Adaptability of Swiss Stone Pine (Pinus cembra) in Two Different Environmental Conditions of Romanian Carpathians
Abstract
Featured Application
Abstract
1. Introduction
2. Materials and Methods

- -
- Diameter at breast height (Dbh), using a forest caliper;
- -
- Tree height (Th) using a Vertex V instrument;
- -
- Average branch diameter (Bd) in the whorl situated closest to 1.3 m from the ground, measured with electronic calipers;
- -
- The stem straightness (Ss) was evaluated on a scale of 5 according to Treebreedex protocol [37] as follows: 0 = vertical and rectilinear stem, 1 = 1–2 small curves, 2 = three or more small curves, 3 = 1–2 big curves, and 4 = three or more big curves.
Statistical Analysis
- -
- Broad-sense family mean heritability (h21):
- -
- Narrow-sense family mean heritability (h22):
3. Results
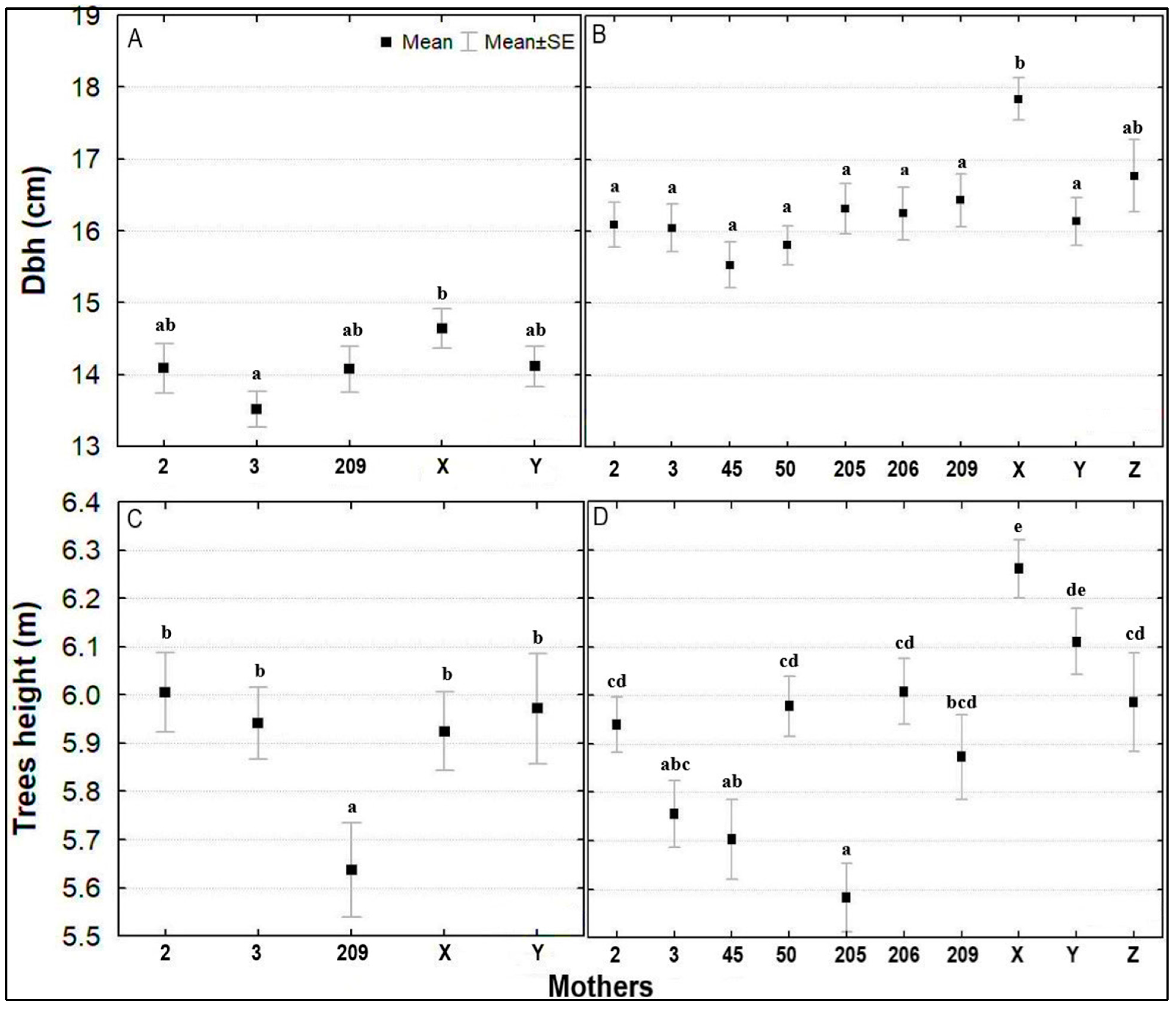
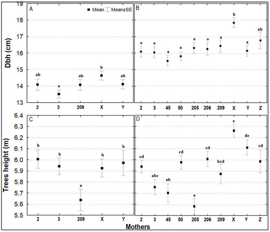
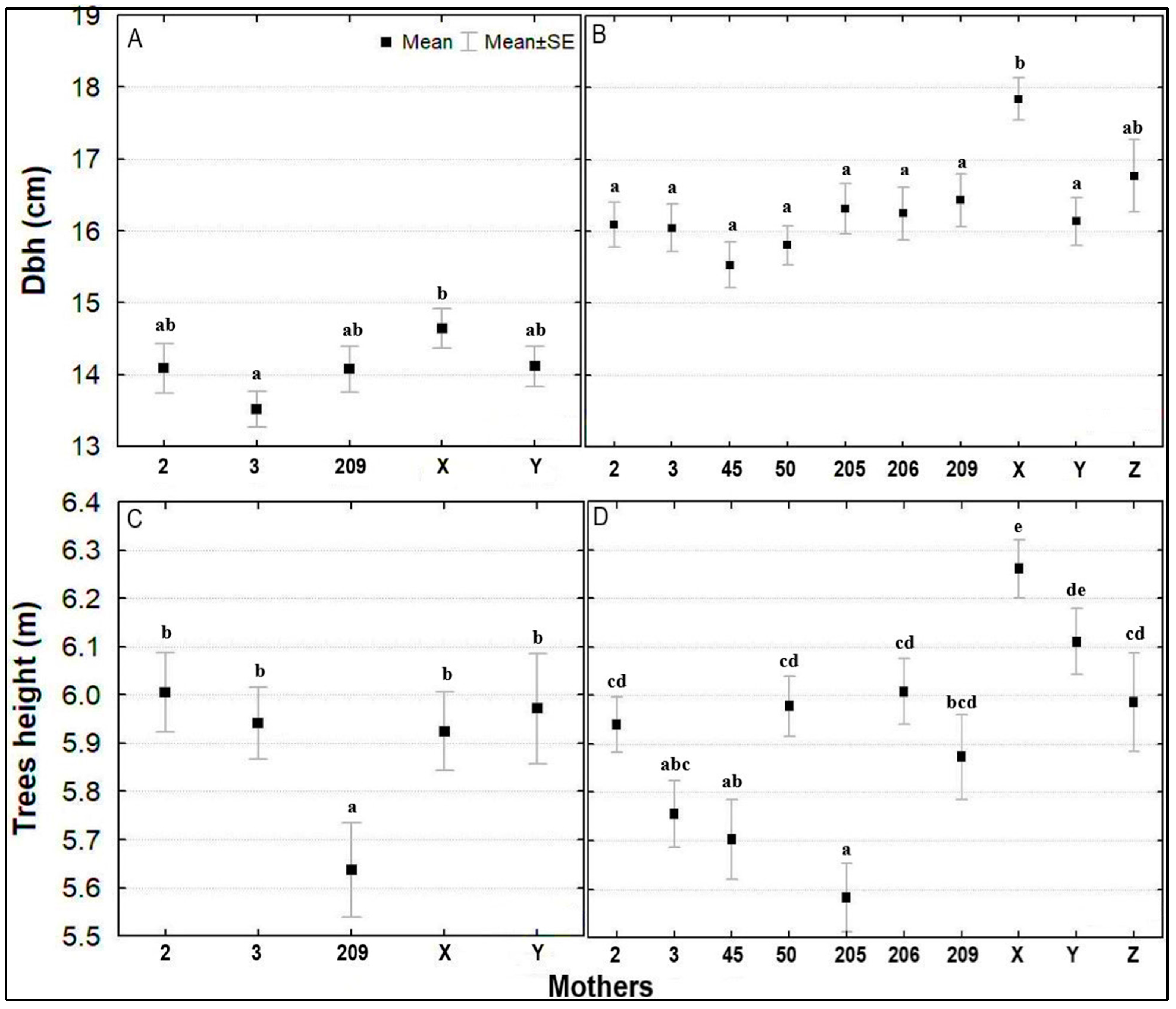
3.1. Phenotypic Variability
3.2. Trait–Trait and Juvenile–Adult Correlations
