Thermal and Thermomechanical Analysis of Amorphous Metals: A Compact Review
Abstract
1. Introduction
1.1. Amorphous Metals: Structure and Properties
1.2. Amorphous Metals: Preparation Techniques
1.3. Amorphous Metals: Preparation by Ablation Techniques
1.4. Amorphous Metals: Characterization Techniques
2. Thermal Characterization of Amorphous Metals
2.1. A Brief Overview of Conventional Technology
2.1.1. Differential Scanning Calorimetry of Metallic Glasses
2.1.2. Possibilities of DSC for Metallic Glasses
2.1.3. Challenges of Conventional Calorimetry Methods for the Case of Amorphous Metals
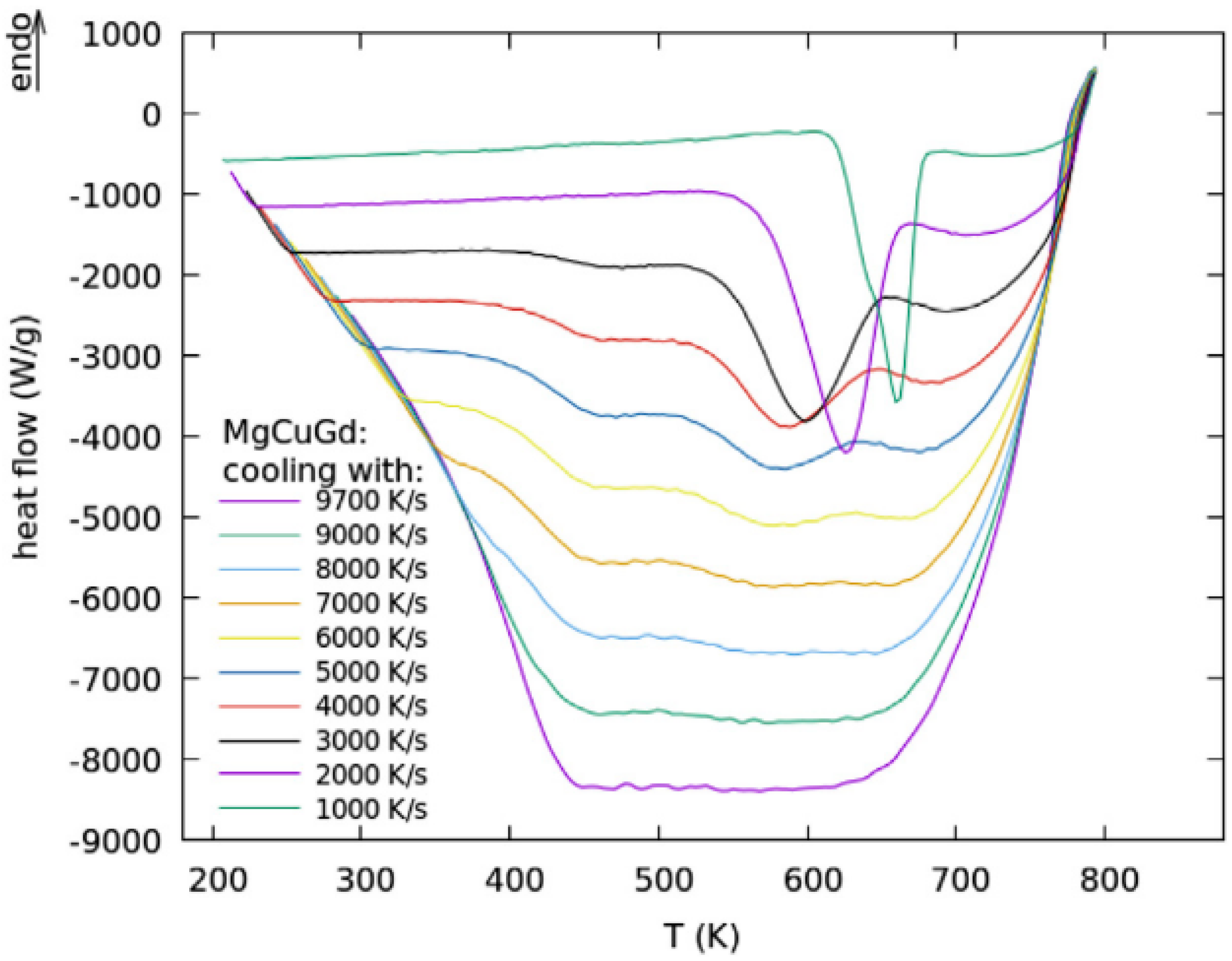
2.2. Fast Scanning Calorimetry of Amorphous Metals
2.2.1. Configuration Considerations
2.2.2. Expansion of Measurable Transitions by Utilizing FSC
2.3. Improvements to the Temperature Control—Temperature Modulation
2.4. Challenges of the Advanced Calorimetry Methods for the Case of Amorphous Metals
3. Thermomechanical Characterization of Amorphous Metals
3.1. Introduction to Conventional Measurements
3.2. Possibilities of TMA for Metallic Glass Analysis
3.3. Challenges of the Advanced Thermomechanical Methods for the Case of Amorphous Metals
4. In Situ Temperature-Dependent Structural Characterization of Amorphous Metals
4.1. Possibilities of In Situ Structural Analysis
4.2. Medium-Range Order and Bridging the Gap between the Precursor Treatment and Application Properties
4.3. Challenges of the Advanced In Situ Temperature-Dependent Structural Methods for the Case of Amorphous Metals
5. Conclusions, Perspective, and Outlook
Author Contributions
Funding
Conflicts of Interest
References
- Schultz, L. Formation of Amorphous Metals by Mechanical Alloying. Mater. Sci. Eng. 1988, 97, 15–23. [Google Scholar] [CrossRef]
- Jiang, H.; Shang, T.; Xian, H.; Sun, B.; Zhang, Q.; Yu, Q.; Bai, H.; Gu, L.; Wang, W. Structures and Functional Properties of Amorphous Alloys. Small Struct. 2021, 2, 2000057. [Google Scholar] [CrossRef]
- Löffler, J.F. Bulk Metallic Glasses. Intermetallics 2003, 11, 529–540. [Google Scholar] [CrossRef]
- Liu, C.; Inoue, A.; Kong, F.L.; Zhu, S.L.; Shalaan, E.; Al-Ghmadi, A.; Greer, A.L. Zr-Rich Zr-Al-Ni-Ag Metallic Glass Composites with High Strength and Plastic Strain. J. Alloys Compd. 2022, 918, 165683. [Google Scholar] [CrossRef]
- Khun, N.W.; Yu, H.; Chong, Z.Z.; Tian, P.; Tian, Y.; Tor, S.B.; Liu, E. Mechanical and Tribological Properties of Zr-Based Bulk Metallic Glass for Sports Applications. Mater. Des. 2016, 92, 667–673. [Google Scholar] [CrossRef]
- Hofmann, D.C.; Bordeenithikasem, P.; Dawson, Z.; Hamill, L.; Dillon, R.P.; McEnerney, B.; Nutt, S.; Bradford, S.C. Investigating Bulk Metallic Glasses as Ball-and-Cone Locators for Spacecraft Deployable Structures. Aerosp. Sci. Technol. 2018, 82–83, 513–519. [Google Scholar] [CrossRef]
