Study of the UHPC–NC Interfacial Bonding Properties of Steel Tubes with Internally Welded Reinforcement Rings
Abstract
1. Introduction
2. Test Method
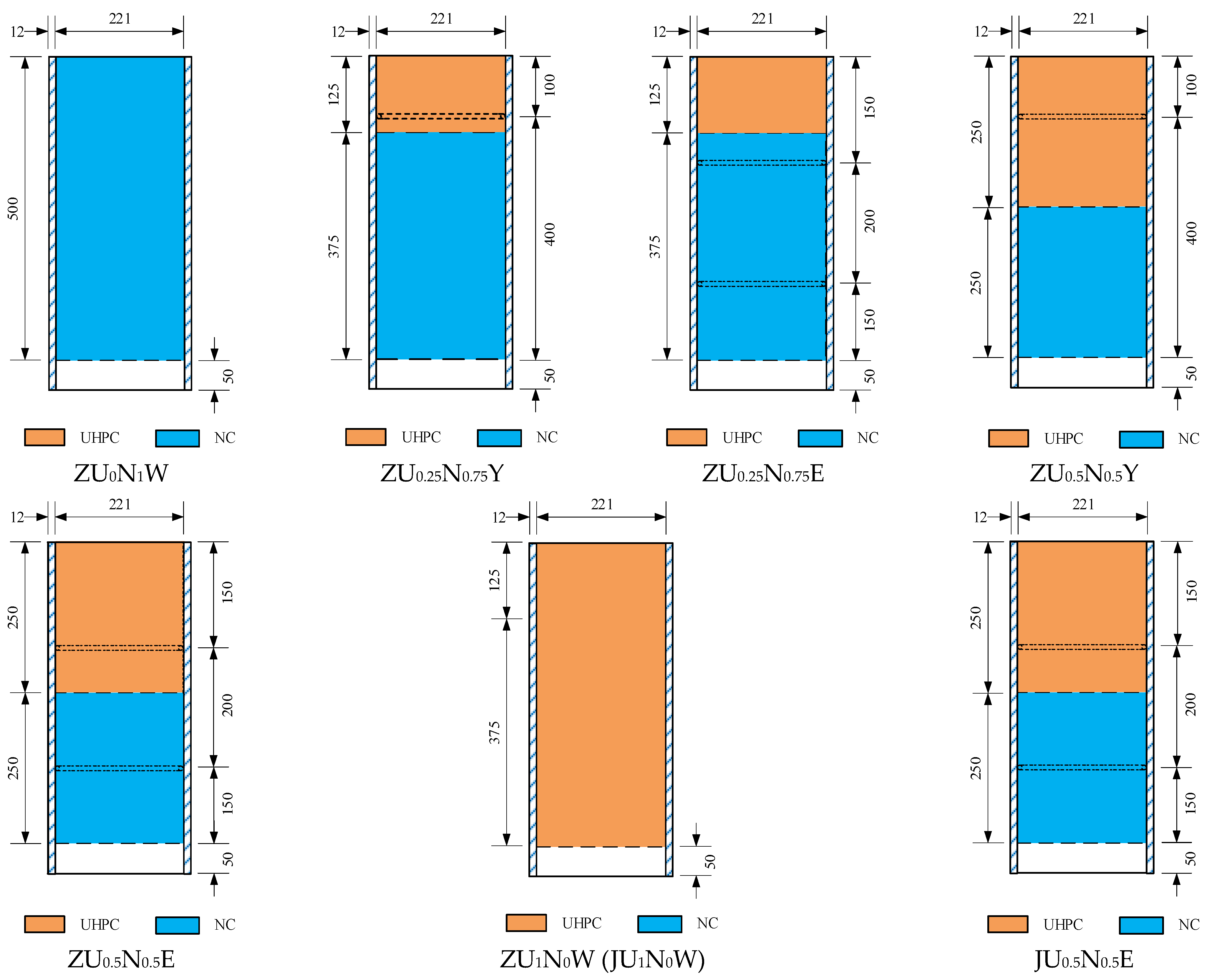
2.1. Specimen Design
2.2. Test Process
3. Test Results and Analysis
3.1. Test Phenomena and Damage Morphology
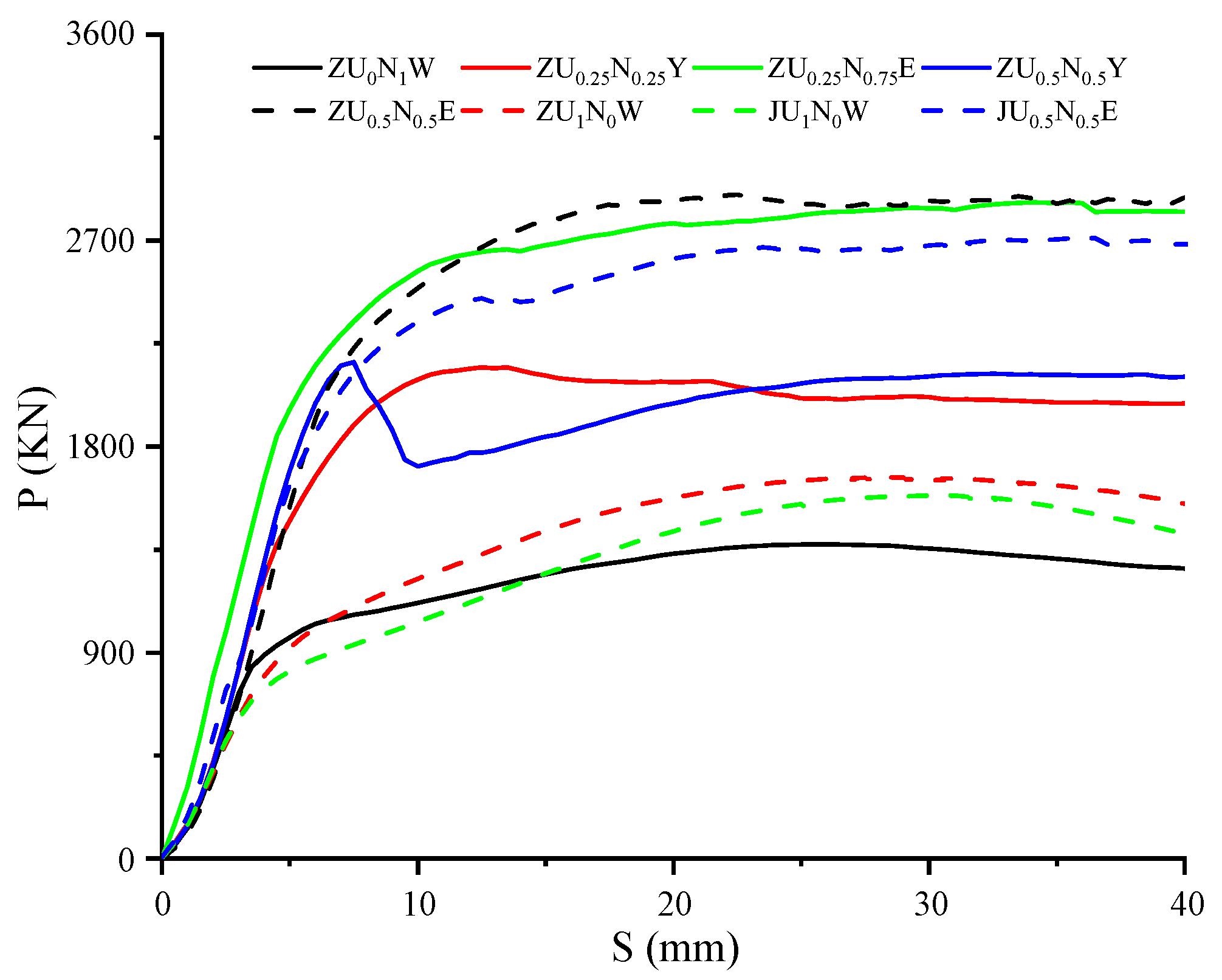
3.2. Bond Load-Slip Curve Analysis
3.3. Failure Mechanism Analysis
4. Finite Element Analysis
4.1. Subsection
4.2. Boundary Conditions and Cell Meshing
4.3. Interface Contact Modeling
4.4. Discussion of Simulations and Tests
5. Conclusions
- (1)
- The bond load–slip curve of circular steel-tube concrete with a bare surface and no structure consists of a rising section, secondary rising section, and residual section; the bond load–slip curve of circular steel-tube concrete with an internal welded steel rebar ring structure has a rising section and residual section. The rising section of the load–slip curves of all of the specimens shows a linear relationship.
