Multi-Stage Metallogenesis and Fluid Evolution of the Hongtoushan Cu-Zn Volcanogenic Massive Sulfide Deposit, Liaoning Province, China: Constraints from Sulfur Isotopes, Trace Elements, and Fluid Inclusions
Abstract
1. Introduction
2. Regional Geology
3. Ore Deposit Geology
4. Sampling and Analytical Methods
4.1. Sampling
4.2. Geochemistry of Sulfides
4.3. Microthermometric and Laser Raman Spectroscopy
4.4. Sulfur Isotopic Analysis
5. Results
5.1. Ore Mineralogy
5.1.1. Type-1 Massive Ores
5.1.2. Type-2 Massive Ores
5.1.3. Type-3 Massive Ores
5.2. Geochemistry and Sulfur Isotope of Sulfide
5.2.1. Pyrite
5.2.2. Pyrrhotite
5.3. Fluid Inclusions
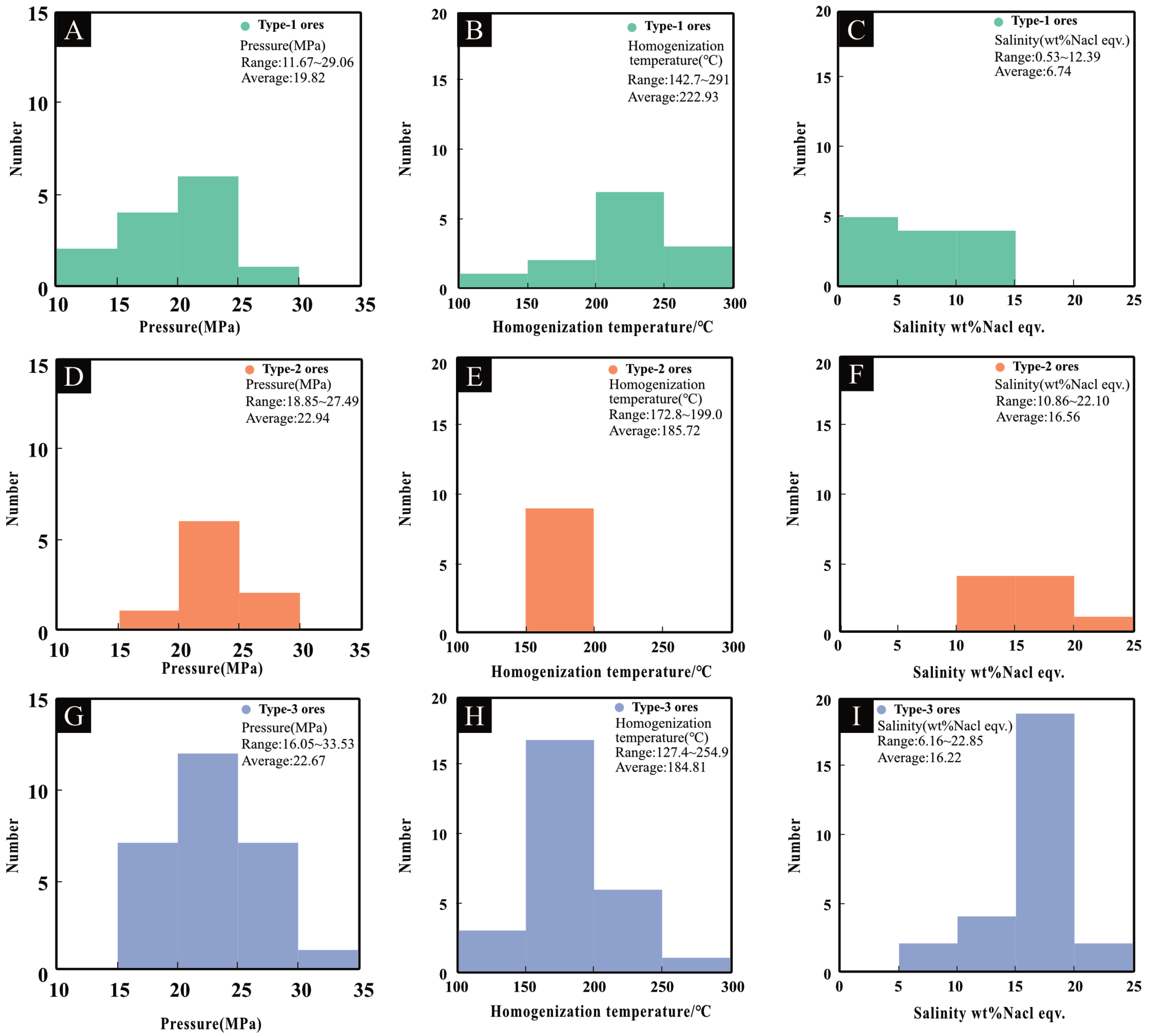
5.3.1. Microthermometric Results
5.3.2. Laser Raman Spectroscopy
6. Discussion
6.1. Sulfur Isotope Constraints on Metal Sources
6.2. Trace Element Signatures of Ore-Forming Processes
6.3. Nature and Evolution of Ore-Forming Fluids
6.4. Implications for Metallogenic Models
7. Conclusions
Author Contributions
Funding
Institutional Review Board Statement
Informed Consent Statement
Data Availability Statement
Acknowledgments
Conflicts of Interest
Abbreviations
| VMS | Volcanogenic Massive Sulfide |
| AVG | Average |
| Py | Pyrite |
| Cp | Chalcopyrite |
| Po | Pyrrhotite |
| Sp | sphalerite |
| Qtz | Quartz |
| REE | Rare earth element |
| wt.% NaCl eqv. | Weight percent sodium chloride equivalent |
References
- Piercey, S. An overview of petrochemistry in the regional exploration for volcanogenic massive sulphide (VMS) deposits. Geochem. Explor. Environ. Anal. 2010, 10, 119–136. [Google Scholar] [CrossRef]
- Large, R.R. Australian volcanic-hosted massive sulfide deposits; features, styles, and genetic models. Econ. Geol. 1992, 87, 471–510. [Google Scholar] [CrossRef]
- Huston, D.L.; Sie, S.H.; Suter, G.F.; Cooke, D.R.; Both, R.A. Trace elements in sulfide minerals from eastern Australian volcanic-hosted massive sulfide deposits; Part I, Proton microprobe analyses of pyrite, chalcopyrite, and sphalerite, and Part II, Selenium levels in pyrite; comparison with delta 34 S values and implications for the source of sulfur in volcanogenic hydrothermal systems. Econ. Geol. 1995, 90, 1167–1196. [Google Scholar] [CrossRef]
- Almodóvar, G.R.; Yesares, L.; Sáez, R.; Toscano, M.; González, F.; Pons, J.M. Massive sulfide ores in the Iberian Pyrite Belt: Mineralogical and textural evolution. Minerals 2019, 9, 653. [Google Scholar] [CrossRef]
