Abstract
Crack stress thresholds in rocks have long been a popular subject in rock mechanics and engineering research. In this study, the applicability of existing methods for determining the crack stress thresholds of granite and weakly cemented porous siltstone is investigated using step loading and unloading tests. In addition, a novel method for decomposing the volumetric strain into solid-phase linear elastic strain, gas-phase nonlinear elastic strain, and plastic volumetric strain is presented. A quantitative calculation method for determining these thresholds is proposed based on the evolution law of the gas-phase volumetric strain and the physical significance of crack stress thresholds. The initiation and termination points of the stationary stage of the gas-phase volumetric strain are determined as and ; the point at which the gas-phase strain changes from positive to negative is determined as . To validate the proposed method, statistical results of the existing methods after screening are compared with the results of the proposed method. The results show that the proposed method provides reasonable crack stress thresholds for siltstone and granite and is applicable to rocks with similar stress–strain behaviors. The proposed method offers the advantages of independence from other methods, suitability across high and low confining pressures, and the capability for the quantitative calculation and processing of numerous samples.
1. Introduction
Rocks are natural geological materials that are vital in various engineering applications, including mining, civil engineering, and nuclear waste disposal. During construction and operation, rocks are often subjected to stress disturbances, such as excavation and vibration [1,2]. Hence, their crack propagation stress thresholds are important mechanical properties for engineering applications.
Deformation and crack propagation processes in rock are broadly divided into four stages: crack closure, elastic deformation, stable crack growth, and unstable crack growth [3,4,5,6]. These four stages are distinguished based on four stress thresholds: crack closure stress (), crack initiation stress (), and crack damage stress (). Crack closure stress is related to the density and geometric characteristics of existing cracks in rocks [7]. Crack initiation stress represents the in situ spalling strength of the surrounding rock in tunnel, indicating the generation of new cracks and termination of the elastic deformation stage [8,9]. When stress exceeds the crack initiation stress, the crack propagates stably, parallel to the maximum principal stress direction [10]. When the stress exceeds the crack damage stress, the energy released during crack propagation leads to further propagation of the cracks, that is, unstable crack propagation [11,12]. Martin and Chandler suggested that the crack damage stress threshold indicated long-term strength, above which failure of the rock specimen occurred if the test was run for a sufficiently long time [10]. Therefore, a reasonable determination of crack stress thresholds is crucial for understanding the process of rock damage [13,14].
The past four decades have witnessed the development of several methods for the determination of crack stress thresholds of rocks (Figure 1). Eberhardt et al. [15] used the “sliding window” approach to calculate axial stiffness and determine crack stress thresholds based on the relationship between axial stiffness and axial stress. Du [16] proposed a modified axial stiffness method that considers the confining pressure. Chenet et al. [17] proposed that 10% of total data was the most appropriate regression interval for determining the . Gong and Wu [18] proposed a load–unload response ratio method to determine the crack closure and damage stresses. Ning et al. [19] determined crack stress thresholds based on the ratio of the dissipated energy to the total energy. Peng et al. [20] proposed the axial strain response (ASR) method to calculate the crack stress thresholds quantitatively. The ASR method determines the crack closure stress using the maximum axial strain difference between the stress–strain curve and a reference connected point O, . The compression coefficient response (CCR) method uses the straight line between O and as the reference line [7]. These two methods provide numerical approaches for determining the crack stress thresholds; however, they rely on and , respectively, which are obtained using other methods [21].
Figure 1.
Schematic of various methods for determining crack stress thresholds: (a) axial stiffness, (b) ASR and CCR, (c) LSR, (d) LSIR, (e) volumetric strain, (f) CVS, (g) AE, (h) CAEHT, and (i) dissipated energy ratio methods.
Crack stress thresholds can also be determined based on the lateral and volumetric strains. Lajtai [22] determined and based on the point at which the lateral strain entered and deviated from the linear stage. Diederichs [23] determined by the instantaneous Poisson’s ratio. Nicksiar and Martin [24] proposed the lateral strain response (LSR) method, which determines using the maximum lateral strain difference between the stress–strain curve and a reference line connecting the O and . However, the theoretical basis and physical significance of the LSR method remain unclear, and the results strongly correlate with crack damage stress [14,25]. Based on the LSR method, Wen et al. [25] proposed the relative compression strain response method. Tang et al. [26] analyzed the influence of Poisson’s ratio on the LSR method and used as the end point of the reference line (lateral strain interval response method, LSIR). Brace [27] first adopted volumetric strain to calculate the crack stress thresholds by choosing the start and end points of the linear segment of the volumetric strain as the crack closured and crack initiation stress, respectively. Bienawaski [28] considered the axial stress level of the total volumetric strain inversion to be the beginning of crack instability and propagation. Martin and Chandler [10] proposed the crack volumetric strain (CVS) method to calculate the crack closure and initiation stress. However, the accuracy of this method is highly dependent on the elastic modulus and Poisson’s ratio in the elastic deformation stage. A Poisson’s ratio difference of 0.05 resulted in a 40% change in . In addition, the crack stress thresholds can be calculated through volumetric stiffness–stress curves. The stresses corresponding to the start and end points of the linear segment are crack closure and initiation stresses, respectively [15].
Acoustic emission (AE) is a low-energy seismic event caused by inelastic deformation, such as particle dislocation or crack initiation [29]. Owing to its sensitivity to rock cracking and damage, acoustic emission is an excellent tool for investigating crack evolution in rocks [15]. Eberhardt determined crack stress thresholds using the average ring-down count and cumulative energy [15]. However, this method relies on subjective judgment, making it difficult to guarantee the stability of the results. Zhao et al. [14] proposed the cumulative AE hits (CAEHT) method for the quantitative calculation of , which relies on an S-shaped cumulative hits count curve. However, the cumulative ring count curve for a large number of rocks exhibits a J-shaped pattern, showing a slight inclination in the crack closure and elastic deformation stages and fluctuating sharply in the critical failure stage [25]. In addition, acoustic noise and emission activities are mixed during the test process, making it difficult to distinguish acoustic events caused by crack propagation from noise [19].
