Next Article in Journal
Effect of Helix aspersa Mucus on the Regeneration of Skin with Photoaging Features in Different Methods of Application
Previous Article in Journal
Temperature Dynamics in Early Pregnancy: Implications for Improving In Vitro Fertilization Outcomes
 
 
Font Type:
Arial Georgia Verdana
Font Size:
Aa Aa Aa
Line Spacing:
Column Width:
Background:
Article

Development of Methodologies and Software for Design, Simulation and Optimization of Oil Hydraulic Cylinders of Large Dimensions and Power

by
Stefan Cvejić
,
Radovan Petrović
*,
Maja Andjelković
,
Ivana Ilić
,
Vjačeslav Mutavči
,
Ana Radosavljević Mihajlović
and
Mladen Vuruna
Faculty of Information Tehnology and Engineering, University Union—Nikola Tesla, Jurija Gagarina 149a, 11070 Belgrade, Serbia
*
Author to whom correspondence should be addressed.
Appl. Sci. 2024, 14(16), 7393; https://doi.org/10.3390/app14167393
Submission received: 21 May 2024 / Revised: 1 August 2024 / Accepted: 16 August 2024 / Published: 21 August 2024
(This article belongs to the Section Mechanical Engineering)

Abstract

As part of the research carried out in the field of processing systems and the production process of oil-hydraulic cylinders of large dimensions and power, the specifics of fluid power transmission, in the functioning of hydropower facilities, were analyzed. The research also includes the optimization of the physical–mathematical model of non-stationary processes, which take place inside the chamber of a large hydrocylinder. In parallel with the definition of the optimization model, the work parameters that affect the process of fluid flow and piston movement were determined. The operating and technological construction parameters of the hydraulic cylinder, which most significantly affect the operation of the hydraulic cylinder, were defined, and the observed parameters were optimized, based on which a prototype with improved characteristics compared to existing solutions was realized.

