Impact of Visual Disturbances on the Trend Changes of COP Displacement Courses Using Stock Exchange Indices
Abstract
1. Introduction
2. Materials and Methods
2.1. Measurement Stand
2.2. Study Group
2.3. Experimental Procedure
2.4. Analyzed Quantities
- 0–0.2 s,
- 0.2–0.5 s,
- and 0.5–1 s.
2.5. Statistical Analysis
3. Results
3.1. Data Analysis in Time Domain
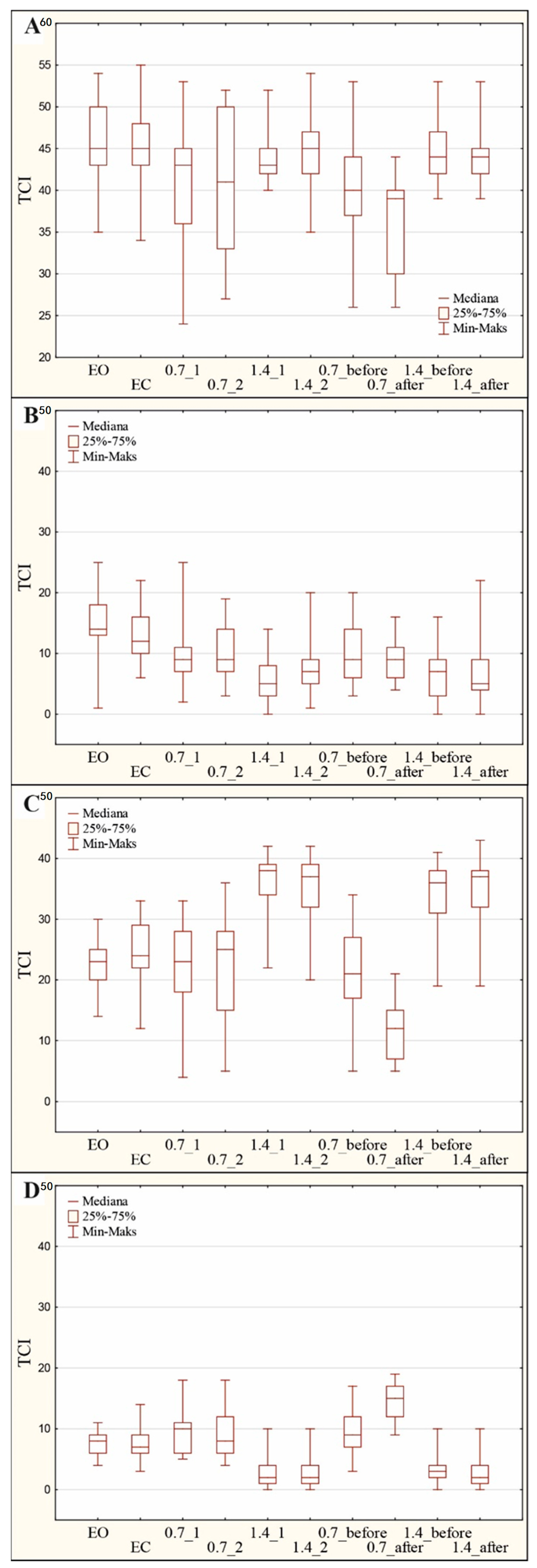
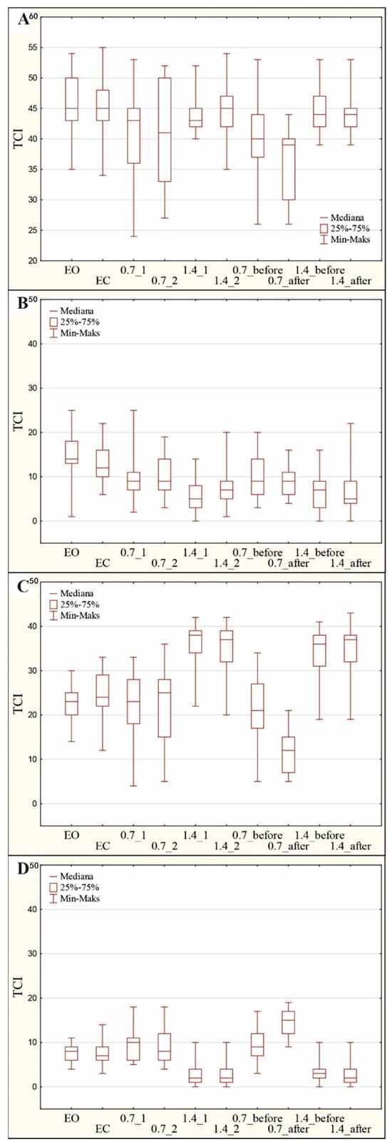
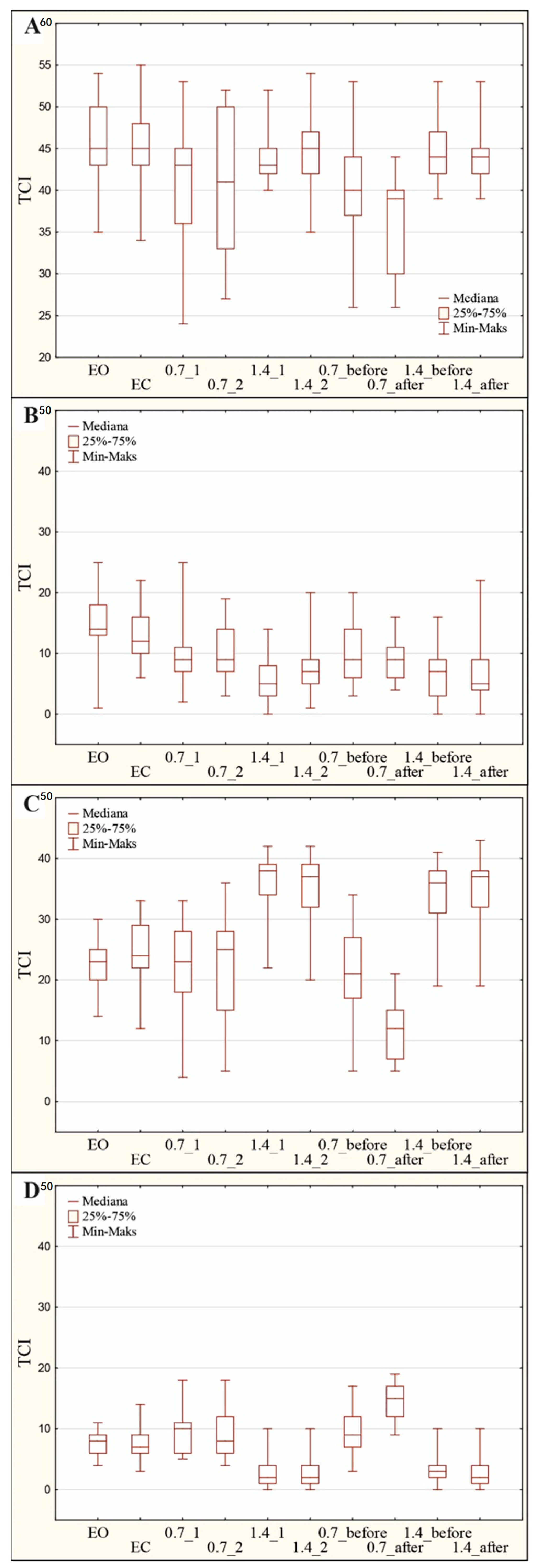
3.2. Trend Change Index
3.3. MACD_dS, MACD_dT, and MACD_dV
4. Discussion
4.1. Data Analysis in the Time Domain
4.2. Trend Change Index (TCI)
4.3. MACD_dS, MACD_dT, and MACD_dV
5. Conclusions
Author Contributions
Funding
Institutional Review Board Statement
Informed Consent Statement
Data Availability Statement
Conflicts of Interest
References
- Jurkojć, J. Balance disturbances coefficient as a new value to assess ability to maintain balance on the basis of FFT curves. Acta Bioeng. Biomech. 2018, 20, 143–151. [Google Scholar] [PubMed]
- Kanekar, N.; Aruin, A.S. Aging and balance control in response to external perturbations: Role of anticipatory and compensatory postural mechanisms. Age 2014, 36, 9621. [Google Scholar] [CrossRef] [PubMed]
- Błaszczyk, J.W.; Czerwosz, L. Stabilność posturalna w procesie starzenia. Gerontol. Pol. 2005, 13, 25–36. [Google Scholar]
- Błaszczyk, J.W. The use of force-plate posturography in the assessment of postural instability. Gait Posture 2016, 44, 1–6. [Google Scholar] [CrossRef] [PubMed]
- Keshner, E.A.; Kenyon, R.V.; Dhaher, Y. Postural research and rehabilitation in an immersive virtual environment. In Proceedings of the 26th Annual International Conference of the IEEE Engineering in Medicine and Biology Society, San Francisco, CA, USA, 1–5 September 2004; Volume 2004, pp. 4862–4865. [Google Scholar] [CrossRef]
- Cunningham, D.W.; Nusseck, H.G.; Teufel, H.; Wallraven, C.H.; Bülthoff, H.H. A psychophysical examination of swinging rooms, cylindrical virtual reality setups, and characteristic trajectories. In Proceedings of the IEEE Virtual Reality Conference (VR 2006), Alexandria, VA, USA, 25–29 March 2006; pp. 111–118. [Google Scholar] [CrossRef]