- Zheng, Y.; Zhang, L.; Chen, Y.j.; Hollings, P.; Chen, H.y. Metamorphosed Pb–Zn–(Ag) ores of the Keketale VMS deposit, NW China: Evidence from ore textures, fluid inclusions, geochronology and pyrite compositions. Ore Geol. Rev. 2013, 54, 167–180. [Google Scholar] [CrossRef]
- Galley, A.G.; Hannington, M.D.; Jonasson, I. Volcanogenic massive sulphide deposits. Miner. Depos. Can. A Synth. Major-Depos.-Types Dist. Metallog. Evol. Geol. Prov. Explor. Methods 2007, 5, 141–161. [Google Scholar]
- Franklin, J.; Gibson, H.; Jonasson, I.; Galley, A. Volcanogenic massive sulfide deposits. Econ. Geol. 100th Anniv. Vol. 2005, 98, 523–560. [Google Scholar] [CrossRef]
- Gibson, H.; Allen, R.; Riverin, G.; Lane, T. The VMS model: Advances and application to exploration targeting. In Proceedings of the Exploration, Toronto, ON, Canada, 9–12 September 2007; Volume 7, pp. 713–730. [Google Scholar]
- Galley, A. Characteristics of semi-conformable alteration zones associated with volcanogenic massive sulphide districts. J. Geochem. Explor. 1993, 48, 175–200. [Google Scholar] [CrossRef]
- Zhang, Q.; Li, S.; Liu, L. Geology and Metallogeny of the Early Precambrian in China; Jilin People’s Publishing House: Changchun, China, 1984; pp. 295–297. [Google Scholar]
- Gu, L.; Zheng, Y.; Tang, X.; Zaw, K.; Della-Pasque, F.; Wu, C.; Tian, Z.; Lu, J.; Ni, P.; Li, X. Copper, gold and silver enrichment in ore mylonites within massive sulphide orebodies at Hongtoushan VHMS deposit, N.E. China. Ore Geol. Rev. 2007, 30, 1–29. [Google Scholar] [CrossRef]
- Zhu, M.T.; Zhang, L.C.; Dai, Y.P.; Wang, C.L. In situ zircon U–Pb dating and O isotopes of the Neoarchean Hongtoushan VMS Cu–Zn deposit in the North China Craton: Implication for the ore genesis. Ore Geol. Rev. 2015, 67, 354–367. [Google Scholar] [CrossRef]
- Li, L.H.; Fan, H.R.; Qiu, Z.J.; Yang, K.F.; Han, J.; Zhao, G. Sulfide texture and geochemistry of the Neoarchean Hongtoushan Cu-Zn deposit (NE China): Implication for mixed-state metamorphic remobilization. Ore Geol. Rev. 2022, 145, 104885. [Google Scholar] [CrossRef]
- Zhao, F.; Gao, W.; Huang, F.; Liu, B. Re-distribution and upgrade of metals induced by the superimposition of later magmatic fluids in the Archean Hongtoushan VMS deposit, NE China. Ore Geol. Rev. 2024, 167, 105997. [Google Scholar] [CrossRef]
