Microencapsulation of Blueberry (Vaccinium myrtillus L.) Extracts via Ionotropic Gelation: In Vitro Assessment of Bioavailability of Phenolic Compounds and Their Activity against Colon Cancer Cells
Abstract
1. Introduction
2. Materials and Methods
2.1. Reagents
2.2. Plant Materials and Preparation of Extract
2.3. Preparation of Microcapsules
- -
- 2% Alg solution in water;
- -
- 2% Alg solution in water with 1% Pect addition;
- -
- 2% Alg solution in water with 1% WPI addition;
- -
- 2% Alg solution in water with 0.5% Pect addition and 0.5% WPI addition.
2.4. Microcapsule Extraction Procedure
2.5. Determination of Total Phenolic Content (TPC) and Anthocyanins Content (TAC)
2.6. Determination of Antioxidant Activity
2.7. Encapsulation Efficiency
2.8. Determination of Polyphenols Profile by UPLC-Q-TOF-MS
2.9. Stability during Storage
2.10. Bioavailability Index
2.11. Swelling Experiments
2.12. Color Measurement
2.13. Microscopic Analysis
2.14. Biocompatibility with Colonic Epithelial Cells
2.15. Cytotoxic Effect on Cancer Cells
2.16. Statistical Analysis
3. Results
3.1. Encapsulation Efficiency
3.2. Total Polyphenols, Anthocyanins Content and Antioxidant Activity
3.3. Phenols Profile and Storage Stability
3.4. Bioavailability after Simulated In Vitro Digestion
3.5. Swelling Experiments
3.6. Color
3.7. Microcapsules Size
3.8. Biocompatibility with Colon Epithelial Cells
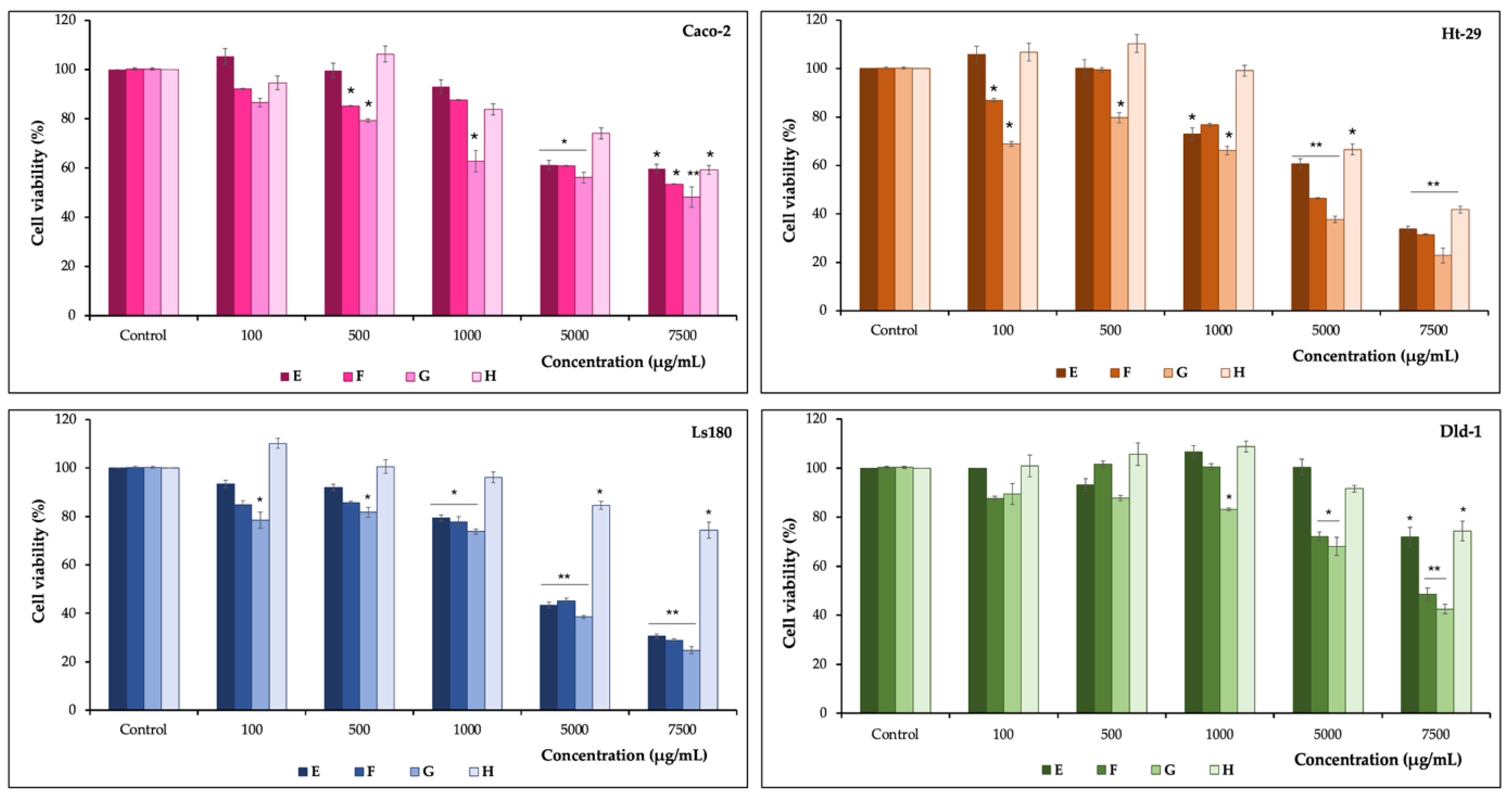
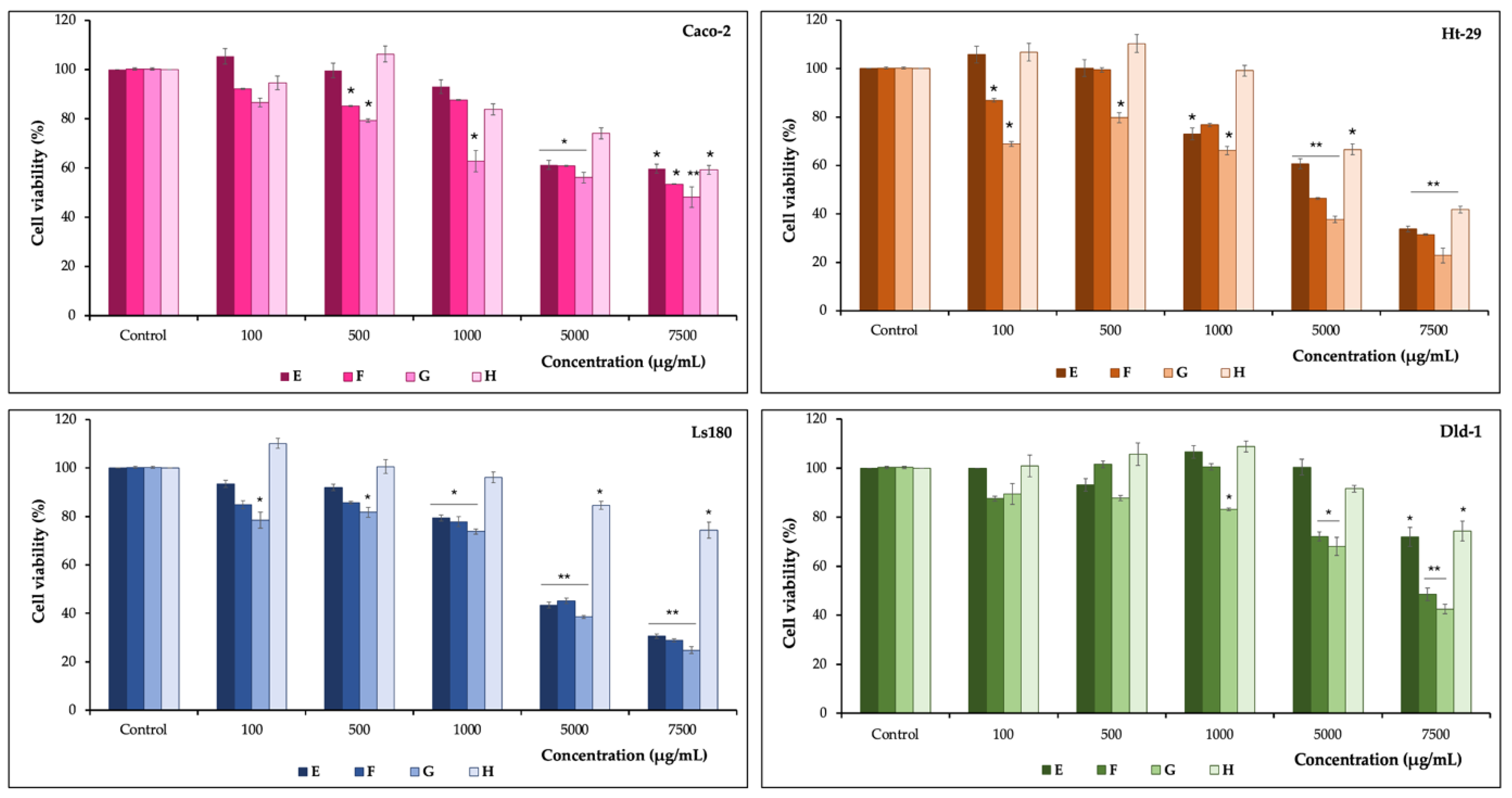
3.9. Cytotoxic Activity against Cancer Cells
4. Conclusions
Supplementary Materials
Author Contributions
Funding
Institutional Review Board Statement
Informed Consent Statement
Data Availability Statement
Conflicts of Interest
References
- Siegel, R.L.; Wagle, N.S.; Cercek, A.; Smith, R.A.; Jemal, A. Colorectal Cancer Statistics, 2023. CA Cancer J. Clin. 2023, 73, 233–254. [Google Scholar] [CrossRef]
- Islami, F.; Goding Sauer, A.; Miller, K.D.; Siegel, R.L.; Fedewa, S.A.; Jacobs, E.J.; McCullough, M.L.; Patel, A.V.; Ma, J.; Soerjomataram, I.; et al. Proportion and Number of Cancer Cases and Deaths Attributable to Potentially Modifiable Risk Factors in the United States. CA Cancer J. Clin. 2018, 68, 31–54. [Google Scholar] [CrossRef] [PubMed]
- Haque, A.; Brazeau, D.; Amin, A.R. Perspectives on Natural Compounds in Chemoprevention and Treatment of Cancer: An Update with New Promising Compounds. Eur. J. Cancer 2021, 149, 165–183. [Google Scholar] [CrossRef]
- Aiello, P.; Sharghi, M.; Mansourkhani, S.M.; Ardekan, A.P.; Jouybari, L.; Daraei, N.; Peiro, K.; Mohamadian, S.; Rezaei, M.; Heidari, M.; et al. Medicinal Plants in the Prevention and Treatment of Colon Cancer. Oxidative Med. Cell. Longev. 2019, 2019, 1–51. [Google Scholar] [CrossRef]
- Mohan Shankar, G.; Swetha, M.; Keerthana, C.K.; Rayginia, T.P.; Anto, R.J. Cancer Chemoprevention: A Strategic Approach Using Phytochemicals. Front. Pharmacol. 2022, 12, 809308. [Google Scholar] [CrossRef]
- De, S.; Paul, S.; Manna, A.; Majumder, C.; Pal, K.; Casarcia, N.; Mondal, A.; Banerjee, S.; Nelson, V.K.; Ghosh, S.; et al. Phenolic Phytochemicals for Prevention and Treatment of Colorectal Cancer: A Critical Evaluation of In Vivo Studies. Cancers 2023, 15, 993. [Google Scholar] [CrossRef]
- Sun, X.; Liu, C.; Omer, A.M.; Yang, L.-Y.; Ouyang, X. Dual-Layered pH-Sensitive Alginate/Chitosan/Kappa-Carrageenan Microbeads for Colon-Targeted Release of 5-Fluorouracil. Int. J. Biol. Macromol. 2019, 132, 487–494. [Google Scholar] [CrossRef] [PubMed]
- Ćorković, I.; Pichler, A.; Ivić, I.; Šimunović, J.; Kopjar, M. Microencapsulation of Chokeberry Polyphenols and Volatiles: Application of Alginate and Pectin as Wall Materials. Gels 2021, 7, 231. [Google Scholar] [CrossRef] [PubMed]
- Flamminii, F.; Paciulli, M.; Di Michele, A.; Littardi, P.; Carini, E.; Chiavaro, E.; Pittia, P.; Di Mattia, C.D. Alginate-Based Microparticles Structured with Different Biopolymers and Enriched with a Phenolic-Rich Olive Leaves Extract: A Physico-Chemical Characterization. Curr. Res. Food Sci. 2021, 4, 698–706. [Google Scholar] [CrossRef]