- Kinser, E.R.; Padmanabhan, J.; Yu, R.; Corona, S.L.; Li, J.; Vaddiraju, S.; Legassey, A.; Loye, A.; Balestrini, J.; Solly, D.A.; et al. Nanopatterned Bulk Metallic Glass Biosensors. ACS Sens. 2017, 2, 1779–1787. [Google Scholar] [CrossRef]
- Xu, T.; Pang, S.; Li, H.; Zhang, T. Corrosion Resistant Cr-Based Bulk Metallic Glasses with High Strength and Hardness. J. Non-Cryst. Solids 2015, 410, 20–25. [Google Scholar] [CrossRef]
- Shi, H.; Zhao, W.; Wei, X.; Ding, Y.; Shen, X.; Liu, W. Effect of Ti Addition on Mechanical Properties and Corrosion Resistance of Ni-Free Zr-Based Bulk Metallic Glasses for Potential Biomedical Applications. J. Alloys Compd. 2020, 815, 152636. [Google Scholar] [CrossRef]
- Gu, Y.; Zheng, Z.; Niu, S.; Ge, W.; Wang, Y. The Seawater Corrosion Resistance and Mechanical Properties of Cu 47.5Zr47.5Al5 Bulk Metallic Glass and Its Composites. J. Non-Cryst. Solids 2013, 380, 135–140. [Google Scholar] [CrossRef]
- Hua, N.; Hong, X.; Liao, Z.; Wang, Q.; Zhang, L.; Guo, Q.; Ye, X.; Brechtl, J.; Liaw, P.K. A Biocompatible Pd-Based BMG with Excellent Corrosive-Wear Resistance for Implant Applications. Intermetallics 2020, 124, 106847. [Google Scholar] [CrossRef]
- Inoue, A.; Kong, F.L.; Han, Y.; Zhu, S.L.; Churyumov, A.; Shalaan, E.; Al-Marzouki, F. Development and Application of Fe-Based Soft Magnetic Bulk Metallic Glassy Inductors. J. Alloys Compd. 2018, 731, 1303–1309. [Google Scholar] [CrossRef]
- Wang, Q.; Zhou, J.; Zeng, Q.; Zhang, G.; Yin, K.; Liang, T.; Yang, W.; Stoica, M.; Sun, L.; Shen, B. Ductile Co-Based Bulk Metallic Glass with Superhigh Strength and Excellent Soft Magnetic Properties Induced by Modulation of Structural Heterogeneity. Materialia 2020, 9, 100561. [Google Scholar] [CrossRef]
- Zhang, J.; Chang, C.; Wang, A.; Shen, B. Development of Quaternary Fe-Based Bulk Metallic Glasses with High Saturation Magnetization above 1.6 T. J. Non-Cryst. Solids 2012, 358, 1443–1446. [Google Scholar] [CrossRef]
- Inoue, A.; Kong, F.L.; Zhu, S.L.; Shen, B.L.; Churyumov, A.; Botta, W.J. Formation, Structure and Properties of Pseudo-High Entropy Clustered Bulk Metallic Glasses. J. Alloys Compd. 2020, 820, 153164. [Google Scholar] [CrossRef]
- Wang, Q.; Tang, B.Z.; Chan, K.C.; Tang, M.B.; Ding, D.; Xia, L. Magnetocaloric Effect and Magnetostriction of a Binary Nd50Co50 Metallic Glass. J. Non-Cryst. Solids 2021, 571, 121076. [Google Scholar] [CrossRef]
- Yang, Z.; Al-Mukadam, R.; Stolpe, M.; Markl, M.; Deubener, J.; Körner, C. Isothermal Crystallization Kinetics of an Industrial-Grade Zr-Based Bulk Metallic Glass. J. Non-Cryst. Solids 2021, 573, 121145. [Google Scholar] [CrossRef]
