Ground Temperature Monitoring and Simulation of Temperature Field Changes in Block-Stone Material Replacement Foundation for the Shiwei–Labudalin Highway
Abstract
1. Introduction
2. Study Area
3. Methods
3.1. Soil Temperature Sensors
3.2. Meteorological Data
3.3. Numerical Simulation
4. Analysis of Ground Temperature Monitoring Data
4.1. Layout of Monitoring Point
4.2. Overall Change in Ground Temperature
4.3. Heat Flux Near the Permafrost Table
5. Numerical Simulation of Temperature Field of Permafrost Subgrade
5.1. Model Description
5.1.1. Geometric Model
5.1.2. Mathematical Model
5.1.3. Parameters of the Soil Layers
5.1.4. Boundary Conditions
5.1.5. Initial Conditions and Model Verification
5.2. Analysis of Temperature Field Simulation Results for Frozen Road
6. Numerical Simulation of the Temperature Field of a Block-Stone Subgrade
6.1. Model Description
6.1.1. Geometric Model
6.1.2. Mathematical Model
- (1)
- Continuity equation
- (2)
- Momentum equation
6.1.3. Parameters of the Soil Layers
6.2. Analysis of Simulation Results of Cooling Effectiveness of Block-Stone Subgrade
6.3. Numerical Simulation Study of Block-Stone Subgrade with Different Working Conditions
6.3.1. Thickness of Block-Stone
- (1)
- Analysis of ground temperature variation with depth
- (2)
- Analysis of the process of permafrost table change
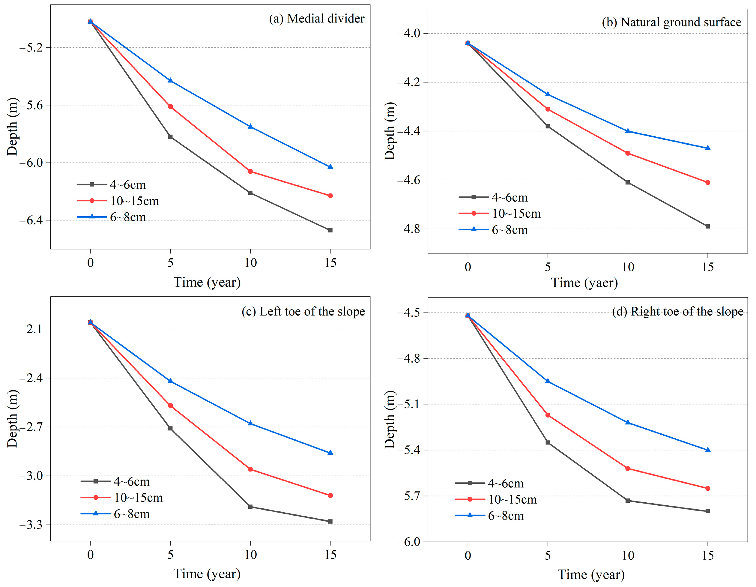
6.3.2. Block-Stone Particle Size
7. Discussion
8. Conclusions
- (1)
- During the monitoring of the four freeze–thaw cycles, the temperature of the soil at different depths showed cyclic changes, showing obvious seasonal characteristics, with the shallow soil layer of the subgrade being significantly affected by the air temperature and the soil at deeper depths responding less to changes in atmospheric temperature, due to the fact that it did not undergo a freeze–thaw cycle and was maintained in a relatively stable negative temperature state. The permafrost table in the lower part of the subgrade at all locations has decreased to different degrees, with the medial divider decreasing by 0.5 m, the left toe of the slope by 0.5 m, the right toe of the slope by 0.5 m, and the right natural hole by 2 m, which is the main reason for the uneven settlement of the subgrade. The temperature change in the soil under the subgrade has a hysteresis phenomenon with increasing depth, and the hysteresis effect in the cold season is smaller than that in the warm season. Due to the sunny–shady slope effect, the lateral difference in subgrade temperature is large. The heat gains and losses in the medial divider and the right natural hole both show heat absorption; the medial divider is more affected by external ambient temperatures as well as engineering disturbances.