3.3. Genetic Inheritance and Forward Selection
3.3.1. Heritability
3.3.2. Genetic Gain and Forward Selection
4. Discussion
4.1. Phenotypic Variability
4.2. Trait–Trait and Juvenile–Adult Correlations
4.3. Genetic Inheritance and Forward Selection
5. Conclusions
Author Contributions
Funding
Institutional Review Board Statement
Informed Consent Statement
Data Availability Statement
Acknowledgments
Conflicts of Interest
Correction Statement
References
- Holtmeyer, F.-K. Introduction to the Upper Engadine and its forests. In Proceedings International Workshop on Subalpine Stone Pines and Their Environment: The Status of Our Knowledge; Technical Report INT-GTR-309; Schmidt, W., Holtmeier, F.-K., Eds.; USDA, Forest Services, Intermountain Research Station: Ogden, UT, USA, 1994; pp. 9–17. [Google Scholar]
- Kronfuss, H.; Havranek, W.M. Effects of elevation and wind on the growth of Pinus cembra L. in a subalpine afforestation. Phyton 1999, 39, 99–106. [Google Scholar]
- Paulsen, J.; Weber, U.M.; Körner, C. Tree growth near treeline: Abrupt or gradual reduction with altitude? Arct. Antarct. Alp. Res. 2000, 32, 14–20. [Google Scholar] [CrossRef]
- Bussotti, F. Pines of Silvicultural Importance; CABI Forestry Compendium: Wallingford, UK, 2002; p. 531. Available online: https://www.cabidigitallibrary.org/doi/book/10.1079/9780851995397.0000 (accessed on 1 January 2024).
- Li, M.-H.; Yang, J. Effects of microsite on growth of Pinus cembra in the subalpine zone of the Austrian Alps. Ann. For. Sci. 2004, 61, 319–325. [Google Scholar] [CrossRef]
- Ulber, M.; Gugerli, F.; Bozic, G.; EUFORGEN. Technical Guidelines for Genetic Conservation and Use for Swiss Stone Pine (Pinus cembra). Biodiversity International; International Plant Genetic Resources Institute: Rome, Italy, 2004; p. 6. Available online: https://www.euforgen.org/fileadmin/templates/euforgen.org/upload/Publications/Technical_guidelines/Technical_Guidelines_Pinus_cembra.pdf (accessed on 1 January 2024).