- Chen, F.H.; Chang, K.F.; Tsao, C.Y.A.; Guo, M.L.T.; Huang, J.C.; Jang, J.S.C. Microstructures and Mechanical Behaviors of Mg58Cu31Gd11 and Mg65Cu25Gd10 Amorphous Alloys Synthesized by Injection Casting and Melt Spinning. J. Alloys Compd. 2009, 483, 32–36. [Google Scholar] [CrossRef]
- Korkmaz, S.; Kariper, A. Glass Formation, Production and Superior Properties of Zr-Based Thin Film Metallic Glasses (TFMGs): A Status Review. J. Non-Cryst. Solids 2020, 527, 119753. [Google Scholar] [CrossRef]
- Qin, C.; Zheng, D.; Hu, Q.; Zhang, X.; Wang, Z.; Li, Y.; Zhu, J.; Ou, J.Z.; Yang, C.; Wang, Y. Flexible Integrated Metallic Glass-Based Sandwich Electrodes for High-Performance Wearable All-Solid-State Supercapacitors. Appl. Mater. Today 2020, 19, 100539. [Google Scholar] [CrossRef]
- Wang, W.H.; Dong, C.; Shek, C.H. Bulk Metallic Glasses. Mater. Sci. Eng. R Rep. 2004, 44, 45–89. [Google Scholar] [CrossRef]
- Kruzic, J.J. Bulk Metallic Glasses as Structural Materials: A Review. Adv. Eng. Mater. 2016, 18, 1308–1331. [Google Scholar] [CrossRef]
- Huang, L.; Pu, C.; Fisher, R.K.; Mountain, D.J.H.; Gao, Y.; Liaw, P.K.; Zhang, W.; He, W. A Zr-Based Bulk Metallic Glass for Future Stent Applications: Materials Properties, Finite Element Modeling, and in Vitro Human Vascular Cell Response. Acta Biomater. 2015, 25, 356–368. [Google Scholar] [CrossRef]
- Hofmann, D.C.; Andersen, L.M.; Kolodziejska, J.; Roberts, S.N.; Borgonia, J.P.; Johnson, W.L.; Vecchio, K.S.; Kennett, A. Optimizing Bulk Metallic Glasses for Robust, Highly Wear-Resistant Gears. Adv. Eng. Mater. 2017, 19, 1600541. [Google Scholar] [CrossRef]
- Soriguer, F.; Vendrell, J.; Serrano-rios, M.; Pascual-manich, G.; Ortega, E.; Mora-peces, I.; Goday, A.; Gaztambide, S.; Franch, J.; Castell, C.; et al. Ultrafast Scanning Calorimetry of Newly Developed Au-Ga Bulk Metallic Glasses. J. Phys. Condens. Matter 2020, 32, 324001. [Google Scholar]
- Cheng, Q.; Han, X.; Kaban, I.; Soldatov, I.; Wang, W.H.; Sun, Y.H.; Orava, J. Phase Transformations in a Cu–Zr–Al Metallic Glass. Scr. Mater. 2020, 183, 61–65. [Google Scholar] [CrossRef]
- Wang, J.Q.; Shen, Y.; Perepezko, J.H.; Ediger, M.D. Increasing the Kinetic Stability of Bulk Metallic Glasses. Acta Mater. 2016, 104, 25–32. [Google Scholar] [CrossRef]
- Pauly, S.; Löber, L.; Petters, R.; Stoica, M.; Scudino, S.; Kühn, U.; Eckert, J. Processing Metallic Glasses by Selective Laser Melting. Mater. Today 2013, 16, 37–41. [Google Scholar] [CrossRef]
- Liang, S.X.; Zhang, L.C.; Reichenberger, S.; Barcikowski, S. Design and Perspective of Amorphous Metal Nanoparticles from Laser Synthesis and Processing. Phys. Chem. Chem. Phys. 2021, 23, 11121–11154. [Google Scholar] [CrossRef]
- Song, X.; Wu, X.Q.; Xiao, K.L.; Li, C.; Wang, H.Y.; Jiang, M.Q. Nanosecond Laser Ablation of a Metallic Glass in Water: A High Time-Resolved Imaging Study. Philos. Mag. 2020, 100, 2708–2720. [Google Scholar] [CrossRef]
