Enhancing Survival Analysis Model Selection through XAI(t) in Healthcare
Abstract
1. Introduction
- Training and validating different Machine Learning and Deep Learning survival models, selecting the best-performing ones according to the metrics used in survival tasks;
- Investigating the role of comorbidities in OSA from an XAI(t) perspective;
- Performing a model comparison, selecting the most reliable models according to the explanations retrieved by XAI(t) algorithms.
2. Materials and Methods
- Dataset
- Data Pre-Processing
- Statistical Analysis and Feature Selection
- Survival models
- Time-Dependent XAI
- Experimental Pipeline
3. Results
- Harrell’s C-Index [44]—Also known as the concordance index, it measures the proportion of all pairs of observations for which the survival order predicted by the model matches the order in the data. A higher C-index (ideally equal to 1) indicates better concordance between the model prediction and the relative ground truth, whereas a C-index equal to 0.5 indicates a random prediction.
- Integrated Cumulative-Dynamic Area Under the Curve (C/D AUC) [45]—This measures the area under the Receiver Operating Characteristic (ROC) curve at different time points during the observation.
- Brier Score [46]—This measures the difference between the model prediction and the corresponding ground truth event; a lower Brier score suggests better model precision, while a high Brier score indicates performance degradation. Ideal Brier score values should be closer to 0 since values closer to 0.5 indicate random predictions.
- ML Model Results As a general result, SSVM was the worst-performing model, while all other models achieved good results. The differences between Cox regression, SGBM, and SRF were minimal for the C-index and integrated C/D AUC, whereas Cox regression exhibited a lower Brier score.Thus, we chose CPH for the explainability step. Moreover, this model returned a hazard ratio for each feature that can be used for data explainability in addition to XAI techniques (Section 4).DL Model Results As shown in Figure 4, CT, PCH, and LH exhibited similar performance and were thus the best models. We selected LH for the explainability phase (see Section 4 for more details).The time-variant Brier scores and C/D AUC values for the CPH, CT, and LH models are depicted in Figure 5.
4. Discussion
4.1. Related Works
4.2. Explanation Methods
- Dataset-level explanation limitations: SHAP is designed to return a local explanation, i.e., it gives an explanation for a single sample. Consequently, SurvSHAP behaves in the same way. When used on a dataset, its resulting explanation depends on the sample distribution. In fact, if the data are unbalanced for specific features, their contribution will be minimal, but this conclusion cannot be generalized to other data. Hence, the ideal scenario could be to use a large dataset for the sake of higher generalization of the results. However, the computation of feature contributions for a single sample is computationally expensive because of model complexity and the operations involved (e.g., multiple feature permutations, predictions, and performance computations for SHAP values; local sample generation, local model training, and prediction for LIME values). In XAI(t), this is exacerbated since the feature contributions are also computed for different time instants.
- Model-level explanation limitations: Although model-level explanations are computationally less expensive than dataset-level ones, they return explanation information at the population level that cannot be used for explanations at a single prediction level. Moreover, the explanation methods based on permutation can lead to misinterpretations when the independent variables are strongly correlated [52].
- Dataset-Level ExplanationsWe computed the SurvSHAP values on the test data, retrieving and ranking the most important features.
- Model-Level Explanations
5. Conclusions
Author Contributions
Funding
- National Recovery and Resilience Plan (NRRP), Mission 4, Component 1, Investment 4.1, Decree No. 118 of the Italian Ministry of University and Research, Concession Decree No. 2333 of the Italian Ministry of University and Research, CUP D93C23000450005, within the Italian National Program Ph.D. Program in Autonomous Systems (DAuSy), co-funded by the European Union—Next-Generation EU.
- National Recovery and Resilience Plan (NRRP), project “BRIEF—Biorobotics Research and Innovation Engineering Facilities”, Mission 4: “Istruzione e Ricerca”, Component 2: “Dalla ricerca all’impresa”, Investment 3.1: “Fondo per la realizzazione di un sistema integrato di infrastrutture di ricerca e innovazione”, CUP: J13C22000400007, funded by the European Union—Next-Generation EU.
- Project D3 4 Health “Digital-Driven Diagnostics, Prognostics, and Therapeutics for Sustainable Healthcare” (PNC 0000001), National Plan for Complementary Investments in the NRRP, CUP B53C22006170001, funded by the European Union—Next-Generation EU.
