Study on Shear Performance of Web-Embedded Composite Shear Connector
Abstract
1. Introduction
2. Push-Out Test
2.1. Specimen Design and Manufacture
2.2. Test Device and Measurement Scheme
- (1)
- Push-out test
- (2)
- Low-cycle repeated load test
2.3. Test Process and Failure Pattern
- (1)
- External failure pattern
- (2)
- Internal failure pattern
- (1)
- Embedded steel web
- (2)
- Stud
- (3)
- Penetrating rebar
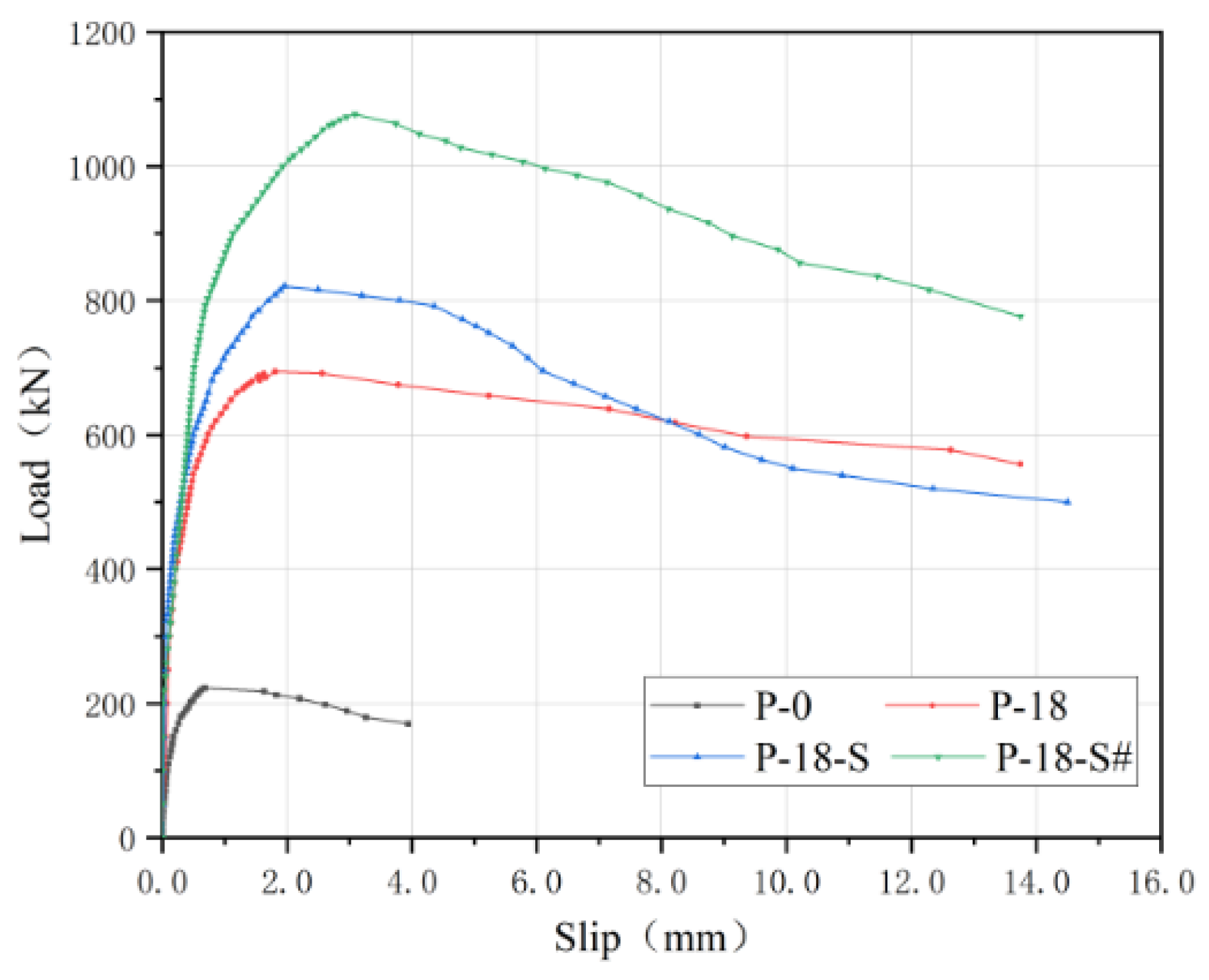
2.4. Load–Slip Curve
2.5. Effect of Low-Cycle Repeated Load
2.6. Study on Failure Mechanism of Component
3. Numerical Analysis
3.1. Finite Element Model
3.2. Finite Element Model Verification
3.2.1. Load–Slip Curve Verification
3.2.2. Deformation Verification of Member
3.3. Finite Element Parameter Analysis
4. Calculation Equation of USBC
4.1. Shear Resistance Mechanism of WECSC
4.2. Calculation Equation
4.3. Calculation Equation
4.4. Calculation Equation
4.5. Calculation Equation
4.6. General Equation of Shear Capacity
5. Conclusions
- (1)
- The shear stiffness of the WECSC was high, the ultimate slip was low, and the shear connector exhibited good ductility after reaching the ultimate load. The failure forms were the partial crushing of the concrete dowel and splitting of the outer concrete. The penetrating rebars and studs were bent and shear-deformed, without cut. This indicated that the shear connectors could still maintain a good shear bearing capacity after exceeding the ultimate load, and every component of the shear connectors was fully used.