- Voloshko, A.; Itina, T.E. Nanoparticle Formation by Laser Ablation and by Spark Discharges—Properties, Mechanisms, and Control Possibilities. In Nanoparticles Technology; InTech Open: London, UK, 2015; pp. 1–12. [Google Scholar] [CrossRef]
- Petallidou, K.C.; Ternero, P.; Messing, M.E.; Schmidt-Ott, A.; Biskos, G. Tuning Atomic-Scale Mixing of Nanoparticles Produced by Atmospheric-Pressure Spark Ablation. Nanoscale Adv. 2023, 5, 6880–6886. [Google Scholar] [CrossRef]
- Hata, S.; Sakurai, J.; Yamauchi, R.; Shimokohbe, A. Search for Novel Amorphous Alloys with High Crystallization Temperature by Combinatorial Arc Plasma Deposition. Appl. Surf. Sci. 2007, 254, 738–742. [Google Scholar] [CrossRef]
- Kumar, A.; Nayak, S.K.; Sarkar, K.; Banerjee, A.; Mondal, K.; Laha, T. Investigation of Nano- and Micro-Scale Structural Evolution and Resulting Corrosion Resistance in Plasma Sprayed Fe-Based (Fe-Cr-B-C-P) Amorphous Coatings. Surf. Coat. Technol. 2020, 397, 126058. [Google Scholar] [CrossRef]
- Radovanović-Perić, F.; Mandić, V.; Panžić, I.; Bafti, A.; Rukavina, M.; Jurov, A. Showcase of Tools for Preparing, Modifying and Describing Thin Films for Energy Conversion Devices with Special Attention on Plasma Phenomenology. Eng. Power Bull. Croat. Acad. Eng. 2022, 17, 13–18. [Google Scholar]
- Graeve, O.A.; Kanakala, R.; Kaufman, L.; Sinha, K.; Wang, E.; Pearson, B.; Rojas-George, G.; Farmer, J.C. Spark Plasma Sintering of Fe-Based Structural Amorphous Metals (SAM) with Y2O3 Nanoparticle Additions. Mater. Lett. 2008, 62, 2988–2991. [Google Scholar] [CrossRef]
- James, J. Thermomechanical Analysis and Its Applications; Elsevier Inc.: Amsterdam, The Netherlands, 2017; Volume 3, ISBN 9780323461450. [Google Scholar]
- Ouyang, D.; Zhang, P.; Zhang, C.; Liu, L. Understanding of Crystallization Behaviors in Laser 3D Printing of Bulk Metallic Glasses. Appl. Mater. Today 2021, 23, 100988. [Google Scholar] [CrossRef]
- Namazi, H.; Akrami, A.; Haghighi, R.; Delaviz, A.; Kulish, V.V. Analysis of the Influence of Element’s Entropy on the Bulk Metallic Glass (BMG) Entropy, Complexity, and Strength. Metall. Mater. Trans. A Phys. Metall. Mater. Sci. 2017, 48, 780–788. [Google Scholar] [CrossRef]
- Furushima, Y.; Schick, C.; Toda, A. Crystallization, Recrystallization, and Melting of Polymer Crystals on Heating and Cooling Examined with Fast Scanning Calorimetry. Polym. Cryst. 2018, 1, e10005. [Google Scholar] [CrossRef]
- Zheng, Q.; Zhang, Y.; Montazerian, M.; Gulbiten, O.; Mauro, J.C.; Zanotto, E.D.; Yue, Y. Understanding Glass through Differential Scanning Calorimetry. Chem. Rev. 2019, 119, 7848–7939. [Google Scholar] [CrossRef] [PubMed]