- (2)
- The finite element model of the internally welded steel rebar–steel tube–concrete specimens was established. The calculation results were consistent with the damage patterns, load–displacement curves, and peak load Pu of the tests, which verified the accuracy of the model. The analysis of the stress distribution of the steel-tube concrete showed that the internally welded steel rebar ring construction of the steel tubes could effectively improve the bond strength of the steel tube–concrete interface.
- (3)
- The bond strength of smooth steel-tube UHPC concrete is 1.2 times greater than that of smooth steel-tube C40 concrete. The bond strength of the core concrete of the internally welded steel ring–steel tube–concrete specimens, along with the bond strength of the two-ring and one-ring rebar configurations, was significantly improved. The construction method, quantity distribution, and welding process of the shear-resistant steel connectors have a large impact on the bond strength of the round steel tube–concrete columns.
- (4)
- UHPC-NC columns with welded reinforcement rings inside steel tubes have reduced interfacial bond strength in corrosive seawater environments.
Author Contributions
Funding
Institutional Review Board Statement
Informed Consent Statement
Data Availability Statement
Conflicts of Interest
References
- Shahin, N.; Salah, A.; Kalliontzis, D. Softened membrane model for shear of ultra-high-performance concrete (SMM-UHPC). Eng. Struct. 2024, 308, 117956. [Google Scholar] [CrossRef]
- Wang, X.Q.; Chow, C.L.; Lau, D. Multiscale perspectives for advancing sustainability in fiber reinforced ultra-high performance concrete. NPJ Mater. Sustain. 2024, 2, 13. [Google Scholar] [CrossRef]
- Zhang, J.J.; Raza, A.; Fu, W.C.; Yuan, C.F. Research on uniaxial compression performance and constitutive relationship of RBP-UHPC after high temperature. Sci. Eng. Compos. Mater. 2024, 31, 20240011. [Google Scholar] [CrossRef]
- Ren, L.; Hu, S.J.; Fang, B.W.; Wang, K.; Wen, S. Seismic behavior of UHPC-NC composite columns reinforced by high-strength steel bars. China Earthq. Eng. J. 2022, 44, 285–291, 305. (In Chinese) [Google Scholar] [CrossRef]
- Cao, X.; Xie, X.-D.; Zhang, T.-Y.; Du, G.-F. Bond-slip behavior between high-strength steel tube and Ultra-high Performance Concrete. Structures 2023, 47, 1498–1510. [Google Scholar] [CrossRef]
- Wang, Q.; Shi, Q.; Lui, E.M.; Xu, Z. Axial compressive behavior of reactive powder concrete-filled circular steel tube stub columns. J. Constr. Steel Res. 2019, 153, 42–54. [Google Scholar] [CrossRef]
- Soltanalipour, M.; Ferrer Ballester, M.; Marimon Carvajal, F.; Albareda Valls, A.; Casafont Ribera, M.; Iglesias Toquero, G. New shear transfer system for concrete-filled steel tube (CFST) columns. Steel Constr. 2022, 15, 59–68. [Google Scholar] [CrossRef]
- Dong, H.; Chen, X.; Cao, W.; Zhao, Y. Bond-slip behavior of large high-strength concrete-filled circular steel tubes with different constructions. J. Constr. Steel Res. 2020, 167, 105951. [Google Scholar] [CrossRef]
- Zhou, P.H.; Xu, L.H.; Gu, Y.S.; Wu, M.; Xu, M.Y.; Huang, L. Experimental study on bond behavior of self-stressing and self-compacting high strength concrete filled steel tube. Eng. J. Wuhan Univ. 2018, 9, 782–789. [Google Scholar] [CrossRef]
- Li, H.; Liu, Y.; Zhang, N. Non-linear distributions of bond-slip behavior in concrete-filled steel tubes by the acoustic emission technique. Structures 2020, 28, 2311–2320. [Google Scholar] [CrossRef]
- Yu, F.; Chen, T.; Niu, K.; Wang, S.; Fang, Y. Study on Bond-Slip Behaviors of Self-Stressing Steel Slag Concrete-Filled Steel Tube. KSCE J. Civ. Eng. 2020, 24, 3309–3319. [Google Scholar] [CrossRef]
- Chen, L.; Dai, J.; Jin, Q.; Chen, L.; Liu, X. Refining bond–slip constitutive relationship between checkered steel tube and concrete. Constr. Build. Mater. 2015, 79, 153–164. [Google Scholar] [CrossRef]
- Virdi, K.S.; Dowling, P.J. Bond strength in concrete filled steel tubes. IABSE Proc. 1980, 4, 125–139. [Google Scholar]