Although many researchers have studied crack stress thresholds, the accurate determination of crack stress thresholds remains challenging, and no unified solution is available [30]. In addition, most studies on crack stress thresholds have been focused on dense brittle rocks; however, the deformation and failure patterns of porous rocks are relatively different from dense brittle rocks [31,32]. Porous rocks exhibit plastic compaction owing to a reduction in the average spacing of rock particles [33], which enables porous rocks to show settlement deformation in engineering [34]. In contrast, the plastic volumetric strain of hard rock is minimal before the peak, and general models such as the Hoek–Brown [35,36] and Drucker–Prager [37] models do not consider plastic compaction. These differences affect the calculation of crack stress thresholds.
In this study, step loading and unloading experiments were carried out on siltstone and granite, and the applicability of several existing methods to siltstone and granite was investigated. Subsequently, a novel volumetric strain decomposition method was proposed based on the deformation characteristics of siltstone and granite, which decomposed the volumetric strain into solid-phase linear elastic, gas-phase nonlinear elastic, and plastic strains. Finally, a novel approach for quantifying crack stress thresholds was proposed and compared with existing methods.
2. Materials and Methods
The siltstone and granite specimens used were obtained from the same rock, respectively, to ensure reliable results. The siltstone (Figure 1a) is 19.9% porous and consisted of quartz, plagioclase, and mica. The particle size of the siltstone ranged from 1 to 104 µm, of which 71.67% was smaller than 38 µm. The granite (Figure 1b) consists of quartz, feldspar, and mica, along with small amounts of zircon and hornblende. Based on the International Society for Rock Mechanics standards [38,39], cylindrical specimens 50 mm in diameter and 100 mm in height were prepared. The unevenness of the rock specimens after grinding was within 0.02 mm.
The step loading and unloading tests were conducted using the MTS815 servo-hydraulic testing machine (Figure 1c). As shown in Figure 2, an axial extensometer (50 mm scale) and a chain-type circumferential extensometer were used for the displacement measurements. The AE signal was monitored using a PCI Express-8 AE system and four Micro30 sensors. The threshold value of the AE acquisition system, gain value of the preamplifier, and sampling frequency were set to 37 dB, 40 dB, and 5 million samples per second, respectively.
Figure 2.
(a) Siltstone specimens, (b) granite specimens, and (c) rock compression system.
Step loading and unloading experiments were performed to obtain the strain and plastic strain responses of granite and siltstone simultaneously. Many experimental results have shown that when the number of cycles of triaxial step loading and unloading is small, cyclic loading has a slight effect on the strength and deformation characteristics [2,40]. Hence, the stress increment in each step was designed based on the estimated peak strength to sure approximately 10 cycles before the peak stress (Table 1). Figure 3 shows typical stress paths in the triaxial step loading and unloading tests. The experimental details are as follows:
Table 1.
Upper limit increments of in the triaxial step loading and unloading tests.
Figure 3.
Stress path of triaxial step loading and unloading tests ( = 4 MPa).
(a) Predetermined confining pressures (4, 8, 12, 16, and 20 MPa) were applied at a rate of 0.1 MPa/s. (b) Loading and unloading were performed using axial stress control. The loading rate was set to 0.25 MPa/s. The unloading rate was 0.75 MPa/s, which was faster than the loading rate to prevent sudden failure during unloading. The minimum axial stress per cycle was greater than the confining pressure by 0.25 MPa to maintain the specimen in contact with the testing machine. (c) To prevent sudden failure, loading was controlled by circumferential deformation at a rate of 0.02 mm/min when the volumetric strain started to decrease. (d) The test was terminated when the axial stress decreased during the loading stage. (e) The acquisition of AE signals began synchronously with the acquisition of stress–strain.
3. Results
3.1. Stress–Strain Results
The stress–strain curves of the rock specimens in the triaxial step loading and unloading tests are shown in Figure 4 and Figure 5. The axial plastic strain of siltstone is considerably greater than that of granite. When the confining pressure is 0 MPa, the lateral expansion of siltstone is significant, and the residual lateral strain is much larger than that of granite. However, the siltstone exhibits obvious compressive deformation under high confining pressures and remains in a state of compression even after failure, indicating that the confining pressure significantly inhibits the lateral expansion. Compared with granite, the inflection points of the stress–volumetric strain curve for siltstone is more sensitive to the confining pressure. When the confining pressure is 0 MPa, the inflection point is located in the linear stage of the stress–axial strain curve, and the ratio of the stress corresponding to the inflection point to the peak stress is 0.45. However, when the confining pressure is 20 MPa, the inflection point is in the nonlinear stage of the stress–axial strain curve, and the ratio of the stress corresponding to the inflection point to the peak stress is 0.8. This suggests that for siltstone, the strain inflection point may no longer be related to the stage of unstable crack propagation.
Figure 4.
Stress–strain curves of siltstone under triaxial step loading and unloading tests for different values of : (a) 0 MPa, (b) 4 MPa, (c) 8 MPa, (d) 12 MPa, (e) 16 MPa, and (f) 20 MPa.
Figure 5.
Stress–strain curves of granite under triaxial step loading and unloading tests for different values of : (a) 0 MPa, (b) 4 MPa, (c) 8 MPa, (d) 12 MPa, (e) 16 MPa, and (f) 20 MPa.
3.2. Crack Stress Thresholds Using Existing Methods
The crack stress thresholds of siltstone (Figure 6) and granite (Figure 7) were determined using various methods including the CVS, ASR, CCR, axial stiffness, volumetric stiffness, volumetric strain, AE, LSR, LSIR, and dissipated energy ratio methods. The crack stress thresholds for siltstone obtained from different methods widely fluctuated, with overlapping ranges (Figure 8a), while clear boundaries were observed for different crack stress thresholds in the case of granite (Figure 8b). At low confining pressures, of the siltstone calculated by various methods are found to be similar. However, for confining pressure greater than 10 MPa, the calculated using the ASR and CCR methods are lower than those obtained by employing other methods. The obtained by the axial stiffness method is significantly higher than those obtained by other methods, gradually converging toward the average value as the confining pressure increases. The of siltstone obtained using the volumetric strain method is lower than those obtained using other methods, particularly at confining pressures below 4 MPa, indicating that the volumetric strain method is unsuitable for siltstone under these conditions.