- (2)
- The force transfer mechanism of the WECSC was studied based on tests and numerical analyses. After the failure of the concrete dowel, the penetrating rebars gradually began to participate in the shear resistance. Because of the position of the load, yield deformation occurred at the midpoint of the steel bars, and because the load was transmitted from top to bottom, the upper row of steel bars yielded earlier and entered the strengthening stage. Simultaneously, the stud was driven downward by the steel plate, the concrete below the root produced a reaction, and the head was constrained by the concrete. Thus, the stud root produced an obvious bending shear deformation. As the load continued to increase, the plastic area of the stud gradually began from the root and developed towards the head.
- (3)
- The proportion of USBC of different shear members was different. The proportion of the penetrating rebar being the largest, followed by the end-bearing area, and that of the studs is the smallest. The ultimate slip and USBC of the WECSC increased with an increase in the diameter of the penetrating rebar, not linear. The larger the hole diameter, the greater the lifting effect of the USBC, whereas an increase in the diameter of the penetrating rebar weakened the lifting effect of the hole diameter. After repeated loading, the USBC of the specimen decreased, the ultimate slip increased, and the ductility of the specimen decreased.
- (4)
- The USBC of the WECSC was mainly provided by the chemical bonding force and friction among the concrete, embedded web, stud, concrete dowel, and penetrating rebar. A new suitable calculation equation for the USBC was derived. The correlation coefficient between the calculated, experimental, and numerically simulated values was 0.93, indicating that the calculation method was more accurate and had a certain reference value.
Author Contributions
Funding
Institutional Review Board Statement
Informed Consent Statement
Data Availability Statement
Conflicts of Interest
References
- Xu, X.; He, D.; Zeng, S.; He, W.; Tan, H.; Yu, Z. Effect of concrete cracks on the corrosion of headed studs in steel and concrete composite structures. Constr. Build. Mater. 2021, 293, 123440. [Google Scholar] [CrossRef]
- Wang, Y.-H.; Nie, J.-G.; Li, J.-J. Study on fatigue property of steel–concrete composite beams and studs. J. Constr. Steel Res. 2014, 94, 1–10. [Google Scholar] [CrossRef]
- Lowe, D.; Roy, K.; Das, R.; Clifton, C.G.; Lim, J.B.P. Full scale experiments on splitting behaviour of concrete slabs in steel concrete composite beams with shear stud connection. Structures 2020, 23, 126–138. [Google Scholar] [CrossRef]
- Bonilla, J.; Bezerra, L.M.; Mirambell, E.; Massicotte, B. Review of stud shear resistance prediction in steel-concrete composite beams. Steel Compos. Struct. 2018, 27, 355–370. [Google Scholar] [CrossRef]
- Xu, Y.; Liu, X.; Wang, B.; Yi, X. Residual mechanical properties of composite beams with PBL connectors under fatigue loads. Structures 2023, 51, 185–195. [Google Scholar] [CrossRef]
- GB50917-2013; Ministry of Housing and Urban-Rural Development of the People’s Republic of China, Code for Design of Steel and Concrete Composite Bridges. China Planning Press: Beijing, China, 2013.