- Roedder, E.; Bodnar, R. Geologic pressure determinations from fluid inclusion studies. Annu. Rev. Earth Planet. Sci. 1980, 8, 263–301. [Google Scholar] [CrossRef]
- Hansteen, T.H.; Klügel, A.; Schmincke, H.U. Multi-stage magma ascent beneath the Canary Islands: Evidence from fluid inclusions. Contrib. Mineral. Petrol. 1998, 132, 48–64. [Google Scholar] [CrossRef]
- Pasteris, J.D.; Wanamaker, B. Laser Raman microprobe analysis of experimentally re-equilibrated fluid inclusions in olivine; some implications for mantle fluids. Am. Mineral. 1988, 73, 1074–1088. [Google Scholar]
- Lee, J.H.; Yoo, B.C.; Yang, Y.S.; Lee, T.H.; Seo, J.H. Sphalerite geochemistry of the Zn-Pb orebodies in the Taebaeksan metallogenic province, Korea. Ore Geol. Rev. 2019, 107, 1046–1067. [Google Scholar] [CrossRef]
- Duuring, P.; Hassan, L.; Zelic, M.; Gessner, K. Geochemical and Spectral Footprint of Metamorphosed and Deformed VMS-Style Mineralization in the Quinns District, Yilgarn Craton, Western Australia*. Econ. Geol. 2016, 111, 1411–1438. [Google Scholar] [CrossRef]
- Genna, D.; Gaboury, D. Deciphering the hydrothermal evolution of a VMS system by LA-ICP-MS using trace elements in pyrite: An example from the Bracemac-McLeod deposits, Abitibi, Canada, and implications for exploration. Econ. Geol. 2015, 110, 2087–2108. [Google Scholar] [CrossRef]
- Rye, R.O. A review of the stable-isotope geochemistry of sulfate minerals in selected igneous environments and related hydrothermal systems. Chem. Geol. 2005, 215, 5–36. [Google Scholar] [CrossRef]
- Zeng, Z.; Ma, Y.; Chen, S.; Selby, D.; Wang, X.; Yin, X. Sulfur and lead isotopic compositions of massive sulfides from deep-sea hydrothermal systems: Implications for ore genesis and fluid circulation. Ore Geol. Rev. 2017, 87, 155–171. [Google Scholar] [CrossRef]
- Zhang, X.; Zhai, S.; Yu, Z.; Yang, Z.; Xu, J. Zinc and lead isotope variation in hydrothermal deposits from the Okinawa Trough. Ore Geol. Rev. 2019, 111, 102944. [Google Scholar] [CrossRef]
- Sun, B.; Lv, X.; Wang, S.; Ulrich, T.; Dai, Z.; Ruan, B. Evolution of an ancient VMS ore-forming system recorded by pyrite and sphalerite mineral texture, trace elements, and sulfur isotope: A case study from the Huangtupo Cu-Zn (-Au) deposit, Eastern Tianshan, NW China. Ore Geol. Rev. 2023, 158, 105475. [Google Scholar] [CrossRef]