- Cleworth, T.W.; Chua, R.; Inglis, J.T.; Carpenter, M.G. Influence of virtual height exposure on postural reactions to support surface translations. Gait Posture 2016, 47, 96–102. [Google Scholar] [CrossRef] [PubMed]
- Chander, H.; Kodithuwakku Arachchige, S.N.K.; Hill, C.M.; Turner, A.J.; Deb, S.; Shojaei, A.; Hudson, C.; Knight, A.C.; Carruth, D.W. Virtual-Reality-Induced Visual Perturbations Impact Postural Control System Behavior. Behav. Sci. 2019, 9, 113. [Google Scholar] [CrossRef] [PubMed]
- Błażkiewicz, M.; Kędziorek, J.; Hadamus, A. The Impact of Visual Input and Support Area Manipulation on Postural Control in Subjects after Osteoporotic Vertebral Fracture. Entropy 2021, 23, 375. [Google Scholar] [CrossRef] [PubMed]
- Czaplicki, A.; Kuniszyk-Jóźkowiak, W.; Jaszczuk, J.; Jarocka, M.; Walawski, J. Using the discrete wavelet transform in assessing the effectiveness of rehabilitation in patients after ACL reconstruction. Acta Bioeng. Biomech. 2017, 19, 139–146. [Google Scholar]
- Nema, S.; Kowalczyk, P.; Loram, I. Wavelet-frequency analysis for the detection of discontinuities in switched system models of human balance. Hum. Mov. Sci. 2017, 51, 27–40. [Google Scholar] [CrossRef]
- Liao, F.Y.; Wu, C.C.; Wei, Y.C.; Chou, L.W.; Chang, K.M. Analysis of Center of Pressure Signals by Using Decision Tree and Empirical Mode Decomposition to Predict Falls among Older Adults. J. Healthc. Eng. 2021, 2021, 6252445. [Google Scholar] [CrossRef]
- Engel, D.; Schwenk, J.C.B.; Schütz, A.; Morris, A.P.; Bremmer, F. Multi-segment phase coupling to oscillatory visual drive. Gait Posture 2021, 86, 132–138. [Google Scholar] [CrossRef] [PubMed]
- Maurer, C.; Peterka, R.J. A new interpretation of spontaneous sway measures based on a simple model of human postural control. J. Neurophysiol. 2005, 93, 189–200. [Google Scholar] [CrossRef] [PubMed]
- Lacour, M.; Dosso, N.Y.; Heuschen, S.; Thiry, A.; Van Nechel, C.; Toupet, M. How Eye Movements Stabilize Posture in Patients with Bilateral Vestibular Hypofunction. Front. Neurol. 2018, 9, 744. [Google Scholar] [CrossRef] [PubMed]