- Blada, I.; Popescu, F. Diallel crossing in Pinus cembra: Age trends in genetic parameters and genetic gain for height. Silvae Genet. 2012, 61, 66–79. [Google Scholar] [CrossRef]
- Caudullo, G.; de Rigo, D. Pinus cembra in Europe: Distribution, habitat, usage and threats. In European Atlas of Forest Tree Species; San Miguel-Ayanz, J., de Rigo, D., Caudullo, G., Houston Durrant, T., Mauri, A., Eds.; Publication Office of the European Union: Luxembourg, 2016; pp. 120–121. [Google Scholar]
- Lewandowski, A.; Burczyk, J. Mating system and genetic diversity in natural populations of European larch (Larix decidua) and stone pine (Pinus cembra) located at higher elevations. Silvae Genet. 2000, 49, 158–161. [Google Scholar]
- Politov, D.V.; Belokon, M.M.; Belokon, Y.S. Allozyme variation in Pinus cembra and P. sibirica: Differentiation between populations and species. Ann. For. Res. 2008, 51, 143–144. [Google Scholar]
- Salzer, K.; Gugerli, F. Reduced fitness at early life stages in peripheral versus core populations of Swiss stone pine (Pinus cembra) is not reflected by levels of inbreeding in seed families. Alp. Bot. 2012, 122, 75–85. [Google Scholar] [CrossRef]
- Dzialuk, A.; Chybicki, I.; Gout, R.; Maczka, T.; Fleischer, P.; Konrad, H.; Curtu, A.L.; Sofletea, N.; Valadon, A. No reduction in genetic diversity of Swiss stone pine (Pinus cembra L.) in Tatra Mountains despite high fragmentation and small population size. Conserv. Genet. 2014, 15, 1433–1445. [Google Scholar] [CrossRef]
- Dauphin, B.; Rellstab, C.; Schmid, M.; Zoller, S.; Karger, D.N.; Brodbeck, S.; Guillaume, F.; Gugerli, F. Genomic vulnerability to rapid climate warming in a tree species with a long generation time. Glob. Change Biol. 2021, 27, 1181–1195. [Google Scholar] [CrossRef]
- Gugerli, F.; Brodbeck, S.; Lendvay, B.; Dauphin, B.; Bagnoli, F.; van der Knaap, W.O.; Tinner, W.; Höhn, M.; Vendramin, G.G.; Morales-Molino, C.; et al. A range-wide postglacial history of Swiss stone pine based on molecular markers and palaeoecological evidence. J. Biogeogr. 2023, 50, 1049–1062. [Google Scholar] [CrossRef]
- Saura, M.; Perez-Figueroa, A.; Fernandez, J.; Toro, M.; Caballero, A. Preserving population allele frequencies in ex situ conservation programs. Conserv. Biol. 2008, 22, 1277–1287. [Google Scholar] [CrossRef]
- Funk, W.C.; McKay, J.C.; Hohenlohe, P.A.; Allendorf, F.W. Harnessing genomics for delineating conservation units. Trends Ecol. Evol. 2012, 27, 489–496. [Google Scholar] [CrossRef]
- Wojnicka-Półtorak, A.; Celiński, K.; Chudzińska, E.; Prus-Głowacki, W.; Niemtur, S. Genetic resources of Pinus cembra L. Marginal populations from the Tatra mountains: Implications for conservation. Biochem. Genet. 2015, 53, 49–61. [Google Scholar] [CrossRef] [PubMed]
- Ali, A.; Carcaillet, C.; Talon, B.; Roiron, P.; Terral, J.-F. Pinus cembra L. (Arolla pine), a common tree in the inner French Alps since the Holocene and above the present tree line: A synthesis based on charcoal data from soils and travertines. J. Biogeogr. 2005, 32, 1659–1669. [Google Scholar] [CrossRef]
- Farjon, A. Pinus cembra. In The IUCN Red List of Threatened Species; 2017; Available online: https://www.iucnredlist.org/species/42349/95684563 (accessed on 20 March 2024).
- Stephan, B.R. Studies of genetic variation with five-needle pines in Germany. In Breeding and Genetic Resources of Five-Needle Pines: Growth, Adaptability and Pest Resistance, Proceedings of the Proceedings RMRS-P-32, IUFRO Working 2.02.15, Medford, OR, USA, 23–27 July 2001; Sniezko, R.A., Samman, S., Schlarbaum, S.E., Kriebel, H.B., Eds.; U.S. Department of Agriculture, Forest Service, Rocky Mountain Research Station: Fort Collins, CO, USA, 2001; pp. 98–102. [Google Scholar]