- Mohy Eldin, M.; Omer, A.M.; Wassel, M.A.; Tamer, T.M.; Ibrahim, S.A. Novel Smart Ph Sensitive Chitosan Grafted Alginate Hydrogel Microcapsules for Oral Protein Delivery: I. Preparation and Characterization. Int. J. Pharm. Pharm. Sci. 2015, 7, 331–337. [Google Scholar]
- Stach, M.; Kolniak-Ostek, J. The Influence of the Use of Different Polysaccharide Coatings on the Stability of Phenolic Compounds and Antioxidant Capacity of Chokeberry Hydrogel Microcapsules Obtained by Indirect Extrusion. Foods 2023, 12, 515. [Google Scholar] [CrossRef] [PubMed]
- Wang, W.; Jung, J.; Zhao, Y. Chitosan-Cellulose Nanocrystal Microencapsulation to Improve Encapsulation Efficiency and Stability of Entrapped Fruit Anthocyanins. Carbohydr. Polym. 2017, 157, 1246–1253. [Google Scholar] [CrossRef] [PubMed]
- Li, Q.; Duan, M.; Hou, D.; Chen, X.; Shi, J.; Zhou, W. Fabrication and Characterization of Ca(II)-Alginate-Based Beads Combined with Different Polysaccharides as Vehicles for Delivery, Release and Storage of Tea Polyphenols. Food Hydrocoll. 2021, 112, 106274. [Google Scholar] [CrossRef]
- Nutrizio, M.; Jurić, S.; Kucljak, D.; Švaljek, S.L.; Vlahoviček-Kahlina, K.; Režek Jambrak, A.; Vinceković, M. Encapsulation of Rosemary Extracts Using High Voltage Electrical Discharge in Calcium Alginate/Zein/Hydroxypropyl Methylcellulose Microparticles. Foods 2023, 12, 1570. [Google Scholar] [CrossRef]
- Seke, F.; Manhivi, V.E.; Slabbert, R.M.; Sultanbawa, Y.; Sivakumar, D. In Vitro Release of Anthocyanins from Microencapsulated Natal Plum (Carissa macrocarpa) Phenolic Extract in Alginate/Psyllium Mucilage Beads. Foods 2022, 11, 2550. [Google Scholar] [CrossRef]
- Żurek, N.; Pawłowska, A.; Kapusta, I. Obtaining Preparations with Increased Content of Bioactive Compounds from Eight Types of Berries. J. Berry Res. Prepr. 2023, 13, 307–323. [Google Scholar] [CrossRef]
- Seeram, N.P.; Adams, L.S.; Zhang, Y.; Lee, R.; Sand, D.; Scheuller, H.S.; Heber, D. Blackberry, Black Raspberry, Blueberry, Cranberry, Red Raspberry, and Strawberry Extracts Inhibit Growth and Stimulate Apoptosis of Human Cancer Cells In Vitro. J. Agric. Food Chem. 2006, 54, 9329–9339. [Google Scholar] [CrossRef]
- Yi, W.; Fischer, J.; Krewer, G.; Akoh, C.C. Phenolic Compounds from Blueberries Can Inhibit Colon Cancer Cell Proliferation and Induce Apoptosis. J. Agric. Food Chem. 2005, 53, 7320–7329. [Google Scholar] [CrossRef]
- Hui, X.; Wu, G.; Han, D.; Stipkovits, L.; Wu, X.; Tang, S.; Brennan, M.A.; Brennan, C.S. The Effects of Bioactive Compounds from Blueberry and Blackcurrant Powders on the Inhibitory Activities of Oat Bran Pastes against α-Amylase and α-Glucosidase Linked to Type 2 Diabetes. Food Res. Int. 2020, 138, 109756. [Google Scholar] [CrossRef]
- Liao, M.; Ma, L.; Miao, S.; Hu, X.; Liao, X.; Chen, F.; Ji, J. The In-Vitro Digestion Behaviors of Milk Proteins Acting as Wall Materials in Spray-Dried Microparticles: Effects on the Release of Loaded Blueberry Anthocyanins. Food Hydrocoll. 2021, 115, 106620. [Google Scholar] [CrossRef]
- Righi Da Rosa, J.; Cezimbra Weis, G.C.; Bolson Moro, K.I.; Sasso Robalo, S.; Elias Assmann, C.; Picolli Da Silva, L.; Irineu Muller, E.; De Bona Da Silva, C.; Ragagnin De Menezes, C.; Severo Da Rosa, C. Effect of Wall Materials and Storage Temperature on Anthocyanin Stability of Microencapsulated Blueberry Extract. LWT 2021, 142, 111027. [Google Scholar] [CrossRef]
- Mar, J.M.; Silva, L.S.; Rabelo, M.D.S.; Muniz, M.P.; Nunomura, S.M.; Correa, R.F.; Kinupp, V.F.; Campelo, P.H.; Bezerra, J.D.A.; Sanches, E.A. Encapsulation of Amazonian Blueberry Juices: Evaluation of Bioactive Compounds and Stability. LWT 2020, 124, 109152. [Google Scholar] [CrossRef]
- Wu, Y.; Han, Y.; Tao, Y.; Li, D.; Xie, G.; Show, P.L.; Lee, S.Y. In Vitro Gastrointestinal Digestion and Fecal Fermentation Reveal the Effect of Different Encapsulation Materials on the Release, Degradation and Modulation of Gut Microbiota of Blueberry Anthocyanin Extract. Food Res. Int. 2020, 132, 109098. [Google Scholar] [CrossRef]