- Wodarski, P.; Chmura, M.; Gruszka, G.; Romanek, J.; Jurkojć, J. The stock market indexes in research on human balance. Acta Bioeng. Biomech. 2022, 24, 163–176. [Google Scholar] [CrossRef] [PubMed]
- Zoica-Ienciu, A. The sensitivity of moving average trading rules performance with respect to methodological assumption. Procedia Econ. Financ. 2015, 32, 1353–1361. [Google Scholar] [CrossRef]
- Wodarski, P.; Jurkojć, J.; Michalska, J.; Kamieniarz, A.; Juras, G.; Gzik, M. Balance assessment in selected stages of Parkinson’s disease using trend change analysis. J. Neuroeng. Rehabil. 2023, 20, 99. [Google Scholar] [CrossRef] [PubMed]
- Wodarski, P. Trend Change Analysis as a New Tool to Complement the Evaluation of Human Body Balance in the Time and Frequency Domains. J. Hum. Kinet. 2023, 87, 51–62. [Google Scholar] [CrossRef] [PubMed]
- Cui, X.; Fu, B.; Liu, S.; Cheng, Y.; Wang, X.; Zhao, T. Study on the Difference of Human Body Balance Stability Regulation Characteristics by Time-Frequency and Time-Domain Data Processing Methods. Int. J. Environ. Res. Public Health 2022, 19, 14078. [Google Scholar] [CrossRef] [PubMed]
- Sozzi, S.; Nardone, A.; Schieppati, M. Specific Posture-Stabilising Effects of Vision and Touch Are Revealed by Distinct Changes of Body Oscillation Frequencies. Front. Neurol. 2021, 12, 756984. [Google Scholar] [CrossRef]
- Mańko, G.; Kocot, I.; Pieniążek, M.; Sosulska, A.; Piwowar, H. Assessment the Risk of Falls Versus Postural Stability of the Elderly, Using a Stabilographic Platform. Secur. Dimens. 2016, 20, 111–130. [Google Scholar]
- Bizid, R.; Jully, J.L.; Gonzalez, G.; François, Y.; Dupui, P.; Paillard, T. Effects of fatigue induced by neuromuscular electrical stimulation on postural control. J. Sci. Med. Sport 2009, 12, 60–66. [Google Scholar] [CrossRef] [PubMed]
- Micarelli, A.; Viziano, A.; Micarelli, B.; Augimeri, I.; Alessandrini, M. Vestibular rehabilitation in older adults with and without mild cognitive impairment: Effects of virtual reality using a head-mounted display. Arch. Gerontol. Geriatr. 2019, 83, 246–256. [Google Scholar] [CrossRef] [PubMed]
