Next Article in Journal
Adaptability of Swiss Stone Pine (Pinus cembra) in Two Different Environmental Conditions of Romanian Carpathians
Next Article in Special Issue
Dynamic Modeling and Simulation of a Cyclic Towing System for Underwater Vehicles
Previous Article in Journal
Enhancing Firewall Packet Classification through Artificial Neural Networks and Synthetic Minority Over-Sampling Technique: An Innovative Approach with Evaluative Comparison
Previous Article in Special Issue
Experimental Investigations into Failures and Nonlinear Behaviors of Structural Membranes with Open Cuttings
 
 
Font Type:
Arial Georgia Verdana
Font Size:
Aa Aa Aa
Line Spacing:
Column Width:
Background:
Article

Numerical Modeling and Analysis of Pendant Installation Method Dynamics Using Absolute Nodal Coordinate Formulation

School of Mechanical Engineering, Hubei University of Technology, Wuhan 430068, China
*
Author to whom correspondence should be addressed.
Appl. Sci. 2024, 14(16), 7427; https://doi.org/10.3390/app14167427
Submission received: 29 July 2024 / Revised: 12 August 2024 / Accepted: 20 August 2024 / Published: 22 August 2024
(This article belongs to the Special Issue The Applications of Nonlinear Dynamics in Materials and Structures)

Abstract

Accurately simulating the deployment process of coupled systems in deep-sea environments remains a significant challenge. This study employs the Absolute Nodal Coordinate Formulation (ANCF) to dynamically model and analyze multi-body systems based on the Pendant Installation Method (PIM). Utilizing the principle of energy conversion, this study calculates the stiffness, generalized elastic forces, mass matrices, and Morison equation, formulating a motion equation for the dynamic coupling of nonlinear time-domain forces in cables during pendulum deployment, which is numerically solved using the implicit generalized-α method. By comparing the simulation results of this model with those from the catenary theory model, the advanced modeling capabilities of this model are validated. Lastly, the sensitivity of the multi-body system under various boundary conditions is analyzed. The results indicate that deployment operations are more effective in environments with strong ocean currents. Furthermore, upon comparing the impacts of structural mass and deployment depth on the system, it was found that deployment depth has a more significant effect. Consequently, the findings of this study provide a scientific basis for formulating subsequent optimization strategies.

1. Introduction

As the demand for exploration in deepwater areas escalates, for reasons such as oil and gas exploration and the deployment of specialized detection equipment, the marine industry faces increasing challenges in deploying large and heavy structures in deep-sea environments [1]. In deep-sea deployment operations, the accurate evaluation of the dynamic characteristics of large floating structures, the sinking positions of seabed equipment, and the tension of steel cables is crucial for ensuring the safety and functionality of work barges [2,3,4,5]. To effectively evaluate these key factors, establishing a time-domain dynamic coupling system with nonlinear characteristics is essential. However, accurately simulating the deployment process of coupled systems in deep-sea environments continues to be a significant challenge. Given the unique environmental conditions, the accuracy of scale model experiments has yet to be validated; moreover, the cost of at-sea trials remains prohibitively high. Consequently, there is a common reliance on numerical analysis methods for preliminary simulations and predictions of the deployment process. Furthermore, selecting an appropriate installation method is critically important for impacting operational processes.
Various deepwater installation methods have emerged in marine engineering, including vertical installation [6,7], HCSS theory [8], pulley system theory [9], Y theory [10], and the Pendulum Installation Method (PIM). As an emerging method, the Pendulum Installation Method (PIM) addresses limitations in deepwater and ultra-deepwater areas, such as the “resonance zone” challenge, commonly known as “snatch loading” [11], thereby mitigating cyclic tension changes in cables caused by sudden loads and minimizing safety risks to equipment and personnel. Furthermore, the PIM does not necessitate precise control of the dynamic positioning systems of two vessels, thus simplifying the requirements for vessel control systems and facilitating the precise positioning of the seabed equipment deployment point. This approach meets the requirements for low-cost and non-vessel-specific operations. The deepwater deployment using the PIM is carried out through the coordinated operation of two vessels. The process is illustrated in Figure 1. Upon reaching the installation site, one end of the cable is connected to the large floating structure, while the other end is attached to the work vessel. The transport vessel lifts the floating structure using a crane, moves to the designated swinging point, and subsequently releases it. The structure utilizes its own weight to swing down near the seabed.
The Pendulum Installation Method is specially designed for the installation of heavy structures in ultra-deepwater environments and is applicable in water depths of up to 3000 m. Petrobras successfully adopted this method for the first time through numerical analysis, scaled model tests, and full-scale offshore trials, installing heavy objects weighing 280 and 200 tons at depths of 1845 m and 1900 m, respectively [12,13]. Yao et al. [14] employed FLUENT software for object modeling and conducted time-domain coupled analysis between ships, cables, and objects using the hydrodynamic calculation software SESAM. They reduced the operating cable to a spring model and observed that the variation in internal tension of the cable during the pendulum installation process was relatively stable, with no sudden loads identified that could lead to catastrophic failure. Zhang et al. [15], utilizing MOSES software, conducted nonlinear coupled numerical simulations of the pendulum installation theory, taking into full account the interactions between the vessel, mooring system, hoisting cable, and production facilities. Li et al. [16] investigated the installation of heavy objects with the pendulum method using nonlinear time-domain coupled analysis techniques, highlighting the significant impact of surface vessel motion on the cables and the critical role of the center of gravity and buoyancy of the heavy objects in overall motion. Fernandes et al. [17] performed experimental studies, examining the flutter of hinged vertical plates caused by uniform fluid resistance during the pendulum installation process, and proposed a redesigned heavy object shape to reduce the oscillation during the PIM swinging process. Madduma et al. [18] carried out numerical simulations on the Dual Cap-X pendulum installation process, investigating the effects of certain key parameters on operability. Zhao et al. [19] performed a risk analysis of the subsea heavy object pendulum installation process based on operational safety analysis and risk assessment, viewing it as a high-risk phase of accidents. They underscored the necessity for further mechanical analysis of the entire pendulum installation system, particularly with regard to the effect of dynamic tension changes in the cables with depth during deployment.
However, existing research has inadequately addressed the characteristics of inertia, large deformations, and large rotational angles of cables with flexible properties during continuous pendulum processes. A review of the literature reveals that, although most traditional dynamics analysis methods [20] such as the finite element method in SESAM, the lumped mass method in OrcaFlex, and the finite difference method endeavor to simulate flexible structures, they predominantly rely on small deformation assumptions and thus may overlook significant post-deformation changes. This oversight can result in neglecting the impact of deformation coupling terms in the dynamics of large deformation systems. Moulton et al. [21] highlighted the challenges in directly applying traditional methods to analyze large deformations, particularly when integrating these coupled deformation quantities with large deformation movements. Therefore, it is imperative to utilize appropriate numerical analysis methods to enhance the accuracy of simulations of the pendant deployment process.
To address the limitations of nonlinearity in large deformations inherent to traditional finite element methods, Shabana et al. [22] introduced the Absolute Nodal Coordinate Formulation (ANCF). This formulation utilizes global coordinates and directional derivatives to determine element positions, and foregoes the use of Euler angles, eliminating the effects of Coriolis and centrifugal forces in large deformations and enabling inertial forces to be expressed in a linear form while maintaining a constant mass matrix. After years of continuous refinement and improvement, the Absolute Nodal Coordinate Formulation has proven to offer high precision and stability in practical analysis [23,24,25].
Recently, Obrezkov et al. [26] demonstrated that numerical solutions based on ANCF elements for three-dimensional elastic fiber soft tissue modeling exhibit higher accuracy than those obtained with ANSYS. Ma et al. [27] proposed three-dimensional Rational Absolute Nodal Coordinate Formulation (RANCF) fluid elements based on cubic rational Bezier volumes, and the simulation results aligned with the existing literature, confirming the accuracy and feasibility of this method. The advancement of the ANCF method has laid a solid foundation for its application in fields such as marine engineering. For example, Zhang et al. [28] demonstrated the effectiveness of the ANCF method in determining the static and dynamic characteristics of large deformation flexible deepwater structures by analyzing rigid lazy-wave catenary risers. Htun et al. [29] conducted a comprehensive Absolute Nodal Coordinate Formulation (ANCF) coupled analysis of ROVs. Zhang et al. [30] combined traditional and adaptive ANCF methods to introduce an enhanced Adaptive Absolute Nodal Coordinate Formulation (AANCF). Sheng et al. [31] concentrated on the dynamic response of elastic slender structures under significant axial stretching and extensive deformation. Through simulations based on existing experimental data, they demonstrated that their ANCF model could offer precise and dependable predictions for the response of line structures under extensive deformation. Htun et al. [32] further utilized the ANCF method to intricately model ROV umbilical cables with radially multilayered circular sections, validating the proposed cable element model through comprehensive numerical studies and experiments. Liu et al. [33] integrated the ANCF with arbitrary Lagrangian–Eulerian descriptions to develop a dynamic model of the J-lay pipeline deployment process, uncovering the dynamic characteristics of the pipeline during deployment and its correlation with laying responses. They discovered that this method markedly enhances accuracy and achieves convergence through static analysis.
Currently, the Absolute Nodal Coordinate Formulation (ANCF) serves as a pivotal computational tool for addressing issues related to flexible large deformation structures and is widely used in fields such as mechanical engineering, multi-body dynamics, and aerospace. However, the potential of the ANCF remains largely untapped in marine engineering, especially in underwater operations. Although the ANCF has been utilized to analyze flexible cables in marine environments, research on its application in pendant deployments remains scant. This study aims to employ the ANCF to investigate the nonlinear time-domain dynamic coupling processes in the Pendant Installation Method (PIM) theory. This study specifically includes the following sections. Section 2 primarily introduces the ANCF theory and the numerical solution of the kinematic equations, and thoroughly discusses the mechanical concepts and relationships used in model development, including elastic internal forces and external loading forces. Section 3 validates the applicability of the ANCF model in large deformation scenarios and presents key application cases. In Section 4, the response of the PIM model in a deep-sea environment at a depth of 1700 m is simulated using the catenary method, and the results are compared with those obtained from the ANCF method. Subsequently, the sensitivity factors affecting system performance during the deployment phase are analyzed based on the proposed theoretical model. Section 5 provides a summary and discussion of the research findings.