- Bittencourt, L.L.D.A.; Silva, K.A.; De Sousa, V.P.; Fontes-Sant’Ana, G.C.; Rocha-Leão, M.H. Blueberry Residue Encapsulation by Ionotropic Gelation. Plant Foods Hum. Nutr. 2018, 73, 278–286. [Google Scholar] [CrossRef]
- Chen, J.; Fang, W.; Liu, W.; Liu, J.; Gong, P. Microcapsules and Nanoliposomes Based Strategies to Improve the Stability of Blueberry Anthocyanins. Molecules 2023, 28, 7344. [Google Scholar] [CrossRef] [PubMed]
- Żurek, N.; Świeca, M.; Kapusta, I. UPLC-ESI-TQD-MS/MS Identification and Antioxidant, Anti-Inflammatory, Anti-Diabetic, Anti-Obesity and Anticancer Properties of Polyphenolic Compounds of Hawthorn Seeds. Plant Foods Hum. Nutr. 2024. [Google Scholar] [CrossRef] [PubMed]
- Żurek, N.; Kapusta, I.; Cebulak, T. Impact of Extraction Conditions on Antioxidant Potential of Extracts of Flowers, Leaves and Fruits of Hawthorn (Crataegus × Macrocarpa L.). Food Sci. Technol. Qual. 2020, 27, 130–141. [Google Scholar] [CrossRef]
- Gao, X.; Ohlander, M.; Jeppsson, N.; Björk, L.; Trajkovski, V. Changes in Antioxidant Effects and Their Relationship to Phytonutrients in Fruits of Sea Buckthorn (Hippophae Rhamnoides L.) during Maturation. J. Agric. Food Chem. 2000, 48, 1485–1490. [Google Scholar] [CrossRef]
- Lee, J.; Durst, R.W.; Wrolstad, R.E. Determination of Total Monomeric Anthocyanin Pigment Content of Fruit Juices, Beverages, Natural Colorants, and Wines by the pH Differential Method: Collaborative Study. J. AOAC Int. 2005, 88, 1269–1278. [Google Scholar] [CrossRef]
- Re, R.; Pellegrini, N.; Proteggente, A.; Pannala, A.; Yang, M.; Rice-Evans, C. Antioxidant Activity Applying an Improved ABTS Radical Cation Decolorization Assay. Free Radic Biol. Med. 1999, 26, 1231–1237. [Google Scholar] [CrossRef]
- Żurek, N.; Pawłowska, A.M.; Pycia, K.; Potocki, L.; Kapusta, I.T. Quantitative and Qualitative Determination of Polyphenolic Compounds in Castanea Sativa Leaves and Evaluation of Their Biological Activities. Appl. Sci. 2024, 14, 3859. [Google Scholar] [CrossRef]
- Benzie, I.F.F.; Strain, J.J. He Ferric Reducing Ability of Plasma (FRAP) as a Measure of Antioxidant Power: The FRAP Assay. Anal. Biochem. 1996, 239, 70–76. [Google Scholar] [CrossRef]
- Pawłowska, A.M.; Żurek, N.; Kapusta, I.; De Leo, M.; Braca, A. Antioxidant and Antiproliferative Activities of Phenolic Extracts of Eriobotrya Japonica (Thunb.) Lindl. Fruits and Leaves. Plants 2023, 12, 3221. [Google Scholar] [CrossRef] [PubMed]
- Minekus, M.; Alminger, M.; Alvito, P.; Ballance, S.; Bohn, T.; Bourlieu, C.; Carrière, F.; Boutrou, R.; Corredig, M.; Dupont, D.; et al. A Standardised Static In Vitro Digestion Method Suitable for Food—An International Consensus. Food Funct. 2014, 5, 1113–1124. [Google Scholar] [CrossRef] [PubMed]
- Żurek, N.; Pycia, K.; Pawłowska, A.; Kapusta, I.T. Phytochemical Screening and Bioactive Properties of Juglans Regia L. Pollen. Antioxidants 2022, 11, 2046. [Google Scholar] [CrossRef]
- Li, Y.; Lim, L.-T.; Kakuda, Y. Electrospun Zein Fibers as Carriers to Stabilize (−)-Epigallocatechin Gallate. J. Food Sci. 2009, 74, C233–C240. [Google Scholar] [CrossRef] [PubMed]
- Rocha, J.D.C.G.; De Barros, F.A.R.; Perrone, Í.T.; Viana, K.W.C.; Tavares, G.M.; Stephani, R.; Stringheta, P.C. Microencapsulation by Atomization of the Mixture of Phenolic Extracts. Powder Technol. 2019, 343, 317–325. [Google Scholar] [CrossRef]
- Fernandes, I.; Faria, A.; Calhau, C.; De Freitas, V.; Mateus, N. Bioavailability of Anthocyanins and Derivatives. J. Funct. Foods 2014, 7, 54–66. [Google Scholar] [CrossRef]
- Tan, C.; Sun, Y.; Yao, X.; Zhu, Y.; Jafari, S.M.; Sun, B.; Wang, J. Stabilization of Anthocyanins by Simultaneous Encapsulation-Copigmentation via Protein-Polysaccharide Polyelectrolyte Complexes. Food Chem. 2023, 416, 135732. [Google Scholar] [CrossRef]
- Quirós-Sauceda, A.E.; Palafox-Carlos, H.; Sáyago-Ayerdi, S.G.; Ayala-Zavala, J.F.; Bello-Perez, L.A.; Álvarez-Parrilla, E.; De La Rosa, L.A.; González-Córdova, A.F.; González-Aguilar, G.A. Dietary Fiber and Phenolic Compounds as Functional Ingredients: Interaction and Possible Effect after Ingestion. Food Funct. 2014, 5, 1063–1072. [Google Scholar] [CrossRef]
