak convective cooling due to wind, high air temperatures, and solar radiation, where the calculation concerns theoretical rather than actual ampacity [12].
SLR is calculated using a thermal model based on the thermal balance of the bare conductor, low perpendicular wind speed (e.g., 0.5 m/s), seasonal air temperature close to the peak (e.g., 35 °C or higher in summer), and full solar heating (e.g., 1000 W/m2), as described in CIGRE Technical Brochure 299 [13].
Meteorological conditions used for SLR evaluation vary depending on the region’s environment and energy companies’ risk tolerance. Each transmission line may have several types of SLR. These include normal rating (or continuous), long-term emergency rating, and short-term emergency rating [14].

2.2. Dynamic Line Rating

DLR dynamically adjusts ampacity in real-time in response to changing environmental conditions, aiming to maximize current loading at any given moment. The thermal ampacity of overhead lines can be influenced by both heating and cooling, resulting in fluctuations in performance either upward or downward. The thermal ampacity of the line increases when the conductor is cooled by the wind or when the ambient temperature decreases, allowing for greater power transmission through the line [10].

2.2.1. Indirect Dynamic Line Rating

DLR, with indirect methods, considers that the ampacity of transmission lines dynamically changes depending on environmental conditions. Ambient conditions encompass all climate-related factors, including ambient temperature, wind speed and direction, solar radiation intensity, etc. [7,10,11]. The evaluation of lines is indirectly calculated using meteorological data recorded or forecasted along the transmission line. This method is also known as weather-dependent line rating. Meteorological data, whether measured or predicted, are considered primary inputs into weather-dependent line rating systems. Weather sensors may be positioned along the transmission line to gather weather data for implementing DLR. Assessing the conductor’s thermal balance equation forms the primary basis for weather-dependent line rating computations [11].

2.2.2. Direct Dynamic Line Rating

The direct method of DLR is based on directly measuring the properties of the electrical line, such as conductor temperature, mechanical stress on the line, and conductor sag. Line evaluation is typically calculated using additional data from a weather monitoring system, whereas there are already numerous approaches discussed for estimating the DLR of overhead transmission lines [11].

2.2.3. Steady-State Dynamic Ampacity

When discussing DLR, it is important to specify two concepts related to the dynamic ampacity of overhead electrical conductors: steady-state dynamic ampacity (steady-state DLR) and transient dynamic ampacity (transient DLR).
The current size at which the conductor temperature stabilizes at a certain value is referred to as the steady-state dynamic ampacity. In this calculation, it is assumed that all operating parameters are constant (do not change over time), meaning the conductor is in thermal equilibrium. Therefore, this calculation is associated with the stable temperature of the conductor before or after the initiation or termination of a transient event caused by the change in one operating parameter or the change in multiple operating parameters simultaneously. The steady-state solution often focuses on the opposite question, i.e., determining the stable conductor temperature with a known current flowing through the conductor and constant climatic conditions [15].

2.2.4. Transient Dynamic Ampacity

If a conductor has a defined thermal ampacity, it can be used for short-term current overload to ensure that the maximum allowed conductor temperature is not exceeded. This short-term current overload is known as transient dynamic ampacity and is associated with a limited duration of overload. This computational approach focuses on the change in conductor temperature over time, considering changes in specific operating factors (climatic conditions and current flowing through the conductor) [15].

3. Thermal Balances of Overhead Electrical Lines Designed According to Standards

The International Council on Large Electric Systems (CIGRE) and IEEE address standards that explain algorithms for estimating ampacity and conductor temperature. Both techniques (CIGRE and IEEE) are based on the thermal balance of heat gained and lost in the conductor, according to the load and environmental factors [16].
The first CIGRE method calculates the conductor temperature using steady-state conditions, whereas the second method estimates its temperature using dynamic equilibrium, which considers the thermal inertia of the conductor. In steady-state conditions, the basic thermal balance is defined as follows [16]:
P c + P r = P S + P j + P m ,
where
  • Pc represents cooling due to convection (W/m),
  • Pr represents cooling due to radiation to the surroundings (W/m),
  • PS represents heating due to solar radiation (W/m),
  • Pj represents heating due to Joule effect (W/m),
  • Pm represents heating due to magnetic effect (W/m).
If the thermal inertia of the conductor is considered, the following dynamic thermal balance is applied instead of equation [16]:
m c d T c d t = P s + P j + P m P c P r ,
where
  • m is the mass per unit length of the conductor (kg/m),
  • c is the specific heat capacity of the conductor (J/(kg·K)),
  • Tc is the conductor temperature of the conductor (°C).
The equation for the steady-state thermal balance in IEEE Standard 738 [17] is represented by [18]
P r + P c = P S + P J ,
where [18]
  • Pr represents cooling due to radiation to the surroundings (W/m),
  • Pc represents cooling due to convection (W/m),
  • PS represents heating due to solar radiation (W/m),
  • PJ represents heating due to the Joule effect (W/m).
Accordingly, the thermal balance Equation (3) can be graphically depicted in Figure 2 [18].
The differences between the methodologies mentioned in the standards CIGRE and IEEE are as follows [18,19]:
  • Both methods consider meteorological factors such as wind speed and direction, ambient temperature, and solar radiation, but they calculate the thermal balance differently.
  • Solar heating (solar radiation) is calculated by considering the position of the sun in different seasons. CIGRE employs a more complex algorithm that considers direct, diffuse, and reflected radiation.
  • CIGRE approaches convective cooling using Morgan correlations based on the Nusselt number, whereas IEEE utilizes McAdams correlations based on the Reynolds number.