- Shakir-Khalil, H. Push out strength of concrete-filled steel hollow sections. J. Struct. Eng. 1993, 71, 234–241. [Google Scholar]
- Shakir-Khalil, H. Resistance of concrete-filled steel tubes to pushout forces. Struct. Eng. 1993, 71, 234–243. [Google Scholar]
- Tao, Z.; Song, T.; Uy, B.; Han, L. Bond behavior in concrete-filled steel tubes. J. Constr. Steel Res. 2016, 120, 81–93. [Google Scholar] [CrossRef]
- Feng, R.; Chen, Y.; He, K.; Wei, J.; Chen, B.; Zhang, X. Push-out tests of concrete-filled stainless steel SHS tubes. J. Constr. Steel Res. 2018, 145, 58–69. [Google Scholar] [CrossRef]
- Alemayehu, R.W.; Bae, J.; Ju, Y.K.; Park, M.J. Bond Behavior of Concrete-Filled Steel Tube Mega Columns with Different Connectors. Materials 2022, 15, 2791. [Google Scholar] [CrossRef] [PubMed]
- Wang, F.; Xie, W.; Li, B.; Han, L. Experimental study and design of bond behavior in concrete-filled steel tubes (CFST). Eng. Struct. 2022, 268, 114750. [Google Scholar] [CrossRef]
- Chen, Y.; Wang, G.; Hao, X.B.; Yan, G.H. Evaluation of the Mechanism and Influence Parameters of the Core Concrete Debonding in the Concrete-Filled Steel Tube. Steel Constr. 2022, 37, 20–30. (In Chinese) [Google Scholar] [CrossRef]
- GB/T228.1–2010; Metallic Materials-Tensile Testing—Part 1: Method of Test at Room Temperature. China Standard Press: Beijing, China, 2010. (In Chinese)
- GB/T 50081–2002; Standard for Test Method of Mechanical Properties on Ordinary Concrete. China Standard Press: Beijing, China, 2013. (In Chinese)
- GB/T 50152-2012; Standard for Test Methods for Concrete Structures. China Standard Press: Beijing, China, 2012. (In Chinese)
- Lyu, W.; Han, L. Investigation on bond strength between recycled aggregate concrete (RAC) and steel tube in RAC-filled steel tubes. J. Constr. Steel Res. 2019, 155, 438–459. [Google Scholar] [CrossRef]
- Kang, X.-L.; Chen, Y.-F.; Zhang, L.; Zhao, H.-T. The oretical analysis of bond-slip constitutive ralationship for CFST. Eng. Mech. 2009, 26, 74–78. (In Chinese) [Google Scholar]
- DBJ/T 13-54-2010; Technical Specification for Concrete-Filled Steel Tubular Structures. China Planning Press, China Engineering Construction Association: Beijing, China, 2012. (In Chinese)
- EN 1994-1-1:2004; Design of Composite Steel and Concrete Structures-Part 1-1: General Rules and Rules for Buildings: EUROCODE 4(EC4). CEN, Commission of European Communities: Brussels, Belgium, 2004.
- BS 5400-5:2005; Steel Concrete and Composite Bridges-Part 5: Code of Practice for the Design of Composite Bridges. British Standard Institute: London, UK, 2005.
- AS5100.6-2004; Bridge Design Part 6: Steel and Composite Construction. Standards Australia: Sydney, Australia, 2004.
- ANSI/AISC 360-16; Specification for Structural Steel Buildings. American Institute of Steel Construction: Chicago, IL, USA, 2016.
- Roeder, C.W.; Cameron, B.; Brown, C.B. Composite Action in Concrete Filled Tubes. J. Struct. Eng. 1999, 125, 477–484. [Google Scholar] [CrossRef]
- Wang, Q.-W.; Liu, L.; Shi, Q.-X.; Wang, P. A calculation method of the interface bond strength of reactive powder concrete filled in steel tubes. Eng. Mech. 2020, 37, 41–50. (In Chinese) [Google Scholar] [CrossRef]
- Xu, K.C.; Chen, M.C.; He, X.P. Experimental analysis of cfst interface bonding property by corrosion of chlorine ion. Ind. Constr. 2013, 43, 71–74, 98. (In Chinese) [Google Scholar]
- Han, L.-H.; Yao, G.-H.; Tao, Z. Performance of concrete-filled thin-walled steel tubes under pure torsion. Thin Wall. Struct. 2007, 45, 24–36. [Google Scholar] [CrossRef]
- Zhong, S.T. Structures of Concrete Filled Steel, 3rd ed.; Tsinghua University Press: Beijing, China, 2003. (In Chinese) [Google Scholar]
- Mander, J.A.B.; Priestley, M.J.N. Theoretical Stress-Strain Model for Confined Concrete. J. Struct. Eng. 1988, 114, 1804–1826. [Google Scholar] [CrossRef]
- ACI 318M02/318RM02; Metric Building Code Requirements for Structural Concrete Commentary. ACI Committee: Farmington Hills, MI, USA, 2002.