1. Introduction

Hydraulic cylinders, essential components of hydraulic systems, convert hydraulic energy into mechanical motion. These devices play a crucial role in numerous industries, including construction, manufacturing, and aerospace, where they provide linear force and motion to various machines and structures [1,2,3]. The fundamental operation of hydraulic cylinders involves the use of pressurized hydraulic fluid, typically oil, to generate force that moves a piston within a cylindrical chamber. This simple yet powerful mechanism has been instrumental in the development of heavy machinery and automation equipment, contributing significantly to industrial advancements.
The concept of hydraulic power dates back to ancient civilizations, but the modern hydraulic cylinder emerged during the industrial revolution. Early designs were relatively simple, but over time, advances in materials science, machining techniques, and fluid dynamics led to more efficient and reliable hydraulic cylinders. The 20th century saw significant innovations, including the development of high-pressure systems and advanced sealing technologies, which enhanced the performance and durability of hydraulic cylinders. These advancements have enabled hydraulic systems to handle increasingly demanding applications, from lifting heavy loads to the precise control of industrial robots [4].
Hydraulic cylinders are classified into various types based on their construction and function, such as single-acting, double-acting, telescopic, and tie-rod cylinders. Each type has specific applications and advantages [5,6]. For instance, single-acting cylinders are often used in simple lifting tasks, while double-acting cylinders provide bidirectional movement, making them suitable for complex machinery [7]. Telescopic cylinders, with their ability to extend in multiple stages, are ideal for applications requiring long stroke lengths, such as dump trucks. Tie-rod cylinders, known for their robust design, are commonly used in industrial and agricultural machinery.
Recent technological advancements have significantly improved the efficiency and capabilities of hydraulic cylinders. Innovations in materials, such as the use of high-strength alloys and composite materials, have increased the strength-to-weight ratio of cylinders, allowing for more compact and powerful designs [8]. Advanced manufacturing techniques, including precision machining and additive manufacturing, have enabled the production of complex components with high accuracy and reliability. Furthermore, the integration of smart sensors and control systems has led to the development of intelligent hydraulic cylinders that offer real-time monitoring and adaptive control, enhancing their performance and operational safety [9].
Despite their advantages, hydraulic cylinders face several challenges, such as leakage, friction, and wear, which can reduce their efficiency and lifespan. Addressing these issues requires continuous research and development. Improved sealing technologies, such as the use of advanced elastomers and sealing compounds, have been developed to minimize leakage and extend service intervals [10]. Lubrication and surface treatment techniques, including the application of coatings and the use of advanced lubricants, have been optimized to reduce friction and wear [11,12,13]. Additionally, predictive maintenance strategies, leveraging data analytics and machine learning, are being implemented to monitor cylinder health and predict failures before they occur.
The future of hydraulic cylinder technology lies in further integration with digital technologies and the adoption of sustainable practices. The development of smart hydraulic systems, equipped with IoT-enabled sensors and advanced control algorithms, will allow for more precise and efficient operation. These systems can provide valuable data for optimizing performance and reducing energy consumption. Moreover, the shift towards eco-friendly hydraulic fluids and the recycling of hydraulic components will contribute to the sustainability of hydraulic systems. Research is also ongoing into novel actuator designs and alternative power sources, such as electro-hydraulic actuators, which combine the benefits of hydraulic and electric systems for enhanced performance and versatility.
Hydraulic cylinders have been a cornerstone of industrial machinery and automation for over a century [14]. Continuous advancements in materials, manufacturing, and digital technologies have significantly enhanced their performance and reliability. While challenges remain, ongoing research and development efforts are addressing these issues, paving the way for more efficient and sustainable hydraulic systems. As industries increasingly adopt smart technologies and prioritize sustainability, hydraulic cylinders will continue to evolve, playing a vital role in the future of industrial automation and machinery.
The design optimization of hydraulic cylinders is a dynamic field where researchers continuously seek to improve performance, efficiency, and durability. Advances in materials, manufacturing processes, and computational techniques have driven significant progress, resulting in more robust and efficient hydraulic systems.
One of the primary areas of focus for optimization has been the selection and development of materials [15]. Researchers have explored high-strength alloys, advanced composites, and nanomaterials to enhance the mechanical properties of hydraulic cylinders. For instance, the use of high-strength steel and aluminum alloys has allowed for lighter yet stronger cylinder components, reducing overall weight and improving efficiency. Additionally, composite materials have been employed to achieve higher strength-to-weight ratios, providing superior performance in demanding applications.
Advances in manufacturing technologies have played a crucial role in optimizing hydraulic cylinder designs. Precision machining techniques, such as CNC (Computer Numeric Control) machining and additive manufacturing (3D printing), have enabled the production of complex geometries with high accuracy [16]. Additive manufacturing, in particular, has opened up new possibilities for custom designs and rapid prototyping, allowing researchers to experiment with innovative shapes and structures that were previously impractical to produce. This has led to the development of cylinders with optimized fluid flow paths and reduced internal friction, enhancing overall efficiency.
The application of computational tools like Computational Fluid Dynamics (CFD) and Finite Element Analysis (FEA) has revolutionized the design optimization process. CFD simulations help researchers analyze fluid flow within the cylinder, identifying areas of turbulence and optimizing the internal geometry to improve flow characteristics and minimize energy losses [17]. FEA, on the other hand, allows for the detailed analysis of stress, strain, and deformation under various loading conditions. By optimizing the structural design through FEA, researchers can ensure that hydraulic cylinders achieve maximum strength and durability while minimizing material usage.
Effective sealing is critical for the performance and reliability of hydraulic cylinders. Advances in sealing technologies have focused on developing materials and designs that minimize leakage and wear. Researchers have introduced advanced elastomers and composite sealing materials that offer superior resistance to high pressures, temperatures, and chemical degradation [18]. Additionally, innovative seal designs, such as multi-lip seals and labyrinth seals, have been developed to enhance sealing efficiency and extend service life [19].
Surface treatments and coatings are essential for reducing friction and wear in hydraulic cylinders. Techniques such as hard anodizing, nitriding, and thermal spraying have been employed to enhance the surface properties of cylinder components. These treatments provide a hard, wear-resistant surface that reduces friction and improves the longevity of the cylinder [20]. Researchers have also explored advanced coating materials, such as diamond-like carbon (DLC) and ceramic coatings, which offer exceptional hardness and low friction coefficients, further optimizing cylinder performance.
The integration of smart sensors and control systems into hydraulic cylinders has represented a significant advancement in recent years. These intelligent systems enable the real-time monitoring of operating conditions, such as pressure, temperature, and load. By collecting and analyzing these data, researchers can develop adaptive control algorithms that optimize cylinder performance in real time. This not only improves efficiency, but also enhances safety and reliability by enabling predictive maintenance and the early detection of potential issues.
The shift towards environmentally friendly hydraulic fluids is another area of optimization. Researchers are developing biodegradable and non-toxic hydraulic fluids that offer comparable performance to traditional mineral oils. These eco-friendly fluids reduce environmental impacts and improve the sustainability of hydraulic systems. Additionally, optimizing the fluid’s viscosity and thermal properties can enhance the efficiency and responsiveness of the hydraulic cylinder. During the development of application software for mathematical modeling, as well as the identification and optimization of parameters, special attention was paid to the real needs of the practice of engineers. For this purpose, the original graphic 2D and 3D application software was used in real-time with simultaneous display and processing in 24 high-resolution windows. The design optimization of hydraulic cylinders has seen significant advances driven by innovations in materials, manufacturing, computational analysis, and intelligent systems. These developments have resulted in more efficient, durable, and environmentally friendly hydraulic cylinders. As research continues, the integration of digital technologies and sustainable practices will further enhance the performance and sustainability of hydraulic systems, solidifying their role in modern industrial applications.
The article is organized as follows:
  • It firstly presents the theoretical foundations and methodologies developed for the design of hydraulic cylinders;
  • It then describes the simulation techniques employed to predict the performance of these cylinders under various operating conditions;
  • It then focuses on the optimization processes used to enhance the efficiency and power of the cylinders;
  • We next introduce the software tool developed to integrate these methodologies, including its features and user interface;
  • We then provide a case study to demonstrate the practical application and effectiveness of the proposed solutions;
  • All this is followed by concluding remarks and future work directions, in Section 4.
The study of the influence of pressure pulsations on large-sized and high-power cylinders in hydraulic systems has benefited from extensive research contributions. These contributions have provided a deeper understanding of the underlying mechanisms, practical solutions for mitigating adverse effects, and improved design and control strategies for hydraulic systems. Ongoing research continues to refine these insights, driven by the need for more efficient, reliable, and durable hydraulic systems in various industrial applications.