4. Considerations Relating to the Use of High-Temperature Low-Sag Conductors

Conductors can be divided into three basic groups [20]:
  • Aluminium and its alloys,
  • Aluminium-iron alloy conductors (aluminium–steel),
  • High-temperature conductors.
Conductors can be composed of wires of various shapes. The most used is wire with a circular cross-section. Other shapes include trapezoidal wires stranded into segments, known as segmental wires, or wires shaped like a Z, referred to as Z-shaped conductors [20].
The current trend reflects a continual escalation in energy consumption, accompanied by challenges such as unplanned large-scale transfers of electrical energy from one region of the power system to another. This often arises due to fluctuations in the production of renewable energy sources concentrated in specific locales. Consequently, there arises a critical need to augment the transmission capacity of overhead electrical lines. As mentioned previously, one viable approach to address this issue is the replacement of conductors. A promising solution lies in the adoption of HTLS conductors in lieu of traditional ACSR conductors, which operate within a temperature range of 80 °C to 100 °C [15,19].
HTLS conductors are made from special materials to maintain their mechanical properties at elevated temperatures. Most have a similar construction to conventional ACSR conductors, but there is also a special type with a gap. The core of the conductor is made from various types of steel or composite materials to enhance mechanical properties, while the sheath is made from aluminium alloys to ensure conductivity [21].
To minimize the necessity for structural modifications to transmission lines, HTLS conductors must operate at significantly higher temperatures than conventional conductors, while ensuring compliance with permissible sag limits and without inducing substantial increases in original mechanical tension, ice loading, or wind loading. HTLS conductors are engineered for applications necessitating continuous operation at conductor temperatures exceeding 100 °C, designed to withstand emergency conditions at temperatures exceeding 150 °C. The appealing characteristics of high-temperature conductors come with elevated costs. However, these higher costs are deemed acceptable if they facilitate cost reduction or prevention of expenses associated with structural alterations to transmission lines [15].
Current commercially available types of HTLS conductors, as well as the materials employed in the construction of their cores and casings, are succinctly described in technical manuals such as CIGRE 425, CIGRE 331, and CIGRE 244 (Table 1). Additionally, CIGRE Technical Brochure 331 addresses the impact of HTLS conductors on insulators, providing comprehensive insights into their application and integration within existing power infrastructure [15].
In HTLS studies of conductors in transmission systems, the manufacturers’ performance comparison of various HTLS and conventional conductors demonstrates that HTLS conductors are superior at handling high temperatures with minimal sag compared to conventional conductors. Among HTLS options, ACCC conductors perform the best, showing minimal sag at elevated temperatures due to the high-tensile strength of their hybrid carbon core strand. The geometric design of HTLS conductors helps address sagging issues and maintains good clearance at high temperatures, reducing structural weight and installation costs. Additionally, HTLS conductors provide better geometry configurations and excellent electrical conductivity. Other advantages of HTLS include lower maintenance costs, improved efficiency, and enhanced reliability in diverse environmental conditions. Additional benefits of HTLS conductors include the following [5]:
  • Excellent conductivity and low resistivity, enabling more current flow and optimizing carrying capacity.
  • A low thermal expansion coefficient, allowing it to withstand high operating temperatures with minimal thermal elongation, resulting in reduced sag.
  • Lower electrical resistance, which reduces electrical loss and allows for increased rating.
HTLS conductors represent the best solution for upgrading power lines from ACSR and for new high-voltage transmission lines. Reconductoring existing lines with HTLS conductors is a practical approach to significantly enhance power line capacity in the long run. The economic benefits of reconductoring have spurred new studies in this field [4,5].
Comparative analyses reveal that despite the higher initial installation cost of ACCC conductors, they offer substantial long-term advantages. ACCC conductors reduce line losses more effectively than other HTLS options, ensuring more profitable returns over time. Studies demonstrate the cost comparison between ACSR and ACCC conductors, highlighting the efficiency gains associated with ACCC conductors in terms of current capacity and diameter size. Their lighter weight and ability to operate efficiently at high temperatures also mitigate sag issues, underscoring ACCC conductors as a superior choice for enhancing both the capacity and operational efficiency of power transmission systems over the long term [3,4,5].
Based on processed studies in the distribution system, the adoption of HTLS conductors could potentially address the increasing demands for connectivity, power transmission, and distribution between 110 kV substations and nodes. There is a general shift in the conceptual and developmental framework of distribution systems towards employing conductors with larger cross-sections, often necessitating the complete dismantling of existing, often technologically obsolete lines and the construction of new ones [20,21,22].
The study results indicate that under appropriate deployment conditions, HTLS conductors could allow for the retention of existing pylon structures. By replacing conductors, this not only increases the transmission capacity but also shortens and reduces the cost of the reinforcement process for the lines [20,21,22].
The mechanical and economic benefits of using HTLS conductors are as follows [20,21,22]:
  • Using HTLS conductors is 4-times cheaper than dismantling and rebuilding new lines with equivalent current-carrying capacity;
  • HTLS conductors cost 1.1 times more than simple conductor replacements but allow for a 1.4-times increase in transmission capacity with less impact on modifying existing support points;
  • They shorten the downtime of the line required for capacity reinforcement;
  • HTLS conductors with a steel core can be used in areas prone to heavy icing;
  • They maximize the lifespan of pylon structures.