- Bhatia, N.K.; Raj Tomar, V.; Ishika; Kishor, S.; Deep, S. Effect of pH and Temperature on Physicochemical Properties, Aggregation Behaviour and Degradation Kinetics of Quercetin and Baicalein in Nearly Aqueous Media. J. Mol. Liq. 2022, 366, 120236. [Google Scholar] [CrossRef]
- Martinović, J.; Ambrus, R.; Planinić, M.; Šelo, G.; Klarić, A.-M.; Perković, G.; Bucić-Kojić, A. Microencapsulation of Grape Pomace Extracts with Alginate-Based Coatings by Freeze-Drying: Release Kinetics and In Vitro Bioaccessibility Assessment of Phenolic Compounds. Gels 2024, 10, 353. [Google Scholar] [CrossRef] [PubMed]
- Lachowicz, S.; Świeca, M.; Pejcz, E. Improvement of Health-Promoting Functionality of Rye Bread by Fortification with Free and Microencapsulated Powders from Amelanchier Alnifolia Nutt. Antioxidants 2020, 9, 614. [Google Scholar] [CrossRef] [PubMed]
- Clifford, M.N.; Jaganath, I.B.; Ludwig, I.A.; Crozier, A. Chlorogenic Acids and the Acyl-Quinic Acids: Discovery, Biosynthesis, Bioavailability and Bioactivity. Nat. Prod. Rep. 2017, 34, 1391–1421. [Google Scholar] [CrossRef]
- Kasprzak-Drozd, K.; Oniszczuk, T.; Soja, J.; Gancarz, M.; Wojtunik-Kulesza, K.; Markut-Miotła, E.; Oniszczuk, A. The Efficacy of Black Chokeberry Fruits against Cardiovascular Diseases. IJMS Int. J. Mol. Sci. 2021, 22, 6541. [Google Scholar] [CrossRef]
- Sriamornsak, P.; Sungthongjeeh, S. Modification of Theophylline Release with Alginate Gel Formed in Hard Capsules. AAPS PharmSciTech 2007, 8, E1–E8. [Google Scholar] [CrossRef]
- Park, S.-A.; Ahn, J.-B.; Choi, S.-H.; Lee, J.-S.; Lee, H.G. The Effects of Particle Size on the Physicochemical Properties of Optimized Astaxanthin-Rich Xanthophyllomyces Dendrorhous-Loaded Microparticles. LWT Food Sci. Technol. 2014, 55, 638–644. [Google Scholar] [CrossRef]
- Omer, A.M.; Tamer, T.M.; Hassan, M.A.; Rychter, P.; Mohy Eldin, M.S.; Koseva, N. Development of Amphoteric Alginate/Aminated Chitosan Coated Microbeads for Oral Protein Delivery. Int. J. Biol. Macromol. 2016, 92, 362–370. [Google Scholar] [CrossRef]
- Da Silva Carvalho, A.G.; Da Costa Machado, M.T.; Da Silva, V.M.; Sartoratto, A.; Rodrigues, R.A.F.; Hubinger, M.D. Physical Properties and Morphology of Spray Dried Microparticles Containing Anthocyanins of Jussara (Euterpe Edulis Martius) Extract. Powder Technol. 2016, 294, 421–428. [Google Scholar] [CrossRef]
- Molino, S.; Rufián Henares, J.Á.; Gómez-Mascaraque, L.G. Tannin-Rich Extracts Improve the Performance of Amidated Pectin as an Alternative Microencapsulation Matrix to Alginate. Curr. Res. Food Sci. 2022, 5, 243–250. [Google Scholar] [CrossRef]
- Wu, A.; Gao, Y.; Kan, R.; Ren, P.; Xue, C.; Kong, B.; Tang, Q. Alginate Oligosaccharides Prevent Dextran-Sulfate-Sodium-Induced Ulcerative Colitis via Enhancing Intestinal Barrier Function and Modulating Gut Microbiota. Foods 2023, 12, 220. [Google Scholar] [CrossRef]
- Stavarache, C.E.; Ghebaur, A.; Dinescu, S.; Samoilă, I.; Vasile, E.; Vlasceanu, G.M.; Iovu, H.; Gârea, S.A. 5-Aminosalicylic Acid Loaded Chitosan-Carrageenan Hydrogel Beads with Potential Application for the Treatment of Inflammatory Bowel Disease. Polymers 2021, 13, 2463. [Google Scholar] [CrossRef] [PubMed]
- Trivedi, P.; Saloranta-Simell, T.; Maver, U.; Gradišnik, L.; Prabhakar, N.; Smått, J.-H.; Mohan, T.; Gericke, M.; Heinze, T.; Fardim, P. Chitosan–Cellulose Multifunctional Hydrogel Beads: Design, Characterization and Evaluation of Cytocompatibility with Breast Adenocarcinoma and Osteoblast Cells. Bioengineering 2018, 5, 3. [Google Scholar] [CrossRef] [PubMed]
- Sookkasem, A.; Chatpun, S.; Yuenyongsawad, S.; Wiwattanapatapee, R. Alginate Beads for Colon Specific Delivery of Self-Emulsifying Curcumin. J. Drug Deliv. Sci. Technol. 2015, 29, 159–166. [Google Scholar] [CrossRef]
- Abdellatif, A.A.H.; Ibrahim, M.A.; Amin, M.A.; Maswadeh, H.; Alwehaibi, M.N.; Al-Harbi, S.N.; Alharbi, Z.A.; Mohammed, H.A.; Mehany, A.B.M.; Saleem, I. Cetuximab Conjugated with Octreotide and Entrapped Calcium Alginate-Beads for Targeting Somatostatin Receptors. Sci. Rep. 2020, 10, 4736. [Google Scholar] [CrossRef]
