Next Article in Journal
Quantitative Calculation of Crack Stress Thresholds Based on Volumetric Strain Decomposition for Siltstone and Granite
Previous Article in Journal
Facial Expression Recognition Based on Vision Transformer with Hybrid Local Attention
 
 
Font Type:
Arial Georgia Verdana
Font Size:
Aa Aa Aa
Line Spacing:
Column Width:
Background:
Communication

The Problem of Stability in Mechanical Systems Using the Example of Mine Hoist Installations

Department of Machine Design and Maintenance, Faculty of Mechanical Engineering and Robotics, AGH University of Krakow, al. Mickiewicza 30, 30-059 Krakow, Poland
*
Author to whom correspondence should be addressed.
Appl. Sci. 2024, 14(15), 6472; https://doi.org/10.3390/app14156472
Submission received: 3 June 2024 / Revised: 15 July 2024 / Accepted: 23 July 2024 / Published: 24 July 2024
(This article belongs to the Topic Vehicle Dynamics and Control)

Abstract

Investigating the influence of varying shaft steelwork stiffness on the stability of horizontal mass displacements, which are crucial elements of a conveyance-shaft steelwork system, is a significant step in evaluating the risk of parametric vibrations in steel constructions. While the Rayleigh method is limited to the first approximation in the solution to this analysis, it still provides valuable insights. Our examination indicates that the impact of a varying shaft steelwork system may not be noticeable in practical applications. This is a significant finding, as it suggests that the impact of varying stiffness in real working objects may be ignored, because the increase in the parametric resonance effects is negligible. This underscores the importance of our research in understanding the stability of steel constructions. This research, which involves theoretical analysis, simplifies the dynamic analysis of the conveyance-shaft steelwork system’s behavior. The result of the performed analysis is a valuable equation for predicting stable work in real hoist installations.

1. Introduction

Hoist installations transport output from the bottom to the surface and are used in most mining industries. In every country, hoist installations depend on the mine location and how the bedrock works. The kind of mine and how much output is transported to the surface are also important. The hoist systems differ in every mine, depending on the location or the project task data. Different forces affect the hoist skip while it is moving. These forces come from the steel ropes connected to the top and bottom of the hoist skip and from the interactions between the hoist skip and the shaft steelwork. Other forces are generated due to the irregularities and misalignments on the guide shaft. In a conveyance-shaft steelwork system, it is assumed that vibrations are generated due to irregularities and misalignments of the guide strings [1]. A hoist installation driving at a constant velocity affects the shaft steelwork through horizontal forces. These forces come from the irregularities and misalignments of the guide strings, resulting from wear and tear, the rock mass movement, and the influence of conditions in the shaft. The vibrations of the vessel are generated through the irregularities and misalignments on the guide strings, as researched in [2,3,4,5,6,7,8]. The proper dynamic analysis for this system means that varying shaft steelwork stiffness is neglected because of its minor impact on the amplitude of vibrations and vessel stability. Despite that, research checking the impact of misalignments and irregularities on the vessel’s vibration and vibration from the skip parameters is omitted.
Stability is essential in different mechanical systems to provide safety for people and the whole industry. The problem of instability in hoist installations could occur in the form of parametric vibrations, which are very dangerous for the transporting system in mines. First of all, attempts were made to determine the impact on the stability of varying shaft steelwork stiffness in a conveyance-shaft steelwork system. Determining the impact allows the occurrence of parametric vibrations to be defined. Parametric vibrations could be dangerous for the system because they generate unstable work for different parameters, which can change during the process. Hoist installations are produced as specific units and have different parameters for the masses, building, and specifications for where they are. Parametric vibrations could be generated only by changing parameters in the system, which may be mass or mechanical parameters for the system. In hoist installations, while transporting output, the parameter that could change in a mechanical system is the stiffness coefficient for the steel shaft guide. Parametric vibrations affect the stability of a machine’s work. The main goal of this work is to establish the appearance of parametric vibration for the hoist installation and determine if unstable work is possible.
The publications about stability in hoist installations concern parametric vibrations in ropes [6,9,10,11], which is not the primary goal of this article. The problem of parametric vibrations in hoist installations is hazardous for the whole system. A theoretical analysis showed that the problem is significant, but has not yet been checked by other authors. Parametric vibrations are checked in ropes connected to the skip’s head or the bottom frame. Hoist vibration was analyzed in [12,13,14,15], which is very important because many machines vibrate due to force from outside the machine. Parametric vibrations in hoist installations are more dangerous than forced vibrations because dynamic parameters for the whole system affect them. These parameters depend on physical and mathematical models and their values. The article’s main goal was to answer the question of whether parametric vibrations are possible in the hoist installation using theoretical analysis.
In this article, the authors, who are experienced in the field of hoist installations, have determined the possibility of parametric vibrations in one machine. Their expertise adds significant credibility to the research and the determination of the possibility of parametric vibrations in this machine. Unstable work for the machine leads to most problems with transporting the output. There is also the influence on planning repairs, which makes its work impossible. For different machines, parametric vibrations are checked and analyzed in [16,17]. In Polish hoist installations, the parameters for the machine systems are legislated by the law, which presents dependence values for parameters like masses, stiffness coefficients, and others [18,19,20]. These dependencies are used in the analysis that is presented in the article. When the hoist installations pass by guide shafts, the mining skip interacts with the shaft steelwork, and the irregularities on the shaft guide could generate horizontal vibrations for the mining skip. These irregularities and misalignments influence the changing parameters on the guide shaft used in the model for this machine. These horizontal vibrations for the hoist installation could generate unstable work for the whole system, which is undesirable. Like others, the authors analyzed irregularities and misalignments for the stability of the work of mining hoist installations [2,3,4,5,6,7,8]. The effects of unstable work of a hoist installation could be quick damage to the steel ropes, more irregularities and misalignments of the guide shaft, and damage to the roller guide and guide shaft. Parametric vibrations in this type of installation are undesirable because the system of transporting output could stop and lead to economic problems for the mine.
This article presents a comprehensive analysis of the stability problem in hoist installations, building on prior work and extending its findings. The complicated analysis presented in this work is helpful for modeling and designing new hoist installations and modernizing old objects. The analyses presented so far in the cited articles have not dealt with this topic. This is a new look at the vibrations of the mining vessel, which is presented in the conducted analysis. The parameters and models used in this research are akin to those of machines operating in Poland, ensuring a robust and reliable analysis. The practical implications of our findings for professionals in the mining and mechanical engineering industries are significant. Our research can provide information for safety measures and operational planning in hoist installations, thereby contributing to the safety and efficiency of mining operations.