- (2)
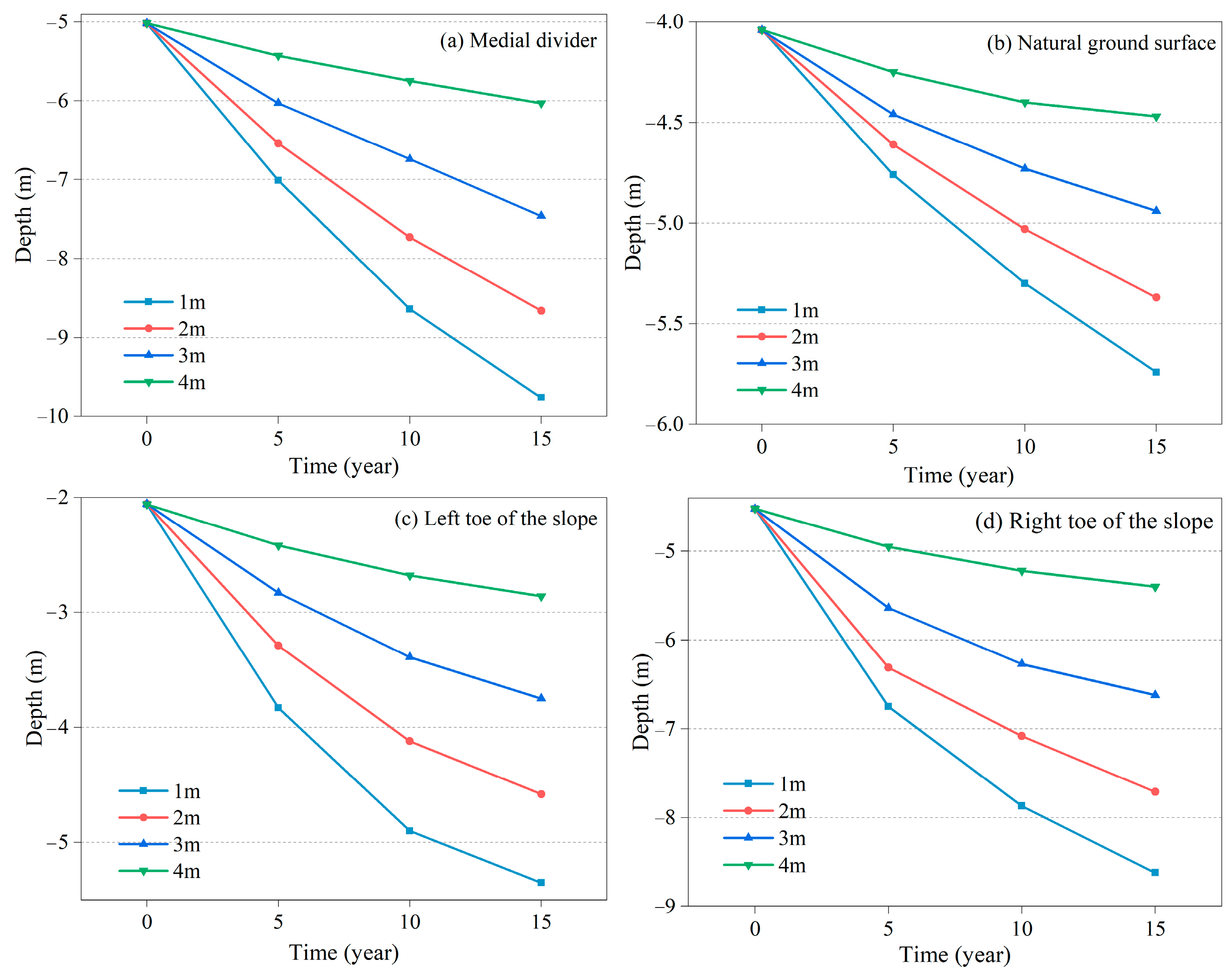
- According to the numerical simulation results of the ordinary permafrost subgrade, the temperature field of the subgrade shows an asymmetry of right-high and left-low due to the sunny–shady slope effect. The permafrost table decreased to different degrees at all locations during the simulation. The average rate of decrease in the permafrost table at the medial divider, the left toe of the slope, the right toe of the slope, and the natural ground surface during the 15-year period was 0.38 m/a, 0.31 m/a, 0.37 m/a, and 0.15 m/a, respectively. The decrease in the permafrost table at the medial divider was the fastest in the past few years.