2. Numerical Modeling of Ropes and Large Floating Structures Based on the ANCF

This section introduces the numerical modeling and computational methods of ANCF flexible cables. During the modeling process, consideration is given solely to the tension and bending of dynamic flexible cables in ANCF elements, while minor influences such as torsion, shear, and coupled bending deformations are omitted to further enhance the applicability and accuracy of the proposed method. The elastic internal forces, external forces, stiffness matrices, and mass matrices are derived according to the variation principle. A direct time-domain integration scheme is employed to address the initial value dynamic cable problem of the ANCF. An implicit generalized-α method, noted for its ideal numerical stability, is adapted and developed for numerical calculations. Finally, details on the numerical modeling and computational procedures are outlined.

2.1. The Coordinate and Parameter Description of Cable Elements

The ANCF method has been employed in multibody dynamics for the past twenty years. This method imposes no restrictions on deformation or rotation, rendering it suitable for both linear and nonlinear problems. Generally, it is particularly suitable for large deformation and rotation problems and can precisely describe the position of rigid body motion with finite rotations [34]. As shown in Figure 2, the global position vector r of any point p on the neutral axis of a two-dimensional beam element is defined based on the nodal coordinates and element shape functions.
r = r 1 r 2 = N q
where N represents the global shape function with complete rigid body modes, forming a 2 × 8 matrix capable of describing arbitrary translations and rotations of rigid bodies; q is the vector of nodal coordinates of the element
q = e 1 e 2 e 3 e 4 e 5 e 6 e 7 e 8 T
where the superscript T indicates the transpose of the vector or matrix. Including global displacements and the global slopes of the element nodes, this is defined as
e 1 = r 1 | x = 0 ,   e 2 = r 2 | x = 0 ,   e 5 = r 1 | x = l 0 ,   e 6 = r 2 | x = l 0
e 3 = r 1 x | x = 0 ,   e 4 = r 2 x | x = 0 ,   e 7 = r 1 x | x = l 0 ,   e 8 = r 2 x | x = l 0
where x denotes the coordinate of any point on the undeformed beam element; l 0 represents the original length of the beam element ( x = 0 at node one and x = l 0 at node two, as illustrated in Figure 2); and x = 0 ,   l 0 . This method eliminates weak influence terms in the dynamic model of flexible beams, thereby reducing the absolute number of coordinates for the elements and enhancing computational efficiency. One-dimensional Hermite interpolation is employed for the interpolation of ANCF elements, effectively describing the two components of displacement. Therefore, the global shape function N can be expressed as
N = n 1 Ι n 2 Ι n 3 Ι n 4 Ι
n 1 = 1 3 ξ 2 + 2 ξ 3   ,   n 3 = l 0 ( ξ 2 ξ 2 + ξ 3 ) n 2 = 3 ξ 2 2 ξ 3   ,   n 4 = l 0 ( ξ 2 + ξ 3 )
where I is the 2 × 2 identity matrix; and ξ = x / l 0 ,   ξ 0 , 1 is a mapping of local coordinates along the arc length of the element. The interpolation functions can be represented by x , as depicted in Equations (6) and (7), utilizing prime notation in the upper right corner to perform interpolation during strain.
N = N x = n 1 Ι n 2 Ι n 3 Ι n 4 Ι
N = 2 N x 2 = n 1 Ι n 2 Ι n 3 Ι n 4 Ι
To obtain the absolute coordinates r p for any point p in element A, when ξ P is known, we have
r p = N | ξ = ξ P q A
Additionally, the first and second derivatives of the absolute coordinates r p can be derived from the interpolation function N by the following equations:
r p = r p x = N | ξ = ξ p q A x = N | ξ = ξ p q A
r p = 2 r p x 2 = 2 N | ξ = ξ p q A x 2 = N | ξ = ξ p q A
Calculating the strain and curvature at any point within a flexible structure necessitates the prior determination of the first and second derivatives at that point, as outlined in Equations (9) and (10). To ascertain the internal forces, stiffness, external forces, and mass matrix, it is essential to apply the variation principle and virtual work principle.

2.2. Elastic Internal Forces and Stiffness Matrix

In the static and dynamic analysis of flexible bodies, the stiffness matrix plays a crucial role. Furthermore, deriving elemental elastic forces is a prerequisite for obtaining the elemental stiffness matrix. For flexible body elements, strain energy is regarded as the sum of axial strain energy U E and bending strain energy U Q . Assuming material isotropy, the total strain energy can be obtained by integrating these corresponding strain energies as follows:
U = U E + U Q = 1 2 0 l 0 E A ε 2 + E I κ 2 d x
where E represents the Young’s modulus, A and I , respectively, denote the cross-sectional area and moment of inertia of the structure, ε represents only the axial Green strain, and κ represents the curvature to be integrated to the local coordinate x in the element. According to continuum mechanics, the Green strain tensor stipulates that the Green strain at any point can be expressed by Equation (12) [35]:
ε = 1 2 J T J I
where J is the Jacobian matrix of the displacement gradient vector. Here, expressed using the Frechet derivative with respect to both global absolute coordinates and local coordinates, the expression can be represented in the form of a Jacobian matrix as follows.
J = r x = r 1 x 1 r 1 x 2 r 2 x 1 r 2 x 2
However, when considering deformation solely along the length direction of the beam, the Green strain tensor has only one component, which is ε 11 . The axial strain at any point p can be represented by the following formula.
ε 11 p = 1 2 r p x 1 T r p x 1 1
In Figure 3, the first-order derivative of interpolation function N with respect to absolute coordinate r p represents the tangent vector, which is used for calculating axial strain; the second-order derivative of interpolation function N with respect to absolute coordinate r p represents the normal vector, which is used for calculating curvature. The axial strain and curvature of the highly deflected beam are represented as follows.
ε = 1 2 r p x 1 T r p x 1 1 = 1 2 q T N T N q 1
κ = r × r r 3
However, the denominator in Equation (16) is typically set to 1 because the curvature is approximated as the second spatial derivative of the beam lateral deflection [36]. For two-dimensional problems, Equation (16) can be expressed as follows:
κ = r T I ˜ r r T r 3 / 2 = r T I ˜ r f 3
where I ˜ = 0 1 1 0 . In the special case of minor longitudinal deformation, the expression for curvature simplifies. This occurs only when f 3 1 , representing the second derivative of curvature, is derived from the approximate value of curvature.
κ d 2 r d x 2 = r
It is important to note that this formula applies solely to the case of minor longitudinal deformations and does not make assumptions about lateral deformations.
According to the principle of virtual work, the formula for the axial force induced by changes in axial strain energy is as follows:
δ U E = U E q δ q = 1 2 0 l 0 E A ε 2 q d x δ q = E A 0 l 0 ε ε q d x δ q = F int E T δ q
where F int E represents the axial force in the element. The axial tangent stiffness matrix K tan E is determined according to the principle of virtual work through derivation with respect to F int E .
δ F int E = F int E q T δ q = E A 0 l 0 q T ε ε q d x δ q = E A 0 l 0 ε q T ε q + ε 2 ε q T q d x δ q = K tan E δ q
Similarly, the bending force F int Q , caused by the change in bending strain energy, along with the corresponding bending tangent stiffness matrix K tan Q , can be derived.
F int Q = E I 0 l 0 κ κ q T d x
K tan Q = E I 0 l 0 κ q T κ q + κ 2 κ q T q d x
Here, the elastic forces and stiffness matrices for each element are obtained. The elastic internal forces and stiffness matrices for the elements are presented as follows.
F int = F E + F Q = e F T e + F Q e
K tan = K E + K Q = e K T e + K Q e

2.2.1. Axial Force

From Equation (15), it is evident that the first and second derivatives of axial strain are given as in [37].
ε q = q T N T N
2 ε q T q = N T N
Based on the variation principle, incorporating axial strain and its derivation process into Equations (19) and (20), and by combining the first and second partial derivatives, the axial force F T e and tangent stiffness matrix K T e of an element can be obtained.
F T e = E A 0 l 0 ε ε q T d x = 1 2 E A l 0 0 1 q T N T N q 1 N T N q d ξ
K T e = E A 0 l 0 ε q T ε q + ε 2 ε q T q d x = E A l 0 0 1 1 2 N T N q T N T N q 1 + N T N q q T N T N d ξ