- Jain, S.; Lenaghan, S.; Dia, V.; Zhong, Q. Co-Delivery of Curcumin and Quercetin in Shellac Nanocapsules for the Synergistic Antioxidant Properties and Cytotoxicity against Colon Cancer Cells. Food Chem. 2023, 428, 136744. [Google Scholar] [CrossRef]
- Bal, Y.; Sürmeli, Y.; Şanlı-Mohamed, G. Antiproliferative and Apoptotic Effects of Olive Leaf Extract Microcapsules on MCF-7 and A549 Cancer Cells. ACS Omega 2023, 8, 28984–28993. [Google Scholar] [CrossRef]
- Kim, K.H.; Ki, M.-R.; Min, K.H.; Pack, S.P. Advanced Delivery System of Polyphenols for Effective Cancer Prevention and Therapy. Antioxidants 2023, 12, 1048. [Google Scholar] [CrossRef]
- Duda-Chodak, A.; Tarko, T. Possible Side Effects of Polyphenols and Their Interactions with Medicines. Molecules 2023, 28, 2536. [Google Scholar] [CrossRef]




| No. | Ingredients | Dose of Extract | Polymerizing Compounds | Encapsulation Efficiency (EE) (%) | Microcapsule Size (µm) | ||
|---|---|---|---|---|---|---|---|
| Sodium Alginate (Alg) | Pectin (Pect) | Whey Protein Isolate (WPI) | |||||
| A | Crude extract (CE) | 0.05% | + | 8.79 ± 0.29 a | 607.06 ± 48.54 c | ||
| B | + | + | 14.88 ± 0.37 b | 609.17 ± 35.02 c | |||
| C | + | + | 9.37 ± 0.29 a | 682.02 ± 52.72 f | |||
| D | + | + | + | 17.48 ± 0.31 c | 690.09 ± 41.96 g | ||
| E | Purified extract (PE) | + | 29.95 ± 0.09 d | 562.91 ± 20.07 a | |||
| F | + | + | 71.65 ± 0.17 f | 584.85 ± 43.53 b | |||
| G | + | + | 63.35 ± 0.09 e | 710.06 ± 50.86 h | |||
| H | + | + | + | 74.55 ± 0.18 g | 720.73 ± 72.97 j | ||
| I | Control | + | 618.24 ± 45.41 d | ||||
| J | + | + | 632.74 ± 36.74 e | ||||
| K | + | + | 717.56 ± 47.21 i | ||||
| L | + | + | + | 721.94 ± 62.77 j | |||
| No. | Ingredients | TPC | TAC | ABTS | DPPH | FRAP |
|---|---|---|---|---|---|---|
| mg GAE/g | mg C3G/g | µmol TE/g | ||||
| A | Microcapsules with crude extract (M + CE) | 0.80 ± 0.02 h | 0.21 ± 0.01 g | 5.03 ± 0.24 i | 8.16 ± 0.23 i | 1.32 ± 0.05 h |
| B | 1.22 ± 0.03 g | 0.30 ± 0.01 f | 10.31 ± 0.20 g | 16.73 ± 0.08 h | 2.73 ± 0.07 g | |
| C | 0.91 ± 0.03 h | 0.23 ± 0.04 g | 9.69 ± 0.20 h | 15.72 ± 0.11 h | 2.57 ± 0.05 g | |
| D | 1.48 ± 0.03 f | 0.45 ± 0.02 e | 10.55 ± 0.20 g | 20.28 ± 0.21 g | 2.77 ± 0.03 g | |
| E | Microcapsules with purified extract (M + PE) | 16.50 ± 0.05 e | 5.27 ± 0.09 e | 49.61 ± 1.50 f | 79.68 ± 1.08 f | 13.00 ± 0.34 f |
| F | 27.17 ± 0.06 d | 9.48 ± 0.17 d | 113.26 ± 1.55 d | 181.95 ± 1.07 d | 30.09 ± 0.60 d | |
| G | 26.76 ± 0.04 d | 9.07 ± 0.16 d | 89.13 ± 1.89 e | 152.07 ± 0.55 e | 26.38 ± 0.37 e | |
| H | 28.27 ± 0.07 c | 10.60 ± 0.24 c | 119.93 ± 1.10 c | 229.45 ± 0.93 c | 43.97 ± 0.71 c | |
| I | Control | nd | nd | 0.64 ± 0.01 k | 0.70 ± 0.01 k | 0.41 ± 0.00 i |
| J | nd | nd | 0.71 ± 0.01 j | 0.77 ± 0.02 j | 0.45 ± 0.01 i | |
| K | nd | nd | 0.62 ± 0.03 k | 0.67 ± 0.01 k | 0.40 ± 0.00 i | |
| L | nd | nd | 0.64 ± 0.00 k | 0.69 ± 0.00 k | 0.42 ± 0.01 i | |
| Crude extract (CE) | 171.80 ± 0.22 b | 51.85 ± 0.42 b | 390.86 ± 5.65 b | 445.57 ± 6.45 b | 103.58 ± 2.06 b | |
| Purified extract (PE) | 644.58 ± 3.31 a | 197.37 ± 4.05 a | 9619.59 ± 15.51 a | 11,188.18 ± 60.92 a | 2523.30 ± 24.55 a | |
| No. | RT | [M-H]− | Fragment Jon | UV-Vis λmax | Compounds | Extracts | Microcapsules | ||
|---|---|---|---|---|---|---|---|---|---|
| min | (m/z) | (m/z) | (nm) | CE | PE | M + CE | M + PE | ||
| Anthocyanins | |||||||||
| 1 | 2.29 | 465 | 303 | 276, 522 | Delphinidin 3-O-glucoside | + | + | + | + |
| 2 | 2.43 | 465 | 303 | 276, 522 | Delphinidin 3-O-galactoside | + | + | + | + |
| 3 | 2.64 | 449 | 287 | 279, 517 | Cyanidin 3-O-glucoside | + | + | + | + |
| 4 | 2.81 | 449 | 287 | 279, 517 | Cyanidin 3-O-galactoside | + | + | + | + |
| 5 | 2.98 | 419 | 287 | 278, 519 | Cyanidin 3-O-arabinoside | + | + | + | + |
| 6 | 3.19 | 449 | 317 | 278, 525 | Petunidin 3-O-pentoside | + | + | ||
| 7 | 3.24 | 463 | 301 | 277, 519 | Peonidin 3-O-glucoside | + | + | ||
| 8 | 3.40 | 463 | 301 | 278, 519 | Peonidin 3-O-galactoside | + | + | + | + |