2. The Influence of Piston Pump Vibrations on the Drive of Hydraulic Cylinders

The influence of piston pump vibrations on the drive of hydraulic cylinders in hydroelectric power plants is a significant factor in the overall performance and reliability of the hydraulic systems used to move massive gates and structures.
Vibrations from piston pumps can lead to increased mechanical wear and tear on the components of the hydraulic system, including the hydraulic cylinders, seals, and the drive mechanisms. The repetitive motion caused by vibrations can accelerate the degradation of these parts, leading to more frequent maintenance and potential failures.
Figure 1 shows the principle diagram of power transmission. The hydrostatic power ( P ,   Q ) is supplied alternately to the connection openings ( A ,   B ). The transmission of mechanical power ( F ,   N ) is carried out in both directions of movement, due to the differences (difference) in the surface of the piston, at different speeds ( v 1 ,   v 2 ), and at the same speed, which is achieved by installing additional devices in the hydraulic system. For the sake of a gentle approach to stopping the movement in the end positions, especially when transmitting large forces, the installation of damping elements is mandatory.
Hydraulic systems in hydroelectric power plants require precise control to move large gates and structures accurately Figure 2. Vibrations can disrupt the smooth operation of hydraulic cylinders, leading to jerky or imprecise movements. This can be particularly problematic when dealing with the precise positioning of gates that regulate water flow.
Continuous vibrations can induce fatigue in the structural components of the hydraulic drive system. Over time, this can weaken the structural integrity of the system, making it more susceptible to cracks and failures. This is especially critical in hydroelectric power plants where the failure of a gate or structure can have serious safety and operational consequences.
Vibrations contribute to noise generation in hydraulic systems. In hydroelectric power plants, excessive noise can be a concern not only for worker safety and comfort, but also for environmental reasons, particularly in installations located in natural settings where noise pollution must be minimized.
In conclusion, managing the influence of piston pump vibrations is crucial for the efficient and reliable operation of hydraulic cylinders in hydroelectric power plants. Through a combination of design improvements, maintenance practices, and advanced monitoring, the negative impacts of vibrations can be significantly reduced, ensuring the safe and effective movement of massive gates and structures.
Vibrations can affect the fluid dynamics within the hydraulic system. They can cause fluctuations in pressure and flow rates, potentially leading to cavitation—the formation of air bubbles in the hydraulic fluid. Cavitation can damage internal components and degrade the performance of the hydraulic cylinders.
Modern hydraulic systems often rely on sophisticated control systems to manage the operation of hydraulic cylinders. Vibrations can interfere with sensors and cause feedback loops, leading to instability in the control system. This can result in erratic behavior in the gates and structures being moved.
Hydraulic pumps are essential components that enable the functionality of hydraulic cylinders, particularly in large and powerful systems. They generate the necessary hydraulic power, control fluid flow and pressure, and ensure the efficient, reliable operation of hydraulic machinery across various industries.
Hydraulic pumps convert mechanical energy into hydraulic energy by moving hydraulic fluid (usually oil) through the system. This pressurized fluid is then used to actuate the hydraulic cylinders. The pump generates the necessary flow and pressure required to move the piston within the hydraulic cylinder. For large and powerful cylinders, a high flow rate and pressure are essential to overcome the significant loads and achieve the desired movement. By varying the flow rate and pressure, hydraulic pumps allow precise control over the speed and force exerted by the hydraulic cylinder.
This is critical in applications where exact positioning or force application is necessary. Hydraulic pumps transmit energy through the hydraulic fluid, which is then used by the hydraulic cylinder to perform work, such as lifting heavy loads, pressing, or moving large machinery parts. In applications involving large hydraulic cylinders, such as construction equipment (e.g., excavators, cranes), industrial presses, and heavy machinery, the pump must provide sufficient hydraulic power to move large loads. This requires pumps capable of delivering high pressure and large volumes of fluid.
The efficient operation of hydraulic pumps is essential for the overall efficiency of the hydraulic system. This includes minimizing energy losses due to heat and ensuring that the system operates within optimal pressure and flow ranges to prevent damage and wear.
The hydraulic pumps used in large systems must be robust and reliable, capable of withstanding continuous operation under high loads and harsh conditions. This ensures the longevity and consistent performance of the hydraulic cylinders and the entire hydraulic system.
Piston pumps are capable of generating very high pressures and flow rates, ideal for large and powerful hydraulic systems.
High-pressure pulsations from piston axial pumps can have a significant impact on the operation of hydraulic cylinders, leading to issues such as increased vibration, system instability, component wear, reduced efficiency, and control challenges. Mitigating these effects requires a combination of design improvements, damping devices, proper system layout, and regular maintenance. By addressing the sources and consequences of pressure pulsations, the performance and reliability of hydraulic systems can be significantly enhanced.
Piston pump vibrations can adversely affect the operation of hydraulic cylinders, leading to mechanical wear, system instability, reduced efficiency, and increased noise. Effective mitigation strategies include using vibration dampers and isolators, employing advanced pump designs, ensuring proper mounting and installation, and maintaining regular system checks. By addressing the root causes of vibrations and implementing these strategies, the performance and reliability of hydraulic systems can be significantly enhanced.
The influence of suction pressure (pu) on the gradient of pressure increase in the cylinder is shown in Figure 3, where steeper pressure gradients correspond to higher suction pressures. The size of the pressure pulsations in the pressure chamber is also affected by the suction pressure, in that lower suction pressures correspond to larger pulsations (Figure 4).