2.2.2. Bending Force

The first derivative of curvature can be derived by substituting Equations (9) and (10) into Equation (16).
κ q = r 3 r × r T r × r r ˜ N r ˜ N 3 r r × r q T N T N r 6 = r × r T κ r 6 r ˜ N r ˜ N 3 κ r 2 q T N T N
The bending force of the ANCF flexible beam element can be derived from Equation (21) as follows:
F Q e = E I 0 l 0 κ κ q T d x = E I l 0 0 1 r × r T r 6 r ˜ N r ˜ N 3 κ 2 r 2 q T N T N d ξ
where an antisymmetric matrix is used for cross product operations. For the bending force induced by the tangent stiffness matrix, the second derivative of curvature is specified in Equation (18). This approximation significantly reduces the computational costs associated with the second derivative of curvature and the tangent stiffness matrix [38].
2 κ q T q r q T q = N T I r r r T r 3 N
Similarly, the tangent stiffness matrix K Q e for the bending force can be obtained based on Equations (22), (29), and (31).
K Q e = E I 0 l 0 κ q T κ q + κ 2 κ q T q d x E I l 0 0 1 κ q T κ q + κ 2 κ q T q d ξ
Due to the nonlinearity of the force and tangent stiffness matrix of the ANCF element, the Gauss–Legendre integration method is required to solve the integrations in the stretch and curvature terms of the stiffness matrix. The accuracy requirements are typically met by using five Gauss points:
1 1 f ζ d ζ i = 1 n w i f ζ i
where ζ is the orthogonal node; f ζ is the function containing the integration point ζ ; and w i is the weighting coefficient. There is a linear mapping relationship between ζ and ξ , allowing the coefficient corresponding to ξ to be directly utilized for Gauss–Legendre integration, and enabling integral transformation.

2.3. Mass Matrix and External Load Matrix

2.3.1. Mass Matrix

Deformation in flexible structures is often complex, and coordinate transformations undeniably lead to a significant computational workload. In the ANCF method, the mass matrix for cable elements does not involve coordinate transformations, resulting in a constant matrix composition [39]. Consequently, the constant mass matrix in the ANCF method significantly enhances computational efficiency. Differentiating Equation (1) with respect to time yields the absolute velocity vector while integrating the element’s kinetic energy over its volume allows expression in quadratic form:
T e = 1 2 V ρ r ˙ T r ˙ d V = 1 2 V ρ q ˙ T N T N q ˙ d V = 1 2 q ˙ T V ρ N T N d V q ˙ = 1 2 q ˙ T M j q ˙
where ρ and V are the structural density and volume of the cable element, respectively, and M is the constant mass matrix defined in the global inertial frame. Coriolis and centrifugal forces are considered zero in the equations of motion. Here, the mass matrix remains constant, with its derivation based on the variation principle and interpolation functions:
M = V ρ N T N d V = 0 l 0 ρ l N T N d x = ρ l l 0 + C a ρ w V M a
M a = 0 1 N T N d ξ = 13 35 I 11 210 l 0 I 1 105 l 0 2 I s y m m e t r i c 9 70 I 13 420 l 0 I 13 15 I 13 420 l 0 I 1 140 l 0 2 I 11 210 l 0 I 1 105 l 0 2 I
where ρ l is the mass per unit length of the cable; C a is an additional mass coefficient; ρ w is the mass density of the fluid; and M a is an invariant of the mass matrix, which has a dimension of 8 × 8. This matrix M also includes the additional mass defined in the Morison equation, which will be discussed below.

2.3.2. Gravity and Buoyancy

The work performed by external forces can be represented as the product of external forces acting on a point on the cable and the corresponding displacement along global coordinates. The equivalent external force vector F U at any point in the element can be derived based on the variation principle and through the integration of interpolation functions:
F U = W p q T = q T 0 l 0 u x T f d x = q T u e T 0 l 0 N T f d x = 0 l 0 N T f d x
where W p represents the work performed by the equivalent external force, and u x and f represent the displacement per unit length and the external force received at the local coordinate x , both of which are functions of the local coordinate x . From Equation (36), the gravity and buoyancy acting on the ANCF element can be obtained as follows:
F W = 0 l 0 N T ρ g d x = p l l 0 1 4 π ρ w D 2 l 0 N a g
N a = 0 1 N T d ξ = 1 2 0 1 12 0 1 2 0 1 12 0 0 1 2 0 1 12 0 1 2 0 1 12 T
where g = 0 9.807 T is the gravitational acceleration vector, and D is the outer diameter of the cable.

2.3.3. Morison Equation

Hydrodynamic forces are evaluated at each Gauss quadrature point and then mapped onto the nodes using shape functions; Equation (36) derives the expression for hydrodynamic forces as Expression F e l :
F e l = 0 l 0 N T f d x = 0 l 0 N T F p d x
where F p represents the hydrodynamic forces at point p on the cable structure. Gauss–Legendre integration is utilized for the numerical computation of the nonlinear integration of fluid resistance:
F e l = 0 1 l 0 N T ξ F p ξ d ξ = 1 1 l 0 2 N T 1 + ξ 2 F p 1 + ξ 2 d 1 + ξ 2 = 1 1 l 0 2 N T ζ i F p ζ i d ζ i
where ζ i is the orthogonal node and also a Gauss integration point. The Gauss integration function is f ζ = l 0 2 N T F p ζ .
To calculate the fluid dynamics acting on the inclined cable segment, the orientation of the cable axis relative to the fluid must be considered. r ˙ and r ¨ , respectively, represent the absolute velocity vector and absolute acceleration vector of the point in the global coordinate system, being the first and second differentials with respect to time. The acceleration a w and velocity v w of water are decomposed into tangential and normal components relative to the cable axis, as illustrated in Figure 4. According to the Morison equation [40], the hydrodynamics F p at point p on a rope structure can be decomposed into drag F d , inertial force F i , and added mass force F a . Therefore, the hydrodynamics experienced at point p on the rope structure can be written as follows.
F p = F d + F i + F a
The terms of the Morison equation are decomposed and aligned along the tangential τ and normal n directions. Given that the cable structure is characterized as a slender member, the influence of tangential fluid forces on the structure is negligible and typically ignored. There is C a τ = 0 ,   C a = C a n C d τ = 0 ,   C d = C d n . Consequently, the total hydrodynamics can be re-expressed using the Morison equation as follows:
F p = F d + F i + F a = F d n + F i n + F a n = 1 2 ρ w C d n A w v w n r ˙ n v w n r ˙ n + ρ w V w v ˙ w n + ρ w C a n V w v ˙ w n r ¨ n
where C a and C d represent the added mass coefficient and drag coefficient, respectively; ρ w represents the fluid density; and V w and A w represent the main volume and area perpendicular to the direction of water flow. Additionally, it is essential to clarify the direction of point p on the cable, which is modeled as a cylinder, represented by the unit tangent vector τ p = r p r p = r x = p x r x = p x = N q N q , which is the derivative of the finite element interpolation function with respect to the local coordinate x . The tangential projection matrix T p and normal projection matrix L p at point p can be defined by τ p .
T p = τ p τ p T ,   L p = I τ p τ p T = I T p
In numerical computations, only the normal components of the fluid velocity and acceleration that act on the cable are considered. Hydrodynamics at a point on the cable structure can be calculated as follows.
F p = ρ w V w v ˙ w n + ρ w C a n V w v ˙ w n r ¨ n + 1 2 ρ w C d n A w v w n r ˙ v w n r ˙ = ρ w V w C a + 1 v ˙ w C a r ¨ C a T p v ˙ w r ¨ + 1 2 ρ w C d A w L p v w r ˙ L p v w r ˙
The crossed-out diagonal term ρ w C a V w r ¨ in Equation (43) is neglected. It is considered to be an additional mass term in the mass matrix (35) in order to reduce nonlinearity in dynamic analysis. In finite element analysis, this equation can be represented in local coordinates as follows:
F p = ρ w V w C a + 1 v ˙ w C a T p v ˙ w r ¨ + 1 2 ρ w C d A w L p v w r ˙ L p v w r ˙ = ρ w V w C a + 1 v ˙ w ρ w V w C a v ˙ w + 1 2 ρ w C d w A w v w + ρ w V w C a T p N q ¨ 1 2 ρ w C d w A w L p N q ˙
where w = L p v w r ˙ represents the relative velocity of the fluid relative to the cable.

2.4. Element Assembly

To clearly delineate the relationship between the structure and its elements, consider the assembly of the stiffness matrix as an illustrative example. The stiffness matrix of each element is subdivided into four quadrants, each a 4 × 4 matrix, denoted as K n = K 11 n K 12 n K 21 n K 22 n . Consequently, the global stiffness matrix can be articulated as follows.
K = K 11 1 K 12 1 0 0 0 0 0 0 K 21 1 K 22 1 + K 11 2 K 12 2 0 0 K 21 2 K 22 2 + K 11 3 K 12 3 0 K 21 3 0 0 0 0 K 12 n 2 0 K 21 n 2 K 22 n 2 + K 11 n 1 K 12 n 1 0 0 K 21 n 1 K 22 n 1 + K 11 n K 12 n 0 0 0 0 0 0 K 21 n K 22 n
Since there are n + 1 nodes, the assembled total stiffness matrix becomes a square matrix denoted by 4 n + 4 × 4 n + 4 . The assembly of other matrices is conducted following a similar procedure. Through the further derivation and finite element assembly of the element stiffness matrix, mass matrix, and external load matrix, the assembled matrices are substituted into the motion equation to form a complete equilibrium equation.
Due to the considerably smaller dimensions of the floating structure relative to the slender cable structure during deep-sea operations, the model is simplified, computational efficiency is enhanced, and the dynamic variations of the cables are highlighted by considering the connection method as hinged, which restricts only translational movements and not torsional rotations. With the floating structure being constrained at the end of the cable, it is sufficient to add the mass of the floating structure to the mass matrix and apply algebraic constraint equations to finalize the modeling of dynamics.