- Tomaskova, I.; Vitamvas, J.; Bazant, V. Needle water potential of selected pine species during the off-season: A case study. J. For. Sci. 2017, 63, 16–21. [Google Scholar] [CrossRef]
- West, T.P.; Morgenson, G.; Chaput, L.; Herman, D.E. Pinus cembra ‘Herman’ (Prairie Statesman Swiss Stone Pine): A new evergreen landscape tree. HortScience 2020, 55, 595–596. [Google Scholar] [CrossRef]
- Pârnuţă, G.; Budeanu, M.; Stuparu, E.; Scărlătescu, V.; Cheşnoiu, E.N.; Tudoroiu, M.; Filat, M.; Nica, M.S.; Teodosiu, M.; Lorenţ, A.; et al. The National Catalog of Basic Materials for the Production of Reproductive Forest Materials in Romania (Catalogul Naţional al Materialelor de Bază Pentru Producerea Materialelor Forestiere de Reproducere din România); Silvică Publishing House: Bucharest, Romania, 2012; p. 304. [Google Scholar]
- Blada, I. Research on the Genetic Resistance to Cronartium ribicola of Some Interspecific Hybrids (Cercetări Asupra Rezistenței Genetice la Cronartium ribicola a Unor Hibrizi Interspecifici). Ph.D. Thesis, Academy of Agricultural and Forestry Sciences, Bucharest, Romania, 1987; p. 146. (In Romanian). [Google Scholar]
- Blada, I. Interspecific hybridization of Swiss Stone Pine (Pinus cembra L.). Silvae Genet. 1994, 43, 14–20. [Google Scholar]
- Blada, I. Diallel crossing in Pinus cembra. III. Analysis of genetic variation at the nursery stage. Silvae Genet. 1999, 48, 179–187. [Google Scholar]
- Blada, I. Genetic variation in stone pine half-sib progenies. In Proceedings of the 27th Southern Forest Tree Improvement Conference, Stillwater, OK, USA, 24–27 June 2003. [Google Scholar]
- Blada, I.; Popescu, F. Swiss stone pine provenance experiment in Romania. II. Variation in growth and branching traits to age 14. Silvae Genet. 2007, 56, 148–158. [Google Scholar] [CrossRef]
- Blada, I.; Popescu, F. Diallel crossing in Pinus cembra. IV. Age trends in genetic parameters and genetic gain for growth and branching traits. Ann. For. Res. 2008, 51, 89–113. [Google Scholar]
- Blada, I. Swiss Stone Pine. I. Importance and Distribution (Zâmbrul I: Importanță și Areal); Silvică Publishing House: Bucharest, Romania, 2015; p. 112. (In Romanian) [Google Scholar]
- Blada, I. Activity Report (1961–2007) (Memoriu de Activitate (1961–2007)); Silvică Publishing House: Bucharest, Romania, 2019; p. 51. (In Romanian) [Google Scholar]
- Griffing, B. Concept of general and specific combining ability in relation to diallel crossing systems. Aust. J. Sci. 1956, 9, 463–493. [Google Scholar] [CrossRef]
- Anonymous. Management planning of production unit V Oncești, forest district Rășinari, Sibiu Country, Romania. 2021. [Google Scholar]
- B4EST. Adaptive Breeding for Better Forests. Climate Database. Available online: http://www.b4est.eu/ (accessed on 15 April 2024).
- Anonymous. Management planning of production unit IV Anieșu Mare, forest district Feldru, Bistrița-Năsăud Country, Romania. 2022. [Google Scholar]
- Caudullo, G.; Welk, E.; San-Miguel-Ayanz, J. Chorological maps for the main European woody species. Data Brief 2017, 12, 662–666. [Google Scholar] [CrossRef]
- Ducci, F.; De Cuyper, B.; Proietti, R.; Pâques, L.; Wolf, H. TREEBREEDEX, Research Infrastructure Network 2006–2011. Reference Protocols for Assessment of Traits and Reference Genotypes to Be Used as Standards in International Research Projects; CRA SEL Publishing House: Arezzo, Italy, 2012; p. 82. [Google Scholar]
- Statistica 10.0; StatSoft Inc.: Tulsa, OK, USA, 2010.
- R Core Team. R: A Language and Environment for Statistical Computing; R Foundation for Statistical Computing: Vienna, Austria; Available online: https://www.r-project.org/ (accessed on 20 March 2024).