- Rezvanian, S.; Lockhart, T.; Frames, C.; Soangra, R.; Lieberman, A. Motor Subtypes of Parkinson’s Disease Can Be Identified by Frequency Component of Postural Stability. Sensors 2018, 18, 1102. [Google Scholar] [CrossRef] [PubMed]
- Cieślik, B.; Serweta, A.; Federico, S.; Szczepańska-Gieracha, J. Altered postural stability in elderly women following a single session of head-mounted display virtual reality. Acta Bioeng. Biomech. 2021, 23, 107–111. [Google Scholar] [CrossRef] [PubMed]






| TCI | TCI (0–0.2s) | TCI (0.2–0.5s) | TCI (0.5–1s) | ||
|---|---|---|---|---|---|
| OE | CE | 1.00 | 1.00 | 1.00 | 1.00 |
| OE | 0.7_1 | 0.17 | 0.08 | 1.00 | 0.98 |
| OE | 0.7_2 | 0.11 | 0.24 | 1.00 | 0.94 |
| OE | 1.4_1 | 0.90 | 0.00 | 0.00 | 0.00 |
| OE | 1.4_2 | 1.00 | 0.00 | 0.00 | 0.02 |
| OE | 0.7_before | 0.04 | 0.22 | 1.00 | 0.99 |
| OE | 0.7_after | 0.00 | 0.01 | 0.02 | 0.00 |
| OE | 1.4_before | 0.96 | 0.00 | 0.01 | 0.06 |
| OE | 1.4_after | 0.94 | 0.00 | 0.00 | 0.01 |
| CE | 0.7_1 | 0.63 | 0.53 | 0.99 | 0.85 |
| CE | 0.7_2 | 0.49 | 0.84 | 0.98 | 0.70 |
| CE | 1.4_1 | 1.00 | 0.00 | 0.00 | 0.02 |
| CE | 1.4_2 | 1.00 | 0.01 | 0.01 | 0.08 |
| CE | 0.7_before | 0.26 | 0.81 | 0.97 | 0.86 |
| CE | 0.7_after | 0.00 | 0.14 | 0.00 | 0.00 |
| CE | 1.4_before | 1.00 | 0.00 | 0.12 | 0.21 |
| CE | 1.4_after | 1.00 | 0.00 | 0.03 | 0.05 |
| 0.7_1 | 0.7_2 | 1.00 | 1.00 | 1.00 | 1.00 |
| 0.7_1 | 1.4_1 | 0.97 | 0.03 | 0.00 | 0.00 |
| 0.7_1 | 1.4_2 | 0.34 | 0.91 | 0.00 | 0.00 |
| 0.7_1 | 0.7_before | 1.00 | 1.00 | 1.00 | 1.00 |
| 0.7_1 | 0.7_after | 0.14 | 1.00 | 0.06 | 0.07 |
| 0.7_1 | 1.4_before | 0.92 | 0.09 | 0.00 | 0.00 |
| 0.7_1 | 1.4_after | 0.94 | 0.40 | 0.00 | 0.00 |
| 0.7_2 | 1.4_1 | 0.92 | 0.01 | 0.00 | 0.00 |
| 0.7_2 | 1.4_2 | 0.23 | 0.65 | 0.00 | 0.00 |
| 0.7_2 | 0.7_before | 1.00 | 1.00 | 1.00 | 1.00 |
| 0.7_2 | 0.7_after | 0.22 | 0.98 | 0.07 | 0.14 |
| 0.7_2 | 1.4_before | 0.83 | 0.02 | 0.00 | 0.00 |
| 0.7_2 | 1.4_after | 0.87 | 0.15 | 0.00 | 0.00 |
| 1.4_1 | 1.4_2 | 0.98 | 0.68 | 1.00 | 1.00 |
| 1.4_1 | 0.7_before | 0.74 | 0.01 | 0.00 | 0.00 |
| 1.4_1 | 0.7_after | 0.00 | 0.19 | 0.00 | 0.00 |
| 1.4_1 | 1.4_before | 1.00 | 1.00 | 0.98 | 1.00 |