2.5. Equilibrium Equation

A general multibody system comprises a series of rigid and flexible bodies subject to motion constraints and forces. Given that the initial end of the cable is treated as a constrained fixed point and the floating structure is suspended at this end, the Lagrange multiplier formula is employed to define generalized constraint forces [41]. The kinematic constraints among various components of the multibody system are expressed in vector form, indicated by Φ q , t = 0 . Φ represents the vector of linearly independent constraint equations. This numerical formulation enables constraints between rigid and flexible bodies, modeled using the Absolute Nodal Coordinate Formulation [42]. Taking the second derivative of Φ q , t = 0 with respect to time produces Φ q q ˙ = Φ t , and there is the following:
Φ q q ¨ = Φ t t Φ q q ˙ q q ˙ 2 Φ q t q ˙
where Φ t represents the partial derivative of the constraint vector with respect to time.
Q c = Φ t t Φ q q ˙ q q ˙ 2 Φ q t q ˙
Subsequently, forces are applied to each constrained node to satisfy the equilibrium equation in the specified form:
M Φ q T Φ q 0 q ¨ λ = Q int + Q e x t Q c
where M = M j + M k is the global assembly of the total mass matrix of the cable and floating structure; q is the vector of generalized coordinates containing different sets of absolute coordinates; Φ q q , t = 0 is the Jacobian matrix associated with the constraint equation vector Φ related to the generalized coordinates; and λ is the vector of Lagrange multipliers. This equation can be utilized to solve for the acceleration vector q ¨ and the Lagrange multipliers λ . With a given set of initial conditions, integrating the acceleration vector yields the velocity and position.

2.6. Numerical Solution of the Equation of Motion

According to linear structural dynamics, internal forces vary with structural deformation, while external forces remain constant. The variation in internal forces is linearly related to structural coordinates and is calculated using the tangent stiffness matrix. In each iteration, internal forces and tangent stiffness matrices for subsequent time steps must be computed separately. Therefore, during the analysis process, the residual of each iteration step is crucial for evaluating convergence, numerical computation accuracy, and robustness. The expression for the residual is provided by the following equation:
r s t = F W + F e l t F E + F Q t M q ¨ t r s t + Δ t = F W + F e l t + Δ t F E + F Q t + Δ t M q ¨ t + Δ t r s t o l
where r s represents the residual and t o l is the residual tolerance. The iteration convergence criterion of the program is established by the displacement-based method, which is predicated on the condition that the variation in node positions falls below the permissible limit, implying that the convergence of the residual at time t + Δ t must be satisfied by the residual at time t .
Due to the nonlinear variations in structural internal forces, the dynamic time-domain analysis of the equilibrium equations of ANCF flexible cables is necessitated. This paper utilizes the generalized-α method [43] for time-domain analysis, which exhibits second-order accuracy, unconditional stability, and optimal numerical dissipation performance, rendering it highly suitable for time-domain analysis of nonlinear systems.
The generalized-α integration scheme is a highly effective and robust integration method in structural dynamics finite element analysis, which utilizes the kinematic response u t , u ˙ t , u ¨ t at time t and the displacement increment Δ u t t + Δ t at time Δ t to derive the dynamic response at the subsequent time step t + Δ t . The depiction of its solution process is outlined as follows.
u t + Δ t = Δ u t t + Δ t + u t u ˙ t + Δ t = γ β Δ t Δ u t t + Δ t γ β 1 u ˙ t γ 2 β 1 Δ t u ¨ t u ¨ t + Δ t = 1 β Δ t 2 Δ u t t + Δ t 1 β Δ t u ˙ t 1 2 β 1 u ¨ t
In the time-domain analysis process utilizing the generalized-α method, the dynamic calculations for time steps t to t + Δ t must satisfy the convergence of the residual at time τ (Equation (49)). In each time step’s Newton–Raphson iteration process, the calculation of the residual during the i - t h iteration is as follows:
r s t + 1 α Δ t i = α r s t + 1 α r s t + Δ t i α r s t = α f F e x t t F int t α m M u ¨ t 1 α r s t + Δ t i = 1 α f F e x t t + Δ t i F int t + Δ t i 1 α m M u ¨ t + Δ t i
where α is the introduced parameter. Once the displacement increment Δ u t t + Δ t i at time Δ t is obtained, the displacement, velocity, and acceleration at the next time step can be derived through Equation (50). If convergence fails, in the subsequent iteration i + 1 , the theory from Section 2.2 is applied to derive the elastic force and tangent stiffness matrix. At this point, the displacement increment can be represented as follows.
K τ t i δ u t t + Δ t i = r s t + 1 α Δ t i K τ t i = 1 α f K tan t i + 1 α m β Δ t 2 M
The displacement increment from time step t to time step t + Δ t under iteration step i + 1 can be expressed as follows.
Δ u t t + Δ t i + 1 = Δ u t t + Δ t i + δ u t t + Δ t i
Then, by substituting Δ u t t + Δ t i + 1 into Equation (50), the dynamic response at time step t + Δ t can be computed as u t , u ˙ t , u ¨ t .

3. Model Validation

To ascertain the accuracy and stability of the model developed in this study, this paper employs a simplified model for comparative analysis against an authoritative benchmark. In the subsequent section, comparative analysis will be performed on the PIM systems developed based on the model introduced in this paper and the catenary model to further substantiate the model’s effectiveness.

3.1. Experimental Study of Large Geometric Nonlinear Deformation of Flexible Beams

The numerical examples in this section will explore the static behavior of beams. The example illustrates the highly nonlinear behavior displayed by a cantilever beam when subjected to end loading. Through this deformation example, the effects of material model settings and stress assumption conditions are demonstrated. Assuming the beam remains in the linear elastic stage, its parameters are detailed in Table 1, and the structure of the cantilever beam is depicted in Figure 5.
During deformation, the centerline of the cantilever beam undergoes a rotation, akin to assumptions made in mechanical analysis. Therefore, the longitudinal position vector gradient is designated as a free variable. In addition to the associated slope, both the translational nodal displacements and the slope vectors at the beam’s constrained ends are restricted. Consequently, the slope of the centerline assumes a non-zero angle with the horizontal direction, aligning with the Timoshenko beam theory.
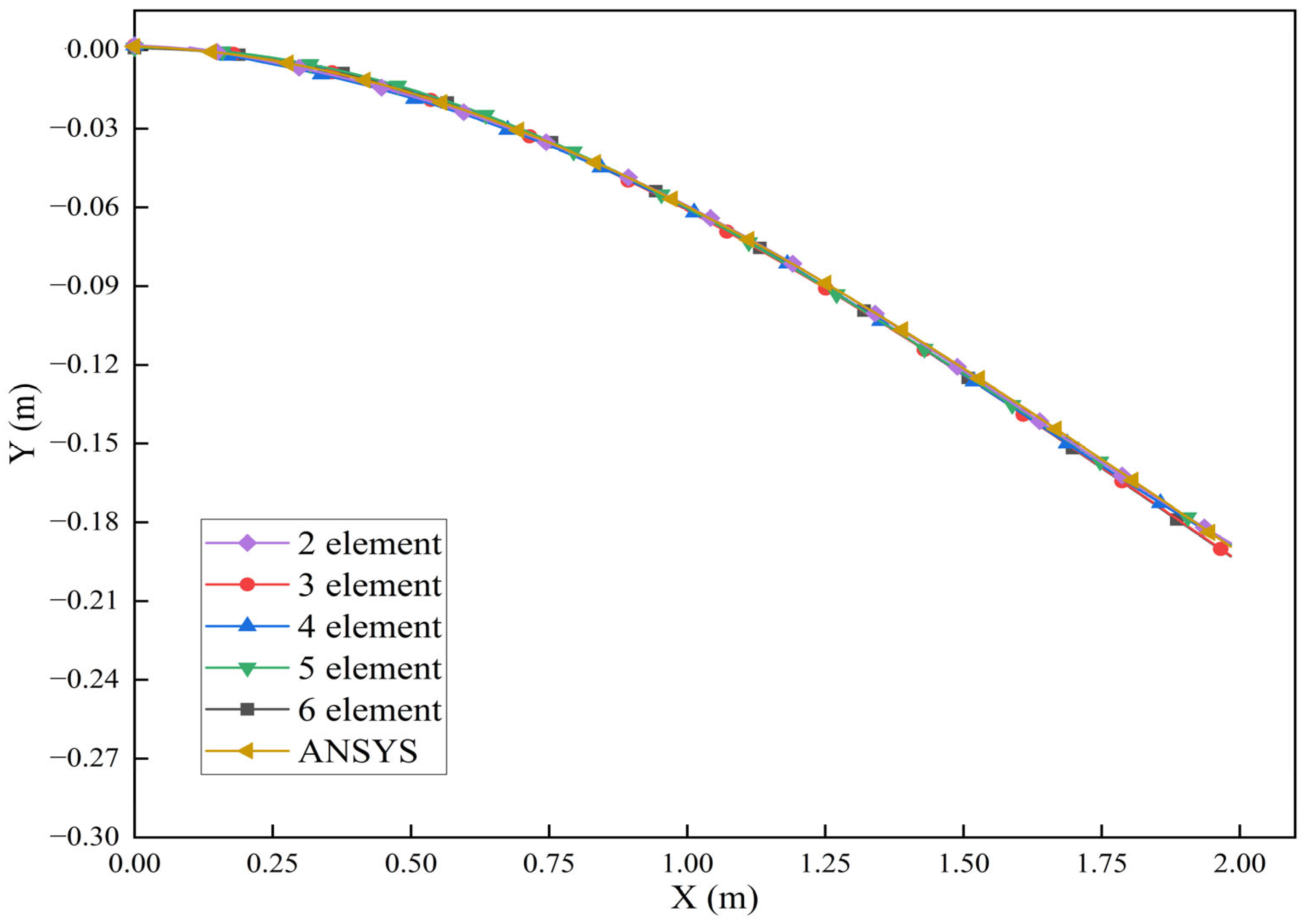
Particular attention was devoted to the influence of shear effects in displacement analysis. For short and slender beams, the end load was configured at F = 1 × 10 6 h 3 (Unit: N), and the obtained displacement results were subsequently compared with those from the analysis conducted under the same conditions using ANSYS software (2024 R1). In ANSYS, the model utilized the Beam188 element type. The deformation of the beam is depicted in Figure 6, and the analysis results in Table 2 detail the end positions of the beam using different numbers of elements.
Table 2 demonstrates that the deformation of the cantilever beam under the action of end loading using ANCF elements closely aligns with the deformation calculated by ANSYS, with the error in deformation angles remaining within a very small range. This result suggests that the model proposed in this paper provides reasonable and accurate elastic deformation when subjected to predetermined stresses. Furthermore, comparisons of the results of cantilever beams with different numbers of elements to analytical data reveal that all models exhibit convergent behavior. This further underscores the reliability of this method.
For long and slender beams, a slenderness ratio of S L is used to describe the significance of shear deformation in the beam. In this example, the end load of the beam is set to F = 1 × 10 4 h 3 (Unit: N), the initial length is adjusted to 20 m, and the slenderness ratio is S L = 500 , while other conditions remain unchanged. As shown in Table 3, the deformations predicted by the ANCF elements appear to be slightly larger than those obtained using ANSYS.