- Wu, F.; Tang, W.; Xue, C.; Sun, G.; Feng, Y.; Zhang, H. Experimental investigation on the static performance of stud connectors in steel-hsfrc composite beams. Materials 2021, 14, 2744. [Google Scholar] [CrossRef] [PubMed]
- Peng, K.; Liu, L.; Wu, F.; Wang, R.; Lei, S.; Zhang, X. Experimental and Numerical Analyses of Stud Shear Connectors in Steel–SFRCC Composite Beams. Materials 2022, 15, 4665. [Google Scholar] [CrossRef] [PubMed]
- Zhang, H.; Ling, Z. Finite Element Modeling on Shear Performance of Grouted Stud Connectors for Steel–Timber Composite Beams. Materials 2022, 15, 1196. [Google Scholar] [CrossRef] [PubMed]
- Wu, F.-W.; Feng, Y.-P.; Dai, J.; Wang, G.-Q.; Zhang, J.-F. Study on mechanical properties of stud shear connectors in steel-UHPC composite structures. Gongcheng Lixue/Eng. Mech. 2022, 39, 222–234. [Google Scholar] [CrossRef]
- Wang, X.; Zhu, B.; Cui, S.; Lui, E.M. Experimental Research on PBL Connectors Considering the Effects of Concrete Stress State and Other Connection Parameters. J. Bridge Eng. 2018, 23, 04017125. [Google Scholar] [CrossRef]
- Yang, Y.; Chen, Y. Experimental Study on Mechanical Behavior of PBL Shear Connectors. J. Bridge Eng. 2018, 23, 04018062. [Google Scholar] [CrossRef]
- Deng, W.; Xiong, Y.; Liu, D.; Zhang, J. Static and fatigue behavior of shear connectors for a steel-concrete composite girder. J. Constr. Steel Res. 2019, 159, 134–146. [Google Scholar] [CrossRef]
- Li, Z.; Zhao, C.; Deng, K.; Wang, W. Load Sharing and Slip Distribution in Multiple Holes of a Perfobond Rib Shear Connector. J. Struct. Eng. 2018, 144, 04018147. [Google Scholar] [CrossRef]
- Kim, H.-Y.; Jeong, Y.-J. Experimental investigation on behaviour of steel-concrete composite bridge decks with perfobond ribs. J. Constr. Steel Res. 2006, 62, 463–471. [Google Scholar] [CrossRef]
- Wu, F.; Liu, S.; Xue, C.; Yang, K.; Feng, Y.; Zhang, H. Experimental study on the mechanical properties of perfobond rib shear connectors with steel fiber high strength concrete. Materials 2021, 14, 3345. [Google Scholar] [CrossRef] [PubMed]
- Schmitt, V.; Seidl, G.; Hever, M.; Zapfe, C. The new road bridge over the railway line next to Pöcking applied to a new construction method for composite bridges Verbundbrücke Pöcking—Innovative VFT-Träger mit Betondübeln. Stahlbau 2004, 73, 387–393. [Google Scholar] [CrossRef]
- Park, C.S.; Yi, H.J.; Kim, Y.-T.; Han, S.W.; Lee, T.; Moon, Y.H. Tempcore Process Simulator to Analyze Microstructural Evolution of Quenched and Tempered Rebar. Appl. Sci. 2019, 9, 2938. [Google Scholar] [CrossRef]
- Akbarpour, M.R.; Mashhuriazar, A.; Daryani, M. Experimental and Numerical Investigation on the Effect of the Tempcore Process Parameters on Microstructural Evolution and Mechanical Properties of Dual-Phase Steel Reinforcing Rebars. Met. Mater. Int. 2021, 27, 4074–4083. [Google Scholar] [CrossRef]
- Li, G.; Si, L.; Li, X.; Li, L. Experimental Study on Shear Capacity of Embedded Composite Beam with Notched Web. J. Tongji Univ. (Nat. Sci.) 2011, 39, 482–487. [Google Scholar] [CrossRef]
- Li, G.Q.; Li, L.; Li, X.H.; Si, L.-J. Theoretical and experimental analysis of bending behavior of composite beam with notched web. Tumu Jianzhu Yu Huanjing Gongcheng/J. Civ. Archit. Environ. Eng. 2011, 33, 1–7+30. [Google Scholar] [CrossRef]
- Naito, C.J.; Hendricks, R.; Sause, R.; Cercone, C. Composite Steel Tee Concrete Deck Bridge System: Design, Fabrication, and Full-Scale Verification. J. Bridge Eng. 2021, 26, 04020109. [Google Scholar] [CrossRef]
- AASHTO. AASHTO LRFD Bridge Design Specifications; Seventh Edition with 2016 Interim Revisions; AASHTO: Washington, DC, USA, 2016. [Google Scholar]
- Yang, Y.; Sun, T.; Han, J. Study on Shear Brhavior of eb-Embedded U-ShaprdSteel-Concrete Composite Beam. Eng. Mech. 2022, 39, 120–136. [Google Scholar]
- Cercone, C.; Naito, C.J.; Hendricks, R.; Sause, R. Composite Steel Tee Concrete Deck Bridge System: Performance of Interface Shear Connection. J. Bridge Eng. 2021, 26, 04021003. [Google Scholar] [CrossRef]
- JTG/T D64-01-2015; CCCC Highway Consultants Co. Specifications for Design and Construction of Highway Steel-Concrete Composite Bridge. China Communications Press: Beijing, China, 2015.