5. Ampacity of Overhead Transmission Lines in Slovakia Applying CIGRE Technical Brochure 601

In practical scenarios, following the guidelines outlined in Slovak standards STN EN 50341-2-23 [23], the conductor’s maximum permissible current value at its highest design temperature is utilized within the designated parameters:
  • Ambient temperature Ta of +35 °C;
  • Wind speed V of 0.5 m/s at an angle θ of 45 ° to the axis of the conductor;
  • Global solar radiation intensity IT of 1000 W/m2;
  • Absorption coefficient αs of 0.5;
  • Emissivity coefficient εs of 0.5.
One of the most prevalent types of conductors employed in overhead transmission lines are ACSR conductors, which can be installed individually or bundled together depending on the voltage rating. Table 2 presents the essential technical characteristics of selected ACSR conductors necessary for analyzing and computing the maximum allowable current value based on varying climatic conditions. In this analysis, we also consider a maximum permissible conductor temperature Ts of 80 °C and an altitude y of 208 m.
The static ampacity of the described conductors encompasses the conditions outlined in the referenced standards. As previously stated, this value remains constant throughout the entire period or year. To simplify matters, the static ampacity is presented for a 24 h interval, as depicted in Figure 3.
Figure 4 illustrates the relationship between the maximum permissible current value across various types of ACSR conductors and the ambient temperature. As the conductor diameter increases, its ampacity experiences proportional growth. Conversely, as the ambient temperature rises, the ampacity diminishes. When comparing SLR and DLR, it can be stated that with a change in ambient temperature, while maintaining other conditions according to the STN standards, DLR is advantageous in 93% of cases.
The graph depicted in Figure 5 illustrates the correlation between the maximum allowable current value for various types of ACSR conductors and the wind speed, while adhering to the meteorological parameters specified in the STN for SLR. In this graphical relationship, SLR is advantageous in only 5% of cases. Similarly, as the conductor diameter increases, the ampacity experiences a positive increment.
The graphical visualization in Figure 6 demonstrates the correlation between the maximum allowable current value of different ACSR conductor types and the wind direction, while maintaining other static weather conditions according to the SLR norm. The conductor diameter positively influences the ampacity. Given that the STN specifies a 45-degree angle, DLR is more optimal in 50% of cases.
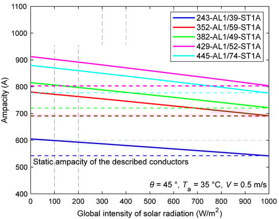
The final meteorological parameter regulated is the relationship between the maximum permissible current value of various ACSR conductor types and the intensity of solar radiation (Figure 7). The global intensity of solar radiation is inversely proportional to the ampacity. From the values used for the graphical dependency, it can be stated that DLR is advantageous 99% of the time.