3.2. Dynamic Validation of the Free Oscillation of Flexible Beams

The example analyzed in this section depicts the free fall of a flexible pendulum under its own weight. The two-dimensional beam diagram can be seen in Figure 7. The beam, hinged on the left side to allow free rotation, has its parameters detailed in Table 4 below. The beam’s initial position is horizontal with zero initial velocity, and it undergoes free falling under the influence of gravity. Omar et al. [44] employed 6 and 12 elements for calculation, respectively, lending significant authority to the study. To ensure comparability, this paper employs a consistent number of 6 elements for calculation, with a computation time of 1.1 s, a time step of 10−4 s, and a convergence error threshold set at 10−7.
Figure 8 depicts the vertical displacement of the right endpoint as calculated by Omar and Shabana’s model, the Euler–Bernoulli [35] beam model, and the ANCF beam model as proposed in this paper. From the results in Figure 8, good consistency is observed among the three models, demonstrating the correctness of the ANCF modeling method.
In order to further validate the numerical stability of this method and simulate the large deformation characteristics of the beam, the gravitational acceleration g is increased to 50 m/s2, while the other parameters remain constant, and each moment is meticulously recorded.
Figure 9 depicts the swinging trajectory of the beam simulated by six ANCF elements. Under the extreme condition of increasing the gravitational constant to 50 m/s2, higher acceleration values and a relatively higher mass contribute to greater inertia forces, resulting in larger deformations and higher angular velocities. The flexible beam begins swinging freely from the right end to the top position on the left side, then swings back, with the beam end curling due to inertia, which is consistent with general patterns. The computational results align with those of Hung et al. [45] and others, demonstrating the accuracy and robustness of this model in the dynamic analysis of large deformation structures.

4. Dynamic Analysis of the PIM System

The internal algorithm of the ANCF investigated in this study was developed using MATLAB (2024a). To further validate the effectiveness of the model, a simulation of the deployment process of a large floating structure at a water depth of 1700 m was conducted. The model depicts a work vessel moored at the sea surface on the left end, with a towing cable extending from it, and a floating structure attached to the cable’s end. The cable’s characteristics, including flexibility and highly nonlinear behavior, were incorporated as established by the models developed in earlier sections, primarily simulating the free deployment process of the large floating structure. Additionally, simulations conducted with ADAMS software (v.31.1.0), based on catenary theory, were performed under the same conditions, and the results were then compared with those of the ANCF model.
In practical applications of the multibody dynamics simulation, especially those involving flexible objects such as cables, ADAMS does not offer a direct modeling method and can only perform approximate simulations using existing modules and constraints. After a thorough comparison of the advantages and disadvantages of different modeling methods for flexible bodies in this software, this paper adopts the approach of adding bushing motion pairs between each small cylindrical segment to simulate cables based on the catenary theory, thereby enhancing the practicality and accuracy of the model simulation [46].
Additionally, the Euler–Lagrange method used by ADAMS belongs to the second type of model, yielding a set of differential algebraic equations for the multibody dynamics model obtained. Its built-in HHT solver is employed to solve the equations, similar to the solution method used in this paper. Therefore, the results of the two models can be effectively compared and analyzed.

4.1. Motion Response of the PIM

The deployment process is depicted in Figure 10, with the parameters of the cable and the floating structure detailed in Table 5 and Table 6. To analyze the dynamic characteristics of the suspension system, the cable is segmented into 30 elements using the ANCF method. Using the catenary method, the cable is segmented into 100 elements. Assuming the initial ocean current velocity is 0.1 m/s, with the direction along the x-axis oriented horizontally to the right, the variations of the coordinates x and y of the floating structure’s deployment position, and the axial force at the connection point between the cable and the structure are simulated and depicted in Figure 11.
The analysis of the free-fall stage concentrates on the overall response of the suspension system. Consequently, the detailed local responses of the payload during free fall are omitted. This limitation manifests in the simplification of coupled modeling, specifically, as follows. (1) Initially, the cable assumes an ideal fully stretched state before the suspension swings. (2) The influence of the workboat’s motion response on the multibody system is excluded. (3) Water flow is modeled as an ideal gradient from large to small. (4) The impacts of wind and waves are disregarded.
From Figure 11, the displacement of the structure as calculated by the ANCF method closely resembles that of the catenary method. The error in the displacement of the structure’s center of mass between the two methods amounts to only 8%. In the first 75 s, the vertical displacement rate of the structure in the ANCF model lags slightly behind that of the catenary model, and exceeds that of the catenary model between 75 and 95 s. Additionally, the structure reaches its lowest point for the first time at approximately 112 s, followed by a small amplitude asymmetric harmonic oscillation (the “oscillation zone”), and achieves stability at the lowest point at 350 s. In summary, the modeling method proposed in this paper proves to be feasible and stable, suitable for simulating the deployment process of structures.
The simulation of the deployment process illuminates the variation in tension at the connection point between the cable and the floating structure and compares this variation with the displacement of the floating structure (see Figure 12). The analysis indicates that, in the initial stage of deployment, the cable rapidly tightens, resulting in significant tension at the connection point. The tension predicted by the ANCF sharply increases to a peak within 10 s, followed by fluctuations within 100 s, culminating in a “resonance zone”. During this period, the system may encounter challenges from the dynamic amplification effect, leading to significant displacement and tension fluctuations in the equipment. Subsequently, the tension gradually stabilizes and reaches 1.355 × 108 N at 280 s. In contrast, the simulation results of the catenary method indicate that the tension slightly increases in the first few seconds, followed by a sharp drop and gradual growth, peaking at 1.537 × 108 N at 120 s, and then slowly decreasing to a level comparable to that of the ANCF.
Through comparative analysis, it is clear that the two modeling methods exhibit certain differences. The simulation results of the ANCF highlight the phenomenon of the “resonance zone”, a topic widely mentioned in the literature. In this study, as the fluctuation of the “resonance zone” did not significantly impact the stability of the peak, this phenomenon was not explored further. Additionally, unlike the ANCF, a unique peak phenomenon was noted in the results of the catenary, due to the limitations of ADAMS in simplifying hydrodynamics into concentrated forces. The model used in this paper aligns with existing research results [15,18]. Currently, commercial software has yet to achieve the perfect integration of kinematics and fluid dynamics. Therefore, compared to the catenary, the ANCF’s suspended deployment simulation exhibits its superiority, thereby confirming the advanced modeling capabilities of this model in addressing kinematics and fluid dynamics coupling issues.
From Figure 12, it is observed that, under the condition of lateral water flow, both models achieve a maximum horizontal velocity of 21 m/s and a consistent maximum vertical velocity of 32 m/s. The horizontal and vertical velocities of the ANCF are influenced to varying degrees within the “resonance zone”, exhibiting small fluctuations over a narrow range and maintaining a high degree of consistency during the initial seconds as well as post 75 s.
In conclusion, the modeling approach presented in this paper is feasible and can be used to simulate the suspended deployment process of large floating structures.