- GB/T10433-2002; Cheese Head Studs for Arc Stud Welding. Inspection and Quarantine of the People’s Republic of China General Administration of Quality Supervision: Beijing, China, 2022.
- Franchi, A.; Napoli, P.; Crespi, P.; Giordano, N.; Zucca, M. Unloading and Reloading Process for the Earthquake Damage Repair of Ancient Masonry Columns: The Case of the Basilica di Collemaggio. Int. J. Archit. Herit. 2021, 16, 1683–1698. [Google Scholar] [CrossRef]
- GB 50010-2010; Ministry of Housing and Urban-Rural Development of the People’s Republic of China, Code for Design of Concrete Structures. China Architecture & Building Press: Beijing, China, 2014.
- Su, Q.; Du, X.; Li, C.; Jiang, X. Tests of Basic Physical Parameters of Steel-concrete Interface. J. Tongji Univ. (Nat. Sci.) 2016, 44, 499–506. [Google Scholar]
- Bing, W. Study on Residual Mechanical Properties of Steel-Concrete Composite Beam Bridges Based on Cumulative Fatigue Damnification. Ph.D. Thesis, Southeast University, Nanjing, China, 2017. [Google Scholar]
- He, S.; Fang, Z.; Fang, Y.; Liu, M.; Liu, L.; Mosallam, A.S. Experimental study on perfobond strip connector in steel–concrete joints of hybrid bridges. J. Constr. Steel Res. 2016, 118, 169–179. [Google Scholar] [CrossRef]
- Oehlers, D.J.; Johnson, R.P. Strength of Stud Shear Connections in Composite Beams. Struct. Eng. Part B RD Q. 1987, 65 B, 44–48. [Google Scholar] [CrossRef]
- EC 4, Structural Steelword Eurocodes: Development of a Trans-National Approach; Publication Office of the European Union: Luxembourg, 2001.
- AISC. Specification for the Design, Fabrication and Erection of Structural Steel for Buildings; AISC: Chicago, IL, USA, 1969. [Google Scholar]
- Shi, W.; Chen, L.; Chen, D. Reliability Analysis of Shear Capacity of Stud Shear Connectors. J. Hunan Univ. Sci. Technol. (Nat. Sci. Ed.) 2019, 34, 28–35. [Google Scholar] [CrossRef]
- Guo, Z.H. Principle of Reinforced Concrete; Tsinghua University Press: Beijing, China, 2013. [Google Scholar]
- Leonhardt, F.; Andrä, W.; Andrä, H.-P.; Harre, W. Neue vorteilhaftes fur Stahlverbund-Tragwerke mit hoher Dauerfestigkeit. Beton Und Stahlbetonbau 1987, 82, 325–331. [Google Scholar] [CrossRef]
- Oguejiofor, E.C.; Hosain, M.U. A parametric study of perfobond rib shear connectors. Can. J. Civ. Eng. 1994, 21, 614–625. [Google Scholar] [CrossRef]
- He, J.; Ye, M.; Huang, Q. Experiment on Bearing Capacity of PBL Shear Connectors. J. Constr. Steel Res. 2006, 33, 65–72. [Google Scholar] [CrossRef]
























| Specimen Number | Concrete Label | Diameter of Penetrating Rebar/mm | Stud Type | End Pressure |
|---|---|---|---|---|
| P-0 | C50 | / | / | none |
| P-18 | C50 | 18 | / | none |
| P-18-S | C50 | 18 | Ø13 | none |
| P-18-S# | C50 | 18 | Ø13 | yes |
| P-14-S | C50 | 14 | Ø13 | none |
| P-22-S | C50 | 22 | Ø13 | none |
| Material Type | Thickness/Diameter (mm) | (GPa) | (MPa) | (MPa) |
|---|---|---|---|---|
| Q345 Steel plate | 16 | 210 | 340 | 475 |
| ML-15 Stud | 13 | 206 | 442 | 525 |
| HRB400 Steel | 14 | 200 | 450 | 540 |
| 18 | 200 | 450 | 570 | |
| 22 | 200 | 450 | 580 |
| Specimen Number | USBC/kN | Slippage Corresponding to Peak Load/mm |
|---|---|---|
| P-0 | 223.05 | 0.68 |
| P-18 | 694.26 | 1.81 |
| P-18-S | 821.43 | 1.96 |