- Sohrabi, N.; Schawe, J.E.K.; Jhabvala, J.; Löffler, J.F.; Logé, R.E. Critical Crystallization Properties of an Industrial-Grade Zr-Based Metallic Glass Used in Additive Manufacturing. Scr. Mater. 2021, 199, 113861. [Google Scholar] [CrossRef]
- Guo, S.; Lu, Z.P.; Liu, C.T. Identify the Best Glass Forming Ability Criterion. Intermetallics 2010, 18, 883–888. [Google Scholar] [CrossRef]
- Lu, Z.P.; Bei, H.; Liu, C.T. Recent Progress in Quantifying Glass-Forming Ability of Bulk Metallic Glasses. Intermetallics 2007, 15, 618–624. [Google Scholar] [CrossRef]
- Janzen, J.M.; Prins, G.I. Introduction. Soc. Sci. Med. Part B Med. Anthropol. 1981, 15, 169–171. [Google Scholar] [CrossRef] [PubMed]
- Weinberg, M.C.; Uhlmann, D.R.; Zanotto, E.D. “Nose Method” of Calculating Critical Cooling Rates for Glass Formation. J. Am. Ceram. Soc. 1989, 72, 2054–2058. [Google Scholar] [CrossRef]
- Liu, L.; Zhao, X.; Ma, C.; Pang, S.; Zhang, T. Formation and Thermal Stability of Pd-Based Bulk Metallic Glasses. J. Non. Cryst. Solids 2006, 352, 5487–5491. [Google Scholar] [CrossRef]
- Pogatscher, S.; Uggowitzer, P.J.; Löffler, J.F. In-Situ Probing of Metallic Glass Formation and Crystallization upon Heating and Cooling via Fast Differential Scanning Calorimetry. Appl. Phys. Lett. 2014, 104, 251908. [Google Scholar] [CrossRef]
- Frey, M.; Busch, R.; Possart, W.; Gallino, I. On the Thermodynamics, Kinetics, and Sub-Tg Relaxations of Mg-Based Bulk Metallic Glasses. Acta Mater. 2018, 155, 117–127. [Google Scholar] [CrossRef]
- Mandal, S.; Lee, D.E.; Park, T. Crystallization Kinetics of Cu60Zr25Ti15 and (Cu60Zr25Ti15)95Ni5 Bulk Metallic Glasses by Differential Scanning Calorimetry (DSC). J. Therm. Anal. Calorim. 2021, 145, 467–474. [Google Scholar] [CrossRef]
- Chen, Y.; Dai, Z.W.; Jiang, J.Z. High Entropy Metallic Glasses: Glass Formation, Crystallization and Properties. J. Alloys Compd. 2021, 866, 158852. [Google Scholar] [CrossRef]
- Thomas, D.; Zhuravlev, E.; Wurm, A.; Schick, C.; Cebe, P. Fundamental Thermal Properties of Polyvinyl Alcohol by Fast Scanning Calorimetry. Polymer 2018, 137, 145–155. [Google Scholar] [CrossRef]
- Pogatscher, S.; Leutenegger, D.; Hagmann, A.; Uggowitzer, P.J.; Löffler, J.F. Characterization of Bulk Metallic Glasses via Fast Differential Scanning Calorimetry. Thermochim. Acta 2014, 590, 84–90. [Google Scholar] [CrossRef]
- Mathot, V.; Pyda, M.; Pijpers, T.; Vanden Poel, G.; Van De Kerkhof, E.; Van Herwaarden, S.; Van Herwaarden, F.; Leenaers, A. The Flash DSC 1, a Power Compensation Twin-Type, Chip-Based Fast Scanning Calorimeter (FSC): First Findings on Polymers. Thermochim. Acta 2011, 522, 36–45. [Google Scholar] [CrossRef]
- Van Herwaarden, S.; Iervolino, E.; Van Herwaarden, F.; Wijffels, T.; Leenaers, A.; Mathot, V. Design, Performance and Analysis of Thermal Lag of the UFS1 Twin-Calorimeter Chip for Fast Scanning Calorimetry Using the Mettler-Toledo Flash DSC 1. Thermochim. Acta 2011, 522, 46–52. [Google Scholar] [CrossRef]