Institutional Review Board Statement
Informed Consent Statement
Data Availability Statement
Conflicts of Interest
Appendix A
Appendix A.1. Correlation Matrices


Appendix A.2. Pipeline Workflow Pseudo-Code
| Algorithm A1 Pipeline Pseudo-Code |
|
Appendix A.3. Performance Metrics (10-Fold Cross-Validation)
| Family | Model | C-Index | Integrated Brier Score |
|---|---|---|---|
| Machine Learning | CPH | 0.10 | |
| SRF | 0.82 | 0.12 | |
| SSVM | 0.72 | 0.32 | |
| SGBM | 0.80 | 0.11 | |
| Deep Learning | Cox time | 0.77 | 0.12 |
| DeepHit | 0.74 | 0.15 | |
| DeepSurv | 0.57 | 0.17 | |
| LogHazard | 0.76 | 0.12 | |
| PCHazard | 0.77 | 0.14 |
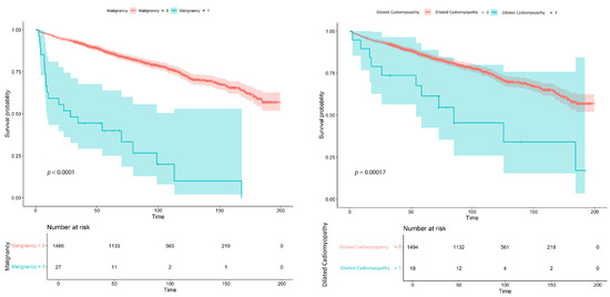
Appendix A.4. Survival Curves for Malignancy and Idiopathic Dilated Cardiomyopathy

References
- Scrutinio, D.; Guida, P.; Aliani, M.; Castellana, G.; Guido, P.; Carone, M. Age and comorbidities are crucial predictors of mortality in severe obstructive sleep apnoea syndrome. Eur. J. Intern. Med. 2021, 90, 71–76. [Google Scholar] [CrossRef]
- Blanchard, M.; Feuilloy, M.; Sabil, A.; Gervès-Pinquié, C.; Gagnadoux, F.; Girault, J.M. A Deep Survival Learning Approach for Cardiovascular Risk Estimation in Patients with Sleep Apnea. IEEE Access 2022, 10, 133468–133478. [Google Scholar] [CrossRef]
- Pagano, G.; Aliani, M.; Genco, M.; Coccia, A.; Proscia, V.; Cesarelli, M.; D’Addio, G. Rehabilitation outcome in patients with obstructive sleep apnea syndrome using wearable inertial sensor for gait analysis. In Proceedings of the 2022 IEEE International Symposium on Medical Measurements and Applications, MeMeA 2022—Conference Proceedings, Messina, Italy, 22–24 June 2022; pp. 1–6. [Google Scholar] [CrossRef]
- Huttunen, R.; Leppänen, T.; Duce, B.; Oksenberg, A.; Myllymaa, S.; Töyräs, J.; Korkalainen, H. Assessment of obstructive sleep apnea-related sleep fragmentation utilizing Deep Learning-based sleep staging from photoplethysmography. Sleep 2021, 44, zsab142. [Google Scholar] [CrossRef]
- D’Addio, G.; De Felice, A.; Balzano, G.; Zotti, R.; Iannotti, P.; Bifulco, P.; Cesarelli, M. Diagnostic decision support of heart rate turbulence in sleep apnea syndrome. Stud. Health Technol. Inform. 2013, 186, 150–154. [Google Scholar] [CrossRef]
- Ma, E.Y.; Kim, J.W.; Lee, Y.; Cho, S.W.; Kim, H.; Kim, J.K. Combined unsupervised-supervised Machine Learning for phenotyping complex diseases with its application to obstructive sleep apnea. Sci. Rep. 2021, 11, 4457. [Google Scholar] [CrossRef]
- Wang, P.; Li, Y.; Reddy, C.K. Machine Learning for survival analysis: A survey. ACM Comput. Surv. 2019, 51, 1–36. [Google Scholar] [CrossRef]
- Zaccaria, G.M.; Vegliante, M.C.; Mezzolla, G.; Stranieri, M.; Volpe, G.; Altini, N.; Gargano, G.; Pappagallo, S.A.; Bucci, A.; Esposito, F.; et al. A Decision-tree Approach to Stratify DLBCL Risk Based on Stromal and Immune Microenvironment Determinants. HemaSphere 2023, 7, e862. [Google Scholar] [CrossRef]
- Altini, N.; Brunetti, A.; Mazzoleni, S.; Moncelli, F.; Zagaria, I.; Prencipe, B.; Lorusso, E.; Buonamico, E.; Carpagnano, G.E.; Bavaro, D.F.; et al. Predictive Machine Learning Models and Survival Analysis for COVID-19 Prognosis Based on Hematochemical Parameters. Sensors 2021, 21, 8503. [Google Scholar] [CrossRef]