2. Dynamic Analysis of the Hoist Installation

Based on the dynamic analysis in [1], we attempted to define the influence of variable shaft steelwork stiffness on horizontal vibration displacements of a hoist installation in the shaft and this device’s work stability. The dynamic equations were created based on the scheme in Figure 1, where a 2D model of the mining skip is presented. The hoist installation model, meticulously constructed as a three-mass model, is a testament to the depth of our research. The superiority of a three-mass model over a one-mass model is evident, as it allows for the investigation of myriad phenomena. The entire installation, a marvel of engineering, is a highly complex machine that necessitates a comprehensive analysis. The bottom frame and the head of the skip, where ropes are attached, are crucial elements. The vessel, the most critical element, is a complex structure represented by one mass with inertia moment and mass. The elements, like connection rods, are represented in the model as the spring and damper system, which are represented by parameters such as elasticity and damping coefficients. These three masses are connected by rods attached to the bottom frame, the head, and the vessel. The vessel by the bottom frame and the head are connected with the guides by the roller guide. The roller guides, which roll on the guide shaft, are not connected with the guide shaft at every point, allowing us to neglect the friction. In this model, the authors assumed that at least one roller guide rolls on the guide shaft at the bottom or top of the hoist vessel. The spring and damper system represents the connection between roller guides and guide shafts with parameters like k and h. This is determined by the motion equation based on the assumption that random irregularities and misalignments on the shaft guide cause horizontal displacements of the system mass. This hoist installation model is also used in [21,22]. The railroad vehicle also used a similar model for the mechanical scheme as in [23]. Horizontal vibration displacement affects the entire device, as well as elements like the drive, cables, and shaft steelwork. They are dangerous because of parametric vibrations, which are checked in this work.
The mechanical model in Figure 1 is a three-mass model, where the masses are the head of the hoist, the skip hopper, and the bottom frame. The main masses are connected to the shaft guide by the roller guides at the top and bottom of the hoist installation. The main assumptions for this model are: the elasticity of the roller guides and the guide shaft is linear, the irregularities and misalignments for the front planes of the guide shafts are parallel to each other, and the masses are connected by the weightless, laterally elastic, and longitudinally non-deformable cables. For this model, it is also assumed that the roller guides do not lose connection with the guide shafts. These assumptions form the basis of our model and help us understand the dynamics of the hoist installation. The irregularities are termed x 1 and x 2 .
Citing the solution of Lagrange’s equation of the second type, the following was obtained for this system [24,25,26]:
m e 2 2 + I l 2 x ¨ A + m e 1 e 2 I l 2 x ¨ + k g x A x g + 2 h g x ˙ A x ˙ g = 0 ,
m e 1 2 + I l 2 x ¨ B + 2 k x g x 1 t k g x A x g 2 h g x ˙ A x ˙ g + 2 h x ˙ g x ˙ 1 t = 0 ,
m g x ¨ g + 2 k x g x 1 t k g x A x g 2 h g x ˙ A x ˙ g + 2 h x ˙ g x ˙ 1 t = 0 ,
m d x ¨ d k d x B x d + 2 k x d x 1 t + τ 2 h d x ˙ B x ˙ d + 2 h x ˙ d x ˙ 1 t + τ = 0 ,
where:
  • x A = x + e 1 , x B = x + e 2 .
  • φ —the angle of the skip hopper rotation around its center of gravity (c. o. g.)
  • x —horizontal displacement of the skip hopper mass
  • m —the skip hopper mass with the payload
  • I —inertia moment of a loaded skip hopper
  • m g —the skip head mass
  • m d —the bottom frame mass
  • 2 h ,   k —(linear) damping and elasticity factors of sliding and rolling shoes
  • 2 h g ,   k g —damping and shear elasticity factors of a flexible connector between the head and hopper
  • 2 h d ,   k d —damping and shear elasticity factors of flexible connectors between the bottom frame and skip hopper
  • x g ,   x d —horizontal displacements of the face of the skip head and bottom frame, respectively
  • x 1 t ,   x 1 t + τ —function governing the irregularities of cage guides’ front surfaces
  • τ —time to ride along the path equal to the distance between the front guide shoes (on the head and the bottom frame)
  • e 1 ,   e 2 —the distance between the hopper c. o. g. and front shoes on the top and at the bottom, respectively
  • l —distance between the top and bottom guide shoes
The previous work on this topic [26] have shown that irregularities and misalignments on the guide strings are random values. Citing Kawulok’s work [27], it was assumed that irregularities and misalignments on the guide strings x 1 and x 2 could be taken into consideration as a random stochastic process, for which the power spectral density is expressed as:
S x = 2 D x 1 α α 2 + ω 2 m 2 s ,
D x 1 ,   α —parameters.