3. Mathematical Modeling

Real non-stationary hydrodynamic processes in the cylinder are described based on the laws of hydrodynamics and dynamics, by a system of nonlinear partial and ordinary differential equations of variable structure. The following were taken into account: the realistic geometry of the distribution organs, the kinematics of the piston movement and the compressibility of the working fluid. Viscous friction and realistic constraints, elasto-plastic seat and elasto-plastic stop were taken into account for modeling the dynamics of fluid movement. As the resulting system of nonlinear differential equations belongs to the group of so-called rigid systems that are difficult to solve numerically, a special iterative predictor–corrector procedure was developed. The complete model is written in Digital Visual Fortran 5.0 and is practically implemented.
Stopping the movement in the end positions of the cylinder, especially when transmitting large forces, requires the installation of damping elements.
Operating power parameters:
  • When pulling out the connecting rod (suppression)—
    q 1 = D C 2 · π · H / 4 · 10 3
    F 1 = p · D C 2 · π · η m /   4 · 10 4
      t 1 = H / 10 3
    v 1 = 2 · 10 2 · Q / 3 · D C 2 · π · η v
    N 1 = F 1 · v 1
    t 1 = 3 · D C 2 · π · H · η v / 2 · 10 5 · Q
  • When retracting the connecting rod (pulling)—
    q 2 = D C 2 d k 2 · π · H / 4 · 10 3
    F 2 = p · D C 2 d k 2 · π · η m /   4 · 10 4
    t 2 = H / 10 3 · v 2
    v 2 = 2 · 10 2 · Q / 3 · D C 2 d k 2 · π · η v
    N 2 = F 2 · v 2
    t 2 = 3 · D C 2 d k 2 · π · H · η v / 2 · 10 5 · Q
Here, q 1 , q 1   cm 3 is the working volume of the cylinder, F 1 , F 2   kN is the mechanical force, N 1 , N 2   kW is the mechanical strength, v 1 , v 2   m / s is the power transfer rate, t 1 , t 2   s is walking time, D C , d k   mm is the connecting rod cylinder diameter, H   mm is the cylinder stroke, p   dN / cm 2 is the working fluid pressure oil, Q   l / min is the flow of working fluid, η v = 0.95 ÷ 0.97 is the volumetric degree of utilization, and η m = 0.85 ÷ 0.90 is the mechanical degree of utilization.

4. Results of Parameter Identification and Optimization

The identification of model parameters based on experimental data is one of the key approaches to achieving good agreement between computational and experimental results. On the other hand, based on the parameter values, a better insight into those parts of the process whose modeling is more or less formalized can be obtained, and the assumptions made can be checked. It is also possible to obtain useful information about physical quantities whose accurate measurement in working conditions is difficult or impossible. Using the developed OPTIA program for the identification and optimization of parameters, the identification and optimization of the parameters of cylinders of large dimensions and power was performed, and the results were tabulated.

4.1. Functioning Principle of the Measuring Control System

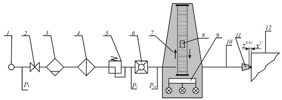
Of the larger number of types of transmitters–sensors, a particularly important place is held by pneumatic transmitters, the installation of which, especially in conjunction with electronics, can form very powerful and increasingly widely used automated measurement and control systems. The principle and essence of the functioning of pneumatic transmitters–sensors is shown in the functional diagram below (Figure 5).
Pressurized air from the network is introduced into the preparation phase (separation of condensate (3), filtering from mechanical impurities (4), and pressure reduction in the pressure regulator (5) via the supply connection (1) on the network and the tap (2)). The fine stabilization of the pressure is carried out in the pressure stabilizer (6). The air prepared in this way is introduced into the measuring and control device (7) with a variable measuring scale (8) and a semaphore indicator (9), and then passed through the drain line (10) to the measuring head (11), which is placed next to the measuring object at the precisely calculated distance (z). At the exit from the measuring head, a corresponding air inlet is formed in the (z) with the parameters according to the equation continuity and the energy equation of fluid (air) movement.
Each change in the measured value leads to a change in the size (z), which causes a change in the parameters of the formed output jet of air (pressure, speed v). The end result is, therefore, a change in the pressure of the jet, which is registered by moving the float on the measuring scale in the appropriate range.