- Wilcox, M.D. Applications of the Diallel Cross in the Breeding of Radiata Pine; Genetics and Tree Improvement Report No. 74; New Zealand Forest Services, Forest Research Institute: Rotorua, New Zealand, 1976; p. 66. [Google Scholar]
- Hayman, B.I. The analysis of variance of diallel tables. Biometrics 1954, 10, 235–244. [Google Scholar] [CrossRef]
- Kriebel, H.B.; Nankoong, G.; Usanis, R.A. Analysis of genetic variation in 1-, 2-, and 3-year-old eastern white pine in incomplete diallel cross experiments. Silvae Genet. 1972, 21, 44–48. [Google Scholar]
- Becker, W.A. Manual of Procedures in Quantitative Genetics, 4th ed.; Academic Enterprise: Pullman, WA, USA, 1984; p. 190. [Google Scholar]
- Falconer, D.S. Introduction to Quantitative Genetics; Longman and Co.: New York, NY, USA, 1981; p. 340. [Google Scholar]
- Belokon, M.M.; Belokon, Y.S.; Politov, D.V.; Altukhov, Y.P. Allozyme polymorphism of Swiss stone pine Pinus cembra L. in mountain populations of the Alps and the Eastern Carpathians. Russ. J. Genet. 2005, 41, 1268–1280. [Google Scholar]
- Höhn, M.; Gugerli, F.; Abran, P.; Bisztray, G.; Buonamici, A.; Cseke, K.; Hufnagel, L.; Sebastiani, F.; Quintela-Sabaris, S.; Vendramin, G.G. Variation in the chloroplast DNA of Swiss stone pine (Pinus cembra L.) reflects contrasting postglacial history of populations from the Carpathians and the Alps. J. Biogeogr. 2009, 36, 1798–1806. [Google Scholar] [CrossRef]
- Budeanu, M.; Apostol, E.N.; Popescu, F.; Postolache, D.; Ioniţă, L. Testing of the narrow crowned Norway spruce ideotype (Picea abies f. pendula) and the hybrids with normal crown form (pyramidalis) in multisite comparative trials. Sci. Total Environ. 2019, 689, 980–990. [Google Scholar] [CrossRef] [PubMed]
- Apostol, E.N.; Budeanu, M. Adaptability of narrow-crowned Norway spruce ideotype (Picea abies (L.) Karst. pendula form) in 25 years half-sib comparative trials in the Eastern Carpathians. Forests 2019, 10, 395. [Google Scholar] [CrossRef]
- Besliu, E.; Curtu, A.L.; Apostol, E.N.; Budeanu, M. Using adapted and productive European beech (Fagus sylvatica L.) provenances as future solutions for sustainable forest management in Romania. Land 2024, 13, 183. [Google Scholar] [CrossRef]
- Xiang, B.; Li, B.; Isik, F. Time trend of genetic parameters in growth traits of Pinus taeda L. Silvae Genet. 2003, 52, 114–121. [Google Scholar]
- Xie, C.Y.; Ying, C.C. Heritability, age-age correlation and early selection in lodgepole pine. Silvae Genet. 1996, 45, 101–107. [Google Scholar]
- Kusnandar, D.; Galwey, N.W.; Hertzler, G.L.; Butcher, T.B. Age trends in variances and heritabilities for diameter and height in Maritime pine (Pinus pinaster Ait.) in western Australia. Silvae Genet. 1998, 47, 136–141. [Google Scholar]


| Factor | MSSr | MSDbh | MSTh | MSBd | MSBf | MSSs |
|---|---|---|---|---|---|---|
| Locality | 22,181 *** | 509 *** | 0.73 | 3.53 *** | 1248 *** | 135.4 *** |
| Mother | 953 | 21.95 *** | 1.35 *** | 0.41 *** | 9.84 * | 2.57 ** |
| Locality × Mother | 252 | 4.20 | 0.81 ** | 0.16 | 8.01 | 0.37 |
| Error | 413 | 3.43 | 0.22 | 0.08 | 3.69 | 0.55 |
| Trial | Mother | Bd -cm- | Hg | Mother | Bf -%- | Hg | Mother | Ss -index- | Hg | ||||||