Figure 6.
Crack stress thresholds for siltstone: (a) crack closure stress, (b) crack initiation stress, and (c) crack damage stress.
Figure 7.
Crack stress thresholds for granite: (a) crack closure stress, (b) crack initiation stress, and (c) crack damage stress.
Figure 8.
Box diagrams of crack stress thresholds calculated by various methods for (a) siltstone and (b) granite.
The stress threshold patterns of granite under different confining pressures are similar to those of siltstone. The calculated using the axial stiffness, CCR, and ASR methods, which are based on axial deformation, are lower than those obtained using CVS and volumetric stiffness methods. The of granite obtained by the axial stiffness method is also larger than those obtained using the other methods at low confining pressures. The LSR method yields the lowest , whereas its modified LSIR method produces results closer to the average value.
The varying results between siltstone and granite are closely related to the mesostructure of the rock types. Due to the high porosity of siltstone, the average spacing of rock particles gradually decreases with an increase in pressure, resulting in an evident plastic volumetric strain, an enhanced deformation modulus, and a significant nonlinear stress–strain curve [41]. The significant nonlinearity of the axial stress–strain curve of siltstone increases the calculated by the axial stiffness method. Conversely, it reduces the slope of the ASR and CCR reference lines, causing them to differ more from the slope of the linear section of the stress–strain curve and thereby decreasing the calculated results of the ASR and CCR [25]. Consequently, the obtained by the axial stiffness method for siltstone closely align with those obtained by the volumetric stiffness and crack volumetric strain methods. Similarly, the obtained by the axial stiffness method for granite closely match those obtained by the ASR and CCR methods. During the initial stage of axial loading, the stress–axial strain curves of siltstone and granite enter the linear phase earlier than the stress–lateral strain curves (Figure 4 and Figure 5), indicating that cracks perpendicular to the axial direction are compacted earlier than cracks parallel to the axial direction [42]. The principle of the ASR and CCR methods is to determine the approximate starting point of the linear section of the stress–axial strain curve, whereas the principle of the volumetric stiffness and CVS methods is to determine the approximate starting point of the linear section of the stress–volumetric strain curve. Therefore, the obtained by the ASR and CCR methods are less than those obtained by the volumetric stiffness and CVS methods. And the wide scatter of in Figure 8 is attributed to the two definitions of crack closure.
When the confining pressure is 0–4 MPa, the compaction of siltstone before deviatoric stress loading is in a small degree. The plastic compaction caused by hydrostatic pressure during deviatoric stress loading continues slowly even after the crack closure stage [43], resulting in a longer linear stage of the stress–axial strain curve of siltstone compared with that under higher confining pressure. Consequently, the axial stiffness method produces a higher compared to other methods, resulting in larger outliers in Figure 8a. Granite shows a small plastic compaction and deformation modulus increasement. However, when the confining pressure is 0–4 MPa, the axial plastic strain generated before the peak is extremely small, making it difficult to determine the critical point of the stress–axial strain curve from linear to nonlinear. This led to the of granite calculated by the axial stiffness method to become higher than that of other methods and results in larger outliers, as shown in Figure 8b. The stress–lateral strain curves of siltstone specimens and granite specimens under high confining pressure show significant nonlinearity during the crack closure stage, causing the reference line slope of the LSR method to be smaller than that of the linear stage. This results in the obtained by the LSR method being less than the actual [26], and the lower bound of in Figure 8 being significantly lower than its mean value.
During deviational stress loading, the plastic shear strain increases simultaneously with plastic compression, resulting in dilatancy [44]. Since dilatancy is negatively correlated with the confining pressure [45], when the confining pressure is 0 MPa, the dilatancy of siltstone exceeds the plastic compaction at a lower stress, resulting in an early expansion of the volumetric strain. Correspondingly, the larger the confining pressure, the later the volume strain begins to expand. This results in the of siltstone calculated by the volumetric strain method being lower than that using other methods and the of siltstone exhibiting wider scatter under confining pressure of 0 MPa.
4. Novel Method of Crack Stress Threshold Calculation
The volumetric strain of a rock reflects the volume of the crack, which is advantageous for calculating the crack stress thresholds. However, the CVS method, which decomposes the volumetric strain into two parts, cannot describe the changes in the rock mesostructure owing to the complex composition of rock deformation. Therefore, a finer decomposition of the volumetric strain is required to improve the accuracy of crack stress thresholds.
4.1. Modified Strain Decomposition Method
The volumetric strain of a rock can be decomposed into elastic strain and plastic strain . During cyclic loading and unloading, the volumetric strain after unloading is the plastic volumetric strain at the upper limit stress. The difference between the total strain at the upper limit stress and the plastic body strain is the elastic volumetric strain.
The elastic strain of a rock comprises three parts (Figure 9): (a) The linear elastic strain of the solid-phase is dominated by rock particles () [46]. (b) The recoverable strain of pores and cracks is the elastic compaction strain, where the growth rate is inversely proportional to the stress level [20]. The original pores and cracks gradually close in the axial direction as stress gradually increases. (c) Elastic expansion strain along the transverse direction produced by the reversible deformation in the form of secondary tensile cracks in the rock is caused by the relative displacement between shear cracks. The strain gradually increases with increasing stress [15]. The latter two strains can be regarded as gas-phase nonlinear elastic volumetric strains ().
Figure 9.
Components of elastic volumetric strain: (a) solid-phase strain, (b) axial compaction strain, and (c) elastic expansion of a tension crack.
During the crack closure stage, there are a few cracks in the rock, and the volumetric strain is mainly generated by solid-phase deformation and crack closure. Therefore, the stress–axial strain curve exhibits a concave curve with a positive slope. As the load increases, the elastic expansion along the transverse direction increases, thereby increasing the slope of the stress–volumetric strain curve during the unloading stage.