3. Parametric Vibrations of the Mining Skip

The results of the performed dynamic analysis, as presented in [1,24], provide a practical basis for solving questions regarding the influence of variable guide shaft elasticity on the horizontal vibration of a mining skip. This work is not just theoretical but also has practical applications that can be confirmed by simplifying the assumptions contained in [1,24].
The original assumption for the model was linear dependence for the damping coefficient (2h) and stiffness coefficient (k) guiding system (rolling guides and others) and was summarized in [1]. The guiding system contains rolling guides, which roll on the series attached while riding the mining skip. The guides are perpendicularly connected to the steel shaft beams, that is, horizontal beams attached to the shaft’s walls (Figure 2).
If the horizontal displacements are minimal, the damping coefficient and stiffness coefficient could be accepted as linear. When the location of the guide’s attachment to the steel shaft is rigid enough, the guide could be regarded as a beam on an elastic surface, and its length l 0 is equal to the distance between the supports.
The elasticity of the shaft steel is the average value for the shaft guide, which is caused by the places where the guide shafts are mounted. The guide shaft is mounted on two places to the shaft steelwork. The assumption, which is very similar to the actual situation, is that on the mounting places, the elasticity factor is different from what it is between the places of mounting, which is shown in some articles [2,3,4]. One possible assumption to maintain is the basis [27,28,29,30,31] that the elasticity of the steel shaft (supports and guides) could be defined as:
k z = k d + k p 2 k d k p 2 cos ω t ,
where:
  • k z —equivalent elasticity coefficient of the shaft steelwork,
  • k d —equivalent elasticity coefficient of the shaft steelwork at the point the guide rail is mounted on the bunton,
  • k p —equivalent elasticity coefficient of the shaft steelwork at mid-span between two buntons.
Introducing the substitution:
k d + k p 2 = C , k d k p 2 = D .
k = E —elasticity factor of the guide rail.
The complete elasticity coefficient for the whole system of guides and steel shaft (if we assume that rolling guide elements are connected in series at a fixed distance), could be expressed as:
1 k c = k + k z k · k z
After introducing all substitutions:
k c = E · C · 1 D C cos ω t E + C · 1 D E + C cos ω t
From Equation (9) we obtain:
k p = E · C E + C ; ε 1 = D E · E ; ε 2 = D E + E ,
The values of parameters ε 1 and ε 2 are much smaller than zero, therefore Equation (10) could be written as:
k c = k p 1 ε 1 cos ω t 1 ε 2 cos ω t
where
k p 1 ε 1 cos ω t 1 ε 2 cos ω t k p 1 ε · cos ω t
After introducing the resulting substitutions from Equation (9), we obtain:
ε = ε 1 ε 2
Alternatively:
ε = D C D E + C = ED C E + C
Finally, the equation of the complete elasticity coefficient of the steel shaft system with guides could be expressed as:
k c = k p 1 ε cos 2 π V 0 l 0 t
where:
  • V 0 m s —velocity of the hoist installation while moving at a constant velocity
  • l 0 [ m ] —the distance between two supports.
The system of Equations (1)–(4) is required to assess the influence of variable steel shaft stiffness on the stability of horizontal displacements of the mining skip in the course of moving at the constant velocity V 0 = const . The elasticity in the system Equations (1)–(4) is constant and expressed as k and replaces the k c parameter defined in (12). The assessment procedure is limited to cases that meet the condition that I = m e 1 e 2 and vibrations of the head and the bottom frame are independent and enable the separation of the system of Equations (1)–(4) into two independent systems of equations (like 3.3 and 3.4 from [1]):