- Silva, C.A.; Morillo, C.A.; Leite-Castro, C.; González-Otero, R.; Bessani, M.; González, R.; Castellanos, J.C.; Otero, L. Machine Learning for atrial fibrillation risk prediction in patients with sleep apnea and coronary artery disease. Front. Cardiovasc. Med. 2022, 9, 1–11. [Google Scholar] [CrossRef]
- Wang, M.; Greenberg, M.; Forkert, N.D.; Chekouo, T.; Afriyie, G.; Ismail, Z.; Smith, E.E.; Sajobi, T.T. Dementia risk prediction in individuals with mild cognitive impairment: A comparison of Cox regression and Machine Learning models. BMC Med. Res. Methodol. 2022, 22, 284. [Google Scholar] [CrossRef]
- Zhu, E.; Zhang, L.; Wang, J.; Hu, C.; Pan, H.; Shi, W.; Xu, Z.; Ai, P.; Shan, D.; Ai, Z. Deep Learning-guided adjuvant chemotherapy selection for elderly patients with breast cancer. Breast Cancer Res. Treat. 2024, 205, 97–107. [Google Scholar] [CrossRef]
- Zaccaria, G.M.; Altini, N.; Mezzolla, G.; Vegliante, M.C.; Stranieri, M.; Pappagallo, S.A.; Ciavarella, S.; Guarini, A.; Bevilacqua, V. SurvIAE: Survival prediction with Interpretable Autoencoders from Diffuse Large B-Cells Lymphoma gene expression data. Comput. Methods Programs Biomed. 2024, 244, 107966. [Google Scholar] [CrossRef]
- Korkalainen, H.; Leppanen, T.; Duce, B.; Kainulainen, S.; Aakko, J.; Leino, A.; Kalevo, L.; Afara, I.O.; Myllymaa, S.; Toyras, J. Detailed Assessment of Sleep Architecture with Deep Learning and Shorter Epoch-to-Epoch Duration Reveals Sleep Fragmentation of Patients with Obstructive Sleep Apnea. IEEE J. Biomed. Health Inform. 2021, 25, 2567–2574. [Google Scholar] [CrossRef]
- Berloco, F.; Bevilacqua, V.; Colucci, S. Distributed Analytics For Big Data: A Survey. Neurocomputing 2024, 574, 127258. [Google Scholar] [CrossRef]
- Bevilacqua, V.; Altini, N.; Prencipe, B.; Brunetti, A.; Villani, L.; Sacco, A.; Morelli, C.; Ciaccia, M.; Scardapane, A. Lung Segmentation and Characterization in COVID-19 Patients for Assessing Pulmonary Thromboembolism: An Approach Based on Deep Learning and Radiomics. Electronics 2021, 10, 2475. [Google Scholar] [CrossRef]
- Stare, J.; Maucort-Boulch, D. Odds ratio, hazard ratio and relative risk. Metod. Zv. 2016, 13, 59. [Google Scholar] [CrossRef]
- Krzyziński, M.; Spytek, M.; Baniecki, H.; Biecek, P. SurvSHAP(t): Time-dependent explanations of Machine Learning survival models. Knowl.-Based Syst. 2023, 262, 110234. [Google Scholar] [CrossRef]
- Baniecki, H.; Sobieski, B.; Bombiński, P.; Szatkowski, P.; Biecek, P. Hospital Length of Stay Prediction Based on Multi-modal Data Towards Trustworthy Human-AI Collaboration in Radiomics. In Artificial Intelligence in Medicine; Lecture Notes in Computer Science (Including Subseries Lecture Notes in Artificial Intelligence and Lecture Notes in Bioinformatics); Springer: Portorož, Slovenia, 2023; Volume 13897, pp. 65–74. [Google Scholar] [CrossRef]
- Passera, R.; Zompi, S.; Gill, J.; Busca, A. Explainable Machine Learning (XAI) for Survival in Bone Marrow Transplantation Trials: A Technical Report. BioMedInformatics 2023, 3, 752–768. [Google Scholar] [CrossRef]
- Alabi, R.O.; Elmusrati, M.; Leivo, I.; Almangush, A.; Mäkitie, A.A. Machine Learning explainability in nasopharyngeal cancer survival using LIME and SHAP. Sci. Rep. 2023, 13, 8984. [Google Scholar] [CrossRef]
- Srinidhi, B.; Bhargavi, M.S. An XAI Approach to Predictive Analytics of Pancreatic Cancer. In Proceedings of the 2023 International Conference on Information Technology (ICIT), Amman, Jordan, 9–10 August 2023; pp. 343–348. [Google Scholar] [CrossRef]