- (3)
- Block-stone subgrades can effectively lift the permafrost table and better maintain the stability of the soil beneath the subgrade. Replacement 1 m block-stone subgrade lifts the permafrost table better compared with the ordinary subgrade top surface, the medial divider, the left toe of the slope, the right toe of the slope, and the natural ground surface lifting 1.05 m, 1.32 m, 1.49 m, and 0.49 m, respectively. The increase in the thickness of the replacement block stone can reduce the temperature of the lower soil; the thickness of the block stone increased sequentially from 1 m to 4 m, and the temperature of the soil at a depth of 5 m decreased by 0.1 °C, 0.31 °C, and 0.26 °C, respectively. In the construction of road projects in warm permafrost areas, priority should be given to the use of replacement block-stone subgrades to effectively protect the permafrost. The simulated thickness of the replacement block-stone is 1~4 m, and the cooling effect is best when the thickness is 4 m; the simulated block-stone particle size is 4~15 cm, and the cooling effect is best when the block-stone particle size is 6~8 cm. Increasing the particle size of the block stone too much may affect other physical parameters of the block-stone layer, which may weaken the protection of the block-stone subgrade against the underlying permafrost.
Author Contributions
Funding
Institutional Review Board Statement
Informed Consent Statement
Data Availability Statement
Acknowledgments
Conflicts of Interest
References
- Mu, Y.; Ma, W.; Niu, F.; Liu, G.; Zhang, Q. Study on geotechnical hazards to roadway engineering in permafrost regions. J. Disaster Prev. Mitig. Eng. 2014, 34, 259–267. [Google Scholar]
- Xu, Y.; Shen, M.; Zhou, Z.; Ma, W.; Li, G. Long-term thermal stability study of the typical embankment along the Qinghai-Tibet Railway in warm permafrost regions. J. Glaciol. Geocryol. 2022, 44, 1784–1795. [Google Scholar]
- Cheng, Y.; Shi, Z.; Zu, F. Temperature field distribution and thermal stability of subgrade in permafrost regions. IJHT 2021, 39, 241–250. [Google Scholar] [CrossRef]
- He, X.; Zeng, C.; Gao, Z.; Zhang, W.; Wan, H.; Zhang, R. Temperature field change law of highway subgrade in Naqu-Yangbajing seasonal frozen soil area. Saf. Environ. Eng. 2023, 30, 92–100. [Google Scholar]
- Merzlikin, V.G.; Bolkina, G.I.; Ignatova, L.N. Effective and ecological technologies of application of structured materials for subgrade in the permafrost regions. Solid State Phenom. 2018, 284, 950–955. [Google Scholar] [CrossRef]
- Li, G.; Zhao, Y.; Zhang, W.; Xu, X. Influence of snow cover on temperature field of frozen ground. Cold Reg. Sci. Technol. 2021, 192, 103402. [Google Scholar] [CrossRef]
- Jiang, Y.; Li, G.; Zhao, L.; Zhao, Y.; Duan, S.; Zhang, W. Temperature field study for permafrost subgrade with compound thermal boundaries. J. Inn. Mong. Univ. (Nat. Sci. Ed.) 2020, 51, 649–657. [Google Scholar]
- Wu, J.; Xin, Y.; Xu, X. Research of thermosyphon applied in patchy permafrost sections along the Genhe-Labudalin Highway. J. Glaciol. Geocryol. 2018, 40, 943–950. [Google Scholar]
- Pan, W.; Zhao, S.; Xu, W.; Yu, S.; Ma, W. Application of thermal probe to enhance thermal stability of subgrade in Plateau permafrost areas. J. Glaciol. Geocryol. 2003, 25, 433–438. [Google Scholar]
- Liu, M.; Niu, F.; Lin, Z.; Luo, J. Long-term cooling effect and deformation characteristics of a U-shaped crushed rock embankment in warm permafrost region. Rock Soil Mech. 2017, 38, 3304–3310. [Google Scholar]
- Cheng, G.; Lai, Y.; Sun, Z.; Jiang, F. The thermal semi-conductor effect of crushed rocks. Permafr. Periglac. Process. 2007, 18, 151–160. [Google Scholar]