| 9 | 3.55 | 493 | 331 | 276, 527 | Malvidin 3-O-glucoside | + | + | + | + |
| 10 | 3.74 | 463 | 331 | 277, 528 | Malvidin 3-O-pentoside | + | + | + | + |
| Other phenols | |||||||||
| 11 | 2.94 | 353 | 417 | 282, 520 | Chlorogenic acid | + | + | + | + |
| 12 | 3.90 | 479 | 317 | 257, 350 | Myrecitin 3-O-glucoside | + | + | ||
| 13 | 3.98 | 479 | 317 | 357, 350 | Myrecitin 3-O-galactoside | + | + | ||
| 14 | 4.52 | 463 | 301 | 255, 355 | Quercetin 3-O-glucoside | + | + | + | + |
| 15 | 4.56 | 477 | 301 | 255, 352 | Quercetin 3-O-glucoronide | + | + | ||
| 16 | 4.60 | 477 | 301 | 255, 352 | Quercetin 3-O-galactoside | + | + | + | + |
| 17 | 4.72 | 535 | 227 | 230, 355 | Resveratrol 3-O-rutinoside | + | + | + | + |
| 18 | 5.32 | 507 | 345 | 255, 355 | Syringetin 3-O-glucoside | + | + | + | + |
| No. | Microcapsules | |||||||||
|---|---|---|---|---|---|---|---|---|---|---|
| A | B | C | D | E | F | G | H | CE | PE | |
| 1 * | 0.02 ± 0.00 h | 0.07 ± 0.00 g | 0.05 ± 0.00 g | 0.07 ± 0.00 g | 0.86 ± 0.02 f | 2.34 ± 0.05 d | 1.46 ± 0.01 e | 3.85 ± 0.02 c | 2.80 ± 0.06 b | 12.15 ± 0.01 a |
| 2 | 0.02 ± 0.00 h | 0.07 ± 0.00 g | 0.05 ± 0.00 g | 0.07 ± 0.00 g | 0.73 ± 0.00 f | 2.85 ± 0.01 d | 1.40 ± 0.00 e | 3.09 ± 0.00 c | 2.77 ± 0.01 b | 11.26 ± 0.11 a |
| 3 | 0.11 ± 0.00 i | 0.28 ± 0.00 g | 0.19 ± 0.01 h | 0.31 ± 0.01 g | 2.62 ± 0.00 f | 7.52 ± 0.00 c | 5.08 ±0.05 e | 9.77 ± 0.09 b | 6.52 ± 0.00 d | 23.98 ± 0.79 a |
| 4 | 0.10 ± 0.00 g | 0.20 ± 0.00 f | 0.17 ± 0.00 f | 0.18 ± 0.01 f | 1.83 ± 0.02 e | 4.32 ± 0.03 c | 3.38 ± 0.11 d | 5.88 ± 0.19 b | 4.16 ± 0.04 c | 15.26 ± 0.12 a |
| 5 | 0.07 ± 0.00 i | 0.20 ± 0.01 g | 0.16 ± 0.01 h | 0.22 ± 0.00 g | 2.19 ± 0.07 f | 5.49 ± 0.16 c | 3.41 ± 0.03 e | 7.41 ±0.06 b | 4.62 ± 0.15 d | 17.45 ± 0.65 a |
| 6 | nd | nd | nd | nd | nd | nd | nd | nd | 0.45 ± 0.00 b | 2.02 ± 0.08 a |
| 7 | nd | nd | nd | nd | nd | nd | nd | nd | 0.45 ± 0.02b | 1.89 ± 0.02a |
| 8 | 0.10 ± 0.00 g | 0.18 ± 0.01 f | 0.17 ± 0.01 f | 0.17 ± 0.01 f | 1.48 ± 0.00 e | 3.48 ± 0.10 c | 2.25 ± 0.03 d | 4.56 ± 0.06 b | 2.85 ± 0.12 d | 11.38 ± 0.62 a |
| 9 | 0.05 ± 0.00 g | 0.08 ± 0.00 f | 0.09 ± 0.00 f | 0.15 ± 0.01 e | 1.37 ± 0.00 d | 2.67 ± 0.03 c | 1.99 ± 0.11 d | 3.74 ± 0.20 b | 1.90 ± 0.02 d | 8.67 ± 0.11 a |
| 10 | nd | 0.01 ± 0.00 e | 0.01 ± 0.00 e | 0.02 ± 0.00 e | 0.30 ± 0.02 d | 0.57 ± 0.03 c | 0.41 ± 0.01 d | 0.79 ± 0.01 b | 0.38 ± 0.02 d | 1.18 ± 0.09 a |
| ANT | 0.46 ± 0.00 i | 1.08 ± 0.00 g | 0.89 ± 0.00 h | 1.19 ± 0.02 g | 11.38 ± 0.12 f | 29.24 ± 0.05 c | 19.38 ± 0.03 e | 39.08 ± 0.05 b | 26.90 ± 0.09 d | 105.24 ± 0.56 a |
| 11 | nd | 0.01 ± 0.00 e | 0.01 ± 0.00 e | 0.01 ± 0.00 e | 0.14 ± 0.00 d | 0.24 ± 0.00 c | 0.24 ± 0.02 c | 0.33 ± 0.03 b | 0.37 ± 0.00 b | 1.40 ± 0.06 a |
| 12 | nd | nd | nd | nd | nd | nd | nd | nd | 0.06 ± 0.00 b | 0.25 ± 0.00 a |
| 13 | nd | nd | nd | nd | nd | nd | nd | nd | 0.08 ± 0.00 b | 0.28 ± 0.01 a |
| 14 | 0.01 ± 0.00 f | 0.02 ± 0.00 e | 0.01 ± 0.00 f | 0.01 ± 0.00 f | 0.17 ± 0.00 cd | 0.22 ± 0.00 c | 0.27 ± 0.01 b | 0.23 ± 0.01 c | 0.10 ± 0.00 d | 0.35 ± 0.00 a |
| 15 | nd | nd | nd | nd | nd | nd | nd | nd | 0.11 ± 0.00 b | 0.59 ± 0.01 a |
| 16 | nd | 0.04 ± 0.00 f | 0.01 ± 0.00 g | 0.02 ± 0.00 g | 0.07 ± 0.00 e | 0.11 ± 0.00 d | 0.12 ± 0.00 c | 0.11 ± 0.00 d | 0.06 ± 0.00 b | 0.24 ± 0.01 a |
| 17 | 0.01 ± 0.00 d | 0.01 ± 0.00 d | 0.01 ± 0.00 d | 0.01 ± 0.00 d | 0.22 ± 0.00 c | 0.28 ± 0.00 b | 0.29 ± 0.01 b | 0.25 ± 0.01 bc | 0.20 ± 0.00 c | 0.79 ± 0.01 a |
| 18 | nd | nd | nd | 0.02 ± 0.00 e | 0.05 ± 0.00 d | 0.07 ± 0.00 b | 0.06 ± 0.00 c | 0.07 ± 0.00 b | 0.05 ± 0.00 d | 0.14 ± 0.00 a |
| OP | 0.02 ± 0.00 e | 0.07 ± 0.00 e | 0.04 ± 0.00 f | 0.07 ± 0.00 e | 0.65 ± 0.01 d | 0.92 ± 0.04 c | 0.98 ± 0.01 b | 0.99 ± 0.02 b | 1.02 ± 0.08 b | 4.04 ± 0.23 a |
| Total | 0.48 ± 0.01 i | 1.16 ± 0.02 g | 0.92 ± 0.01 h | 1.27 ± 0.05 g | 12.03 ± 0.13 f | 30.15 ± 0.23 c | 20.36 ± 0.3 e | 40.07 ± 0.03 b | 27.92 ± 0.32 d | 109.28 ± 1.22 a |
| No. | Microcapsules | |||||||||
|---|---|---|---|---|---|---|---|---|---|---|
| A | B | C | D | E | F | G | H | CE | PE | |