4.2. Results of Parameter Identification

In this article, only the simpler method was used to identify the parameters of the mathematical model and optimize the drive of cylinders with large dimensions and power, which proved to be sufficiently stable and accurate, and the applicability of other methods was not examined.
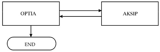
In order to apply the minimization method to the identification of mathematical model parameters and the optimization of the hydrodynamic processes, a computer program named OPTIA was created. The block diagram of the basic structure of the program is shown in Figure 6. The program consists of two modules that perform a specific set of functions. Each module consists of one or more subroutines.
Some modules perform the following functions:
  • OPTIA module—loading of input data (start and limit values of parameters, experimental pressure values, etc.), creation of output data file, minimization of functionals. The OPTIA module is an integral part of the ADS 2000 measurement and regulation system program library;
  • Module AKSIP—calculation of pressure values in the cylinder and other hydrodynamic quantities according to the mathematical model. In the OPTIA module, the maximum number of parameters for optimization is NMAX = 17.
Using the developed OPTIA program for parameter identification and optimization, seven characteristic parameters of the piston axial pump were optimized. An overview of the parameters on which the optimization was performed is given in the file OPTIA.DAT (Table 1).
The following parameters have been optimized: suction pressure pu, volume of the suction chamber Vs, volume of the pressure chamber Vv, central radius of the suction opening of the distribution plate R2, the angle of the beginning of the suction phase 2, the stiffness of the pressure valve spring cv and the length of the pressure pipeline Lc (Table 2).
The volume of the pressure chamber, the volume of the suction chamber as well as the length of the pressure pipeline have no significant effect on the maximum degree of delivery of the cylinder, so in the further analysis, attention is focused on the parameters shown in Table 3.
The results in this paper refer to the analysis of the energy efficiency of large-sized cylinders and the power from pressure pulsations when operating with axial piston pumps. Axial piston pumps are widely used in hydraulic systems due to their high efficiency and reliability. However, pressure pulsations can significantly impact the energy efficiency and power output of these pumps, especially in large-sized cylinders. Pressure pulsations are rapid changes in pressure within the hydraulic system, typically caused by the periodic motion of the pistons in axial piston pumps. The causes include the cyclic nature of piston movement, pump design and configuration, load variations and fluid compressibility.
Increased pressure pulsations can lead to higher leakage rates, reducing overall efficiency. Variations in pressure can increase friction between moving parts, leading to energy losses. Higher pulsations can cause more heat generation, requiring additional cooling and thus more energy. Energy is wasted in compensating for the pressure fluctuations rather than performing useful work.
Pressure pulsations cause the power output to fluctuate, affecting the stability and control of the hydraulic system. These fluctuations can lead to vibrations and mechanical stress on the system components, potentially reducing the lifespan of the system.
Inconsistent power delivery can impact the performance of machinery, leading to inefficiencies in operations that rely on precise and stable power output. The research results suggest improvements in the design of pumps and cylinders and the installation of accumulators to absorb pressure fluctuations. It is also important to implement advanced control systems for pressure regulation and pulsation compensation.
The dependence of the energy efficiency and power output of large-sized cylinders on pressure pulsations during operation with axial piston pumps is significant. Reducing pressure pulsations through design improvements, damping devices, and operational adjustments can enhance the overall performance and efficiency of hydraulic systems. This, in turn, leads to more stable and reliable operations, extending the lifespan of the equipment and reducing energy consumption.

5. Conclusions

The results obtained in these studies show that a new method of designing processing systems and processes in the production of hydraulic cylinders of large dimensions, and more broadly for the entire range of existing dimensions, has been conceived and verified, in a way that provides high-quality conformity with complete safety, reliability and stability.
During the optimization and identification of parameters, it automatically forms and displays hundreds of complex 2D diagrams, which allows for the investigation of hydrodynamic processes at any time, if necessary, to intervene by changing the input data, thereby changing the next flow of identification and optimization.
By applying such results in the immediate production of large-sized cylinders, the developed model was fully confirmed to meet the needs of large hydropower facilities.
Future research in this area will certainly be located in the domain of modern construction solutions related to the new technology of incremental cylinder stroke by installing special encoders-sensors in the walls of the tubes–piston rods, as well as the surface protection of the piston rods with a suitable layer, using new plasma technology.
By externally mounting the hydraulic cylinder position sensor, the necessary measurements will be provided while the sensor is protected. Although the use of sensors has become more common in the fluid power industry, there are still many challenges facing the design teams that use them. One of the biggest challenges is the fact that many sensor options are too expensive. Although their costs have come down in recent years, they can still be an expensive part of the system design depending on the type of sensor required and any robustness or other aspects that might be incorporated into it.
In this research, we came to develop a new model for designing a processing system that ensures realistically high efficiency, accurate and reliable identification of the optimum, the possibility of reliable management according to the desired goal, and the possibility of transferal to other areas of research, practically without restrictions.