- Ma, W.; Feng, G.; Wu, Q.; Wu, J. Analyses of temperature fields under the embankment with crushed-rock structures along the Qinghai–Tibet Railway. Cold Reg. Sci. Technol. 2008, 53, 259–270. [Google Scholar] [CrossRef]
- Liu, J.; Tian, Y. Numerical studies for the thermal regime of a subgrade with insulation on permafrost. Cold Reg. Sci. Technol. 2002, 35, 1–13. [Google Scholar] [CrossRef]
- Yang, T.; Ma, T.; Huang, X.; Wang, S.; Cheng, Y. Simulation analysis on cooling effectiveness of engineer measures for subgrade of Qinghai-Tibet expressway. J. Hunan Univ. (Nat. Sci.) 2016, 43, 95–102. [Google Scholar]
- Li, X.; Ma, W.; Mu, Y.; He, P.; Huang, Y.; Wu, X. Study on the cooling effect of separated duct-ventilated embankments used for the Qinghai-Tibet expressway in high-altitude permafrost zones. Chin. J. Rock Mech. Eng. 2022, 41, 3488–3498. [Google Scholar]
- Pei, W.; Zhang, M.; Li, S.; Lai, Y.; Jin, L. Thermo-mechanical stability analysis of cooling embankment with crushed-rock interlayer on a sloping ground in permafrost regions. Appl. Therm. Eng. 2017, 125, 1200–1208. [Google Scholar] [CrossRef]
- Ni, J.; Wu, T.; Zhu, X.; Wu, X.; Pang, Q.; Zou, D.; Chen, J.; Li, C.; Hu, G.; Du, Y.; et al. Risk assessment of potential thaw settlement hazard in the permafrost regions of Qinghai-Tibet Plateau. Sci. Total Environ. 2021, 776, 145855. [Google Scholar] [CrossRef] [PubMed]
- Mu, Y.; Ma, W.; Niu, F.; Liu, Y.; Fortier, R.; Mao, Y. Long-term thermal effects of thermal effects of air convection embankments in permafrost zones case study of the Qinghai-Tibet Railway, China. J. Cold Reg. Eng. 2018, 32, 05018004. [Google Scholar] [CrossRef]
- Wu, Q.; Zhao, H.; Zhang, Z.; Chen, J.; Liu, Y. Longterm role of cooing the underying permafrost of the crushed rock stoucture emteankment along the Qinghai-Xizang Railway. Permafr. Periglac. Process. 2020, 31, 172–183. [Google Scholar] [CrossRef]
- Liu, X.; Cai, D.; Yan, Y.; Bi, Z.; Li, Z. Eeperimental study on engineering characteristics of high-speed railway subgrade filler in island permafrost regions. Coating 2023, 13, 429. [Google Scholar] [CrossRef]
- Bao, W.; Liu, Y.; Mao, X.; Li, W.; Qin, C.; Guo, Q.; Chen, R. Characteristics of subgrade temperature field of gravel road in high altitude permafrost region. J. Traffic Transp. Eng. 2023, 23, 60–74. [Google Scholar]
- Wang, Q.; Fang, J.; Xu, A.; Chao, G. Analysis of thermal state change of block-stone subgrade in high-temperature unstable permafrost region. Highw. Eng. 2019, 44, 66–70. [Google Scholar]
- Bai, Q.; Li, X.; Tian, Y.; Fang, J. Equations and numerical simulation for coupled water and heat transfer in frozen soil. Chinese Journal of Geotechnical Engineering. 2015, 37, 131–136. [Google Scholar]
- Xu, X.; Wang, J.; Zhang, L. Frozen Soil Physics; Science Press: Beijing, China, 2010. [Google Scholar]
- Lai, M.; Zhang, M.; Li, S. Theory and Application of Cold Regions Engineering; Science Press: Beijing, China, 2009. [Google Scholar]
- Ao, X.; Zhao, C.; Cui, Y.; Zhou, X.; Zhai, Q.; Shen, L.; Wang, T. Evaluation and projection of temperature change in Northeast China. J. Meteorol. Environ. 2021, 37, 33–42. [Google Scholar]
- Li, Q.; Wei, H.; Han, L.; Wang, F.; Zhang, Y.; Han, S. Feasibility of using modified silty clay and extruded polystyrene (XPS) board as the subgrade thermal insulation layer in a seasonally frozen region, Northeast China. Sustainability 2019, 11, 804. [Google Scholar] [CrossRef]