- Spieckermann, F.; Steffny, I.; Bian, X.; Ketov, S.; Stoica, M.; Eckert, J. Fast and Direct Determination of Fragility in Metallic Glasses Using Chip Calorimetry. Heliyon 2019, 5, e01334. [Google Scholar] [CrossRef]
- Zhao, B.; Rodrigues, A.M.; Ding, K.; Ma, H.; Wu, G.; Zhai, Q.; Gao, Y. Approaching the Melting Temperature: There Regimes in the Non-Isothermal Crystallization of Ce68Al10Cu20Co2 Bulk Metallic Glass Revealed by Nanocalorimetry. Intermetallics 2020, 116, 106653. [Google Scholar] [CrossRef]
- Fiore, G.; Ichim, I.; Battezzati, L. Thermal Analysis, Fragility and Viscosity of Au-Based Metallic Glasses. J. Non-Cryst. Solids 2010, 356, 2218–2222. [Google Scholar] [CrossRef]
- Ericsson, A.; Pacheco, V.; Sahlberg, M.; Lindwall, J.; Hallberg, H.; Fisk, M. Transient Nucleation in Selective Laser Melting of Zr-Based Bulk Metallic Glass. Mater. Des. 2020, 195, 108958. [Google Scholar] [CrossRef]
- Di Lisio, V.; Gallino, I.; Riegler, S.S.; Frey, M.; Neuber, N.; Kumar, G.; Schroers, J.; Busch, R.; Cangialosi, D. Size-Dependent Vitrification in Metallic Glasses. Nat. Commun. 2023, 14, 4698. [Google Scholar] [CrossRef]
- Schawe, J.E.K.; Löffler, J.F. Existence of Multiple Critical Cooling Rates Which Generate Different Types of Monolithic Metallic Glass. Nat. Commun. 2019, 10, 1337. [Google Scholar] [CrossRef]
- Gao, M.; Perepezko, J.H. Separating β Relaxation from α Relaxation in Fragile Metallic Glasses Based on Ultrafast Flash Differential Scanning Calorimetry. Phys. Rev. Mater. 2020, 4, 25602. [Google Scholar] [CrossRef]
- Küchemann, S.; Derlet, P.M.; Liu, C.; Rosenthal, D.; Sparks, G.; Larson, W.S.; Maaß, R. Energy Storage in Metallic Glasses via Flash Annealing. Adv. Funct. Mater. 2018, 28, 1805385. [Google Scholar] [CrossRef]
- Meylan, C.M.; Georgarakis, K.; Greer, A.L. Thermal Rejuvenation of an Aged Au-Based Metallic Glass by Fast Scanning Calorimetry. J. Non-Cryst. Solids X 2021, 11–12, 100062. [Google Scholar] [CrossRef]
- Meylan, C.M.; Orava, J.; Greer, A.L. Rejuvenation through Plastic Deformation of a La-Based Metallic Glass Measured by Fast-Scanning Calorimetry. J. Non-Cryst. Solids X 2020, 8, 100051. [Google Scholar] [CrossRef]
- Lee, D.; Zhao, B.; Perim, E.; Zhang, H.; Gong, P.; Gao, Y.; Liu, Y.; Toher, C.; Curtarolo, S.; Schroers, J.; et al. Crystallization Behavior upon Heating and Cooling in Cu50Zr50 Metallic Glass Thin Films. Acta Mater. 2016, 121, 68–77. [Google Scholar] [CrossRef]
- Monnier, X.; Cangialosi, D.; Ruta, B.; Busch, R.; Gallino, I. Vitrification Decoupling from α-Relaxation in a Metallic Glass. Sci. Adv. 2020, 6, eaay1454. [Google Scholar] [CrossRef] [PubMed]