The solid phase of rock can be modeled as linear elastomers, and the deformation of the solid phase of rock under load follows the generalized Hooke’s law:
where is the solid-phase strain; i = 1, 2, 3; , , and are the stresses on the rock with ; E is the elastic modulus; is the Poisson’s ratio; and K is the bulk modulus.
According to Equation (1), the volumetric strain of the solid phase can be expressed as follows:
where is the solid-phase volumetric strain.
Equation (2) can be expressed in the form of the hydrostatic pressure and bulk modulus. The bulk modulus is measured by the unloading tangent modulus of the stress–volumetric strain curve at the maximum volumetric strain. This approach minimizes the influence of gas-phase deformation (Figure 10).
where K is the bulk modulus, and is the hydrostatic pressure.
Figure 10.
Schematic of volumetric strain decomposition ( = 0 MPa) for different loading and unloading cycles: (a) 2nd, (b) 4th, (c) 6th, and (d) 8th cycle.
The gas-phase volumetric strain is calculated by subtracting the plastic- and solid-phase volumetric strains from the total volumetric strain.
where is gas-phase volumetric strain, is the total strain at the upper limit, and is the plastic volumetric strain.
4.2. Results of Volumetric Strain Decomposition
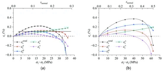
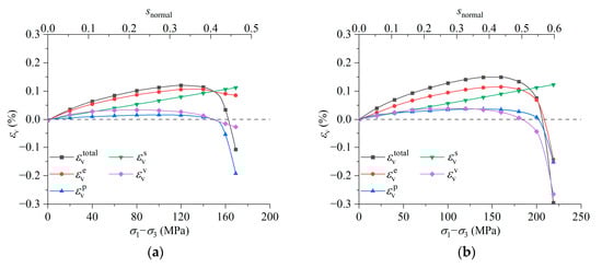
The volumetric strain decomposition results for siltstone and granite based on the proposed method are shown in Figure 11 and Figure 12, respectively. The deviational stresses of each specimen were normalized (Equation (7)) to enhance the comparison. The plastic volumetric strain of granite under different confining pressures is approximately constant, whereas the plastic volumetric strain of siltstone increases gradually with an increase in confining pressure, owing to its high porosity and compressibility. The elastic volumetric strain patterns of siltstone and granite are similar, with a slow decline over a long time period after reaching the maximum value and a rapid decline near the peak stress. Additionally, the ratio of stress corresponding to the maximum elastic strain to peak stress for siltstone gradually increases, whereas it decreases for granite.
where is normalized deviatoric stress, is confining pressure, is axial stress, and is peak axial stress when = 20 MPa.

Figure 11.
Volumetric strain decomposition of siltstone for different values of : (a) 0 MPa, (b) 4 MPa, (c) 8 MPa, (d) 12 MPa, (e) 16 MPa, and (f) 20 MPa.

Figure 12.
Volumetric strain decomposition of granite for different values of : (a) 0 MPa, (b) 4 MPa, (c) 8 MPa, (d) 12 MPa, (e) 16 MPa, and (f) 20 MPa.
The elastic strain is decomposed into solid- and gas-phase strains. The solid-phase volume strain increases linearly with the stress. The gas-phase strain is mainly caused by axial crack compression when the axial stress is low. As the axial stress increases, the elastic expansion of the tensile crack increases, whereas the rate of crack elastic compression decreases, leading to a slowdown and eventual decrease in the growth of the gas-phase volumetric strain. The gas-phase strain changes from positive to negative during this stage, indicating that the elastic expansion strain caused by the tension crack exceeds the strain produced by axial crack elastic compaction.
4.3. Determination of Crack Stress Threshold Based on Gas-Phase Volumetric Strain
The gas-phase volumetric strain directly reflects the extent of crack development. Therefore, gas-phase volume strain is suitable for determining the crack stress threshold. The gas-phase volumetric strain tends to be constant near the maximum point, indicating minimal crack propagation during this stage. The change from positive to negative in the rock gas-phase strain indicates that the volume of cracks has exceeded their initial state. Thereafter, the bearing area of the rock becomes smaller than its original value and gradually decreases with increasing stress and crack propagation. Therefore, the initiation and termination points of the stationary stage of the gas-phase volumetric strain curve can be considered as the crack closure and initiation stresses, respectively. The stress at which the gas-phase volumetric strain changes from positive to negative is considered the crack damage stress (Figure 13).
Figure 13.
Novel calculation method of crack stress thresholds: (a) stress–strain curve, (b) bulk modulus calculation, and (c) crack stress thresholds calculation.
To quantitatively determine the stationary stage of the gas-phase volumetric strain curve, the gas-phase volumetric strain before the damage stress is generalized into three segments: nonlinear segment OB, linear segment BC, and nonlinear segment CD. The nonlinear segment could be quadratically generalized into bilinear segments (OA–AB and CD–DE). Connecting OB, AC, BD, and CE as reference lines, points A, B, C, and D correspond to the maximum difference between the gas-phase volumetric strain and the reference line (Figure 14a).

Figure 14.
Determination of the stationary stage: (a) three stages of gas-phase volumetric strain curve, (b) initialization, (c) updated points B and C, and (d) updated points A and D.
Owing to the interaction between the decomposition points, it is necessary to calculate them using an iterative method (Figure 15). The steps are as follows:
Figure 15.
Flowchart of determining the stationary stage.
- (a)
- Initialization: Point A is initialized to origin O, point D is initialized to point E where the volume strain changes from positive to negative, and points B and C are initialized to the peak of gas-phase volumetric strain (Figure 14b);
- (b)
- Update points B and C: Draw reference lines AC and BD and move points B and C to the maximum deviation between the gas-phase volumetric strain and the reference line, respectively (Figure 14c);
- (c)
- Update points A and D: Draw reference lines OB and CE and move points A and D to the maximum deviation between the gas-phase volumetric strain and the reference line, respectively (Figure 14d);
- (d)
- Termination judgment: The calculation is terminated if the stress corresponding to points A, B, C, and D changes by less than 0.1 MPa compared to its previous value. Otherwise, steps (b) and (c) are repeated. The final positions of points B and C correspond to crack initiation and damage stresses (Figure 14a).