- Chadaga, K.; Prabhu, S.; Sampathila, N.; Chadaga, R. Healthcare Analytics A Machine Learning and explainable artificial intelligence approach for predicting the efficacy of hematopoietic stem cell transplant in pediatric patients. Healthc. Anal. 2023, 3, 100170. [Google Scholar] [CrossRef]
- Peng, J.; Zou, K.; Zhou, M.; Teng, Y.; Zhu, X.; Zhang, F.; Xu, J. An Explainable Artificial Intelligence Framework for the Deterioration Risk Prediction of Hepatitis Patients. J. Med. Syst. 2021, 45, 61. [Google Scholar] [CrossRef] [PubMed]
- Lundberg, S.M.; Lee, S.I. A unified approach to interpreting model predictions. In Proceedings of the Advances in Neural Information Processing Systems, Long Beach, CA, USA, 4–9 December 2017; Volume 30. [Google Scholar]
- Ribeiro, M.T.; Singh, S.; Guestrin, C. “Why Should I Trust You?”: Explaining the Predictions of Any Classifier. In Proceedings of the 22nd ACM SIGKDD International Conference on Knowledge Discovery and Data Mining (KDD ’16), New York, NY, USA, 13–17 August 2016; pp. 1135–1144. [Google Scholar] [CrossRef]
- Kovalev, M.S.; Utkin, L.V.; Kasimov, E.M. SurvLIME: A method for explaining Machine Learning survival models. Knowl.-Based Syst. 2020, 203, 106164. [Google Scholar] [CrossRef]
- Scrutinio, D. Dataset Related to Study: “Age and Comorbidity Are Crucial Predictors of Mortality in Severe Obstructive Sleep Apnoea Syndrome”. Available online: https://zenodo.org/records/4290149 (accessed on 27 April 2024).
- Delanaye, P.; Schaeffner, E.; Ebert, N.; Cavalier, E.; Mariat, C.; Krzesinski, J.M.; Moranne, O. Normal reference values for glomerular filtration rate: What do we really know? Nephrol. Dial. Transplant. 2012, 27, 2664–2672. [Google Scholar] [CrossRef]
- A Healthy Lifestyle—WHO Recommendations. Available online: https://www.who.int/europe/news-room/fact-sheets/item/a-healthy-lifestyle---who-recommendations (accessed on 20 April 2024).
- Tondo, P.; Scioscia, G.; Sabato, R.; Leccisotti, R.; Hoxhallari, A.; Sorangelo, S.; Mansueto, G.; Campanino, T.; Carone, M.; Barbaro, M.P.; et al. Mortality in obstructive sleep apnea syndrome (OSAS) and overlap syndrome (OS): The role of nocturnal hypoxemia and CPAP compliance. Sleep Med. 2023, 112, 96–103. [Google Scholar] [CrossRef]
- Peppard, P.E.; Young, T.; Barnet, J.H.; Palta, M.; Hagen, E.W.; Hla, K.M. Increased Prevalence of Sleep-Disordered Breathing in Adults. Am. J. Epidemiol. 2013, 177, 1006–1014. [Google Scholar] [CrossRef] [PubMed]
- Heilbrunn, E.S.; Ssentongo, P.; Chinchilli, V.M.; Oh, J.; Ssentongo, A.E. Sudden death in individuals with obstructive sleep apnoea: A systematic review and meta-analysis. BMJ Open Respir. Res. 2021, 8. [Google Scholar] [CrossRef]
- Cox, D.R. Regression Models and Life-Tables. J. R. Stat. Soc. Ser. B (Methodol.) 1972, 34, 187–220. [Google Scholar] [CrossRef]
- Ishwaran, H.; Kogalur, U.; Blackstone, E.; Lauer, M. Random Survival Forests. Ann. Appl. Stat. 2008, 2, 841–860. [Google Scholar] [CrossRef]
- Ridgeway, G. The State of Boosting. Comput. Sci. Stat. 2001, 31, 172–181. [Google Scholar]
- Fouodo, C.; König, I.; Weihs, C.; Ziegler, A.; Wright, M. Support Vector Machines for Survival Analysis with R. R J. 2018, 10, 412–423. [Google Scholar] [CrossRef]
- Kvamme, H.; Borgan, Ø.; Scheel, I. Time-to-Event Prediction with Neural Networks and Cox Regression. arXiv 2019, arXiv:1907.00825. [Google Scholar]