I + m e 2 2 l 2 · x ¨ A + k g x A x g + 2 h g x ˙ A x ˙ g = 0 m g x ¨ g + 2 k x g x 1 t k g x A x g 2 h g x ˙ A x ˙ g + 2 h x ˙ g x ˙ 1 t = 0
I + m e 1 2 l 2 · x ¨ B + k d x B x d + 2 h d x ˙ B x ˙ d = 0 m d x ¨ d + 2 k x d x 1 t + τ k d x B x d 2 h d x ˙ B x ˙ d + 2 h x ˙ d x ˙ 1 t + τ = 0
For free vibrations, the system of equations (3.3 from [1]) becomes:
m A x ¨ A + k g x A x g + 2 h g x ˙ A x ˙ g = 0 m g x ¨ g + 2 k p 1 ε cos 2 π V 0 l 0 t x g k g x A x g 2 h g x ˙ A x ˙ g + 2 h x ˙ g = 0
Expressing time by the dimensionless parameter τ = p 10 · t in the system of Equation (15), where p 10 is the natural frequency of free vibrations for mass m A , m g = 0 , allows transformation after the individual substitutions:
X A t = u τ
X g t = v τ
We then obtain:
d 2 u d τ 2 + 2 h g m A p 10 d u d τ + k g m A p 10 2 u 2 h g m A p 10 d v d τ k g m A p 10 2 v = 0 d 2 v d τ 2 + 2 h + h g m g p 10 d v d τ + k g m g p 10 2 v + 2 k p m g p 10 2 1 ε cos 2 π V 0 l 0 τ p 10 · v 2 h g m g p 10 d u d τ k g m g p 10 2 u = 0
The hoist installations are produced to order; therefore, each of them has individual parameters, such as masses and dimensions. In Equation (18), many parameters are defined for the objects. Solving this problem for different objects will be difficult. If we express Equation (18) by dimensionless parameters, we obtain: n 1 = m A m g ;   n 2 = h   m g p 10 ;   n 3 = k p k g ;   n 4 = 2 π · V 0 l 0 · 1 p 10 ;   p 10 = k g m A , and since h g h 0 ,   h g + h h and h g = 0 , we finally obtain:
d 2 u d τ 2 + u v = 0 d 2 v d τ 2 + 2 n 2 d v d τ + n 1 1 2 n 3 1 ε cos n 4 τ v n 1 u = 0
Identifying the main regions of instability for Equation (19), the solution using Rayleigh’s method is limited to the first approximation [29,30].
For the conditions:
u = A 1 cos n 4 2 τ + B 1 sin n 4 2 τ v = A 2 cos n 4 2 τ + B 2 sin n 4 2 τ
Substituting solutions from Equation (20) into Equation (19) and limiting to the period containing only functions cos and sin, we obtain the system of algebraic Equation (21) for variables A i and B i .
1 n 4 2 2 A 1 A 2 = 0 1 n 4 2 2 B 1 B 2 = 0 n 1 A 1 + n 1 + n 1 n 3 ε + 2 n 4 2 2 A 2 + n 2 n 4 B 2 = 0 n 1 B 1 n 2 n 4 A 2 + n 1 + n 1 n 3 2 ε n 4 2 2 B 2 = 0
Equation (21) can be presented as:
1 n 4 2 2 0 1 0 0 1 n 4 2 2 0 1 n 1 0 n 1 + n 1 n 3 ε + 2 n 4 2 2 n 2 n 4 0 n 1 n 2 n 4 n 1 + n 1 n 3 2 ε n 4 2 2 · A 1 B 1 A 2 B 2 = 0 0 0 0
If the determinant of Equation (21) is equal to zero, the equation defining critical values of the system parameter is obtained. The solution for this original Equation (23) is useful for dynamic analysis of the parametric vibration of the hoist installation.
1 n 4 2 2 2 n 1 + n 1 n 3 ε + 2 n 4 2 2 n 1 + n 1 n 3 2 ε n 4 2 2 2 n 1 1 n 4 2 2 n 1 + 2 n 1 n 3 n 4 2 2 + n 1 2 = 0
Figure 3 and Figure 4 show the main instability regions for the solution of the system of Equation (23) considering the dimensionless coefficients n 1 ,   n 3 ,   n 4 , and n 2 = 0 . The simplification for the n 2 parameters is the result of neglecting the damping. Equation (24) used to obtain Figure 3, Figure 4 and Figure 5, which are the result of the research conducted by the authors of the previous case study, is:
n 1 2 n 3 2 4 ε 2 1 n 4 2 2 2 + n 4 2 4 + 2 n 1 n 4 2 2 1 n 4 2 2 · 2 n 3 1 + n 4 2 2 + n 4 2 2 + n 4 2 4 1 n 4 2 2 2 = 0