| 1 * | 0.02 ± 0.00 g | 0.06 ± 0.00 f | 0.04 ± 0.00 g | 0.07 ± 0.00 f | 0.58 ± 0.01 e | 1.90 ± 0.00 c | 1.28 ± 0.03 d | 3.52 ± 0.02 b | 2.11 ± 0.01 c | 10.80 ± 0.10 a |
| 2 | 0.01 ± 0.00 h | 0.07 ± 0.00 f | 0.04 ± 0.00 g | 0.06 ± 0.00 g | 0.54 ± 0.00 e | 2.10 ± 0.01 c | 1.06 ± 0.01 d | 2.54 ± 0.01 b | 2.25 ± 0.00 c | 8.66 ± 0.32 a |
| 3 | 0.11 ± 0.00 i | 0.28 ± 0.00 f | 0.16 ± 0.01 h | 0.30 ± 0.02 g | 2.15 ± 0.04 e | 5.76 ± 0.12 c | 4.78 ± 0.04 d | 9.05 ± 0.09 b | 5.45 ± 0.05 c | 18.43 ± 0.17 a |
| 4 | 0.10 ± 0.00 g | 0.17 ± 0.01 f | 0.13 ± 0.00 g | 0.18 ± 0.00 g | 1.44 ± 0.02 e | 3.56 ± 0.01 c | 2.56 ± 0.05 d | 4.76 ± 0.11 b | 2.82 ± 0.13 d | 11.52 ± 0.50 a |
| 5 | 0.07 ± 0.00 g | 0.19 ± 0.00 e | 0.14 ± 0.01 f | 0.20 ± 0.01 e | 1.91 ± 0.03 d | 3.76 ± 0.10 c | 3.28 ± 0.11 c | 6.54 ± 0.10 b | 3.61± 0.03 c | 13.29 ± 0.07 a |
| 6 | nd | nd | nd | nd | nd | nd | nd | nd | 0.41 ± 0.02 b | 1.43 ± 0.02 a |
| 7 | nd | nd | nd | nd | nd | nd | nd | nd | 0.37 ± 0.02 b | 1.66 ± 0.09 a |
| 8 | 0.08 ± 0.00 h | 0.17 ± 0.00 f | 0.14 ± 0.01 g | 0.17 ± 0.01 f | 1.30 ± 0.04 e | 2.88 ± 0.10 c | 1.77 ± 0.07 d | 3.94 ± 0.05 b | 1.64 ± 0.03 d | 9.56 ± 0.58 a |
| 9 | 0.04 ± 0.00 g | 0.08 ± 0.00 g | 0.07 ± 0.00 g | 0.10 ± 0.01 f | 1.11 ± 0.01 e | 1.91 ± 0.02 c | 1.78 ± 0.02 d | 3.68 ± 0.20 b | 1.94 ± 0.11 c | 6.69 ± 0.13 a |
| 10 | nd | 0.01 ± 0.00 e | 0.01 ± 0.00 e | 0.01 ± 0.00 e | 0.21 ± 0.01 d | 0.27 ± 0.02 c | 0.45 ± 0.02 b | 0.51 ± 0.01 b | 0.33 ± 0.00 c | 1.13 ± 0.05 a |
| ANT | 0.42 ± 0.01 i | 1.00 ± 0.01 g | 0.72 ± 0.02 h | 1.09 ± 0.02 g | 9.23 ± 0.08 f | 22.13 ± 0.16 c | 16.95 ± 0.11 e | 34.55 ± 0.12 b | 20.93 ± 0.10 d | 83.16 ± 0.42 a |
| 11 | 0.01 ± 0.00 e | 0.01 ± 0.00 e | 0.01 ± 0.00 e | 0.01 ± 0.00 e | 0.13 ± 0.00 d | 0.21 ± 0.01 c | 0.22 ± 0.00 c | 0.29 ± 0.02 b | 0.30 ± 0.02 b | 1.32 ± 0.03 a |
| 12 | nd | nd | nd | nd | nd | nd | nd | nd | 0.06 ± 0.00 b | 0.22 ± 0.01 a |
| 13 | nd | nd | nd | nd | nd | nd | nd | nd | 0.05 ± 0.00 b | 0.28 ± 0.00 a |
| 14 | nd | 0.01 ± 0.00 f | 0.01 ± 0.00 f | 0.01 ± 0.00 f | 0.17 ± 0.00 d | 0.20 ± 0.00 bc | 0.23 ± 0.02 b | 0.19 ± 0.03 c | 0.08 ± 0.00 e | 0.33 ± 0.05 a |
| 15 | nd | nd | nd | nd | nd | nd | nd | nd | 0.10 ± 0.01 b | 0.52 ± 0.02 a |
| 16 | nd | 0.02 ± 0.00 d | nd | 0.01 ± 0.00 d | 0.05 ± 0.00 c | 0.10 ± 0.00 b | 0.05 ± 0.00 c | 0.11 ± 0.00 b | 0.04 ± 0.00 c | 0.17 ± 0.00 a |
| 17 | nd | nd | 0.01 ± 0.00 e | 0.01 ± 0.00 e | 0.19 ± 0.04 c | 0.23 ± 0.05 b | 0.19 ± 0.01 c | 0.15 ± 0.01 d | 0.19 ± 0.04 c | 0.74 ± 0.04 a |
| 18 | nd | nd | nd | 0.02 ± 0.00 e | 0.03 ± 0.00 de | 0.05 ± 0.00 c | 0.05 ±0.00 c | 0.06 ± 0.00 b | 0.04 ± 0.00 d | 0.12 ± 0.00 a |
| OP | 0.01 ± 0.00 h | 0.04 ± 0.00 g | 0.03 ± 0.00 g | 0.07 ± 0.00 f | 0.57 ± 0.06 e | 0.77 ± 0.05 d | 0.77 ± 0.02 d | 0.79 ± 0.03 c | 0.86 ± 0.03 b | 3.70 ± 0.05 a |
| Total | 0.43 ± 0.01 h | 1.04 ± 0.02 f | 0.75 ± 0.02 g | 1.17 ± 0.03 f | 9.80 ± 0.06 e | 22.92 ± 0.18 c | 17.69 ± 0.25 d | 35.34 ± 0.22 b | 21.80 ± 0.33 c | 86.85 ± 0.24 a |
| No. | Bioavailability Index (%) | |||||||
|---|---|---|---|---|---|---|---|---|
| A | B | C | D | E | F | G | H | |
| 1 * | nd | nd | nd | nd | nd | 3.17 ± 0.03 c | 15.22 ± 0.09 a | 5.16 ± 0.04 b |
| 2 | nd | nd | nd | nd | nd | 4.29 ± 0.08 c | 18.31 ± 0.19 a | 9.11 ± 0.17 b |
| 3 | 5.92 ± 0.10 f | 15.79 ± 0.16 e | 34.42 ± 0.05 b | 24.63 ± 0.73 c | 21.15 ± 0.73 d | 21.29 ± 1.03 d | 61.16 ± 2.61 a | 35.36 ± 0.67 b |
| 4 | 6.52 ± 0.04 g | 26.62 ± 1.14 f | 49.67 ± 0.09 c | 42.75 ± 0.14 d | 36.66 ± 1.38 e | 64.90 ± 2.02 b | 91.11 ± 2.33 a | 89.47 ± 6.02 a |
| 5 | 2.66 ± 0.07 g | 25.90 ± 0.66 e | 46.34 ± 0.10 c | 23.18 ± 0.66 ef | 20.77 ± 0.48 f | 32.52 ± 0.37 d | 87.96 ± 2.61 a | 51.45 ± 2.84 b |
| 8 | 71.10 ± 0.18 f | 101.96 ± 2.90 a | 96.27 ± 0.23 b | 102.03 ± 6.84 a | 79.81 ± 3.30 e | 63.50 ± 3.74 g | 92.09 ± 6.17 c | 83.54 ± 3.48 d |
| 9 | 64.56 ± 0.21 e | 104.58 ± 7.01 a | 90.31 ± 0.12 b | 82.67 ± 3.23 d | 64.59 ± 2.13 e | 62.88 ± 3.04 f | 87.29 ± 5.93 c | 89.25 ± 2.80 b |
| 10 | nd | 91.25 ± 6.20 a | 73.05 ± 0.22 c | 76.29 ± 3.19 b | 63.77 ± 6.03 d | 75.57 ± 4.55 b | 73.78 ± 4.95 c | 58.21 ± 1.04 e |