4.4. Calculation Results
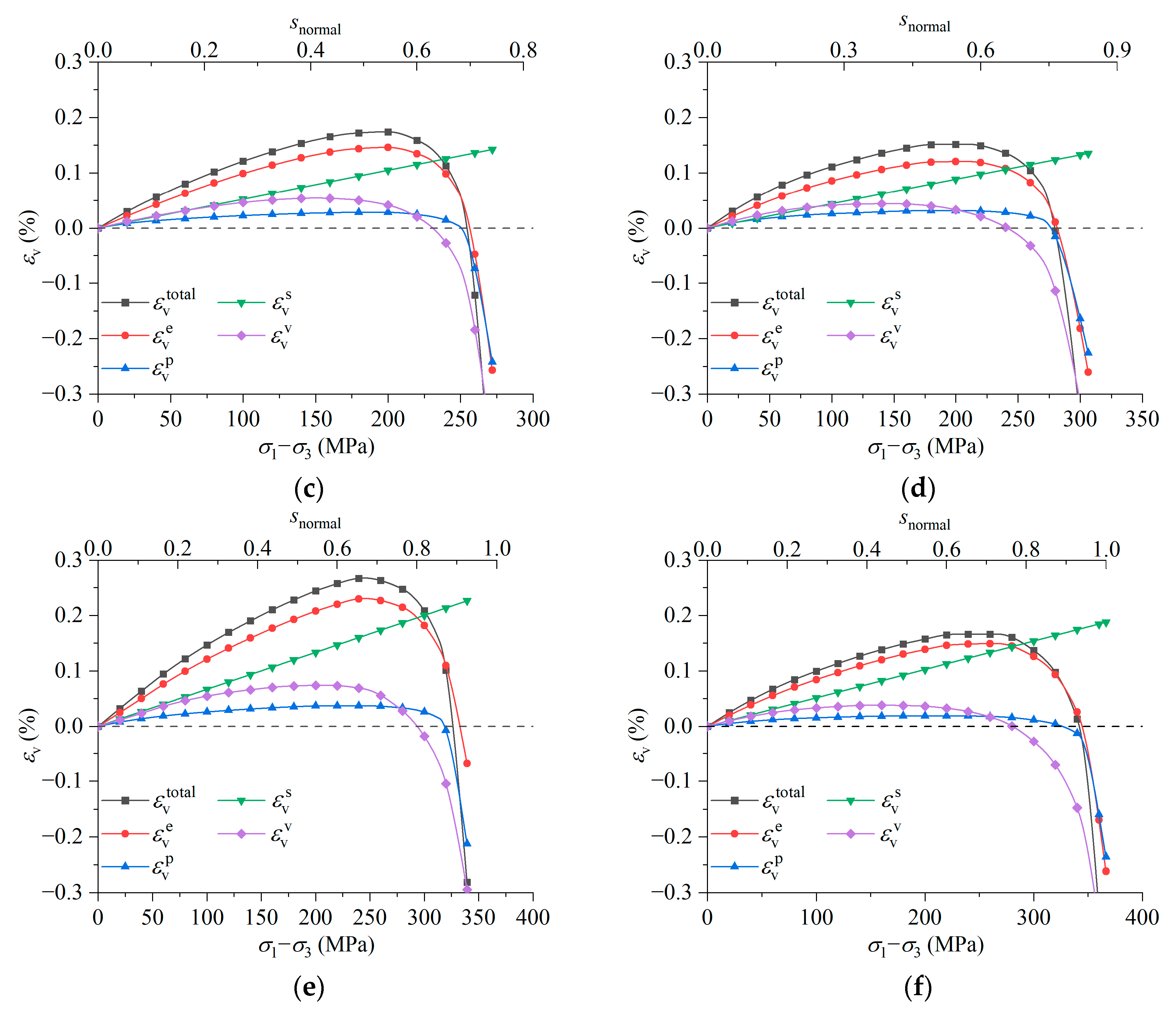
The crack stress thresholds of siltstone and granite are calculated by the proposed method. To obtain a reasonable standard value of characteristic stress, based on the analysis in Section 3.2, the results with large deviation from the mean value of the existing methods are excluded, followed by statistical analysis of the remaining results. The excluded results include the obtained by the ASR and CCR methods, the obtained by the LSR method, the obtained by the axial stiffness method under confining pressure 0~4 MPa, and the of siltstone obtained by the volumetric strain method under confining pressure 0 MPa. The statistical results of the existing methods after screening and those of the proposed method are shown in Figure 16.
Figure 16.
Crack stress thresholds calculated by the proposed and existing methods: (a) siltstone and (b) granite.
The , , and of siltstone and granite obtained by the proposed method are close to the mean values of the results obtained by existing methods and exhibit similar trends. Furthermore, the differences between the proposed method results and the mean values of the existing method results are mostly within 1.5 times the standard deviation, indicating that the proposed characteristic stress calculation method provides reasonable results.
The , , and of siltstone and granite obtained by the proposed method increase linearly with confining pressure. The difference between and of siltstone remains stable under different confining pressures. The /, /, and / ratios of siltstone are positively correlated with confining pressure (Figure 17a). The difference between / and / of siltstone remains stable. The / and / ratios of granite remain stable at 0.3 to 0.4 and 0.5 to 0.6, respectively, under different confining pressures (Figure 17b). The positive correlation between the difference of and with confining pressure, and the negative correlation between the ratio of to and confining pressure, indicate that confining pressure suppresses unstable crack growth, thereby enhancing the ductility of granite.
Figure 17.
Relationship between crack stress thresholds and peak stress: (a) siltstone and (b) granite.
5. Discussion
The proposed method provides reasonable characteristic stresses for siltstone and granite; therefore, it is reasonable to infer that the method is also suitable for rocks with a similar stress–strain evolution. The proposed method is similar to the CSV method in the principle of determining crack initiation and closure stress but provides an accurate numerical calculation method, and the calculation results are more objective. Compared with the AE, axial stiffness, and volumetric stiffness methods, the proposed method provides a numerical calculation method, and the calculated results are more objective. Furthermore, the proposed method is more reasonable than the volumetric strain method under low confining pressure. The LSIR and dissipated energy ratio methods provide a numerical calculation for crack stress thresholds. However, the LSIR method relies on the damage stress and closure stress obtained by other methods, whereas the dissipated energy ratio method requires the dissipated energy ratio to be an inverted S-shape. Thus, the proposed method offers the advantages of independence from other methods, suitability across high and low confining pressures, and capability for quantitative calculation and processing of numerous samples.