- Jana, P.P.; Das, J. Precise Estimation of Glass Transition and Crystallization Temperatures of Zr55Cu30Ni5Al10 Metallic Glass Using Step-Scan Modulated Temperature Differential Scanning Calorimeter. Thermochim. Acta 2018, 660, 18–22. [Google Scholar] [CrossRef]
- Mossety-Leszczak, B.; Kisiel, M.; Lechowicz, J.B.; Buszta, N.; Ostatek, R.; Włodarska, M. Analysis of Curing Reaction of Liquid-Crystalline Epoxy Compositions by Using Temperature-Modulated DSC TOPEM®. J. Therm. Anal. Calorim. 2019, 138, 2435–2444. [Google Scholar] [CrossRef]
- Manoel, W.; Pinto, S.; Daum, L.; Rösner, H.; Wilde, G. Acta Materialia Correlations between Shadow Glass Transition, Enthalpy Recovery and Medium Range Order in a Pd40Ni40P20 Bulk Metallic Glass. Acta Mater. 2024, 275, 120034. [Google Scholar]
- Tang, T.W.; Chang, Y.C.; Huang, J.C.; Gao, Q.; Jang, J.S.C.; Tsao, C.Y.A. On Thermomechanical Properties of Au-Ag-Pd-Cu-Si Bulk Metallic Glass. Mater. Chem. Phys. 2009, 116, 569–572. [Google Scholar] [CrossRef]
- Gyurov, S.; Czeppe, T.; Drenchev, L.; Stefanov, G.; Russew, K. Thermo-Mechanical Study of Rapidly Solidified NiNbZrTiAl Amorphous Metallic Alloys. Mater. Sci. Eng. A 2017, 684, 222–228. [Google Scholar] [CrossRef]
- Jiang, J.; Lu, Z.; Shen, J.; Wada, T.; Kato, H.; Chen, M. Decoupling between Calorimetric and Dynamical Glass Transitions in High-Entropy Metallic Glasses. Nat. Commun. 2021, 12, 3843. [Google Scholar] [CrossRef]
- Costa, M.B.; Greer, A.L. Enthalpy of Anelasticity and Rejuvenation of Metallic Glasses. Acta Mater. 2024, 265, 119609. [Google Scholar] [CrossRef]
- Yao, J.H.; Hostert, C.; Music, D.; Frisk, A.; Björck, M.; Schneider, J.M. Synthesis and Mechanical Properties of Fe-Nb-B Thin-Film Metallic Glasses. Scr. Mater. 2012, 67, 181–184. [Google Scholar] [CrossRef]
- Lee, J.; Huang, K.H.; Hsu, K.C.; Tung, H.C.; Lee, J.W.; Duh, J.G. Applying Composition Control to Improve the Mechanical and Thermal Properties of Zr-Cu-Ni-Al Thin Film Metallic Glass by Magnetron DC Sputtering. Surf. Coat. Technol. 2015, 278, 132–137. [Google Scholar] [CrossRef]
- Besozzi, E.; Dellasega, D.; Russo, V.; Conti, C.; Passoni, M.; Beghi, M.G. Thermomechanical Properties of Amorphous Metallic Tungsten-Oxygen and Tungsten-Oxide Coatings. Mater. Des. 2019, 165, 107565. [Google Scholar] [CrossRef]
- Cheng, Y.Q.; Ma, E. Atomic-Level Structure and Structure-Property Relationship in Metallic Glasses. Prog. Mater. Sci. 2011, 56, 379–473. [Google Scholar] [CrossRef]
- Cheng, Y.Q.; Ma, E.; Sheng, H.W. Atomic Level Structure in Multicomponent Bulk Metallic Glass. Phys. Rev. Lett. 2009, 102, 1–4. [Google Scholar] [CrossRef] [PubMed]
- Gregoire, J.M.; McCluskey, P.J.; Dale, D.; Ding, S.; Schroers, J.; Vlassak, J.J. Combining Combinatorial Nanocalorimetry and X-Ray Diffraction Techniques to Study the Effects of Composition and Quench Rate on Au-Cu-Si Metallic Glasses. Scr. Mater. 2012, 66, 178–181. [Google Scholar] [CrossRef]