Author Contributions

Conceptualization, S.C., R.P. and M.A.; methodology, S.C., R.P. and M.A.; software, S.C., R.P., M.A., I.I., V.M., A.R.M. and M.V.; validation, S.C., R.P. and M.A.; formal analysis, S.C., R.P. and M.A.; investigation, S.C., R.P. and M.A.; resources, S.C., R.P. and M.A.; data curation, S.C., R.P. and M.A.; writing—original draft preparation, S.C., R.P., M.A., I.I., V.M., A.R.M. and M.V.; writing—review and editing, S.C., R.P., M.A., I.I., V.M., A.R.M. and M.V.; visualization, R.P.; supervision, R.P.; project administration, S.C., R.P. and M.A.; funding acquisition, R.P. All authors have read and agreed to the published version of the manuscript.

Funding

This paper was funded by the University “Union-NikolaTesla”, Faculty of Information Technology and Engineering.

Institutional Review Board Statement

Not applicable.

Informed Consent Statement

Not applicable.

Data Availability Statement

Data are contained within the article.

Acknowledgments

The authors would like to thank the Editor, and anonymous reviewers for their valuable reviews.

Conflicts of Interest

The authors declare no conflicts of interest.

References

  1. Chryssolouris, G. Manufacturing Systems: Theory and Practice; Springer Science and Business Media, Inc.: New York, NY, USA, 2006; ISSN 978-0387-25683-2. [Google Scholar]
  2. Swift, K.G.; Booker, J.D. Process Selection: From Design to Manufacture, 2nd ed.; Butterworth-Heinemann: Oxford, UK, 2003; ISBN 0-7506-5437-6. [Google Scholar]
  3. Banaszek, A.; Petrovic, R.; Andjelkovic, M.; Radosavljevic, M. Conceptof Efficiency of a Twin-Two-Pump Hydraulic Power Pack with Pumps Equipped in Constant Pressure Regulators with Different Linear I Performance Characteristics. Energies 2022, 15, 8100. [Google Scholar] [CrossRef]
  4. Lesniewski, T.; Stosiak, M.; Lubecki, M.; Krawczyk, J. Wear resistance of selected anti-wear coatings used in multi-material composite hydraulic cylinders. Aviation 2022, 26, 3. [Google Scholar] [CrossRef]
  5. Petrović, R. Mathematical Modeling and Experimental Verification of Operating Parameters of Vane Pump with Double Effect. Stroj. Vestn.—J. Mech. Eng. 2009, 5, 26–32. [Google Scholar]
  6. Petrović, R. Mathematical Modeling and Experimental Research of Characteristic Parameters of Hydrodynamic Processes in an axial piston Pump. Stroj. Vestn.–J. Mech. Eng. 2009, 55, 224–229. [Google Scholar]
  7. Banaszek, A.; Petrović, R. Calculations of the unloading operation in case of liquid cargo service with high density on modern product and chemical tankers equipped with hydraulic submerged cargo pumps. Stroj. Vestn.—J. Mech. Eng. 2010, 56, 3. [Google Scholar]
  8. Obrović, B.; Savić, S.; Petrović, R. Ionized gas boundary layer on bodies of revolution in the presence of magnetic field. Teh. Vjesn. —Tech. Gaz.—J. Sci. Areas 2010, 17, 35–42. [Google Scholar]
  9. Petrović, R.; Todić, N. Modeling and experimental research of characteristic parameters hydrodinamic processes of axial piston pumps with constant pressure and variable flow. In Proceedings of the 20th International Conference on Hydraulics and Pneumatics, Prague, Czech Republic, 29 September–1 October 2008. [Google Scholar]
  10. Petrović, R.; Banaszek, A.; Vasilev, A.; Batoćanin, S. Mathematical Modeling and Simulation of Sliding Contact Vane/Profiled Stator of Vane Pump. In Proceedings of the Fluid Power and Motion Control FPMC 2010 Symposium, University of Bath, Bath, UK, 15–17 September 2010. [Google Scholar]
  11. Petrović, R.; Đuričić, L.; Pezdirnik, J.; Banaszek, A. Identification of Characteristic Parameters of Advanced Seawater Hydraulic Axial Piston Pump. In Proceedings of the 52nd National Conference on Fluid Power (NCFP) were presented during the International Exposition for Power Transmission (IFPE 2011), Las Vegas, NV, USA, 23–25 March 2011. [Google Scholar]
  12. Petrović, R.; Pezdirnik, J.; Banaszek, A. Mathematical Modeling and Experimental Research of novel seawater hydraulic axial piston pump. In Proceedings of the Twelfth Scandinavian International Conference on Fluid Power, Tampere, Finland, 18–20 May 2011. [Google Scholar]
  13. Petrović, R.; Pezdirnik, J.; Živković, M. Mathematical modeling and identification of hydrodinamic processes of a piston radial pump. In Proceedings of the Mednarodne Conference Fluidnatehnika 2011, Maribor, Slovenia, 15–16 September 2011. [Google Scholar]
  14. Petrović, R.; Pezdirnik, J.; Todić, N. Results of measuring the parameters of operating process in an axial piston pump and its statistic and FFT analysis. In Proceedings of the FLUIDNA TEHNIKA 2009, Maribor, Slovenia, 17–18 September 2009. [Google Scholar]
  15. Plummer, A.R. Control techniques for structural testing: A review. Proc. Inst. Mech. Eng. Part I J. Syst. Control Eng. 2007, 221, 139–169. [Google Scholar]
  16. Petrović, R.; Ivanović, P.; Todić, N. Experimental research of characteristic parameters of hydrodinamic processes in a piston axial pump. Tract. Power Mach. 2008, 13, 35–42. [Google Scholar]
  17. Glavčić, Z.; Petrović, R. Computer program for mathematical modeling and identification of hydrodynamic processes of a radial piston pump. In Proceedings of the 6th FPNI—PhD Symposium, West Lafayette, IN, USA, 15–19 June 2010. [Google Scholar]
  18. Petrović, R.; Mihailović, G.; Đuričić, L. Experimental Research and Analysis of Working and Constructive Parameters of Hydro Pumps with Const. Pressure and Variable Flow. In Proceedings of the 3rd International Workshop on Aircraft System Technologies AST 2011, Hamburg, Germany, 31 March–1 April 2011. [Google Scholar]
  19. Birkofer, H. The Future of Design Methodology; Springer: London, UK, 2011; ISBN 978-0-85729-614-6. [Google Scholar]
  20. Scallan, P. Process Planning: The Design/Manufacture Interface; Butterworth-Hienemann: Boston, MA, USA, 2003; ISBN 0-7506-5129-6. [Google Scholar]
Figure 1. (1) Rear cover. (2) Piston seal. (3) Piston. (4) Cylinder tube. (5) Piston rod. (6) Front cover. (7) Piston rod seal.