4. Results

Figure 3, Figure 4 and Figure 5 are the results of the solution for equation (24) as its roots. The system of Equation (19) has an unstable solution. When value points for n1 and n4 are found in the instability region (shaded area), the solution is unstable and parametric vibrations occur. The solution will be stable as long as the value points for n1 and n4 can be found in the stable region (unshaded area). The shape of these figures is similar to the theoretical analyses for parametric vibrations. When the damping in the system of the mining skip and steel shaft is considered (it was not included when stable and unstable regions in Figure 3 and Figure 4 were established), the resonance of regions is narrowed down, and its edges should be shifted up toward the abscissa. Furthermore, the reduced value of n3 (Figure 3 and Figure 4) could also cause the narrowing of resonance regions, which is safer for the whole steel construction.
Numerical values of the n1, n3, and n4 parameters and their range are chosen as similar to those for typical constructions of hoist installations currently used in Poland [18,19,20,28]. Numerical values of the individual parameters assume the following intervals [18,19,20,29,32]:
n 1 = m A m g 3 ÷ 4 , n 3 = k p k g 1 · 10 2 ÷ 1 · 10 3 , n 4 = 2 π · V 0 l 0 · 1 p 10 0.1 ÷ 0.2 .
These values are similar to the values in other countries and for other researchers [12,13,14,15]. It is evident that (Figure 3, Figure 4 and Figure 5) the current shape of the resonance curve is not caused by the value of the ε parameter (which is defined by ε min to ε max ).
Analyzing the resonance curve’s equation and its placement on the plane of n 1 and n 4   (Figure 3 and Figure 4) in the context of the hoist installation’s skip and shaft steel system, parametric vibrations are not probable. From engineering practice (considering vibration attenuation), resonance is usually impossible. The analysis shows that, in Polish mines, the conditions of work for the hoist installations are safe, and resonance is unnoticeable.
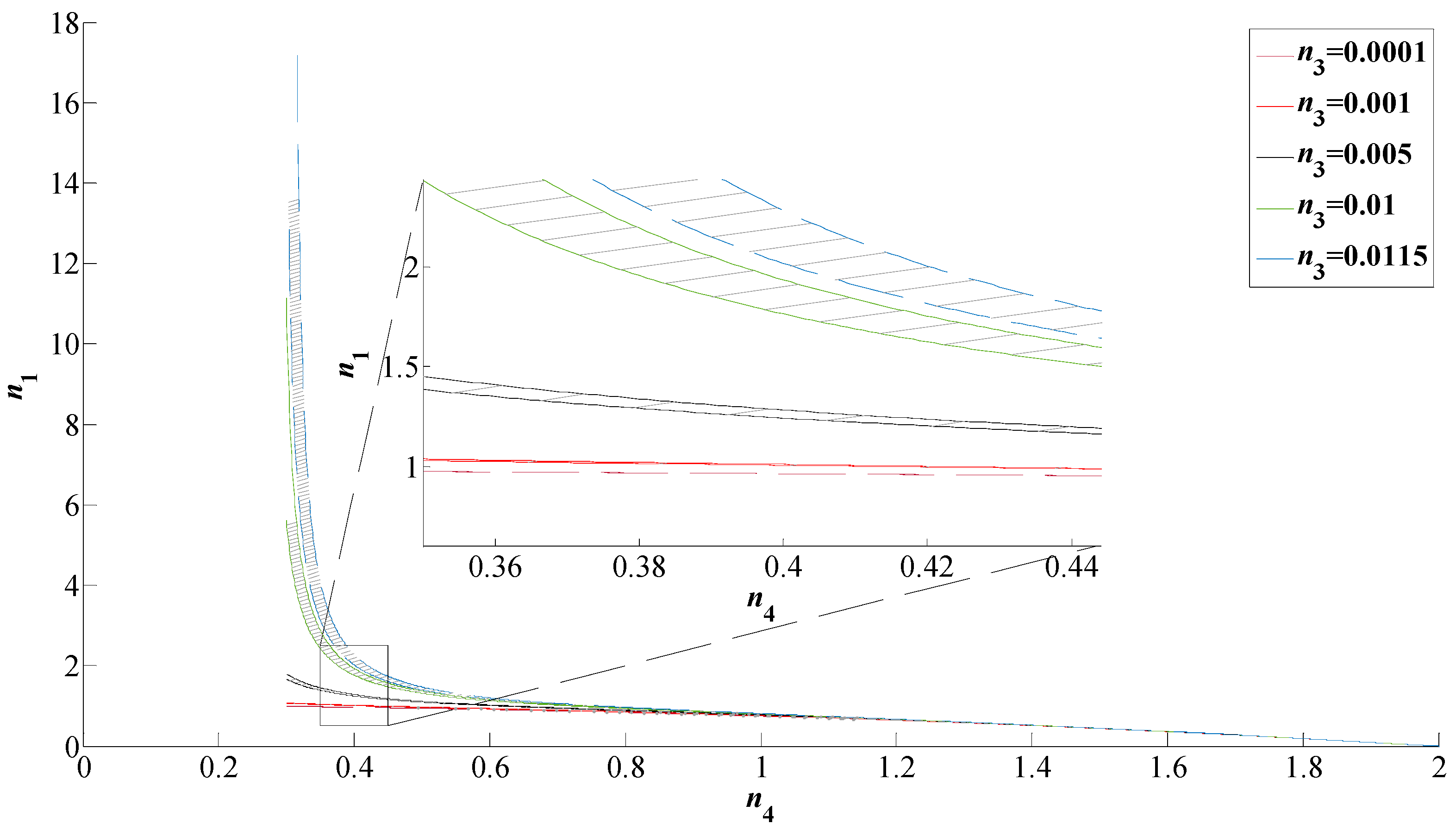
After calculating the roots from the authors’ derived Equation (24), we plotted charts to visually represent the influence of dimensionless parameters n4, n3, and ε on these roots. This method not only provided a clear and intuitive understanding of the relationship between the parameters and the equation’s results but also reassured us of the accuracy of our calculations. The precision of our calculations is a testament to the thoroughness of our research. Based on the zero place for this equation obtained for parameter n4 being equal to 2, we can analyze it and check if this situation is probable. This point would mean that the n1 parameter equals 0, which is possible only when the vessel has no mass, which is impossible for a real object. Parameter n3 also influences the shape of the chart, shown in Figure 6. Figure 3, Figure 4 and Figure 5 show different shapes of the equation’s results, where we changed the values of n3 for the minimal, average, and maximal values. The shape is similar, and we can see that as the value of n3 increases, the line on the chart becomes sharper, indicating a more pronounced effect on the results.
Next, Figure 6 clearly illustrates how the n3 parameter impacts the gradient of the chart in the range of n4 equals 2. As the value of the n3 parameter increases, the gradient of the chart becomes steeper, indicating a more rapid change in the results. These results have significant implications for understanding the practical influence of dimensionless parameters on the equation’s results, underscoring the relevance of our research in the field and its potential to provide information for real-world applications. For the analyzed range of parameter n4 tending to 2 in Figure 6, it is noticeable that as the n3 parameter’s value increases for the exact value of ε, the instability field is more expansive. Parameter n3 depends on the elasticity coefficients for the connections between the head of the skip and the vessel (for the flexible connectors) and the elasticity coefficient for the middle point of the shaft guide between the buntons. This value differs for these two elements; the proportion is 0.001 to 0.01 in Poland. For the exact value of ε, parameter n3 also influences the gradient of the chart for two roots of Equation (24). As the value of n3 increases, the chart is more inclined and approaches asymptotically to values increasing to infinity.
When parameter n3 is outside the recommended range, shown in Figure 6, the dashed lines show this asymptotically increasing. If the n3 parameter is higher than the recommended instability region, it is much broader, which will cause parametric vibrations. These findings have direct implications for the design and operation of vessels, highlighting the practical relevance of our research. This research is not just theoretical but has practical implications that can significantly impact the design and operation of vessels, making it a crucial area of study for professionals in the field.