- Maslennikov, V.V.; Maslennikova, S.P.; Large, R.R.; Danyushevsky, L. Study of Trace Element Zonation in Vent Chimneys from the Silurian Yaman-Kasy Volcanic-Hosted Massive Sulfide Deposit (Southern Urals, Russia) Using Laser Ablation-Inductively Coupled Plasma Mass Spectrometry (LA-ICPMS). Econ. Geol. 2009, 104, 1111–1141. [Google Scholar] [CrossRef]
- Ohmoto, H. Sulfur and carbon isotopes. In Geochemistry of Hydrothermal Ore Deposits; John Wiley & Sons: New York, NY, USA, 1997; pp. 517–611. [Google Scholar]
- Seal, R.R. Sulfur isotope geochemistry of sulfide minerals. Rev. Mineral. Geochem. 2006, 61, 633–677. [Google Scholar] [CrossRef]
- Liu, D.; Nutman, A.; Compston, W.; Wu, J.; Shen, Q.H. Remnants of ≥ 3800 Ma crust in the Chinese part of the Sino-Korean craton. Geology 1992, 20, 339–342. [Google Scholar] [CrossRef]
- Song, B.; Nutman, A.P.; Liu, D.; Wu, J. 3800 to 2500 Ma crustal evolution in the Anshan area of Liaoning Province, northeastern China. Precambrian Res. 1996, 78, 79–94. [Google Scholar] [CrossRef]
- Wan, Y.; Liu, D.; Song, B.; Wu, J.; Yang, C.; Zhang, Z.; Geng, Y. Geochemical and Nd isotopic compositions of 3.8 Ga meta-quartz dioritic and trondhjemitic rocks from the Anshan area and their geological significance. J. Asian Earth Sci. 2005, 24, 563–575. [Google Scholar] [CrossRef]
- Grant, M.L.; Wilde, S.A.; Wu, F.; Yang, J. The application of zircon cathodoluminescence imaging, Th–U–Pb chemistry and U–Pb ages in interpreting discrete magmatic and high-grade metamorphic events in the North China Craton at the Archean/Proterozoic boundary. Chem. Geol. 2009, 261, 155–171. [Google Scholar] [CrossRef]
- ming Jahn, B.; qing Zhang, Z. Archean granulite gneisses from eastern Hebei Province, China: Rare earth geochemistry and tectonic implications. Contrib. Mineral. Petrol. 1984, 85, 224–243. [Google Scholar] [CrossRef]
- Wan, Y.; Liu, D.; Wang, W.; Song, T.; Kröner, A.; Dong, C.; Zhou, H.; Yin, X. Provenance of Meso- to Neoproterozoic cover sediments at the Ming Tombs, Beijing, North China Craton: An integrated study of U–Pb dating and Hf isotopic measurement of detrital zircons and whole-rock geochemistry. Gondwana Res. 2011, 20, 219–242. [Google Scholar] [CrossRef]
- Zhao, G.; Wilde, S.A.; Cawood, P.A.; Sun, M. Archean blocks and their boundaries in the North China Craton: Lithological, geochemical, structural and P–T path constraints and tectonic evolution. Precambrian Res. 2001, 107, 45–73. [Google Scholar] [CrossRef]