| P-18-S# | 1077.5 | 3.09 |
| Loading Method | USBC/kN | Slippage Corresponding to Peak Load/mm |
|---|---|---|
| Static loading | 821.43 | 1.96 |
| Low-cycle repeated loading | 816.75 | 2.39 |
| Poisson’s Ratio | Dilation Angle | Eccentricity m | k | Viscosity Coefficient | |
|---|---|---|---|---|---|
| 0.2 | 35° | 0.1 | 1.16 | 0.6667 | 0.0001 |
| Material | (MPa) | (MPa) | (GPa) | Poisson’s Ratio |
|---|---|---|---|---|
| Perforated steel plate | 345 | 490 | 210 | 0.3 |
| Rebar | 426 | 646 | 206 | 0.3 |
| Stud | 340 | 480 | 206 | 0.3 |
| Specimen Number | Test Value/kN | Simulated Value/kN | Error/% | Average Error/% |
|---|---|---|---|---|
| P-0 | 223.05 | 214.2 | 4.0 | 5.9 |
| P-18 | 694.26 | 657.4 | 5.3 | |
| P-18-S | 821.43 | 787.5 | 5.4 | |
| P-14-S | 745.79 | 701.7 | 5.9 | |
| P-22-S | 952.37 | 892.6 | 6.3 | |
| P-18-S# | 1077.52 | 989.5 | 8.2 |
| Specimen Number | Test Value/kN | Value Based on Equation (6)/kN | Error/% | p-Value | R2 |
|---|---|---|---|---|---|
| P-0 | 223.05 | 223.14 | −0.04 | 0.91 | 0.99 |
| P-18 | 694.26 | 654.21 | 5.76 | ||
| P-18-S | 821.43 | 822.64 | −0.15 | ||
| P-14-S | 745.79 | 673.73 | 9.66 | ||
| P-22-S | 952.37 | 961.29 | −0.94 |
| Model Number | Simulated Values/kN | Model Number | Simulated Values/kN |
|---|---|---|---|
| C50S13H34P14 | 652.92 | C40S13H44P22 | 899.15 |
| C50S13H54P14 | 761.15 | C50S16H44P18 | 837.45 |
| C50S13H34P18 | 748.81 | C50S19H44P18 | 912.76 |
| C50S13H54P18 | 833.12 | C50S10H44P18 | 783.37 |
| C50S13H34P22 | 863.63 | C40S16H44P9 | 656.91 |
| C50S13H54P22 | 934.83 | C40S10H44P9 | 533.47 |
| C30S13H44P14 | 692.64 | C40S19H44P9 | 680.23 |
| C40S13H44P14 | 699.84 | C40S13H44P9 | 584.98 |
| C30S13H44P18 | 723.62 | C40S13H24P9 | 403.15 |
| C40S13H44P18 | 729.68 | C30S13H24P9 | 384.96 |
| C30S13H44P22 | 892.76 | C50S13H24P9 | 427.83 |
Disclaimer/Publisher’s Note: The statements, opinions and data contained in all publications are solely those of the individual author(s) and contributor(s) and not of MDPI and/or the editor(s). MDPI and/or the editor(s) disclaim responsibility for any injury to people or property resulting from any ideas, methods, instructions or products referred to in the content. |
© 2024 by the authors. Licensee MDPI, Basel, Switzerland. This article is an open access article distributed under the terms and conditions of the Creative Commons Attribution (CC BY) license (https://creativecommons.org/licenses/by/4.0/).
Share and Cite
Xu, X.; Sun, T.; Hu, S.; Tan, H.; Wang, Y.; Zeng, Y. Study on Shear Performance of Web-Embedded Composite Shear Connector. Appl. Sci. 2024, 14, 5143. https://doi.org/10.3390/app14125143
Xu X, Sun T, Hu S, Tan H, Wang Y, Zeng Y. Study on Shear Performance of Web-Embedded Composite Shear Connector. Applied Sciences. 2024; 14(12):5143. https://doi.org/10.3390/app14125143
Chicago/Turabian StyleXu, Xiaoqing, Tuoying Sun, Shiao Hu, Hongmei Tan, Yuxiao Wang, and Yong Zeng. 2024. "Study on Shear Performance of Web-Embedded Composite Shear Connector" Applied Sciences 14, no. 12: 5143. https://doi.org/10.3390/app14125143
APA StyleXu, X., Sun, T., Hu, S., Tan, H., Wang, Y., & Zeng, Y. (2024). Study on Shear Performance of Web-Embedded Composite Shear Connector. Applied Sciences, 14(12), 5143. https://doi.org/10.3390/app14125143