- Han, L.H. Steel Pipe Concrete Structures; Science Press: Beijing, China, 2004. (In Chinese) [Google Scholar]
- Qiao, Q.Y.; Zhang, W.W.; Qian, Z.W.; Cao, W.L.; Liu, W.C. Push-out test of square CFST columns with steel plate shear connectors. J. Huazhong Univ. Sci. Technol. (Nat. Sci. Ed.) 2018, 46, 108–115. (In Chinese) [Google Scholar]
- Liu, Y.J.; Liu, J.P.; Chi, J.J. Shear bond behaviors at interface of concrete-filled steel tube. J. Guangxi Univ. (Nat. Sci. Ed.) 2010, 35, 17–23. (In Chinese) [Google Scholar] [CrossRef]










| Specimen Number | Core Concrete | Tube Size D × t × l (mm) | Interface Bonding Length (mm) | Number of Rebar Rings (Rings) | Rebar Diameter and Spacing (mm) |
|---|---|---|---|---|---|
| ZU0N1W | NC | 245 × 12 × 550 | 500 | 0 | - |
| ZU0.25N0.75Y | UHPC+NC | 245 × 12 × 550 | 500 | 1 | φ8@100 |
| ZU0.25N0.75E | UHPC+NC | 245 × 12 × 550 | 500 | 2 | φ8@200 |
| ZU0.5N0.5Y | UHPC+NC | 245 × 12 × 550 | 500 | 1 | φ8@100 |
| ZU0.5N0.5E | UHPC+NC | 245 × 12 × 550 | 500 | 2 | φ8@200 |
| ZU1N0W | UHPC | 245 × 12 × 550 | 500 | 0 | - |
| JU1N0W | UHPC | 245 × 12 × 550 | 500 | 0 | - |
| JU0.5N0.5E | UHPC+NC | 245 × 12 × 550 | 500 | 2 | φ8@200 |
| Clinker | Core Powder Agent | Quartz Sand | Steel Fiber | Water | Core Material Water Agent |
|---|---|---|---|---|---|
| 650 | 413 | 1065 | 160 | 135 | 27 |
| Clinker P·O42.5 | Composite Mineral Admixture | Mechanized Sand | Gravel 5~20 mm | Water | Additive |
|---|---|---|---|---|---|
| 266 | 218 | 818 | 887 | 195 | 10.5 |
| Tube Thickness/mm | Conservation Environment | /MPa | /MPa | /MPa |
|---|---|---|---|---|
| 12 | Natural conditions | 377.4 | 490.7 | 2.1 × 105 |
| 12 | Sodium chloride solution | 366.7 | 481.3 | 2.1 × 105 |
| Concrete Type | Standard Maintenance fcu/MPa | Natural Conservation fcu/MPa | Sodium Chloride Solution fcu/MPa |
|---|---|---|---|
| C40 | 41.0 | 43.3 | 38.2 |
| UHPC | 125.3 | 132.5 | 115.1 |
| Specimen Number | Ps | Pu | Pr | Ss | Su | Sr | τs | τu | τr |
|---|---|---|---|---|---|---|---|---|---|
| kN | kN | kN | mm | mm | mm | MPa | MPa | MPa | |
| ZU0N1W | 835.62 | 1373.51 | 1267.58 | 3.5 | 25.5 | 40.0 | 2.41 | 3.96 | 3.65 |
| ZU0.25N0.75Y | 1577.74 | 2145.77 | 1986.29 | 5.5 | 12.5 | 40.0 | 4.54 | 6.18 | 5.72 |
| ZU0.25N0.75E | 1963.42 | 2857.48 | 2825.57 | 5.0 | 35.5 | 40.0 | 5.66 | 8.23 | 8.14 |
| ZU0.5N0.5Y | 2169.07 | 2154.99 | 2102.97 | 7.0 | 7.5 | 40.0 | 6.25 | 6.21 | 6.06 |
| ZU0.5N0.5E | 2059.42 | 2900.62 | 2887.81 | 6.5 | 22.5 | 40.0 | 5.93 | 8.36 | 8.32 |
| ZU1N0W | 920.57 | 1665.81 | 1550.22 | 5.0 | 28.5 | 40.0 | 2.65 | 4.80 | 4.47 |
| JU1N0W | 686.87 | 1586.89 | 1420.18 | 3.5 | 30.5 | 40.0 | 1.98 | 4.57 | 4.09 |