4.2. Sensitivity Analysis of the Boundary Conditions of System Parameters

The primary factors affecting the outcome of deploying large floating structures using a catenary method include water depth, as increased depth amplifies the impact of water pressure and buoyancy on the object. Additionally, sea conditions such as currents and waves can influence the descent path and velocity of the object. The weight and shape of the floating structure determine its motion characteristics in the water. Heavier or irregularly shaped objects may experience more complex dynamic behaviors. The flexibility, elasticity, and length of the cable directly affect the catenary deployment process of the object. Longer cables may bend or kink due to their own weight and the influence of water currents, affecting the accuracy of the deployment. Therefore, this study conducts a sensitivity analysis on these key factors.

4.2.1. Fluid Velocity

In this study, the fluid velocity ranged from 0.2 to 1.0 m/s, with other parameters remaining constant. Figure 13, respectively, illustrates the variations in tension at the connection point between the cable and the floating structure over time at different flow velocities, as well as the curves of the coordinates of the center of gravity of the floating structure on the x- and y-axes over time. Figure 13a illustrates the axial force at the connection point between the cable and the floating structure at different flow velocities. The results show that increasing flow velocity does not change the trend of the axial force. Specifically, the tension rapidly increases within the first 10 s, then enters the “resonance zone”, and finally gradually stabilizes. However, with the increasing flow velocity from 0.2 to 1.0 m/s, the axial force at the connection point exhibits a slow increasing trend and stabilizes at approximately 1.355 × 108 N after around 300 s.
Figure 13b depicts the horizontal displacement of the center of gravity of the structure. Overall, variations in flow velocity have minimal effect on the horizontal displacement of the structure’s center of gravity. An increase in flow velocity reduces structural oscillation only in the ‘oscillation zone’, enhancing stability.
Considering that this study addresses only the impact of ocean currents in the horizontal direction and presumes that the structure remains unaffected by vertical fluid flow, the displacement and velocity changes in the structure’s center of gravity in the vertical direction, as depicted in Figure 13c,d, are minimal. As flow velocity increases, the structure’s vertical displacement decreases by about 10 m, while vertical velocity remains nearly unchanged. Figure 13e depicts the changes in the horizontal velocity of the structure’s center of gravity. Figure 13f shows that increasing flow velocity decreases the structure’s maximum horizontal velocity. This occurs because the direction of the structure’s swing is opposite to that of the water flow, and the greater the flow velocity, the more resistance the structure encounters. This phenomenon is further illustrated at 140 s in Figure 13e, where there is a noticeable decrease in the magnitude of the “oscillation zone” following the structure’s swing to its lowest point. Therefore, this phenomenon greatly facilitates the swinging of the structure to the designated target area, thus aiding in the accurate positioning of the sinking point of underwater equipment.

4.2.2. Mass of Large Floating Structures

The mass of the deployed structure ranges from 550 to 900 tons, while other parameters are held constant. Figure 14 illustrates the time history of tension at the cable-structure connection point and the time history curves of the x- and y-axis coordinates of the structure’s center of gravity under varying structural mass conditions. Figure 14a shows a significant increase in the axial force at the cable–structure connection point as the structure mass increases. Despite the increase in axial force, the trend of its variation remains consistent with previous research findings. Specifically, when the structure mass increases from 550 to 750 tons, the increase in axial force within the “resonance zone” is modest, whereas in the subsequent rising stage, there is a stable growth. This suggests a linear relationship between the mass of the deployed structure and the tension at the connection point.
Figure 14a illustrates the horizontal displacement of the structure’s center of gravity, demonstrating that changes in structure mass exert minimal impact on horizontal displacement. Figure 14c and the zoomed-in version in Figure 14d depict the changes in the horizontal velocity of the structure’s center of gravity. With the increase in structure mass, the maximum horizontal velocity slightly increases, yet this increment does not significantly affect the “oscillation zone”. Figure 14b,e display the changes in the vertical displacement and vertical velocity of the structure’s center of gravity over time, indicating that these metrics remain unaffected by variations in structure mass.
Therefore, the variation in structure mass exerts a minor impact on the entire system, primarily evident in the linear trend in cable tension. This finding offers a crucial perspective for understanding the effects of varying structure masses on the dynamic response of the deployment system.

4.2.3. Total Length of the Cables

The total length of the cables varies from 1500 to 1900 m. Figure 15 illustrate the variations in tension at the cable–structure connection point and the changes in the center of gravity coordinates of the structure over time under various cable lengths. From Figure 15a, it is observed that changes in cable length result in a delayed response of axial force at the connection point during the resonance and rising stages. Horizontal displacement (Figure 15b) and vertical displacement (Figure 15c), influenced by different cable lengths, exhibit linear changes and maintain consistency during the stable stage of the model. Figure 15d displays the change in horizontal velocity of the center of gravity over time, indicating that increasing cable length does not affect the magnitude and trend of velocity, but delays the response time. Similar phenomena are noted in the vertical velocity–time curve shown in Figure 15e, particularly during the rising stage. It is evident that changes in cable length affect the tension, displacement, and velocity of the structure, resulting in delayed responses.
Adjusting the cable length significantly influences the dynamic characteristics of the cable system, particularly by enhancing the precision and stability during structure deployment. These findings offer vital insights for optimizing the design and operation of such systems.

5. Conclusions

This paper offers a comprehensive introduction to the Absolute Nodal Coordinate Formulation (ANCF) theory, designed to simulate the deployment process of large floating structures in marine environments through a suspension deployment method. Utilizing the internal algorithms of the ANCF theory, this study conducts a detailed analysis of the dynamic response of cables during their release process. The effectiveness and precision of the ANCF method were corroborated through scenarios including the free-falling flexible pendulum swing and thin cantilever beams subjected to concentrated loads. In both static and dynamic analyses, across all cases, this study demonstrated that the results obtained from the ANCF model are highly consistent with the existing literature and commercial software, highlighting its capability to simulate highly nonlinear behavior.
Furthermore, this paper utilizes simulations to evaluate the proposed ANCF model under actual suspension deployment conditions, capturing the coupled effects of cables and large floating structures while considering factors such as gravity, buoyancy, and hydrodynamics. By comparing the simulation results of the ANCF method with those of the catenary method using ADAMS software under identical conditions, the study revealed the following key findings. During the lowering process, significant differences were observed in the tension–time history at the connection points between the cables and the floating structures between the ANCF method and the catenary method. This underscores the differing capabilities of the two methods in addressing unique challenges in deepwater installations, such as dynamic issues in the resonance zone, the management of hydrodynamic effects, and dynamic amplification effects.
Finally, through an analysis of boundary stability in suspension deployment operations, this study examined in depth the influences of fluid velocity, floating structure weight, and total cable length on the lowering process. The research findings demonstrate the following: (1) Strong ocean currents enhance the stability of the floating structure’s oscillations, thereby facilitating the precise localization of the seabed equipment’s sinking point. (2) Variations in the mass of the floating structure exert limited effects on the system, with cable tension exhibiting only linear changes. (3) Changes in cable length impact the tension, displacement, and velocity of the floating structure, accompanied by a lagging response. The simulation approach employed in this study predicts the cable load capacity and trajectory of the floating structure under varied boundary conditions, offering a theoretical foundation for the next generation of deepwater deployment methods: the theory of suspension deployment.
Due to the focus of this study, the construction of this model has certain deficiencies and limitations. For example, the influence of the floating structure’s shape, the coupling relationship between rigid structures and flexible cables, and the stability control of the work vessel are not fully addressed. Future research will delve further into issues such as the coupled analysis of multibody systems, the interaction between flexible and rigid structures, the optimal initial state of cables, and the integration of workboats. Additionally, validating the accuracy of theoretical models via experimental testing is another promising direction.

Author Contributions

Conceptualization, Y.C.; Methodology, Y.C.; Software, Y.C.; Validation, Y.C. and X.L.; Formal analysis, Y.C.; Investigation, Y.C.; Resources, Y.C.; Data curation, Y.C.; Writing—original draft, Y.C.; Writing—review & editing, Y.C. and X.L.; Project administration, S.H. All authors have read and agreed to the published version of the manuscript.

Funding

This research received no external funding.

Institutional Review Board Statement

Not applicable.

Data Availability Statement

The data that support the findings of this study are available from the corresponding author [Y.C.] upon reasonable request.

Conflicts of Interest

The authors declare no conflicts of interest.