Current studies show that the crack initiation stress represents the in situ spalling strength of the tunnel surrounding rock, while the crack damage stress threshold reflects the long-term strength and fatigue strength of the material [10,47,48,49]. Therefore, the proposed method provides more accurate crack stress thresholds, enhancing precision in assessing the long-term strength, fatigue strength, and in situ spalling strength. Consequently, this study contributes to the long-term stability analysis of engineering projects.
It should be noted that the proposed method measures the bulk modulus by the unloading tangent modulus of the stress–volumetric strain curve at the maximum volume strain, which requires the experiment to unload at the maximum volume strain and may lead to errors. Certain rocks, such as coal and marble, can exhibit minimal dilation before peak stress, with the maximum volumetric strain occurring close to the peak stress. Therefore, the proposed method cannot be used to calculate crack stress thresholds of such rocks. Hence, further research is required on crack stress thresholds based on stress–strain characteristics for such rocks.
6. Conclusions
The applicability of several existing methods to siltstone and granite is investigated, based on step cycle loading and unloading experiments. A novel volumetric strain decomposition method is proposed based on the deformation characteristics of siltstone and granite. Moreover, a novel approach for quantifying crack stress thresholds is proposed and compared with existing methods. The main findings of this study are as follows:
- Based on the volumetric strain evolution of granite and siltstone under step loading and unloading, the volumetric strain of rock is decomposed into solid-, plastic-, and gas-phase elastic volumetric strains. The solid-phase volumetric strain is calculated by hydrostatic pressure and bulk modulus;
- The proposed method for calculating crack stress thresholds determines and from the initiation and termination points of the stationary stage of the gas-phase volumetric strain and from the point at which the gas-phase strain changes from positive to negative;
- The proposed method provides reasonable characteristic stresses of siltstone and granite and is applicable to rocks with similar stress–strain evolution. However, it may not be applicable to rocks that exhibit minimal dilatancy before peak and maximum volumetric strain near the peak, such as coal and marble;
- The proposed method offers the advantages of the independence from other methods, suitability across high and low confining pressures, and the capability for quantitative calculation and processing of numerous samples. This contributes to the assessment of long-term strength, fatigue strength, in situ spalling strength of the tunnel surrounding rock, and the long-term stability analysis of engineering projects.
Author Contributions
M.L.: methodology, writing—original draft preparation. S.M.: project administration, funding acquisition, writing—review and editing. M.C.: supervision. F.L.: validation. Z.L.: resources. All authors have read and agreed to the published version of the manuscript.
Funding
This work was funded by the National Natural Science Foundation of China (Grant Nos. U2034206 and 52374077) and the National Key Research and Development Program of China (Grant No. 2022YFC3004601).
Institutional Review Board Statement
Not applicable.
Informed Consent Statement
Not applicable.
Data Availability Statement
The data presented in this study are available on request from the corresponding author.
Conflicts of Interest
The authors declare that there are no conflicts of interest regarding the publication of this paper.
References
- Cai, M.; Brown, E.T. Challenges in the Mining and Utilization of Deep Mineral Resources. Engineering 2017, 3, 432–433. [Google Scholar] [CrossRef]
- Miao, S.; Liu, Z.; Zhao, X.; Ma, L.; Zheng, Y.; Xia, D. Plastic and Damage Energy Dissipation Characteristics and Damage Evolution of Beishan Granite under Triaxial Cyclic Loading. Int. J. Rock Mech. Min. Sci. 2024, 174, 105644. [Google Scholar] [CrossRef]
- Hallbauer, D.K.; Wagner, H.; Cook, N.G.W. Some Observations Concerning the Microscopic and Mechanical Behaviour of Quartzite Specimens in Stiff, Triaxial Compression Tests. Int. J. Rock Mech. Min. Sci. 1973, 10, 713–726. [Google Scholar] [CrossRef]
- Lajtai, E.Z.; Carter, B.J.; Scott Duncan, E.J. Mapping the State of Fracture around Cavities. Eng. Geol. 1991, 31, 277–289. [Google Scholar] [CrossRef]
- Gatelier, N.; Pellet, F.; Loret, B. Mechanical Damage of an Anisotropic Porous Rock in Cyclic Triaxial Tests. Int. J. Rock Mech. Min. Sci. 2002, 39, 335–354. [Google Scholar] [CrossRef]
- Morgan, S.P.; Johnson, C.A.; Einstein, H.H. Cracking Processes in Barre Granite: Fracture Process Zones and Crack Coalescence. Int. J. Fract. 2013, 180, 177–204. [Google Scholar] [CrossRef]
- Zhang, Z.H.; Tang, C.A. A Novel Method for Determining the Crack Closure Stress of Brittle Rocks Subjected to Compression. Rock Mech. Rock Eng. 2020, 53, 4279–4287. [Google Scholar] [CrossRef]
- Diederichs, M.S.; Kaiser, P.K.; Eberhardt, E. Damage Initiation and Propagation in Hard Rock during Tunnelling and the Influence of Near-Face Stress Rotation. Int. J. Rock Mech. Min. Sci. 2004, 41, 785–812. [Google Scholar] [CrossRef]
- Kaiser, P.K.; Diederichs, M.S.; Martin, C.D.; Sharp, J.; Steiner, W. Underground Works in Hard Rock Tunnelling and Mining. In Proceedings of the ISRM International Symposium 2000, Melbourne, Australia, 19 November 2000. [Google Scholar]