| JU0.5N0.5E | 1859.32 | 2713.33 | 2687.06 | 6.0 | 36.0 | 40.0 | 5.36 | 7.82 | 7.74 |
| Specimen Number | τu | Virdi et al. [13] | Roeder et al. [31] | Wang et al. [19] and Lyu et al. [24] | Wang et al. [32] |
|---|---|---|---|---|---|
| MPa | MPa | MPa | MPa | MPa | |
| ZU0N1W | 3.96 | 1.00 | 1.92 | 1.05 | 2.49 |
| ZU0.25N0.75Y | 6.18 | 1.00 | 1.92 | 1.05 | 2.49 |
| ZU0.25N0.75E | 8.23 | 1.00 | 1.92 | 1.05 | 2.49 |
| ZU0.5N0.5Y | 6.21 | 1.00 | 1.92 | 1.05 | 2.49 |
| ZU0.5N0.5E | 8.36 | 1.00 | 1.92 | 1.05 | 2.49 |
| ZU1N0W | 4.80 | 1.00 | 1.92 | 1.05 | 2.49 |
| JU1N0W | 4.57 | 1.00 | 1.92 | 1.05 | 2.41 |
| JU0.5N0.5E | 7.82 | 1.00 | 1.92 | 1.05 | 2.41 |
| Specimen Number | EX/kN | FEM/kN | FEM/EX |
|---|---|---|---|
| ZU0N1W | 1373.51 | 1421.14 | 0.97 |
| ZU0.25N0.75Y | 2145.77 | 2243.36 | 0.96 |
| ZU0.25N0.75E | 2857.48 | 2916.52 | 0.98 |
| ZU0.5N0.5Y | 2154.99 | 2384.71 | 0.90 |
| ZU0.5N0.5E | 2900.62 | 2960.57 | 0.98 |
| ZU1N0W | 1665.81 | 1699.04 | 0.98 |
| JU1N0W | 1586.89 | 1642.71 | 0.97 |
| JU0.5N0.5E | 2713.33 | 2905.3 | 0.93 |
Disclaimer/Publisher’s Note: The statements, opinions and data contained in all publications are solely those of the individual author(s) and contributor(s) and not of MDPI and/or the editor(s). MDPI and/or the editor(s) disclaim responsibility for any injury to people or property resulting from any ideas, methods, instructions or products referred to in the content. |
© 2024 by the authors. Licensee MDPI, Basel, Switzerland. This article is an open access article distributed under the terms and conditions of the Creative Commons Attribution (CC BY) license (https://creativecommons.org/licenses/by/4.0/).
Share and Cite
Deng, N.; Lv, G.; Li, W.; Chen, Z. Study of the UHPC–NC Interfacial Bonding Properties of Steel Tubes with Internally Welded Reinforcement Rings. Appl. Sci. 2024, 14, 5604. https://doi.org/10.3390/app14135604
Deng N, Lv G, Li W, Chen Z. Study of the UHPC–NC Interfacial Bonding Properties of Steel Tubes with Internally Welded Reinforcement Rings. Applied Sciences. 2024; 14(13):5604. https://doi.org/10.3390/app14135604
Chicago/Turabian StyleDeng, Nianchun, Guohua Lv, Wujun Li, and Zhiqian Chen. 2024. "Study of the UHPC–NC Interfacial Bonding Properties of Steel Tubes with Internally Welded Reinforcement Rings" Applied Sciences 14, no. 13: 5604. https://doi.org/10.3390/app14135604
APA StyleDeng, N., Lv, G., Li, W., & Chen, Z. (2024). Study of the UHPC–NC Interfacial Bonding Properties of Steel Tubes with Internally Welded Reinforcement Rings. Applied Sciences, 14(13), 5604. https://doi.org/10.3390/app14135604