- Lee, C.; Zame, W.; Yoon, J.; Schaar, M. DeepHit: A Deep Learning Approach to Survival Analysis with Competing Risks. In Proceedings of the AAAI Conference on Artificial Intelligence, New Orleans, LA, USA, 2–7 February 2018; Volume 32. [Google Scholar] [CrossRef]
- Katzman, J.; Shaham, U.; Cloninger, A.; Bates, J.; Jiang, T.; Kluger, Y. DeepSurv: Personalized treatment recommender system using a Cox proportional hazards deep neural network. BMC Med. Res. Methodol. 2018, 18, 24. [Google Scholar] [CrossRef]
- Gensheimer, M.F.; Narasimhan, B. A scalable discrete-time survival model for neural networks. PeerJ 2018, 7, e6257. [Google Scholar] [CrossRef]
- Eleuteri, A.; Aung, M.; Taktak, A.; Damato, B.; Lisboa, P. Continuous and Discrete Time Survival Analysis: Neural Network Approaches. In Proceedings of the 2007 29th Annual International Conference of the IEEE Engineering in Medicine and Biology Society, Lyon, France, 22–26 August 2007; pp. 5420–5423. [Google Scholar] [CrossRef]
- Utkin, L.; Satyukov, E.; Konstantinov, A. SurvNAM: The Machine Learning survival model explanation. Neural Netw. 2021, 147, 81–102. [Google Scholar] [CrossRef]
- Harrell, F.E.; Lee, K.L.; Mark, D.B. Multivariable prognostic models: Issues in developing models, evaluating assumptions and adequacy, and measuring and reducing errors. Stat. Med. 1996, 15, 361–387. [Google Scholar] [CrossRef]
- Lambert, J.; Chevret, S. Summary measure of discrimination in survival models based on cumulative/dynamic time-dependent ROC curves. Stat. Methods Med. Res. 2016, 25, 2088–2102. [Google Scholar] [CrossRef]
- Sawyer, C.; Reichelderfer, F.W.; Editor, J.E.; Caskey, J.R.; Brie, G.W. Verification of forecasts expressed in terms of probability. Mon. Weather. Rev. 1950, 78, 1–3. [Google Scholar] [CrossRef]
- Hu, J.; Zhu, K.; Cheng, S.; Kovalchuk, N.M.; Soulsby, A.; Simmons, M.J.; Matar, O.K.; Arcucci, R. Explainable AI models for predicting drop coalescence in microfluidics device. Chem. Eng. J. 2024, 481, 148465. [Google Scholar] [CrossRef]
- Chen, D.; Cheng, S.; Hu, J.; Kasoar, M.; Arcucci, R. Explainable Global Wildfire Prediction Models using Graph Neural Networks. arXiv 2024, arXiv:2402.07152. [Google Scholar] [CrossRef]
- Altini, N.; Puro, E.; Taccogna, M.G.; Marino, F.; De Summa, S.; Saponaro, C.; Mattioli, E.; Zito, F.A.; Bevilacqua, V. Tumor Cellularity Assessment of Breast Histopathological Slides via Instance Segmentation and Pathomic Features Explainability. Bioengineering 2023, 10, 396. [Google Scholar] [CrossRef]
- Qi, X.; Ge, Y.; Yang, A.; Liu, Y.; Wang, Q.; Wu, G. Potential value of mitochondrial regulatory pathways in the clinical application of clear cell renal cell carcinoma: A Machine Learning-based study. J. Cancer Res. Clin. Oncol. 2023, 149, 17015–17026. [Google Scholar] [CrossRef]
- Zuo, Y.; Liu, Q.; Li, N.; Li, P.; Zhang, J.; Song, S. Optimal 18F-FDG PET/CT radiomics model development for predicting EGFR mutation status and prognosis in lung adenocarcinoma: A multicentric study. Front. Oncol. 2023, 13, 1173355. [Google Scholar] [CrossRef]
- Hooker, G.; Mentch, L.; Zhou, S. Unrestricted permutation forces extrapolation: Variable importance requires at least one more model, or there is no free variable importance. Stat. Comput. 2021, 31, 82. [Google Scholar] [CrossRef]