References

  1. Wang, Y.; Duan, M.; Liu, H.; Tian, R.; Peng, C. Advances in deepwater structure installation technologies. Underw. Technol. 2017, 34, 83–91. [Google Scholar] [CrossRef]
  2. Ha, S.; Ku, N.-K.; Roh, M.-I.; Hwang, H.-J. Multibody system dynamics simulator for process simulation of ships and offshore plants in shipyards. Adv. Eng. Softw. 2015, 85, 12–25. [Google Scholar] [CrossRef]
  3. Nam, B.W.; Kim, N.W.; Hong, S.Y. Experimental and numerical study on coupled motion responses of a floating crane vessel and a lifted subsea manifold in deep water. Int. J. Nav. Archit. Ocean Eng. 2017, 9, 552–567. [Google Scholar] [CrossRef]
  4. Ham, S.-H.; Roh, M.-I.; Kim, J.-S. Numerical analysis of wreck removal based on multibody system dynamics. J. Mar. Sci. Technol. 2018, 23, 521–535. [Google Scholar] [CrossRef]
  5. Al-Solihat, M.K.; Nahon, M. Stiffness of slack and taut moorings. Ships Offshore Struct. 2016, 11, 890–904. [Google Scholar] [CrossRef]
  6. Woodacre, J.K.; Bauer, R.J.; Irani, R.A. A review of vertical motion heave compensation systems. Ocean Eng. 2015, 104, 140–154. [Google Scholar] [CrossRef]
  7. Bai, Y.; Bai, Q. Chapter 22—Subsea connections and jumpers. In Subsea Engineering Handbook, 2nd ed.; Bai, Y., Bai, Q., Eds.; Gulf Professional Publishing: Boston, MA, USA, 2019; pp. 639–673. [Google Scholar]
  8. Nelson, R.; Soliah, J.; Caldwell, T.; Morrison, D.; Pritchard, J. Heave compensated landing system—A novel tool for subsea intervention. In Proceedings of the Offshore Technology Conference, Houston, TX, USA, 2–5 May 1997. [Google Scholar]
  9. de Gam Lima, J.M.T.; Kuppens, M.L.; Da Silveira, P.F.; Stock, P.F.K. Development of subsea facilities in the roncador field (P-52). In Proceedings of the Offshore Technology Conference, Houston, TX, USA, 5–8 May 2008. [Google Scholar]
  10. Ullah, N.; Duan, M.; Zheng, M.; Onuoha, M.D.U.; Sajid, M. Planar multibody dynamics of floating Y-method installation system and the lowering of subsea equipment based on finite element modeling. Mar. Struct. 2023, 88, 103361. [Google Scholar] [CrossRef]
  11. de Araújo Neto, E.D.; Jacovazzo, B.M.; Correa, F.N.; Jacob, B.P. Numerical evaluation of a subsea equipment installation method designed to avoid resonant responses. Appl. Ocean Res. 2019, 88, 288–305. [Google Scholar] [CrossRef]
  12. Wang, A.M.; Zhu, S.; Zhu, X.; Xu, J.; He, M.; Zhang, C. Pendulous installation method and its installation analysis for a deepwater manifold in south china sea. In Proceedings of the Twenty-Third International Offshore and Polar Engineering Conference, Anchorage, AK, USA, 30 June–5 July 2013. [Google Scholar]
  13. Hou, Z.; Sun, L.; Zhu, X. Numerical analysis of the pendulous installation method in deep water. In Proceedings of the ASME 2018 37th International Conference on Ocean, Offshore and Arctic Engineering, Madrid, Spain, 17–22 June 2018. [Google Scholar]
  14. Yao, L. Research on Deep-Water Underwater Installation and Decentralization Motion Analysis Technology. Master’s Thesis, Shanghai Jiao Tong University, Shanghai, China, 2011. [Google Scholar]
  15. Zhang, W. Numerical Simulation of a Sag Mounting Method Based on Many-Body Nonlinear Coupling Theory. Master’s Thesis, Tianjin University, Tianjin, China, 2014. [Google Scholar]
  16. Li, X.; Yu, J.X.; Zhou, Q.J.; Ma, W.L.; Yin, H.J. Numerical simulation of the installation of deepwater manifold through pendulous installation method. Chuan Bo Li Xue/J. Ship Mech. 2014, 18, 1072–1085. [Google Scholar]
  17. Fernandes, A.C.; Mirzaeisefat, S. Flow induced fluttering of a hinged vertical flat plate. Ocean Eng. 2015, 95, 134–142. [Google Scholar] [CrossRef]
  18. Madduma Hewage, T.D. Assessment and Numerical Simulation of the Pendulous Installation Method in Deepwater. Master’s Thesis, Norwegian University of Science and Technology, Trondheim, Norway, 2016. [Google Scholar]
  19. Zhao, M.; Ge, J.; Li, W.; Chen, G.; Li, X.; Zhang, S.; Yuan, C. Risk analysis of pendulum method decentralization of ultra-deepwater underwater separators. Sci. Technol. Work Saf. China 2015, 11, 151–157. [Google Scholar]
  20. Bai, Y.; Zhang, D.P.; Zhu, K.Q.; Zhang, T.Y. Dynamic analysis of umbilical cable under interference with riser. Ships Offshore Struct. 2018, 13, 809–821. [Google Scholar] [CrossRef]
  21. Moulton, D.E.; Lessinnes, T.; Goriely, A. Morphoelastic rods. Part I: A single growing elastic rod. J. Mech. Phys. Solids 2013, 61, 398–427. [Google Scholar] [CrossRef]
  22. Shabana, A.A. Definition of the slopes and the finite element absolute nodal coordinate formulation. Multibody Syst. Dyn. 1997, 1, 339–348. [Google Scholar] [CrossRef]
  23. Berzeri, M.; Campanelli, M.; Shabana, A.A. Definition of the elastic forces in the finite-element absolute nodal coordinate formulation and the floating frame of reference formulation. Multibody Syst. Dyn. 2001, 5, 21–54. [Google Scholar] [CrossRef]
  24. Sopanen, J.T.; Mikkola, A.M. Description of elastic forces in absolute nodal coordinate formulation. Nonlinear Dyn. 2003, 34, 53–74. [Google Scholar] [CrossRef]
  25. Shabana, A.A. Definition of ANCF finite elements. J. Comput. Nonlinear Dyn. 2015, 10, 054506. [Google Scholar] [CrossRef]
  26. Obrezkov, L.P.; Matikainen, M.K.; Harish, A.B. A finite element for soft tissue deformation based on the absolute nodal coordinate formulation. Acta Mech. 2020, 231, 1519–1538. [Google Scholar] [CrossRef]
  27. Ma, L.; Wei, C.; Ma, C.; Zhao, Y. Modeling andverification of a RANCF fluid element based on cubic rational bezier volume. J. Comput. Nonlinear Dyn. Comput. Nonlinear Dyn. 2020, 15, 041005. [Google Scholar] [CrossRef]
  28. Zhang, C.; Kang, Z.; Ma, G.; Xu, X. Mechanical modeling of deepwater flexible structures with large deformation based on absolute nodal coordinate formulation. J. Mar. Sci. Technol. 2019, 24, 1241–1255. [Google Scholar] [CrossRef]
  29. Htun, T.Z.; Suzuki, H.; García-Vallejo, D. On the theory and application of absolute coordinates-based multibody modelling of the rigid–flexible coupled dynamics of a deep-sea ROV-TMS (tether management system) integrated model. Ocean Eng. 2022, 258, 111748. [Google Scholar] [CrossRef]
  30. Zhang, Y.; Wei, C.; Zhao, Y.; Tan, C.; Liu, Y. Adaptive ANCF method and its application in planar flexible cables. Acta Mech. Sin. 2018, 34, 199–213. [Google Scholar] [CrossRef]
  31. Sheng, F.; Zhong, Z.; Wang, K.-H. Theory and model implementation for analyzing line structures subject to dynamic motions of large deformation and elongation using the absolute nodal coordinate formulation (ANCF) approach. Nonlinear Dyn. 2020, 101, 333–359. [Google Scholar] [CrossRef]
  32. Htun, T.Z.; Suzuki, H.; García-Vallejo, D. Dynamic modeling of a radially multilayered tether cable for a remotely-operated underwater vehicle (ROV) based on the absolute nodal coordinate formulation (ANCF). Mech. Mach. Theory 2020, 153, 103961. [Google Scholar] [CrossRef]
  33. Liu, D.; Ai, S.; Sun, L.; Guedes Soares, C. ALE-ANCF modeling of the lowering process of a J-lay pipeline coupled with dynamic positioning. Ocean Eng. 2023, 269, 113552. [Google Scholar] [CrossRef]
  34. Shabana, A.A.; Yakoub, R.Y. Three dimensional absolute nodal coordinate formulation for beam elements: Theory. J. Mech. Des. 2000, 123, 606–613. [Google Scholar] [CrossRef]
  35. Berzeri, M.; Shabana, A.A. Development of simple models for the elastic forces in the absolute nodal co-ordinate formulation. J. Sound Vib. 2000, 235, 539–565. [Google Scholar] [CrossRef]
  36. Mayo, J.; Dominguez, J.; Shabana, A.A. Geometrically nonlinear formulations of beams in flexible multibody dynamics. J. Vib. Acoust. 1995, 117, 501–509. [Google Scholar] [CrossRef]
  37. Li, B.; Wang, C. The absolute nodal coordinate formulation in the analysis of offshore floating operations Part I: Theory and modeling. Ocean Eng. 2023, 281, 114645. [Google Scholar] [CrossRef]
  38. Yakoub, R.Y.; Shabana, A.A. Three dimensional absolute bodal coordinate formulation for beam elements: Implementation and applications. J. Mech. Des. 2000, 123, 614–621. [Google Scholar] [CrossRef]
  39. Gerstmayr, J.; Shabana, A.A. Analysis of thin beams and cables using the absolute nodal co-ordinate formulation. Nonlinear Dyn. 2006, 45, 109–130. [Google Scholar] [CrossRef]
  40. Morison, J. The Force Distribution Exerted by Surface Waves on Piles; University of California, Institute of Engineering Research: Berkeley, CA, USA, 1953. [Google Scholar]
  41. Shabana, A.A. Analytical Techniques; Cambridge University Press: Cambridge, UK, 2013; pp. 83–156. [Google Scholar]
  42. Sugiyama, H.; Suda, Y. A curved beam element in the analysis of flexible multi-body systems using the absolute nodal coordinates. Proc. Inst. Mech. Eng. Part K J. Multi-Body Dyn. 2007, 221, 219–231. [Google Scholar] [CrossRef]
  43. Chung, J.; Hulbert, G.M. A time integration algorithm for structural dynamics with improved numerical dissipation: The generalized-α method. J. Appl. Mech. 1993, 60, 371–375. [Google Scholar] [CrossRef]
  44. Omar, M.A.; Shabana, A.A. A two-dimensional shear deformable beam for large rotation and deformation problems. J. Sound Vib. 2001, 243, 565–576. [Google Scholar] [CrossRef]
  45. Hung, L.Q.; Kang, Z.; Zhang, C.; Jie, L.-s. Numerical investigation on dynamics of the tendon system of a TLP by applying absolute nodal coordinate formulation. China Ocean Eng. 2021, 35, 384–397. [Google Scholar] [CrossRef]
  46. Li, H.; Yang, Z. Research on the modeling method of steel wire rope objects in Adams. Mach. Manag. Dev. 2007, S1, 4–5+7. [Google Scholar] [CrossRef]
Figure 1. Flowchart of cantilever deployment.
Figure 1. Flowchart of cantilever deployment.
Applsci 14 07427 g001
Figure 2. ANCF framework and coordinate system.
Figure 2. ANCF framework and coordinate system.
Applsci 14 07427 g002
Figure 3. Tangent and normal directions denoted by r and r .
Figure 3. Tangent and normal directions denoted by r and r .
Applsci 14 07427 g003
Figure 4. Diagram of vector direction decomposition.
Figure 4. Diagram of vector direction decomposition.
Applsci 14 07427 g004
Figure 5. Concentrated load acting on the cantilever beam.
Figure 5. Concentrated load acting on the cantilever beam.
Applsci 14 07427 g005
Figure 6. Deformation diagram of cantilever beam under end concentrated load.
Figure 6. Deformation diagram of cantilever beam under end concentrated load.
Applsci 14 07427 g006
Figure 7. Flexible free oscillation beam model.
Figure 7. Flexible free oscillation beam model.
Applsci 14 07427 g007
Figure 8. Time history diagram of vertical displacement of the free end.
Figure 8. Time history diagram of vertical displacement of the free end.
Applsci 14 07427 g008
Figure 9. Falling flexible pendulum at different time steps.
Figure 9. Falling flexible pendulum at different time steps.
Applsci 14 07427 g009
Figure 10. Model coordinate system.
Figure 10. Model coordinate system.
Applsci 14 07427 g010
Figure 11. (a) Time history diagram of axial force at the structural connection and horizontal displacement at the center of mass. (b) Vertical displacement at the structure’s center of mass.
Figure 11. (a) Time history diagram of axial force at the structural connection and horizontal displacement at the center of mass. (b) Vertical displacement at the structure’s center of mass.
Applsci 14 07427 g011
Figure 12. (a) Time history diagram of horizontal velocity at the structure’s center of mass. (b) Vertical velocity at the center of mass.
Figure 12. (a) Time history diagram of horizontal velocity at the structure’s center of mass. (b) Vertical velocity at the center of mass.
Applsci 14 07427 g012
Figure 13. (a) Time history diagram of axial force at the cable–structure connection under different flow velocities. (b) Horizontal displacement at the center of mass. (c) Vertical displacement at the center of mass. (d) Vertical velocity at the center of mass. (e) Horizontal velocity at the center of mass. (f) Enlarged time history diagram of horizontal velocity at the center of mass.
Figure 13. (a) Time history diagram of axial force at the cable–structure connection under different flow velocities. (b) Horizontal displacement at the center of mass. (c) Vertical displacement at the center of mass. (d) Vertical velocity at the center of mass. (e) Horizontal velocity at the center of mass. (f) Enlarged time history diagram of horizontal velocity at the center of mass.
Applsci 14 07427 g013
Figure 14. (a) Time history of axial force at the structural connection and horizontal displacement at the center of mass under different structural masses. (b) Vertical displacement at the center of mass. (c) Horizontal velocity at the center of mass. (d) Enlarged time history of horizontal velocity at the center of mass. (e) Vertical velocity at the center of mass.
Figure 14. (a) Time history of axial force at the structural connection and horizontal displacement at the center of mass under different structural masses. (b) Vertical displacement at the center of mass. (c) Horizontal velocity at the center of mass. (d) Enlarged time history of horizontal velocity at the center of mass. (e) Vertical velocity at the center of mass.
Applsci 14 07427 g014
Figure 15. (a) Time history of axial force at the connection between cable and structure under different total cable lengths. (b) Horizontal displacement at the center of mass. (c) Vertical displacement at the center of mass. (d) Horizontal velocity at the center of mass. (e) Vertical velocity at the center of mass.
Figure 15. (a) Time history of axial force at the connection between cable and structure under different total cable lengths. (b) Horizontal displacement at the center of mass. (c) Vertical displacement at the center of mass. (d) Horizontal velocity at the center of mass. (e) Vertical velocity at the center of mass.
Applsci 14 07427 g015
Table 1. Parameters of the beam with tip load.
Table 1. Parameters of the beam with tip load.
DefinitionNumericalUnit
Initial Length2.0m
Initial Width0.04m
Initial Height0.04m
Section Modulus5/6/
Second Moment of Area8.533 × 10−5m6
Mass Density5540kg/m3
Poisson’s Ratio0.3/
Young’s Modulus2.01 × 107Pa
Table 2. Deformation position of the short and slender cantilever beam, SL = 50.
Table 2. Deformation position of the short and slender cantilever beam, SL = 50.
Number of ElementsEnd Position and Deformation Angle
(m and rad)
End Position (x, y)Deformation Angle
21.989005−0.198323−0.099381
31.988033−0.198376−0.099456
41.987799−0.198350−0.099455
51.987796−0.198354−0.099456
61.987798−0.198369−0.099464
ANSYS1.987795−0.198361−0.099460
Table 3. Deformation position of the endpoint of the long and slender cantilever beam, SL = 500.
Table 3. Deformation position of the endpoint of the long and slender cantilever beam, SL = 500.
Number of ElementsEnd Position and Deformation Angle
(m and rad)
End Position (x, y)Deformation Angle
419.977927−1.983935−0.098982
1219.923734−1.965861−0.098351
1619.904153−1.959780−0.098145
ANSYS19.977936−1.957750−0.097684
Table 4. Parameters of the freely falling flexible pendulum.
Table 4. Parameters of the freely falling flexible pendulum.
DefinitionNumericalUnit
Initial Length1.2m
Cross-sectional Area0.0016m2
Second Moment of Inertia8.533 × 10−6m6
Mass Density5540kg/m3
Poisson’s Ratio0.3/
Young’s Modulus0.7 × 106Pa
Gravitational Acceleration9.81m/s2
Table 5. Parameters of the cable.
Table 5. Parameters of the cable.
DefinitionNumericalUnit
Axial Stiffness3.93 × 104kN
Bending Stiffness (EI)0.982kN·m2
Initial Length1700m
Outer Diameter0.05m
Inertia Coefficient (Ca)1.2/
Drag Coefficient (Cd)1.2/
Table 6. Parameters of the large floating structure.
Table 6. Parameters of the large floating structure.
DefinitionNumericalUnit
Top Diameter4m
Bottom Diameter5.5m
Height3.5m
Mass5.5 × 105t
Initial Coordinates [Xa, Ya, Za][1700, 0, 0]m
Disclaimer/Publisher’s Note: The statements, opinions and data contained in all publications are solely those of the individual author(s) and contributor(s) and not of MDPI and/or the editor(s). MDPI and/or the editor(s) disclaim responsibility for any injury to people or property resulting from any ideas, methods, instructions or products referred to in the content.