5. Conclusions

The influence of the variable steel shaft elasticity on the stability of horizontal mass displacements in the skip and steel shaft system has been thoroughly analyzed and evaluated in this research. Based on the typical parameters for hoist installations currently working and designed in Poland, this comprehensive study builds on previous studies and the newest findings like the Equation (24). The authors of this work have presented an in-depth analysis of parametric vibrations for a hoist installation, with a more complicated model than in other research. After rigorous testing of parametric vibrations for the hoisting ropes, the stability analysis results demonstrate that instability regions for the investigated displacements are highly unlikely to occur, instilling confidence in the thoroughness of this analysis.
Analogous points for the values of n1 and n4 are found in stable regions in the bottom right section in Figure 3. Conditions are improving because the n2 and n3 parameters cause unstable regions to narrow. The narrow unstable regions are better for the whole construction. The changing value of the n3 parameter, a key factor in hoist installation, directly impacts the instability regions. This means that as the n3 parameter varies, the regions where the hoist installation is prone to instability also change. Therefore, understanding and measuring the elasticity factor of the shaft guide and the flexible connector between the head and the hopper is crucial to predict and potentially prevent these changes in instability regions.
Considering the simplifications of the assumptions, the influence of the variable shaft steelwork elasticity on the stability of vibrations in the skip and shaft steelwork system, which can potentially bring about the effect of parametric resonance, can be excluded from the analysis of the dynamics of hoist installations. This shows that the assumption is fully justified and valuable for practical use, enhancing the relevance of this research. The theoretical analysis presented in this work is also beneficial for researchers working on this topic. The primary aim of this study was to explore the potential for parametric vibrations in hoist installations. The authors conducted a comprehensive analysis, leading to the development of an equation. This equation enables a quantitative assessment of how the parameters of a hoist installation affect its performance. It provides a systematic approach to understanding and mitigating parametric vibrations, with significant implications for the safety and efficiency of hoist operations. The vibration of the hoist installation, presented in the introduction, is the topic that is currently being researched. A practical use will also be designing and modeling a new hoist installation that will be safer than before.

Author Contributions

Conceptualizations, S.W.; methodology, S.W. and A.D.; validation and analysis, A.D.; writing-original draft preparation, S.W.; writing and editing, A.D.; visualization, A.D.; supervision, S.W. All authors have read and agreed to the published version of the manuscript.

Funding

This research was funded by subvention 16.16.130.942/B 403 KPiEM.

Data Availability Statement

Data is contained within the article.

Conflicts of Interest

The authors declare no conflict of interest.