- Zamarrón, E.; Jaureguizar, A.; García-Sánchez, A.; Díaz-Cambriles, T.; Alonso-Fernández, A.; Lores, V.; Mediano, O.; Rodríguez-Rodríguez, P.; Cabello-Pelegrín, S.; Morales-Ruíz, E.; et al. Obstructive sleep apnea is associated with impaired renal function in patients with diabetic kidney disease. Sci. Rep. 2021, 11, 5675. [Google Scholar] [CrossRef]
- McNicholas, W.T. COPD-OSA Overlap Syndrome: Evolving Evidence Regarding Epidemiology, Clinical Consequences, and Management. Chest 2017, 152, 1318–1326. [Google Scholar] [CrossRef] [PubMed]
- Khan, A.M.; Ashizawa, S.; Hlebowicz, V.; Appel, D.W. Anemia of aging and obstructive sleep apnea. Sleep Breath. Schlaf Atm. 2011, 15, 29–34. [Google Scholar] [CrossRef]
- Cheng, L.; Guo, H.; Zhang, Z.; Yao, Y.; Yao, Q. Obstructive sleep apnea and incidence of malignant tumors: A meta-analysis. Sleep Med. 2021, 84, 195–204. [Google Scholar] [CrossRef]
- Jehan, S.; Myers, A.K.; Zizi, F.; Pandi-Perumal, S.R.; Jean-Louis, G.; McFarlane, S.I. Obesity, obstructive sleep apnea and type 2 diabetes mellitus: Epidemiology and pathophysiologic insights. Sleep Med. Disord. Int. J. 2018, 2, 52. [Google Scholar] [CrossRef]











| Feature | Type | Description | Number | Mean ± Std | p-Value |
|---|---|---|---|---|---|
| Number of Patients = 1394 | |||||
| Demographics | |||||
| Status | Categorical | Indicates whether the patient is dead or alive at follow-up | Reference | ||
| Dead | 363 | - | |||
| Alive | 1031 | - | |||
| Sex | Categorical | Sex of the patient | 0.182 | ||
| Male | 997 | - | |||
| Female | 397 | - | |||
| Age | Categorical | Indicates whether the patient is over 65 | <0.001 | ||
| Under 65 years | 700 | - | |||
| Over 65 years | 694 | - | |||
| Marital Status | Categorical | Marital status of the patient | 0.842 | ||
| Married | 262 | - | |||
| Not married | 1132 | - | |||
| Comorbidities | |||||
| Hypertension | Categorical | Presence of hypertension | 752 | - | 0.652 |
| Diabetes | Categorical | Presence of diabetes | 413 | - | 0.033 |
| Heart failure | Categorical | Indicates whether patients have a history of heart failure | 79 | - | <0.001 |
| Dilated cardiomyopathy | Categorical | Presence of dilated cardiomyopathy | 17 | - | <0.001 |
| Atrial Fibrillation | Categorical | Indicates whether patients have a history of atrial fibrillation | 135 | - | <0.001 |
| Previous cardiovascular events | Categorical | Indicates whether patients have a history of previous CV events | 32 | - | 0.089 |
| Valvular heart disease | Categorical | Presence of valvular heart disease | 33 | - | 0.006 |
| Cardiovascular disease | Categorical | Presence of cardiovascular disease | 339 | - | <0.001 |
| Chronic obstructive pulmonary disease (COPD) | Categorical | Presence of COPD | 288 | - | <0.001 |
| Asthma | Categorical | Presence of asthma | 70 | - | 0.297 |
| Malignancy | Categorical | Indicates whether patients have a history or presence of malignancy | 26 | - | <0.001 |
| Renal dysfunction | Categorical | Presence of renal dysfunction in patient | 308 | - | <0.001 |
| Anemia | Categorical | Presence of anemia | 263 | - | <0.001 |
| Cholesterol Category | Categorical | Categorical column classifying cholesterol into 3 categories | 0.030 | ||
| Value ≤200 [mg/dL] | 870 | - | |||
| Value in 200–239 [mg/dL] | 371 | - | |||
| Value ≥240 [mg/dL] | 153 | - | |||