6. Application of HTLS Conductors to Increase the Ampacity of Transmission Overhead Lines

This section focuses on increasing the permissible load current achievable by replacing ACSR conductors with ACCC conductors. However, there are numerous possibilities to increase transmission capacities [19]:
  • Constructing new power lines;
  • Upgrading existing power lines to higher voltages;
  • Increasing the permissible load current;
  • Structural modifications to overhead power lines;
  • Installing compensating devices;
  • Constructing new substations.
Following the renewed utilization of standard STN EN 50341-2-23 [23] for ACCC conductors, the SLR is illustrated in Figure 8. Figure 9, Figure 10, Figure 11 and Figure 12 illustrate the change in meteorological conditions, whereas other factors are maintained statically according to STN for SLR compared to alternative ACSR conductors. Just as with ACSR conductors, graphs for ACCC conductors confirm the electrical, thermal, and mechanical dependencies of this issue. A significant change is the pronounced increase in ampacity.
For a clear and concise comparison between ACCC and ACSR conductors, a graphical representation depicting the temperature dependency on current loading is provided in Figure 13. Meteorological conditions were set according to STN standards for SLR. The maximum conductor temperature for ACSR conductors is 80 °C, whereas for ACCC, it is 200 °C. A comparison of values is described in Table 3.
The conductor selection was based on achieving a similar diameter and weight compared to the ACSR conductors. The selection process involved comparing the diameter and weight of the conductors. The conductor diameter influences the wind and icing loads. As the diameter increases, there is a larger windage area or more ice accumulates on the conductor. With greater conductor weight, the loads on pylon structures increase. When selecting an equivalent conductor, it is necessary for these parameters to closely resemble those of the original conductors. The conductor parameters are provided in the following Table 4.
The dynamic steady-state ampacity was applied to the transmission line V427 Rimavská Sobota—Moldava. This line utilizes the conductor 352-AL1/59-ST1A, and weather data were obtained on 25 November 2021. Current load data were obtained from PMU units in the electric power system of the Slovak Republic, and weather data were obtained from the distribution system. Figure 14 illustrates the resulting steady-state dynamic ampacity with the original ACSR conductor for a 24 h interval, with the graph also depicting surrounding meteorological conditions.
Figure 15 displays the replacement of the ACSR conductor with its compatible ACCC conductor (LUBBOCK). The ampacity increased by at least 694.26 A and at most 973.29 A with the replacement of the ACCC conductor, resulting in an average increase of 778.22 A. The ACCC conductor LUBBOCK operates at a temperature of 200 °C, which is its maximum allowable operating temperature.

7. Discussion

Maintaining the ampacity of overhead transmission lines requires careful consideration of factors like conductor temperature, mechanical integrity, and adherence to safety standards. Overloading and exceeding maximum sag pose risks to both performance and safety, emphasizing the need for strict adherence to design limits and operational guidelines to ensure reliable power transmission.
CIGRE and IEEE establish standards for estimating ampacity and conductor temperature, both based on heat balance equations considering heat gained and lost in the conductor, influenced by loading and environmental factors. Determining ampacity involves thermal assessment, divided into static and dynamic approaches. Static assessment assumes constant ampacity under various conditions, whereas dynamic methods adjust ampacity in real-time based on changing environmental factors. These approaches are crucial for ensuring safe and efficient operation of overhead transmission lines.
The adoption of HTLS conductors presents a promising solution to meet escalating energy consumption challenges, particularly in addressing unplanned large-scale energy transfers caused by renewable energy fluctuations. These conductors, engineered for operation at elevated temperatures exceeding 100 °C and emergency conditions exceeding 150 °C, offer enhanced transmission capacity without necessitating significant structural modifications to existing lines, despite their higher costs.
The application of Slovak standards and CIGRE Technical Brochure 601 provides insights into the ampacity of overhead transmission lines in Slovakia, considering factors like ambient temperature, wind speed, and solar radiation intensity. Analysis reveals preferences for certain conductor types under specific conditions, with DLR often proving advantageous due to its performance across various meteorological parameters.
The analysis outlines strategies for enhancing permissible load current by transitioning from ACSR to ACCC conductors. The selection process prioritizes maintaining a similar conductor diameter and weight to mitigate impacts on wind and icing loads, ensuring compatibility with existing infrastructure. Utilizing standard STN EN 50341-2-23 [23] for ACCC conductors reveals substantial increases in ampacity compared to traditional ACSR conductors, highlighting the considerable advantages of adopting advanced conductor technologies.
Utilizing dynamic steady-state ampacity analysis on the transmission line V427 Rimavská Sobota—Moldava, replacing the ACSR conductor with a compatible ACCC conductor (LUBBOCK), significantly increased ampacity. With an average increase of 778.22 A, ranging from 694.26 A to 973.29 A, this highlights the efficacy of adopting advanced conductor technologies for enhancing transmission line performance.