References

  1. Wolny, S. Displacements in Mechanical System due to random inputs in a mine hoist installation. Eng. Trans. 2017, 65, 513–522. [Google Scholar]
  2. Fiołek, P.; Jakubowski, J. Structural safety assessment of shaft steelwork—A review. Arch. Min. Sci. 2023, 68, 655–670. [Google Scholar]
  3. Jakubowski, J.; Fiołek, P. Evaluation of stiffness and dynamic properties of a mine shaft steelwork structure through In Situ tests and numerical simulations. Energies 2021, 14, 664. [Google Scholar] [CrossRef]
  4. Jakubowski, J.; Fiołek, P. Data-driven approach to structural analysis of shaft steelwork under corrosion. Eng. Struct. 2023, 281, 115741. [Google Scholar] [CrossRef]
  5. Kamiński, P.; Prostański, D.; Dyczko, A. Test of the retractable guidance system installed on the level 960 m in the Leon IV shaft in Rydułtowy Coal Mine, Poland. In Proceedings of the Innovative Mining Technologies Scientific and Technical Conference (IMTECH 2020), Szczyrk, Poland, 2–6 November 2020; IOP Publishing Ltd.: Bristol, UK, 2021; Volume 1134. [Google Scholar]
  6. Ma, Y.; Xiao, X. Dynamic analyses of hoisting ropes in a multi-rope friction mine hoist and determination of proper hoisting parameters. J. Vibroeng. 2016, 18, 2801–2817. [Google Scholar] [CrossRef][Green Version]
  7. Wu, B.; Li, W.; Jiang, F. Fault diagnosis of mine shaft guide rails using vibration signal analysis based on dynamic time warping. Symmetry 2018, 10, 500. [Google Scholar] [CrossRef]
  8. Yao, J.; Ma, Y.; Ma, C.; Xiao, X.; Xu, T. Effect of misalignment failures of steel guides on impact responses in friction mina hoisting systems. Eng. Fail. Anal. 2020, 118, 104841. [Google Scholar] [CrossRef]
  9. Kaczmarczyk, S.; Ostachowicz, W. Transient vibration phenomena in deep mine hoisting cables. Part 1: Mathematical model. J. Sound Vib. 2003, 262, 219–244. [Google Scholar] [CrossRef]
  10. Jiang, Y.; Ma, X.; Xiao, X. Research on transverse parametric vibration and fault diagnosis of multi-rope hoisting catenaries. Int. J. Vibroeng. 2014, 16, 3419–3431. [Google Scholar]
  11. Yao, J.; Xiao, X.; Peng, A.; Jiang, Y.; Ma, C. Assessment of safety for axial fluctuations of head shaves in mine hoist based on coupled dynamic model. Eng. Fail. Anal. 2015, 51, 98–107. [Google Scholar] [CrossRef]
  12. Deng, X.; Yao, J.; Liu, D.; Yan, R. Semi-active control of horizontal vibrations for mine hoisting containers using fuzzy skyhook control strategy. IEEE Access 2023, 11, 49957–49970. [Google Scholar] [CrossRef]
  13. Qin, G.; Yang, Z. Time-varying characteristics of guide roller-rail contact stiffness of super high-speed elevator under aerodynamic load. J. Braz. Soc. Mech. Sci. Eng. 2021, 43, 464. [Google Scholar] [CrossRef]
  14. Zhao, J.; Han, J.; Ma, C.; Xiao, X.; Jiang, Y.; Zhang, Y. Research on operation characteristics of hoisting conveyance under mining deformation action in mine vertical shaft. Nonlinear Dyn. 2024, 112, 2629–2659. [Google Scholar] [CrossRef]
  15. Zhu, Y.; Xu, T.; Ma, C.; Tao, J. Experimental study on longitudinal vibration of mine hosting rope subjected to disturbance excitations by ADAMS. Adv. Mech. Eng. 2022, 14, 16878132221076818. [Google Scholar] [CrossRef]
  16. Khadersab, A.; Shivakumar, S. Parametric vibration analysis of rotating machinery. Mater. Proc. 2018, 5, 25688–25696. [Google Scholar] [CrossRef]
  17. Messer, M.H.E. Parametric Excitation of Vibrations in Printing Machines. Int. J. Acoust. Vib. 2017, 22, 448–455. [Google Scholar] [CrossRef]
  18. Dz. U. Nr 249, poz. 1853, pkt. 1.2 Naczynia wyciągowe z 2004. Available online: https://isap.sejm.gov.pl/isap.nsf/download.xsp/WDU20072491853/O/D20071853.pdf (accessed on 14 July 2024).
  19. Dz. U. Nr 99, poz. 1003 z 2005 r. Available online: https://isap.sejm.gov.pl/isap.nsf/download.xsp/WDU20040991003/O/D20041003.pdf (accessed on 14 July 2024).
  20. Dz. U. Nr 80, poz. 695 z 2005r. Available online: https://isap.sejm.gov.pl/isap.nsf/download.xsp/WDU20050800695/O/D20050695.pdf (accessed on 14 July 2024).
  21. Zhou, P.; Zhou, G.; Zhu, Z.; Tang, C.; He, Z.; Li, W.; Jiang, F. Health monitoring for balancing tail ropes of a hoisting system using a convolutional neutral network. Appl. Sci. 2018, 218, 1346. [Google Scholar] [CrossRef]
  22. Zhu, Y.; Yan, R.; Liu, D.; Deng, X.; Yao, J. Investigation of a New Vibration-Absorbing Roller Cage Shoe with a Magnetorheological Damper in Mine Hoisting Systems. Appl. Sci. 2023, 13, 12506. [Google Scholar] [CrossRef]
  23. Bettamin, D.; Shabana, A.A.; Bosso, N.; Zampieri, N. Frenet force analysis in performance evaluation of railroad vehicle systems. Acta Mech. 2021, 232, 4235–4259. [Google Scholar] [CrossRef]