| Weight Categories | Categorical | Categories of weight based on BMI value | <0.001 | ||
| Normal weight | 75 | - | |||
| Overweight | 291 | - | |||
| Obesity class I | 397 | - | |||
| Obesity class II | 327 | - | |||
| Morbid obesity | 304 | - | |||
| Polysomnographic data | |||||
| AHI | Numeric | Apnea-hypopnea index | - | 57.01 ± 19.16 | 0.002 |
| SaO2 min | Numeric | Minimum oxygen saturation | - | 70.94 ± 13.63 | 0.335 |
| Treatment Info | |||||
| CPAP | Categorical | Received CPAP treatment | 555 | - | 0.006 |
| Years of CPAP | Numeric | Duration of CPAP usage (years) | - | 4.44 ± 3.25 | <0.001 |
| Follow-up days | Numeric | Days from admission to follow-up (months) | - | 98.62 ± 49.76 | <0.086 |
| Family | Model | C-Index | Integrated C/D AUC | Integrated Brier Score |
|---|---|---|---|---|
| Machine Learning | CPH | |||
| SRF | 0.81 | 0.70 | 0.12 | |
| SSVM | 0.71 | 0.61 | 0.15 | |
| SGBM | 0.79 | 0.69 | 0.14 | |
| Deep Learning | Cox time | 0.12 | ||
| DeepHit | 0.73 | 0.70 | 0.13 | |
| DeepSurv | 0.57 | 0.60 | 0.16 | |
| LogHazard | 0.77 | 0.70 | ||
| PCHazard | 0.71 | 0.13 |
| Author | Year | Task | Input Data | Survival Analysis Model | Explainability Model |
|---|---|---|---|---|---|
| Zaccaria et al. [13] | 2023 | Prognosis of DLBCL | Transcriptomic data | AutoEncoders | DeepSHAP |
| Alabi et al. [21] | 2023 | Prognosis of NPC | CT images, clinical data | Linear Regression, KNN, support vector machines, Naive Bayes, tree-based models, | SHAP, LIME |
| Srinidhi et al. [22] | 2023 | Prognosis of pancreatic cancer | CT images, clinical data | Convolutional Neural Networks, support vector machines | SHAP, LIME |
| Chadaga et al. [23] | 2023 | Prediction of BMT efficacy | Clinical data | Tree-base models, Linear Regression, KNN, AdaBoost, CartBoost | SHAP, LIME |
| Peng et al. [24] | 2021 | Prognosis of hepatitis | Clinical and demographic data | Linear Regression, CART, KNN, tree-based models, Naive Bayes | SHAP, LIME |
| Qi et al. [50] | 2023 | Prognosis of RCC | Genomic data | LASSO-Cox | SHAP, LIME |
| Zuo et al. [51] | 2023 | Identification of EGFR in lung adenocarcinoma | CT images | Light GBM, Linear Regression, tree-based models | SHAP, LIME |
| Zhu et al. [12] | 2024 | Prognosis of breast cancer | Clinical and demographic data | Cox Mixtures, DeepSurv, Cox PH, survival random forest | SurvSHAP |
| Baniecki et al. [19] | 2023 | Prediction of hospital LoS | Text data, tabular data, X-ray images | Tree-based models, CoxPH, DeepSurv, DeepHit | SurvSHAP, SurvLIME |
| Passera et al. [20] | 2023 | Test XAI on SA for BMT | Clinical and demographic data | CoxPH, survival random forest | SurvSHAP, SurvLIME |
| Variable | Coef. | Exp. Coef. | Se. Coef. | Z | Pr z |
|---|---|---|---|---|---|
| Malignancy | 1.83 | 6.21 | 0.29 | 6.30 | 2.89 × |
| Idiopathic dilated cardiomyopathy | 1.41 | 4.08 | 0.48 | 2.92 | 0.00 |
| COPD | 0.53 | 1.70 | 0.14 | 3.81 | 1.37 × |
| Renal dysfunction | 0.56 | 1.75 | 0.15 | 3.81 | 1.37 × |
| Age | 1.37 | 3.94 | 0.18 | 7.75 | 9.28 × |
| Anemia | 0.40 | 1.49 | 0.15 | 2.73 | 0.01 |
| Atrial fibrillation | 0.37 | 1.45 | 0.23 | 1.64 | 0.10 |
| Heart failure | 0.35 | 1.41 | 0.28 | 1.24 | 0.22 |
| Diabetes | 0.11 | 1.12 | 0.14 | 0.78 | 0.43 |
| Sex | 0.30 | 1.35 | 0.16 | 1.81 | 0.07 |
| Hypertension | 0.02 | 1.02 | 0.13 | 0.15 | 0.88 |
| Cardiovascular disease | −0.01 | 0.99 | 0.19 | −0.06 | 0.95 |