8. Conclusions

This research enhances the understanding of how environmental factors influence the operational limits and performance of overhead transmission lines. By comparing SLR and DLR methodologies, the study highlights the potential of DLR to optimize power transmission capacity under changing environmental conditions. Additionally, the research provides insight into how different methodologies recommended by CIGRE and IEEE can affect the calculation of ampacity and conductor temperature in overhead transmission lines.
The adoption of HTLS conductors, particularly ACCC, marks a significant step forward in improving power transmission. These conductors not only increase current-carrying capacity and reduce line losses but also offer economic advantages over their lifecycle despite higher initial costs.
The findings strongly support transitioning towards DLR to maximize the potential of existing overhead power lines, as it adapts more effectively to dynamic conditions compared to the conservative approach of SLR.
The application of ACCC conductors is a strategic means to enhance transmission line capacity without extensive infrastructure changes. Utilizing DLR methodologies, this approach provides critical insights into optimizing conductor performance under varying environmental conditions. These advancements are pivotal for improving grid reliability and operational efficiency in energy transmission. Moreover, upgrading to advanced conductor technologies promises substantial economic benefits, ensuring streamlined operations across power grids. These upgrades are not only beneficial for transmission systems but also for distribution systems.

Author Contributions

Conceptualization, F.M., Ľ.B., W.M. and P.P.; methodology, F.M., Ľ.B., and P.P.; software, F.M., Ľ.B. and W.M.; validation, F.M. and Ľ.B.; formal analysis, W.M. and P.P.; investigation, W.M. and P.P.; resources, F.M., Ľ.B. and W.M.; data curation, F.M. and P.P.; writing—original draft preparation, F.M. and Ľ.B.; writing—review and editing, F.M. and P.P.; visualization, F.M. and W.M.; supervision, F.M. and Ľ.B.; project administration, Ľ.B.; funding acquisition, Ľ.B. All authors have read and agreed to the published version of the manuscript.

Funding

This work was supported by the Slovak Research and Development Agency under contracts No. APVV-19-0576 and APVV-21-0312.

Institutional Review Board Statement

Not applicable.

Informed Consent Statement

Not applicable.

Data Availability Statement

Data are contained within the article.

Conflicts of Interest

The authors declare no conflicts of interest.