  24. Drzewosz, A. Characteristic Loads of the Shaft Steelwork—Conveyances System. Ph.D. Thesis, AGH University of Krakow, Krakow, Poland, 2023. [Google Scholar]
  25. Tejszerska, D. Modeling and Optimization of the Dynamics of Shaft Lifts; Monograph; Silesian University of Technology: Gliwice, Poland, 2002; (Translated from Polish). [Google Scholar]
  26. Wolny, S.; Drzewosz, A. The effects of irregularities and misalignments of the guide strings on stress levels in selected load-bearing elements of a conveyance. In MATEC Web of Conferences; EDP Sciences: Les Ulis, France, 2019; Volume 285, pp. 1–8. [Google Scholar] [CrossRef]
  27. Kawulok, S. The Interaction of Shaft Steelwork on the Mechanics of Guiding Hoist Installation; Works of GIG: Katowice, Poland, 1989; (Translated from Polish). [Google Scholar]
  28. Alberg, H. Parametrically excited vibrations—Numerical and analytical investigation of simple mechanical systems. Raken. Mek. 1985, 18, 3–14. [Google Scholar]
  29. Gutowski, R.; Świetlicki, W.A. Dynamics and Vibrations Mechanical Systems; PWN: Warsaw, Poland, 1986; (Translated from Polish). [Google Scholar]
  30. Osiński, Z. The Theory of Vibrations; PWN: Warszawa, Poland, 1980; pp. 174–188, (Translated from Polish). [Google Scholar]
  31. Wolny, S. Parametric vibrations in mechanical systems on the example of a mining hoist installation. In MATEC Web of Conferences, DYNKON 2019; EDP Sciences: Les Ulis, France, 2019; Volume 285. [Google Scholar]
  32. Wolny, S. Development of Criteria for Assessing the Supporting Structure of Mining Vessels of Shaft Hoists in Terms of Extending the Period of Safe Operation; Scientific and Research Work; Department of Strength and Fatigue of Materials and Structures, AGH University of Krakow: Krakow, Poland, 2003; (Unpublished Work, Translated from Polish). [Google Scholar]
Figure 1. Mechanical model of the hoist installation [24].
Figure 1. Mechanical model of the hoist installation [24].
Applsci 14 06472 g001
Figure 2. Diagram of the hoist installation with actual representations from a real object, adapted from [24,26].
Figure 2. Diagram of the hoist installation with actual representations from a real object, adapted from [24,26].
Applsci 14 06472 g002
Figure 3. Stability range for operation of the hoist installation ( n 3 = 0.001 ,   n 2 = 0 ).
Figure 3. Stability range for operation of the hoist installation ( n 3 = 0.001 ,   n 2 = 0 ).
Applsci 14 06472 g003
Figure 4. Stability range for operation of the hoist installation ( n 3 = 0.01 ,   n 2 = 0 ).
Figure 4. Stability range for operation of the hoist installation ( n 3 = 0.01 ,   n 2 = 0 ).
Applsci 14 06472 g004
Figure 5. Stability range for operation of the hoist installation ( n 3 = 0.005 ,   n 2 = 0 ).
Figure 5. Stability range for operation of the hoist installation ( n 3 = 0.005 ,   n 2 = 0 ).
Applsci 14 06472 g005
Figure 6. The impact of the n 3 parameter on the shape of stable operation ranges ( ε = 0.1 ,   n 2 = 0 ).
Figure 6. The impact of the n 3 parameter on the shape of stable operation ranges ( ε = 0.1 ,   n 2 = 0 ).
Applsci 14 06472 g006
Disclaimer/Publisher’s Note: The statements, opinions and data contained in all publications are solely those of the individual author(s) and contributor(s) and not of MDPI and/or the editor(s). MDPI and/or the editor(s) disclaim responsibility for any injury to people or property resulting from any ideas, methods, instructions or products referred to in the content.

Share and Cite

MDPI and ACS Style

Drzewosz, A.; Wolny, S. The Problem of Stability in Mechanical Systems Using the Example of Mine Hoist Installations. Appl. Sci. 2024, 14, 6472. https://doi.org/10.3390/app14156472

AMA Style

Drzewosz A, Wolny S. The Problem of Stability in Mechanical Systems Using the Example of Mine Hoist Installations. Applied Sciences. 2024; 14(15):6472. https://doi.org/10.3390/app14156472

Chicago/Turabian Style

Drzewosz, Agata, and Stanisław Wolny. 2024. "The Problem of Stability in Mechanical Systems Using the Example of Mine Hoist Installations" Applied Sciences 14, no. 15: 6472. https://doi.org/10.3390/app14156472

APA Style

Drzewosz, A., & Wolny, S. (2024). The Problem of Stability in Mechanical Systems Using the Example of Mine Hoist Installations. Applied Sciences, 14(15), 6472. https://doi.org/10.3390/app14156472

Note that from the first issue of 2016, this journal uses article numbers instead of page numbers. See further details here.

Article Metrics

Back to TopTop