| 1.4_1 | 1.4_after | 1.00 | 0.99 | 1.00 | 1.00 |
| 1.4_2 | 0.7_before | 0.09 | 0.68 | 0.00 | 0.00 |
| 1.4_2 | 0.7_after | 0.00 | 1.00 | 0.00 | 0.00 |
| 1.4_2 | 1.4_before | 1.00 | 0.90 | 1.00 | 1.00 |
| 1.4_2 | 1.4_after | 0.99 | 1.00 | 1.00 | 1.00 |
| 0.7_before | 0.7_after | 0.44 | 0.98 | 0.09 | 0.07 |
| 0.7_before | 1.4_before | 0.60 | 0.03 | 0.00 | 0.00 |
| 0.7_before | 1.4_after | 0.65 | 0.17 | 0.00 | 0.00 |
| 0.7_after | 1.4_before | 0.00 | 0.41 | 0.00 | 0.00 |
| 0.7_after | 1.4_after | 0.00 | 0.85 | 0.00 | 0.00 |
| 1.4_before | 1.4_after | 1.00 | 1.00 | 1.00 | 1.00 |
Disclaimer/Publisher’s Note: The statements, opinions and data contained in all publications are solely those of the individual author(s) and contributor(s) and not of MDPI and/or the editor(s). MDPI and/or the editor(s) disclaim responsibility for any injury to people or property resulting from any ideas, methods, instructions or products referred to in the content. |
© 2024 by the authors. Licensee MDPI, Basel, Switzerland. This article is an open access article distributed under the terms and conditions of the Creative Commons Attribution (CC BY) license (https://creativecommons.org/licenses/by/4.0/).
Share and Cite
Wodarski, P.; Chmura, M.; Jurkojć, J. Impact of Visual Disturbances on the Trend Changes of COP Displacement Courses Using Stock Exchange Indices. Appl. Sci. 2024, 14, 4953. https://doi.org/10.3390/app14114953
Wodarski P, Chmura M, Jurkojć J. Impact of Visual Disturbances on the Trend Changes of COP Displacement Courses Using Stock Exchange Indices. Applied Sciences. 2024; 14(11):4953. https://doi.org/10.3390/app14114953
Chicago/Turabian StyleWodarski, Piotr, Marta Chmura, and Jacek Jurkojć. 2024. "Impact of Visual Disturbances on the Trend Changes of COP Displacement Courses Using Stock Exchange Indices" Applied Sciences 14, no. 11: 4953. https://doi.org/10.3390/app14114953
APA StyleWodarski, P., Chmura, M., & Jurkojć, J. (2024). Impact of Visual Disturbances on the Trend Changes of COP Displacement Courses Using Stock Exchange Indices. Applied Sciences, 14(11), 4953. https://doi.org/10.3390/app14114953