References

  1. González-Cagigal, M.A.; Rosendo-Macías, J.A.; Bachiller-Soler, A.; del-Pino-López, J.C. Reliability Assessment of Dynamic Line Rating Methods Based on Conductor Temperature Estimation. Electr. Power Syst. Res. 2024, 233, 110449. [Google Scholar] [CrossRef]
  2. Zainuddin, N.M.; Rahman, M.A.; Kadir, M.A.; Ali, N.N.; Ali, Z.; Osman, M.; Mansor, M.; Ariffin, A.M.; Rahman, M.S.A.; Nor, S.F.M.; et al. Review of Thermal Stress and Condition Monitoring Technologies for Overhead Transmission Lines: Issues and Challenges. IEEE Access 2020, 8, 120053–120081. [Google Scholar] [CrossRef]
  3. Kenge, A.V.; Dusane, S.V.; Sarkar, J. Statistical Analysis & Comparison of HTLS Conductor with Conventional ACSR Conductor. In Proceedings of the 2016 International Conference on Electrical, Electronics, and Optimization Techniques (ICEEOT), Chennai, India, 3–5 March 2016; pp. 2955–2959. [Google Scholar] [CrossRef]
  4. Reddy, S.B.; Mitra, G. Investigations on High Temperature Low Sag (HTLS) Conductors. IEEE Trans. Power Deliv. 2020, 35, 1716–1724. [Google Scholar] [CrossRef]
  5. Riba, J.-R.; Bogarra, S.; Gómez-Pau, Á.; Moreno-Eguilaz, M. Uprating of Transmission Lines by Means of HTLS Conductors for Sustainable Growth: Challenges, Opportunities, and Research Needs. Renew. Sustain. Energy Rev. 2020, 134, 110334. [Google Scholar] [CrossRef]
  6. Exposito, A.G.; Santos, J.R.; Romero, P.C. Planning and Operational Issues Arising From the Widespread Use of HTLS Conductors. IEEE Trans. Power Syst. 2007, 22, 1446–1455. [Google Scholar] [CrossRef]
  7. Bena, L.; Kolcun, M.; Medved, D.; Pavlik, M.; Conka, Z.; Kiraly, J. The Influence of Climatic Conditions on the Dynamic Ampacity of External Lines. Elektroenergetika 2022, 15, 1–4. [Google Scholar]
  8. Kladar, D. Dynamic Line Rating in the World—Overview. 2014, pp. 1–8. Available online: https://www.researchgate.net/publication/260229962_Dynamic_Line_Rating_in_the_world_-_Overview (accessed on 28 May 2024).
  9. Pijarski, P.; Kacejko, P. Elimination of Line Overloads in a Power System Saturated with Renewable Energy Sources. Energies 2023, 16, 3751. [Google Scholar] [CrossRef]
  10. International Renewable Energy Agency (IRENA). Innovation Landscape Brief: Electric-Vehicle Smart Charging; International Renewable Energy Agency (IRENA): Masdar City, United Arab Emirates, 2019; Available online: https://www.irena.org/-/media/Files/IRENA/Agency/Publication/2019/Sep/IRENA_EV_Smart_Charging_2019.pdf (accessed on 10 July 2024).
  11. Karimi, S.; Musilek, P.; Knight, A.M. Dynamic Thermal Rating of Transmission Lines: A Review. Renew. Sustain. Energy Rev. 2018, 91, 600–612. [Google Scholar] [CrossRef]
  12. Simms, M.; Meegahapola, L. Comparative Analysis of Dynamic Line Rating Models and Feasibility to Minimise Energy Losses in Wind Rich Power Networks. Energy Convers. Manag. 2013, 75, 11–20. [Google Scholar] [CrossRef]
  13. Alberdi, R.; Fernandez, E.; Albizu, I.; Bedialauneta, M.T.; Fernandez, R. Overhead Line Ampacity Forecasting and a Methodology for Assessing Risk and Line Capacity Utilization. Int. J. Electr. Power Energy Syst. 2021, 133, 107305. [Google Scholar] [CrossRef]
  14. Douglass, D.A.; Gentle, J.; Nguyen, H.-M.; Chisholm, W.; Xu, C.; Goodwin, T.; Chen, H.; Nuthalapati, S.; Hurst, N.; Grant, I.; et al. A Review of Dynamic Thermal Line Rating Methods with Forecasting. IEEE Trans. Power Deliv. 2019, 34, 2100–2109. [Google Scholar] [CrossRef]
  15. Margitova, A. Increasing the Transmission Capacity of External Power Lines by Calculating the Dynamic Ampacity. Ph.D. Thesis, Technická univerzita v Košiciach (TUKE), Košice, Slovakia, 2021; pp. 11–105. [Google Scholar]
  16. Arroyo, A.; Castro, P.; Martinez, R.; Manana, M.; Madrazo, A.; Lecuna, R.; Gonzalez, A. Comparison between IEEE and CIGRE Thermal Behaviour Standards and Measured Temperature on a 132-KV Overhead Power Line. Energies 2015, 8, 13660–13671. [Google Scholar] [CrossRef]
  17. IEEE 738-2023; IEEE Standard for Calculating the Current-Temperature Relationship of Bare Overhead Conductors. Institute of Electrical & Electronics Engineers: New York, NY, USA, 2023.
  18. Karunarathne, E.; Wijethunge, A.; Ekanayake, J. Enhancing PV Hosting Capacity Using Voltage Control and Employing Dynamic Line Rating. Energies 2021, 15, 134. [Google Scholar] [CrossRef]
  19. Beryozkina, S.; Sauhats, A.; Banga, A.; Jakusevics, I. Evaluation of Thermal Rating Methods Based on the Transmission Line Model. Latv. J. Phys. Tech. Sci. 2013, 50, 22–33. [Google Scholar] [CrossRef][Green Version]
  20. Mach, M.; Kincl, M.; Richterek, J.; Stransky, D. Utilization Intentions of High-temperature Conductors in CEZ Distribuce, a.s. In Proceedings of the CK CIRED 2023 Conference, Ceske Budejovice, 12–15 June 2023. [Google Scholar]
  21. Banas, I. High-temperature Conductors as a Replacement for ALFE240 Conductor. In Proceedings of the CK CIRED 2023 Conference, Ceske Budejovice, 12–15 June 2023. [Google Scholar]
  22. Skala, P.; Brettschneider, Z.; Hejhal, J. Alternatives for Building New HV Lines Maximizing the Use of Existing Grid. In Proceedings of the CK CIRED 2023 Conference, Ceske Budejovice, 12–15 June 2023. [Google Scholar]
  23. STN EN 50341-2-23: 2017 (33 3300); Vonkajšie elektrické vedenia so striedavým napätím nad 1 kV, časť 2-23 Národné normatívne hľadiská (NNA) pre Slovensko. Úrad pre normalizáciu, metrológiu a skúšobníctvo SR: Bratislava, Slovakia, 2017.
Figure 1. Factors affecting the ampacity of a conductor.
Figure 1. Factors affecting the ampacity of a conductor.
Applsci 14 07846 g001
Figure 2. Thermal balance of an overhead conductor according to IEEE 738.
Figure 2. Thermal balance of an overhead conductor according to IEEE 738.
Applsci 14 07846 g002
Figure 3. Static ampacity Imax for the utilized ACSR conductors.
Figure 3. Static ampacity Imax for the utilized ACSR conductors.
Applsci 14 07846 g003
Figure 4. The relationship between the maximum permissible current value Imax for different types of ACSR conductors and the ambient temperature Ta.
Figure 4. The relationship between the maximum permissible current value Imax for different types of ACSR conductors and the ambient temperature Ta.