- Martin, C.D.; Chandler, N.A. The Progressive Fracture of Lac Du Bonnet Granite. Int. J. Rock Mech. Min. Sci. 1994, 31, 643–659. [Google Scholar] [CrossRef]
- Diederichs, M.S. Manuel Rocha Medal Recipient Rock Fracture and Collapse under Low Confinement Conditions. Rock Mech. Rock Eng. 2003, 36, 339–381. [Google Scholar] [CrossRef]
- Meng, Q.B.; Liu, J.F.; Ren, L.; Pu, H.; Chen, Y. Long Experimental Study on Rock Strength and Deformation Characteristics under Triaxial Cyclic Loading and Unloading Conditions. Rock Mech. Rock Eng. 2021, 54, 777–797. [Google Scholar] [CrossRef]
- Amann, F.; Ündül, Ö.; Kaiser, P.K. Crack Initiation and Crack Propagation in Heterogeneous Sulfate-Rich Clay Rocks. Rock Mech. Rock Eng. 2014, 47, 1849–1865. [Google Scholar] [CrossRef]
- Zhao, X.G.; Cai, M.; Wang, J.; Li, P.F.; Ma, L.K. Objective Determination of Crack Initiation Stress of Brittle Rocks under Compression Using AE Measurement. Rock Mech. Rock Eng. 2015, 48, 2473–2484. [Google Scholar] [CrossRef]
- Eberhardt, E.; Stead, D.; Stimpson, B.; Read, R.S. Identifying Crack Initiation and Propagation Thresholds in Brittle Rock. Can. Geotech. J. 1998, 35, 222–233. [Google Scholar] [CrossRef]
- Du, R.; Pei, X.; Jia, J.; Zhang, X.; Gao, M.; Li, T.; Zhang, G. A Novel Observation Method for Determining the Crack Stress Thresholds of Rock Based on Hooke’s Law. Fatigue Fract. Eng. Mater. Struct. 2020, 43, 3050–3062. [Google Scholar] [CrossRef]
- Chen, S.W.; Yang, C.H.; Wang, G.B.; Wei, X. Experimental Study on the Determination Method of Σcc,Σci and Σcd for Granite under Different Confining Pressures. J. Northeast. Univ. 2016, 37, 1789–1793. [Google Scholar] [CrossRef]
- Gong, F.; Wu, C. Identifying Crack Compaction and Crack Damage Stress Thresholds of Rock Using Load–Unload Response Ratio (LURR)Theory. Rock Mech. Rock Eng. 2020, 53, 943–954. [Google Scholar] [CrossRef]
- Ning, J.; Wang, J.; Jiang, J.; Hu, S.; Jiang, L.; Liu, X. Estimation of Crack Initiation and Propagation Thresholds of Confined Brittle Coal Specimens Based on Energy Dissipation Theory. Rock Mech. Rock Eng. 2018, 51, 119–134. [Google Scholar] [CrossRef]
- Peng, J.; Cai, M.; Rong, G.; Zhou, C.; Zhao, X. Stresses for Crack Closure and Its Application to Assessing Stress-Induced Microcrack Damage. Chin. J. Rock Mech. Eng. 2015, 34, 1091–1100. [Google Scholar] [CrossRef]
- Zhang, B.; Liang, Y.; Zou, Q.; Ding, L. Determination of Crack Closure Stress under Constant-Fatigue Loading Based on Damage Variable Evolution. Theor. Appl. Fract. Mech. 2022, 121, 103526. [Google Scholar] [CrossRef]
- Lajtai, E.Z. Brittle Fracture in Compression. Int. J. Fract. 1974, 10, 525–536. [Google Scholar] [CrossRef]
- Diederichs, M.S. The 2003 Canadian Geotechnical Colloquium: Mechanistic Interpretation and Practical Application of Damage and Spalling Prediction Criteria for Deep Tunnelling. Can. Geotech. J. 2007, 44, 1082–1111. [Google Scholar] [CrossRef]
- Nicksiar, M.; Martin, C.D. Evaluation of Methods for Determining Crack Initiation in Compression Tests on Low-Porosity Rocks. Rock Mech. Rock Eng. 2012, 45, 607–617. [Google Scholar] [CrossRef]
- Wen, T.; Tang, H.; Ma, J.; Wang, Y. Evaluation of Methods for Determining Crack Initiation Stress under Compression. Eng. Geol. 2018, 235, 81–97. [Google Scholar] [CrossRef]
- Tang, M.; Wang, G.; Chen, S.; Yang, C. An Objective Crack Initiation Stress Identification Method for Brittle Rock under Compression Using a Reference Line. Rock Mech. Rock Eng. 2021, 54, 4283–4298. [Google Scholar] [CrossRef]
- Brace, W.F.; Paulding, B.W.; Scholz, C. Dilatancy in the Fracture of Crystalline Rocks. J. Geophys. Res. 1966, 71, 3939–3953. [Google Scholar] [CrossRef]
- Bieniawski, Z.T. Mechanism of Brittle Fracture of Rock. Part I-Theory of the Fracture Process. Int. J. Rock Mech. Min. Sci. 1967, 4, 395–404. [Google Scholar] [CrossRef]
- Lavrov, A.; Vervoort, A.; Filimonov, Y.; Wevers, M.; Mertens, J. Acoustic Emission in Host-Rock Material for Radioactive Waste Disposal: Comparison between Clay and Rock Salt. Bull. Eng. Geol. Environ. 2002, 61, 379–387. [Google Scholar] [CrossRef]
- Taheri, A.; Zhang, Y.; Munoz, H. Performance of Rock Crack Stress Thresholds Determination Criteria and Investigating Strength and Confining Pressure Effects. Constr. Build. Mater. 2020, 243, 118263. [Google Scholar] [CrossRef]
- Baud, P.; Klein, E.; Wong, T. Compaction Localization in Porous Sandstones: Spatial Evolution of Damage and Acoustic Emission Activity. J. Struct. Geol. 2004, 26, 603–624. [Google Scholar] [CrossRef]
- Wu, H.R.; Liu, H.L.; Zhao, J.D.; Xiao, Y. Multiscale Analyses of Failure Pattern Transition in High-Porosity Sandstones. Chin. J. Geotech. Eng. 2020, 42, 2222–2229. [Google Scholar] [CrossRef]
- Yu, H.; Chen, W.; Ma, Y.; Tan, X.; Yang, J. Experimental and Theoretical Study on the Creep Behavior of a Clayey Rock. Rock Mech. Rock Eng. 2023, 56, 1387–1398. [Google Scholar] [CrossRef]
- Rodríguez, C.A.; Rodríguez-Pérez, Á.M.; López, R.; Hernández-Torres, J.A.; Caparrós-Mancera, J.J. A Finite Element Method Integrated with Terzaghi’s Principle to Estimate Settlement of a Building Due to Tunnel Construction. Buildings 2023, 13, 1343. [Google Scholar] [CrossRef]
- Cai, W.; Su, C.; Zhu, H.; Liang, W.; Ma, Y.; Xu, J.; Xu, C. Elastic–Plastic Response of a Deep Tunnel Excavated in 3D Hoek–Brown Rock Mass Considering Different Approaches for Obtaining the out-of-Plane Stress. Int. J. Rock Mech. Min. Sci. 2023, 169, 105425. [Google Scholar] [CrossRef]
- Hoek, E.; Carranza, C.; Corkum, B. Hoek-Brown Failure Criterion—2002 Edition. Narms-Tac 2002. Available online: https://www.researchgate.net/publication/282250802_Hoek-Brown_failure_criterion_-_2002_Edition (accessed on 19 July 2024).