- Bednarcik, J.; Michalik, S.; Kolesar, V.; Rütt, U.; Franz, H. In Situ XRD Studies of Nanocrystallization of Fe-Based Metallic Glass: A Comparative Study by Reciprocal and Direct Space Methods. Phys. Chem. Chem. Phys. 2013, 15, 8470–8479. [Google Scholar] [CrossRef]
- Babilas, R.; Kądziołka-Gaweł, M.; Burian, A. Local Atomic Structure of Quaternary Fe-Based Metallic Glass Studied by X-Ray Diffraction, Mössbauer Spectroscopy and Reverse Monte Carlo Modeling. J. Non-Cryst. Solids 2016, 435, 76–81. [Google Scholar] [CrossRef]
- Mattern, N.; Stoica, M.; Vaughan, G.; Eckert, J. Thermal Behaviour of Pd40Cu30Ni10P 20 Bulk Metallic Glass. Acta Mater. 2012, 60, 517–524. [Google Scholar] [CrossRef]
- Paul, T.; Singh, A.; Littrell, K.C.; Ilavsky, J.; Harimkar, S.P. Crystallization Mechanism in Spark Plasma Sintered Bulk Metallic Glass Analyzed Using Small Angle Neutron Scattering. Sci. Rep. 2020, 10, 2033. [Google Scholar] [CrossRef] [PubMed]
- Babilas, R.; Młynarek-Żak, K.; Łoński, W.; Łukowiec, D.; Warski, T.; Radoń, A. Study of Crystallization Mechanism of Al-Based Amorphous Alloys by in-Situ High Temperature X-Ray Diffraction Method. Sci. Rep. 2022, 12, 5733. [Google Scholar] [CrossRef] [PubMed]






Disclaimer/Publisher’s Note: The statements, opinions and data contained in all publications are solely those of the individual author(s) and contributor(s) and not of MDPI and/or the editor(s). MDPI and/or the editor(s) disclaim responsibility for any injury to people or property resulting from any ideas, methods, instructions or products referred to in the content. |
© 2024 by the authors. Licensee MDPI, Basel, Switzerland. This article is an open access article distributed under the terms and conditions of the Creative Commons Attribution (CC BY) license (https://creativecommons.org/licenses/by/4.0/).
Share and Cite
Radovanović-Perić, F.; Panžić, I.; Bafti, A.; Mandić, V. Thermal and Thermomechanical Analysis of Amorphous Metals: A Compact Review. Appl. Sci. 2024, 14, 7452. https://doi.org/10.3390/app14177452
Radovanović-Perić F, Panžić I, Bafti A, Mandić V. Thermal and Thermomechanical Analysis of Amorphous Metals: A Compact Review. Applied Sciences. 2024; 14(17):7452. https://doi.org/10.3390/app14177452
Chicago/Turabian StyleRadovanović-Perić, Floren, Ivana Panžić, Arijeta Bafti, and Vilko Mandić. 2024. "Thermal and Thermomechanical Analysis of Amorphous Metals: A Compact Review" Applied Sciences 14, no. 17: 7452. https://doi.org/10.3390/app14177452
APA StyleRadovanović-Perić, F., Panžić, I., Bafti, A., & Mandić, V. (2024). Thermal and Thermomechanical Analysis of Amorphous Metals: A Compact Review. Applied Sciences, 14(17), 7452. https://doi.org/10.3390/app14177452