Applsci 14 07846 g004
Figure 5. The relationship between the maximum allowable current value Imax of different ACSR conductor types and the wind speed V.
Figure 5. The relationship between the maximum allowable current value Imax of different ACSR conductor types and the wind speed V.
Applsci 14 07846 g005
Figure 6. The correlation between the maximum allowable current value Imax of diverse ACSR conductor types and the wind direction θ.
Figure 6. The correlation between the maximum allowable current value Imax of diverse ACSR conductor types and the wind direction θ.
Applsci 14 07846 g006
Figure 7. The relationship between the maximum permissible current value Imax of various ACSR conductor types and the intensity of solar radiation IT.
Figure 7. The relationship between the maximum permissible current value Imax of various ACSR conductor types and the intensity of solar radiation IT.
Applsci 14 07846 g007
Figure 8. Static ampacity Imax for the employed ACCC conductors.
Figure 8. Static ampacity Imax for the employed ACCC conductors.
Applsci 14 07846 g008
Figure 9. The correlation between the maximum allowable current value Imax for various types of ACCC conductors and ambient temperature Ta.
Figure 9. The correlation between the maximum allowable current value Imax for various types of ACCC conductors and ambient temperature Ta.
Applsci 14 07846 g009
Figure 10. The correlation between the maximum allowable current value Imax of various ACCC conductor types and the wind speed V.
Figure 10. The correlation between the maximum allowable current value Imax of various ACCC conductor types and the wind speed V.
Applsci 14 07846 g010
Figure 11. The relationship between the maximum allowable current value Imax of different ACCC conductor types and the wind direction θ.
Figure 11. The relationship between the maximum allowable current value Imax of different ACCC conductor types and the wind direction θ.
Applsci 14 07846 g011
Figure 12. The correlation between the maximum allowable current value Imax of different types of ACCC conductors and the intensity of solar radiation IT.
Figure 12. The correlation between the maximum allowable current value Imax of different types of ACCC conductors and the intensity of solar radiation IT.
Applsci 14 07846 g012
Figure 13. Effect of current variation I on the temperature Ts of ACSR and ACCC conductors under SLR conditions (numerical method).
Figure 13. Effect of current variation I on the temperature Ts of ACSR and ACCC conductors under SLR conditions (numerical method).
Applsci 14 07846 g013
Figure 14. Analysis of the dynamic steady-state ampacity Imax for transmission line V427 utilizing ACSR conductor 352-AL1/59-ST1A.
Figure 14. Analysis of the dynamic steady-state ampacity Imax for transmission line V427 utilizing ACSR conductor 352-AL1/59-ST1A.
Applsci 14 07846 g014
Figure 15. ACCC conductor replacement impact on dynamic steady-state ampacity Imax analysis for transmission line V427.
Figure 15. ACCC conductor replacement impact on dynamic steady-state ampacity Imax analysis for transmission line V427.
Applsci 14 07846 g015
Table 1. The fundamental types of HTLS conductors and their specifications [9].
Table 1. The fundamental types of HTLS conductors and their specifications [9].
Conductor DesignationConductor NameMaximum
Allowable
Temperature (°C)
ACSS Aluminium conductor, steel
supported
200–250
G(Z)TACSR Gap-type super thermal resistant aluminium alloy, steel reinforced150–210
(Z)TACSR Super thermal resistant
aluminium alloy conductor, steel reinforced
150–210
(Z)TACIR Super thermal resistant
aluminium alloy conductor, invar reinforced
150–210
KTACSR High strength thermal resistant
aluminium alloy conductor, steel-reinforced
150
ACCR Aluminium conductor composite reinforced210
ACCC Aluminium conductor composite core conductors200–250
Table 2. Technical specifications of the analyzed ACSR conductors.
Table 2. Technical specifications of the analyzed ACSR conductors.
Type of Conductor243-AL1/39-ST1A352-AL1/59-ST1A382-AL1/49-ST1A429-AL1/56-ST1A445-AL1/74-ST1AType of Conductor
Conductor diameter
(mm)
21.7526.527.028.729.7Conductor
diameter
(mm)
Diameter of the aluminium wire
in the aluminium conductor
(mm)
3.454.03.03.754.5Diameter
of the aluminium wire in the
aluminium
conductor
(mm)
Electrical resistance
of the conductor
(Ω/km)
0.11810.08160.06500.06740.0758Electrical
resistance
of the conductor (Ω/km)
Thermal coefficient
of resistance
(K−1)
4.03∙10−3
The absorptivity of the surface
of the conductor
(–)
0.65
Emissivity coefficient of conductor surface
(–)
0.35
Table 3. The assessment of ampacity differences between ACSR and ACCC conductors at temperatures Ts of 80 and 200 °C (numerical method).
Table 3. The assessment of ampacity differences between ACSR and ACCC conductors at temperatures Ts of 80 and 200 °C (numerical method).
ACSR ConductorAmpacity (A)
at Ts = 80 °C
ACCC ConductorAmpacity (A)
at Ts = 80 °C
Ampacity (A) at Ts = 200 °C
243-AL1/39-ST1A550.2LISBON641.71212.2
352-AL1/59-ST1A703.2LUBBOCK814.11557.4
382-AL1/49-ST1A733.9STOCKHOLM 2L815.91560.7
429-AL1/56-ST1A789.8HAMBURG903.81738.7
445-AL1/74-ST1A817.9ROME951.71836.4
Table 4. Alternative replacement for ACSR conductors.
Table 4. Alternative replacement for ACSR conductors.
ACSR Conductor243-AL1/39-ST1A352-AL1/59-ST1A382-AL1/49-ST1A429-AL1/56-ST1A445-AL1/74-ST1A
Conductor diameter
(mm)
21.7526.5027.0028.7029.70
Approx. weight
(kg/km)
980.11433.451442.51620.81831.81
ACCC conductorLISBONLUBBOCKSTOCKHOLM 2LHAMBURGROME
Conductor diameter
(mm)
21.7926.4226.3928.6329.90
Approx. weight
(kg/km)
9461375139516271775
Diameter of the aluminium wire in the aluminium conductor
(mm)
7.118.768.768.769.53
Electrical resistance
of the conductor
(Ω/km)
0.08870.06080.06050.05140.0474
Disclaimer/Publisher’s Note: The statements, opinions and data contained in all publications are solely those of the individual author(s) and contributor(s) and not of MDPI and/or the editor(s). MDPI and/or the editor(s) disclaim responsibility for any injury to people or property resulting from any ideas, methods, instructions or products referred to in the content.