- Zhao, G.; Sun, M.; Wilde, S.A.; Sanzhong, L. Late Archean to Paleoproterozoic evolution of the North China Craton: Key issues revisited. Precambrian Res. 2005, 136, 177–202. [Google Scholar] [CrossRef]
- Zhao, G.; Zhai, M. Lithotectonic elements of Precambrian basement in the North China Craton: Review and tectonic implications. Gondwana Res. 2013, 23, 1207–1240. [Google Scholar] [CrossRef]
- Yu, F.; Wang, E.; Yan, P.; Yang, T.; Zhang, R. Geochemical characteristics and prospecting significance of Hongtoushan massive sulfide copper-zinc deposit. Miner. Resour. Geol. 2005, 19, 117–121. [Google Scholar] [CrossRef]
- Zhai, M.; Yang, R.; Lu, W.; Zhou, J. Geochemistry and evolution of the Qingyuan Archaean granite—greenstone terrain, NE China. Precambrian Res. 1985, 27, 37–62. [Google Scholar] [CrossRef]
- Wang, F.P.; Pelletier, S.W. Diterpenoid Alkaloids from Aconitum crassicaule. J. Nat. Prod. 1987, 50, 55–62. [Google Scholar] [CrossRef]
- Zhai, M. Cratonization and the Ancient North China Continent: A summary and review. Sci. China Earth Sci. 2011, 54, 1110–1120. [Google Scholar] [CrossRef]
- Peng, Z.; Wang, C.; Tong, X.; Zhang, L.; Zhang, B. Element geochemistry and neodymium isotope systematics of the Neoarchean banded iron formations in the Qingyuan greenstone belt, North China Craton. Ore Geol. Rev. 2018, 102, 562–584. [Google Scholar] [CrossRef]
- Zhao, G. Precambrian Evolution of the North China Craton; Elsevier: Amsterdam, The Netherlands, 2013. [Google Scholar]
- Zhai, M.; Santosh, M. Metallogeny of the North China Craton: Link with secular changes in the evolving Earth. Gondwana Res. 2013, 24, 275–297. [Google Scholar] [CrossRef]
- Yang, Z.S. Poly-deformation of the Archean greenstone belt in the Hongtoushan area, Northern Liaoning province. Bull. Changchun Coll. Geol. 1984, 1, 20–35, (In Chinese with English abstract). [Google Scholar]
- Zhang, Y. Study on the Geological Features and Metallogenic Model of Hongtoushan Copper–Zinc Deposit, Liaoning Province. Master Thesis, Jilin University, Changchun, China, 2010. (In Chinese with English abstract). [Google Scholar]
- GB/T 14506.30-2010; Methods for Chemical Analysis of Silicate Rocks—Part 30: Determination of 44 Elements. General Administration of Quality Supervision, Inspection and Quarantine of the People’s Republic of China: Beijing, China. Standardization Administration of the People’s Republic of China: Beijing, China, 2010.