Figure 1. (1) Rear cover. (2) Piston seal. (3) Piston. (4) Cylinder tube. (5) Piston rod. (6) Front cover. (7) Piston rod seal.
Applsci 14 07393 g001
Figure 2. Segmental shutter cylinder with support. TrestGidromontaž, Russia. Experiment: 2016. Electrohydraulic systems for manipulation 5 segmental closures on the overflow fields of the dam and 4 fast pre-turbine shutters at the entrance building.
Figure 2. Segmental shutter cylinder with support. TrestGidromontaž, Russia. Experiment: 2016. Electrohydraulic systems for manipulation 5 segmental closures on the overflow fields of the dam and 4 fast pre-turbine shutters at the entrance building.
Applsci 14 07393 g002
Figure 3. The influence of suction pressure p u on the gradient of pressure increase in the cylinder, p c .
Figure 3. The influence of suction pressure p u on the gradient of pressure increase in the cylinder, p c .
Applsci 14 07393 g003
Figure 4. Pressure flow in the pressure chamber p v when changing the pressure p u in the working fluid.
Figure 4. Pressure flow in the pressure chamber p v when changing the pressure p u in the working fluid.
Applsci 14 07393 g004
Figure 5. Functional measurement and control scheme with a pneumatic sensor: (1) Air supply from the system. (2) Faucet. (3) Moisture separator (condensate). (4) Filter. (5) Pressure regulator. (6) Pressure stabilizer. (7) Measuring device. (8) Measuring scale with float. (9) Indicator of measuring quantity. (10) Air line. (11) Measuring head. (12) Measuring object ( x T , measurement size with tolerance T ; ± Δ x , change of measurement size   x T ; z , clearance between measuring head and measuring object).
Figure 5. Functional measurement and control scheme with a pneumatic sensor: (1) Air supply from the system. (2) Faucet. (3) Moisture separator (condensate). (4) Filter. (5) Pressure regulator. (6) Pressure stabilizer. (7) Measuring device. (8) Measuring scale with float. (9) Indicator of measuring quantity. (10) Air line. (11) Measuring head. (12) Measuring object ( x T , measurement size with tolerance T ; ± Δ x , change of measurement size   x T ; z , clearance between measuring head and measuring object).
Applsci 14 07393 g005
Figure 6. Block diagram of the OPTIA program.
Figure 6. Block diagram of the OPTIA program.
Applsci 14 07393 g006
Table 1. OPTIA.DAT file of input parameters for identifying the duty cycle.
Table 1. OPTIA.DAT file of input parameters for identifying the duty cycle.
I. Basic data
1.Number of measured dataNMER = 4096
2.Volume of output dataIPRINT = 0
3.Maximum number of function passesNFMAX = 400
4.Maximum number of iterationsITEMAX = 900
II. Data of desired parameters for optimization:
It is answered by writing the answer (1 = yes and 0 = no)
1.It is answered by writing the answer (1 = yes and 0 = no)DELTP = 0
2.Suction pressureBETAG = 0
3.Tilt angle of inclined plate (cylin. block)VT = 1
4.The volume of the pressure chamberVS = 1
5.The volume of the suction chamberDC = 0
6.Pump cylinder diameterDER = 0
7.Radial clearance of the piston in the cylinderVCMIN = 0
8.Volume of harmful spaceR1U = 0
9.The base radius of the intake port of the distribution boardR2U = 1
10.Radius of the distribution plate suction openingALM1G = 0
11.The angle of the start of the suction phase on the distribution boardDVI = 0
12.Pressure valve opening diameterHVI = 0
13.Maximum lifting height of the pressure valve plateCVI = 1
14.Pressure valve spring stiffnessEMVI = 0
15.Pressure valve plate massDCEI = 0
16.Pressure pipe diameterLC = 1
17.The length of the pressure pipelineAMICEI = 0
III. Starting values of parameters for optimization:
1.Suction pressureBETAG = 10.5
2.Angle of inclination of the inclined plate (cylinder block)VT = 2.81 × 10−4
3.The volume of the pressure chamberVS = 5.0 × 10−4
4.The volume of the suction chamberDC = 28 × 10−3
5.Pump cylinder diameterDER = 10.8 × 10−6
6.Radial clearance of the piston in the cylinderVCMIN = 27.61 × 10−6
7.Volume of harmful spaceR1U = 35 × 10−3
8.The base radius of the intake port of the distribution boardR2U = 51 × 10−3
9.Radius of the distribution plate suction openingALM1G = 27.00
10.ReserveALM2G = 29.77
11.The angle of the start of the suction phase on the distribution boardDVI = 8 × 10−3
12.Pressure valve opening diameterHVI = 3.5 × 10−3
13.Maximum lifting height of the pressure valve plateCVI = 1104.7
14.Pressure valve spring stiffnessEMVI = 4.5 × 10−3
15.Thrust valve plate massDCEI = 20 × 10−3
16.Pressure pipe diameterLC = 1.65
17.The length of the pressure pipelineAMICEI = 0.0145
Table 2. Numerical values of initial and seven optimized parameters.
Table 2. Numerical values of initial and seven optimized parameters.
Serial NumberThe Name of the ParameterAnalytical ExpressionComputer the ProgramDimensionValues
DepartureOptimal
1.Suction pressurepuPUPa2.68 × 1053.347 × 105
2.The volume of the pressure chamberVvVTm32.81 × 10−42.96 × 10−4
3.The volume of the suction chamberVsVSm35.0 × 10−45.04 × 10−4
4.Radius of the center of the suction opening of the distribution boardR2R2Um5.1 × 10−24.61 × 10−2
The angle of the beginning of the suction phaseα2ALM2G29.7728.4
6.Pressure valve spring stiffnesscvCVIN/m1104.71218
7.The length of the pressure pipelineLcLCm1.651.462
Table 3. Initial and optimized values of the total degree of cylinder utilization expressed in %.
Table 3. Initial and optimized values of the total degree of cylinder utilization expressed in %.
Serial NumberModeValues
p barn min−1Initial Parameters7 Optimized Parameters4 Optimized Parameters
1.5080093.696.295.8
2.16080086.693.192.6
3.18080085.392.191.7
4.180100085.392.191.7
5.20080084.191.490.65
6.200875.684.191.490.65
7.200100084.191.490.65
Disclaimer/Publisher’s Note: The statements, opinions and data contained in all publications are solely those of the individual author(s) and contributor(s) and not of MDPI and/or the editor(s). MDPI and/or the editor(s) disclaim responsibility for any injury to people or property resulting from any ideas, methods, instructions or products referred to in the content.