| ANT | 150.74 ± 4.87 g | 366.09 ± 5.21 d | 390.05 ± 6.01 c | 351.55 ± 3.92 de | 286.75 ± 3.11 f | 328.12 ± 6.71 e | 526.93 ± 5.02 a | 421.55 ± 4.11 b |
| 11 | nd | nd | nd | nd | nd | 4.99 ± 0.06 c | 13.55 ± 0.53 b | 55.51 ± 1.39 a |
| 14 | nd | nd | nd | nd | 0.63 ± 0.00 c | 83.49 ± 4.05 a | 78.90 ± 3.31 b | 77.55 ± 2.94 b |
| 16 | nd | 0.72 ± 0.01 f | 95.70 ± 4.07 a | 25.27 ± 0.38 e | 0.68 ± 0.01 f | 92.36 ± 7.02 b | 77.57 ± 1.39 c | 65.29 ± 6.01 d |
| 17 | nd | nd | nd | nd | 0.23 ± 0.00 d | 40.32 ± 0.52 b | 53.33 ± 2.65 a | 33.74 ± 0.82 c |
| 18 | nd | nd | nd | nd | 0.66 ± 0.05 d | 72.25 ± 2.74 b | 95.16 ± 1.41 a | 61.80 ± 5.88 c |
| OP | nd | 0.72 ± 0.01 f | 95.70 ± 4.07 c | 25.27 ± 0.38 d | 2.40 ± 0.66 e | 293.40 ± 5.58 b | 318.45 ± 3.09 a | 293.89 ± 5.92 b |
| Total | 150.74 ± 0.09 g | 366.81 ± 3.41 e | 485.75 ± 0.19 d | 376.82 ± 1.01 e | 289.15 ± 2.89 f | 621.5.19 ± 4.03 c | 845.43 ± 6.33 a | 715.43 ± 8.92 b |
| L* | a* | b* | Chroma | ΔE | |
|---|---|---|---|---|---|
| Control 1 | 85.75 ± 0.10 a | −1.13 ± 0.03 k | 10.67 ± 0.53 c | 10.73 ± 0.52 h | |
| A | 52.36 ± 0.45 d | 9.43 ± 0.10 f | −13.14 ± 0.20 g | 16.17 ± 0.21 de | 42.34 ± 0.44 d |
| E | 44.49 ± 1.11 f | 31.13 ± 0.73 a | −24.20 ± 0.67 h | 39.44 ± 0.42 c | 62.94 ± 0.56 c |
| Control 2 | 74.26 ± 0.14 c | 3.38 ± 0.04 h | 14.90 ± 0.15 b | 15.28 ± 0.16 e | |
| B | 47.03 ± 0.41 e | 12.94 ± 0.10 e | −1.39 ± 0.12 d | 13.01 ± 0.11 g | 33.14 ± 0.32 f |
| F | 37.53 ± 0.17 h | 23.44 ± 0.49 d | −33.96 ± 0.07 j | 41.27 ± 0.23 b | 64.33 ± 0.13 b |
| Control 3 | 77.74 ± 0.03 b | 0.48 ± 0.01 j | 14.36 ± 0.03 b | 14.37 ± 0.03 f | |
| C | 46.11 ± 1.06 e | 7.85 ± 0.01 g | −11.02 ± 0.36 f | 13.53 ± 0.29 g | 41.22 ± 0.59 d |
| G | 40.37 ± 0.29 g | 25.06 ± 0.06 c | −29.32 ±0.10 i | 38.57 ± 0.49 c | 62.52 ± 0.19 c |
| Control 4 | 75.64 ± 0.02 c | 2.96 ± 0.01 i | 17.01 ± 0.02 a | 17.26 ± 0.01 d | |
| D | 43.79 ± 0.01 fg | 8.92 ± 0.02 f | −5.11 ± 0.06 e | 10.28 ± 0.05 h | 39.23 ± 0.04 e |
| H | 36.40 ± 0.02 h | 27.10 ± 0.52 b | −38.31 ± 0.05 k | 46.93 ± 0.31 a | 71.99 ± 0.35 a |
Disclaimer/Publisher’s Note: The statements, opinions and data contained in all publications are solely those of the individual author(s) and contributor(s) and not of MDPI and/or the editor(s). MDPI and/or the editor(s) disclaim responsibility for any injury to people or property resulting from any ideas, methods, instructions or products referred to in the content. |
© 2024 by the authors. Licensee MDPI, Basel, Switzerland. This article is an open access article distributed under the terms and conditions of the Creative Commons Attribution (CC BY) license (https://creativecommons.org/licenses/by/4.0/).
Share and Cite
Żurek, N.; Świeca, M.; Pawłowska, A.; Kapusta, I.T. Microencapsulation of Blueberry (Vaccinium myrtillus L.) Extracts via Ionotropic Gelation: In Vitro Assessment of Bioavailability of Phenolic Compounds and Their Activity against Colon Cancer Cells. Appl. Sci. 2024, 14, 7842. https://doi.org/10.3390/app14177842
Żurek N, Świeca M, Pawłowska A, Kapusta IT. Microencapsulation of Blueberry (Vaccinium myrtillus L.) Extracts via Ionotropic Gelation: In Vitro Assessment of Bioavailability of Phenolic Compounds and Their Activity against Colon Cancer Cells. Applied Sciences. 2024; 14(17):7842. https://doi.org/10.3390/app14177842
Chicago/Turabian StyleŻurek, Natalia, Michał Świeca, Agata Pawłowska, and Ireneusz Tomasz Kapusta. 2024. "Microencapsulation of Blueberry (Vaccinium myrtillus L.) Extracts via Ionotropic Gelation: In Vitro Assessment of Bioavailability of Phenolic Compounds and Their Activity against Colon Cancer Cells" Applied Sciences 14, no. 17: 7842. https://doi.org/10.3390/app14177842
APA StyleŻurek, N., Świeca, M., Pawłowska, A., & Kapusta, I. T. (2024). Microencapsulation of Blueberry (Vaccinium myrtillus L.) Extracts via Ionotropic Gelation: In Vitro Assessment of Bioavailability of Phenolic Compounds and Their Activity against Colon Cancer Cells. Applied Sciences, 14(17), 7842. https://doi.org/10.3390/app14177842