Share and Cite

MDPI and ACS Style

Chen, Y.; He, S.; Luo, X. Numerical Modeling and Analysis of Pendant Installation Method Dynamics Using Absolute Nodal Coordinate Formulation. Appl. Sci. 2024, 14, 7427. https://doi.org/10.3390/app14167427

AMA Style

Chen Y, He S, Luo X. Numerical Modeling and Analysis of Pendant Installation Method Dynamics Using Absolute Nodal Coordinate Formulation. Applied Sciences. 2024; 14(16):7427. https://doi.org/10.3390/app14167427

Chicago/Turabian Style

Chen, Yongkang, Shiping He, and Xinhao Luo. 2024. "Numerical Modeling and Analysis of Pendant Installation Method Dynamics Using Absolute Nodal Coordinate Formulation" Applied Sciences 14, no. 16: 7427. https://doi.org/10.3390/app14167427

APA Style

Chen, Y., He, S., & Luo, X. (2024). Numerical Modeling and Analysis of Pendant Installation Method Dynamics Using Absolute Nodal Coordinate Formulation. Applied Sciences, 14(16), 7427. https://doi.org/10.3390/app14167427

Note that from the first issue of 2016, this journal uses article numbers instead of page numbers. See further details here.

Article Metrics

Back to TopTop