Share and Cite

MDPI and ACS Style

Margita, F.; Beňa, Ľ.; Malska, W.; Pijarski, P. Possibilities of Increasing the Ampacity of Overhead Lines Using High-Temperature Low-Sag Conductors in the Electric Power System of the Slovak Republic. Appl. Sci. 2024, 14, 7846. https://doi.org/10.3390/app14177846

AMA Style

Margita F, Beňa Ľ, Malska W, Pijarski P. Possibilities of Increasing the Ampacity of Overhead Lines Using High-Temperature Low-Sag Conductors in the Electric Power System of the Slovak Republic. Applied Sciences. 2024; 14(17):7846. https://doi.org/10.3390/app14177846

Chicago/Turabian Style

Margita, František, Ľubomír Beňa, Wiesława Malska, and Paweł Pijarski. 2024. "Possibilities of Increasing the Ampacity of Overhead Lines Using High-Temperature Low-Sag Conductors in the Electric Power System of the Slovak Republic" Applied Sciences 14, no. 17: 7846. https://doi.org/10.3390/app14177846

APA Style

Margita, F., Beňa, Ľ., Malska, W., & Pijarski, P. (2024). Possibilities of Increasing the Ampacity of Overhead Lines Using High-Temperature Low-Sag Conductors in the Electric Power System of the Slovak Republic. Applied Sciences, 14(17), 7846. https://doi.org/10.3390/app14177846

Note that from the first issue of 2016, this journal uses article numbers instead of page numbers. See further details here.

Article Metrics

Back to TopTop