- Lv, Z.; Wu, M.; Wang, Z.; Zeng, X. Thermal-Mechanical Modelling on Cumulative Freeze-Thaw Deformation of Porous Rock in Elastoplastic State Based on Drucker-Prager Criterion Considering Dilatancy. Int. J. Rock Mech. Min. Sci. 2024, 180, 105815. [Google Scholar] [CrossRef]
- Kovári, K.; Tisa, A.; Einstein, H.H.; Franklin, J.A. Suggested Methods for Determining the Strength of Rock Materials in Triaxial Compression: Revised Version. Int. J. Rock Mech. Min. Sci. Geomech. Abstr. 1983, 20, 285–290. [Google Scholar] [CrossRef]
- Bieniawski, Z.T.; Bernede, M.J. Suggested Methods for Determining the Uniaxial Compressive Strength and Deformability of Rock Materials. Int. J. Rock Mech. Min. Sci. Geomech. Abstr. 1979, 16, 138–140. [Google Scholar] [CrossRef]
- Zhou, H.W.; Wang, X.Y.; Zhang, L.; Zhong, J.C.; Wang, Z.H.; Rong, T.L. Permeability Evolution of Deep Coal Samples Subjected to Energy-Based Damage Variable. J. Nat. Gas Sci. Eng. 2020, 73, 103070. [Google Scholar] [CrossRef]
- Chao, Z.; Ma, G.; Wang, M. Experimental and Numerical Modelling of the Mechanical Behaviour of Low-Permeability Sandstone Considering Hydromechanics. Mech. Mater. 2020, 148, 103454. [Google Scholar] [CrossRef]
- Pengjin, Y.; Shengjun, M.; Yuting, M.; Wenxuan, Y.; Xiangfan, S. Multi-Dimensional Non-Uniform Deformation and Failure of Siltstone Determined Using Acoustic, 3D-Digital Image Correlation, and Computed Tomography. Theor. Appl. Fract. Mech. 2023, 125, 103800. [Google Scholar] [CrossRef]
- Guy, N.; Colombo, D.; Frey, J.; Cornu, T.; Cacas-Stentz, M.C. Coupled Modeling of Sedimentary Basin and Geomechanics: A Modified Drucker–Prager Cap Model to Describe Rock Compaction in Tectonic Context. Rock Mech. Rock Eng. 2019, 52, 3627–3643. [Google Scholar] [CrossRef]
- Han, L.H.; Elliott, J.A.; Bentham, A.C.; Mills, A.; Amidon, G.E.; Hancock, B.C. A Modified Drucker-Prager Cap Model for Die Compaction Simulation of Pharmaceutical Powders. Int. J. Solids Struct. 2008, 45, 3088–3106. [Google Scholar] [CrossRef]
- Yuan, S.C.; Harrison, J.P. An Empirical Dilatancy Index for the Dilatant Deformation of Rock. Int. J. Rock Mech. Min. Sci. 2004, 41, 679–686. [Google Scholar] [CrossRef]
- Xue, L.; Qin, S.; Sun, Q.; Wang, Y.; Lee, L.M.; Li, W. A Study on Crack Damage Stress Thresholds of Different Rock Types Based on Uniaxial Compression Tests. Rock Mech. Rock Eng. 2014, 47, 1183–1195. [Google Scholar] [CrossRef]
- Miao, S.; Liu, Z.; Yang, P.; Liang, M.; Wang, H.; Xia, D.; Zhao, Z. Mechanical Properties, Instability Precursors, and Fatigue Life Prediction of Siltstone under Bivariate Fatigue Damage-Controlled Tests. Rock Mech. Rock Eng. 2024. [Google Scholar] [CrossRef]
- Xue, L.; Qi, M.; Qin, S.; Li, G.; Li, P.; Wang, M. A Potential Strain Indicator for Brittle Failure Prediction of Low-Porosity Rock: Part I-Experimental Studies Based on the Uniaxial Compression Test. Rock Mech. Rock Eng. 2015, 48, 1763–1772. [Google Scholar] [CrossRef]
- Pan, X.-H.; Lü, Q. A Quantitative Strain Energy Indicator for Predicting the Failure of Laboratory-Scale Rock Samples: Application to Shale Rock. Rock Mech. Rock Eng. 2018, 51, 2689–2707. [Google Scholar] [CrossRef]
Disclaimer/Publisher’s Note: The statements, opinions and data contained in all publications are solely those of the individual author(s) and contributor(s) and not of MDPI and/or the editor(s). MDPI and/or the editor(s) disclaim responsibility for any injury to people or property resulting from any ideas, methods, instructions or products referred to in the content. |
© 2024 by the authors. Licensee MDPI, Basel, Switzerland. This article is an open access article distributed under the terms and conditions of the Creative Commons Attribution (CC BY) license (https://creativecommons.org/licenses/by/4.0/).