| BMI categories | −0.07 | 0.93 | 0.06 | −1.12 | 0.26 |
| Cholesterol categories | −0.08 | 0.92 | 0.10 | −0.83 | 0.41 |
| Valvular disease | −0.02 | 0.98 | 0.42 | −0.05 | 0.96 |
| SaO2 min | −0.01 | 0.99 | 0.01 | −1.16 | 0.25 |
| AHI | −0.01 | 0.99 | 0.00 | −1.54 | 0.12 |
| Years of CPAP | −0.13 | 0.87 | 0.03 | −5.06 | 4.11 × |
| Performance Metrics | Dataset-Level Explanations (419 Test Samples) | Model-Level Explanations | ||||||
|---|---|---|---|---|---|---|---|---|
| C-Index | Brier Score |
Relevant Features |
Prevailing Features | Observations | Relevant Features |
Prevailing Features | Observations | |
| CPH | 0.81 | 0.10 | Age, years of CPAP, renal dysfunction, COPD, BMI, sex, anemia. | Age | Huge gap in age contribution with respect to other features; Feature contributions have few variations over time. | Age, years of CPAP, renal dysfunction, COPD, anemia, malignancy, DCM. | Age, followed by years of CPAP. | Age still prevails over other features; Malignancy and DCM are not strictly related to mortality, and they are not very common in the population. |
| LH | 0.77 | 0.11 | Age, AHI, renal dysfunction, , years of CPAP, COPD, anemia. | Age | Moderated gap between age contribution and other features; These ones provide the same contribution, but it varies over time. | Age, years of CPAP, renal dysfunction, COPD, anemia, AHI, . | All features have the same contribution. | The relevant features have almost the same contribution. AHI and are more useful and accessible in the OSA context. |
Disclaimer/Publisher’s Note: The statements, opinions and data contained in all publications are solely those of the individual author(s) and contributor(s) and not of MDPI and/or the editor(s). MDPI and/or the editor(s) disclaim responsibility for any injury to people or property resulting from any ideas, methods, instructions or products referred to in the content. |
© 2024 by the authors. Licensee MDPI, Basel, Switzerland. This article is an open access article distributed under the terms and conditions of the Creative Commons Attribution (CC BY) license (https://creativecommons.org/licenses/by/4.0/).
Share and Cite
Berloco, F.; Marvulli, P.M.; Suglia, V.; Colucci, S.; Pagano, G.; Palazzo, L.; Aliani, M.; Castellana, G.; Guido, P.; D’Addio, G.; et al. Enhancing Survival Analysis Model Selection through XAI(t) in Healthcare. Appl. Sci. 2024, 14, 6084. https://doi.org/10.3390/app14146084
Berloco F, Marvulli PM, Suglia V, Colucci S, Pagano G, Palazzo L, Aliani M, Castellana G, Guido P, D’Addio G, et al. Enhancing Survival Analysis Model Selection through XAI(t) in Healthcare. Applied Sciences. 2024; 14(14):6084. https://doi.org/10.3390/app14146084
Chicago/Turabian StyleBerloco, Francesco, Pietro Maria Marvulli, Vladimiro Suglia, Simona Colucci, Gaetano Pagano, Lucia Palazzo, Maria Aliani, Giorgio Castellana, Patrizia Guido, Giovanni D’Addio, and et al. 2024. "Enhancing Survival Analysis Model Selection through XAI(t) in Healthcare" Applied Sciences 14, no. 14: 6084. https://doi.org/10.3390/app14146084
APA StyleBerloco, F., Marvulli, P. M., Suglia, V., Colucci, S., Pagano, G., Palazzo, L., Aliani, M., Castellana, G., Guido, P., D’Addio, G., & Bevilacqua, V. (2024). Enhancing Survival Analysis Model Selection through XAI(t) in Healthcare. Applied Sciences, 14(14), 6084. https://doi.org/10.3390/app14146084