- Liu, M.; Ma, W.; Niu, F.; Luo, J.; Yin, G. Thermal performance of a novel crushed-rock embankment structure for expressway in permafrost regions. Int. J. Heat Mass Transf. 2018, 127, 1178–1188. [Google Scholar] [CrossRef]
- Han, X. Study on Non-Darcy Flow Experiment of Low Permeability Rocks; Tsinghua University: Beijing, China, 2004. [Google Scholar]
- Xi, J.; Zhang, S.; Chen, J.; Chen, D.; Dong, Y. Numerical simulation on cooling effect of closed rubble/block-stone embankment in permafrost areas. Subgrade Eng. 2015, 5, 1–6+16. [Google Scholar]























| Soil Layers | j | l | (%) | (%) | (m/s) | |
|---|---|---|---|---|---|---|
| embankment fill | 2.36 | 0.5 | 0.5 | 0.07 | 0.55 | 6.50 × 10−6 |
| silty clay | 2.65 | 0.18 | 0.5 | 0.02 | 0.5 | 7.49 × 10−8 |
| moderately weathered andesite | 2.59 | 0.22 | 0.5 | 0.08 | 0.65 | 5.13 × 10−9 |
| Soil Layer | ρ(kg/m3) | ||||
|---|---|---|---|---|---|
| embankment fill | 1780 | 790 | 1.83 | 2530 | 2.51 |
| silty clay | 1670 | 1680 | 1.25 | 1620 | 1.41 |
| moderately weathered andesite | 2122 | 1840 | 1.93 | 1730 | 1.24 |
| Boundary | (°C) | A (°C) |
|---|---|---|
| Medial divider | 2.31958 | 18.34224 |
| Left toe of the slope | 0.45162 | 2.67472 |
| Right toe of the slope | 3.12189 | 8.54856 |
| Left natural hole | 0.68466 | 4.7579 |
| Right natural hole | 0.29258 | 7.12944 |
| Time | Medial Divider | Left Toe of the Slope | Right Toe of the Slope | Natural Ground Surface |
|---|---|---|---|---|
| Year 1 | −5.02 m | −2.06 m | −4.52 m | −4.04 m |
| Year 5 | −7.57 m | −4.65 m | −7.47 m | −4.96 m |
| Year 10 | −9.49 m | −5.98 m | −9.09 m | −5.71 m |
| Year 15 | −10.78 m | −6.67 m | −10.11 m | −6.23 m |
| Particle Size (cm) | k (m2) | (kJ/(m3∙K)) | (W/(m∙K)) | n (%) | ρ (kg/m3) |
|---|---|---|---|---|---|
| 4~6 | 7.6e-7 | 1270 | 0.407 | 45.1 | 2100 |
| 6~8 | 4.3e-6 | 1250 | 0.396 | 45.7 | 2040 |
| 10~15 | 8.3e-6 | 1180 | 0.385 | 46.2 | 1950 |
Disclaimer/Publisher’s Note: The statements, opinions and data contained in all publications are solely those of the individual author(s) and contributor(s) and not of MDPI and/or the editor(s). MDPI and/or the editor(s) disclaim responsibility for any injury to people or property resulting from any ideas, methods, instructions or products referred to in the content. |
© 2024 by the authors. Licensee MDPI, Basel, Switzerland. This article is an open access article distributed under the terms and conditions of the Creative Commons Attribution (CC BY) license (https://creativecommons.org/licenses/by/4.0/).
Share and Cite
Shan, W.; Li, Y.; Guo, Y.; Zhang, C.; Hou, P. Ground Temperature Monitoring and Simulation of Temperature Field Changes in Block-Stone Material Replacement Foundation for the Shiwei–Labudalin Highway. Appl. Sci. 2024, 14, 6222. https://doi.org/10.3390/app14146222
Shan W, Li Y, Guo Y, Zhang C, Hou P. Ground Temperature Monitoring and Simulation of Temperature Field Changes in Block-Stone Material Replacement Foundation for the Shiwei–Labudalin Highway. Applied Sciences. 2024; 14(14):6222. https://doi.org/10.3390/app14146222
Chicago/Turabian StyleShan, Wei, Yutong Li, Ying Guo, Chengcheng Zhang, and Peijie Hou. 2024. "Ground Temperature Monitoring and Simulation of Temperature Field Changes in Block-Stone Material Replacement Foundation for the Shiwei–Labudalin Highway" Applied Sciences 14, no. 14: 6222. https://doi.org/10.3390/app14146222
APA StyleShan, W., Li, Y., Guo, Y., Zhang, C., & Hou, P. (2024). Ground Temperature Monitoring and Simulation of Temperature Field Changes in Block-Stone Material Replacement Foundation for the Shiwei–Labudalin Highway. Applied Sciences, 14(14), 6222. https://doi.org/10.3390/app14146222