Share and Cite

MDPI and ACS Style

Cvejić, S.; Petrović, R.; Andjelković, M.; Ilić, I.; Mutavči, V.; Radosavljević Mihajlović, A.; Vuruna, M. Development of Methodologies and Software for Design, Simulation and Optimization of Oil Hydraulic Cylinders of Large Dimensions and Power. Appl. Sci. 2024, 14, 7393. https://doi.org/10.3390/app14167393

AMA Style

Cvejić S, Petrović R, Andjelković M, Ilić I, Mutavči V, Radosavljević Mihajlović A, Vuruna M. Development of Methodologies and Software for Design, Simulation and Optimization of Oil Hydraulic Cylinders of Large Dimensions and Power. Applied Sciences. 2024; 14(16):7393. https://doi.org/10.3390/app14167393

Chicago/Turabian Style

Cvejić, Stefan, Radovan Petrović, Maja Andjelković, Ivana Ilić, Vjačeslav Mutavči, Ana Radosavljević Mihajlović, and Mladen Vuruna. 2024. "Development of Methodologies and Software for Design, Simulation and Optimization of Oil Hydraulic Cylinders of Large Dimensions and Power" Applied Sciences 14, no. 16: 7393. https://doi.org/10.3390/app14167393

APA Style

Cvejić, S., Petrović, R., Andjelković, M., Ilić, I., Mutavči, V., Radosavljević Mihajlović, A., & Vuruna, M. (2024). Development of Methodologies and Software for Design, Simulation and Optimization of Oil Hydraulic Cylinders of Large Dimensions and Power. Applied Sciences, 14(16), 7393. https://doi.org/10.3390/app14167393

Note that from the first issue of 2016, this journal uses article numbers instead of page numbers. See further details here.

Article Metrics

Back to TopTop