|---|---|---|---|---|---|---|---|---|---|---|---|---|---|---|---|
| Rodna | 3 | 2.48 | * | 2 | 18.8 | * | 2 | 1.82 | * | ||||||
| 2 | 2.56 | * | * | 3 | 18.8 | * | X | 1.95 | * | ||||||
| Y | 2.62 | * | Y | 18.9 | * | 209 | 1.99 | * | * | ||||||
| 209 | 2.65 | * | * | X | 19.1 | * | 3 | 2.01 | * | ||||||
| X | 2.74 | * | 209 | 19.4 | * | Y | 2.26 | * | |||||||
| Păltiniș | Y | 2.27 | * | Y | 14.3 | * | 2 | 0.68 | * | ||||||
| 2 | 2.35 | * | * | X | 14.3 | * | X | 0.69 | * | ||||||
| 3 | 2.41 | * | * | 2 | 14.9 | * | * | 3 | 0.71 | * | * | ||||
| 209 | 2.45 | * | 209 | 15.4 | * | * | 209 | 0.75 | * | * | |||||
| X | 2.50 | * | 3 | 15.6 | * | Y | 0.96 | * | |||||||
| Trait–Trait | Dbh | Th | Bd | Bf | Ss |
| Dbh | - | 0.52 *** | 0.51 *** | −0.56 *** | −0.22 *** |
| Th | 0.75 *** | - | 0.15 * | −0.43 *** | −0.26 *** |
| Bd | 0.63 *** | 0.37 *** | - | 0.42 *** | 0.06 |
| Bf | −0.59 *** | −0.61 *** | 0.20 *** | - | 0.29 *** |
| Ss | −0.04 | −0.13 * | 0.04 | 0.08 | - |
| Juvenile–Adult | Thadult | Thjuv. | Dbhadult | Dbhjuv. | |
| Thadult | - | 0.42 * | x | 0.44 * | |
| Thjuv. | 0.72 *** | - | 0.56 ** | x | |
| Dbhadult | x | 0.50 * | - | 0.43 * | |
| Dbhjuv. | 0.47 * | x | 0.71 *** | - |
| Trials | Păltiniș | Rodna | ||||||
|---|---|---|---|---|---|---|---|---|
| Parameter/Trait | h21 | h22 | ΔG1 | ΔG2 | h21 | h22 | ΔG1 | ΔG2 |
| Dbh | 0.51 | 0.35 | 13.4 | 9.2 | 0.47 | 0.18 | 15.3 | 11.8 |
| Th | 0.60 | 0.39 | 5.4 | 3.5 | 0.59 | 0.33 | 6.7 | 3.7 |
| Bd | 0.35 | 0.32 | 3.9 | 3.5 | 0.63 | 0.37 | 5.5 | 3.2 |
| Bf | 0.44 | 0.35 | 5.4 | 4.2 | 0.35 | 0.22 | 6.5 | 3.6 |
Disclaimer/Publisher’s Note: The statements, opinions and data contained in all publications are solely those of the individual author(s) and contributor(s) and not of MDPI and/or the editor(s). MDPI and/or the editor(s) disclaim responsibility for any injury to people or property resulting from any ideas, methods, instructions or products referred to in the content. |
© 2024 by the authors. Licensee MDPI, Basel, Switzerland. This article is an open access article distributed under the terms and conditions of the Creative Commons Attribution (CC BY) license (https://creativecommons.org/licenses/by/4.0/).
Share and Cite
Budeanu, M.; Popescu, F.; Besliu, E.; Apostol, E.N. Adaptability of Swiss Stone Pine (Pinus cembra) in Two Different Environmental Conditions of Romanian Carpathians. Appl. Sci. 2024, 14, 7428. https://doi.org/10.3390/app14167428
Budeanu M, Popescu F, Besliu E, Apostol EN. Adaptability of Swiss Stone Pine (Pinus cembra) in Two Different Environmental Conditions of Romanian Carpathians. Applied Sciences. 2024; 14(16):7428. https://doi.org/10.3390/app14167428
Chicago/Turabian StyleBudeanu, Marius, Flaviu Popescu, Emanuel Besliu, and Ecaterina Nicoleta Apostol. 2024. "Adaptability of Swiss Stone Pine (Pinus cembra) in Two Different Environmental Conditions of Romanian Carpathians" Applied Sciences 14, no. 16: 7428. https://doi.org/10.3390/app14167428
APA StyleBudeanu, M., Popescu, F., Besliu, E., & Apostol, E. N. (2024). Adaptability of Swiss Stone Pine (Pinus cembra) in Two Different Environmental Conditions of Romanian Carpathians. Applied Sciences, 14(16), 7428. https://doi.org/10.3390/app14167428