- Alghurabi, M.N.A.K.; Yıldırım, S.Ö. Comparison between Inductively Coupled Plasma-Mass Spectrometer (ICP-MS) and X-Ray Fluorescence (XRF) Spectrometer in elemental Analyses Iraqi Table Salt. In Proceedings of the Journal of Physics: Conference Series; IOP Publishing: Bristol, UK, 2021; Volume 1795, p. 012066. [Google Scholar]
- Chajduk, E.; Kalbarczyk, P. Comparison of the Analytical Performance of Inductively Coupled Plasma Mass Spectrometry and Instrumental Neutron Activation Analysis Techniques in the Elemental Analysis of Coal Fly Ash. Minerals 2023, 13, 1484. [Google Scholar] [CrossRef]
- Bodnar, R. Revised equation and table for determining the freezing point depression of H2O-NaCl solutions. Geochim. Cosmochim. Acta 1993, 57, 683–684. [Google Scholar] [CrossRef]
- Vanko, D.; Bodnar, R.; Sterner, S. Synthetic fluid inclusions: VIII. Vapor-saturated halite solubility in part of the system NaCl-CaCl2-H2O, with application to fluid inclusions from oceanic hydrothermal systems. Geochim. Cosmochim. Acta 1988, 52, 2451–2456. [Google Scholar] [CrossRef]
- Bodnar, R. A method of calculating fluid inclusion volumes based on vapor bubble diameters and PVTX properties of inclusion fluids. Econ. Geol. 1983, 78, 535–542. [Google Scholar] [CrossRef]
- Roedder, E. Volume 12: Fluid inclusions. Rev. Mineral. 1984, 12, 644. [Google Scholar]
- GB/T 184.14-1997; Determination of Sulfur Isotopic Composition in Sulfide. State Bureau of Technical Supervision: Beijing, China. China State Bureau of Standards: Beijing, China, 1997.
- Giesemann, A.; Jäger, H.J.; Norman, A.; Krouse, H.; Brand, W. Online sulfur-isotope determination using an elemental analyzer coupled to a mass spectrometer. Anal. Chem. 1994, 66, 2816–2819. [Google Scholar] [CrossRef]
- Barton, P.B.; Bethke, P.M. Chalcopyrite disease in sphalerite; pathology and epidemiology. Am. Mineral. 1987, 72, 451–467. [Google Scholar]
- Bortnikov, N.; Genkin, A.; Dobrovol’Skaya, M.; Muravitskaya, G.; Filimonova, A. The nature of chalcopyrite inclusions in sphalerite; exsolution, coprecipitation, or “disease”? Econ. Geol. 1991, 86, 1070–1082. [Google Scholar] [CrossRef]
- Eldridge, C.; Bourcier, W.; Ohmoto, H.; Barnes, H. Hydrothermal inoculation and incubation of the chalcopyrite disease in sphalerite. Econ. Geol. 1988, 83, 978–989. [Google Scholar] [CrossRef]
- Ohmoto, H. Isotopes of sulfur and carbon. In Geochemistry of Hydrothermal Ore Deposits; John Wiley & Sons: New York, NY, USA, 1979. [Google Scholar]
- Leighton, C. Application of Pyrite Mineralogy and Chemistry to Determining Paleoredox, Hydrothermal History, and Target Vectoring in the MacMillan Pass Sedex District, Yukon, Canada. Ph.D. Thesis, Queen’s University, Kingston, ON, Canada, 2019. [Google Scholar]
- Toulmin, P.; Barton, P.B. A thermodynamic study of pyrite and pyrrhotite. Geochim. Cosmochim. Acta 1964, 28, 641–671. [Google Scholar] [CrossRef]
- Liu, L.; Mavrogenes, J.; Holden, P.; Ireland, T. Quadruple sulfur isotopic fractionation during pyrite desulfidation to pyrrhotite. Geochim. Cosmochim. Acta 2020, 273, 354–366. [Google Scholar] [CrossRef]
- Thode, H.; Monster, J.; Dunford, H. Sulphur isotope geochemistry. Geochim. Cosmochim. Acta 1961, 25, 159–174. [Google Scholar] [CrossRef]
- Ripley, E.M.; Li, C. Sulfur Isotope Exchange and Metal Enrichment in The Formation of Magmatic Cu-Ni-(Pge) Deposits. Econ. Geol. 2003, 98, 635–641. [Google Scholar] [CrossRef]
- Tomkins, A.G.; Mavrogenes, J.A. Mobilization of Gold as a Polymetallic Melt during Pelite Anatexis at the Challenger Deposit, South Australia: A Metamorphosed Archean Gold Deposit. Econ. Geol. 2002, 97, 1249–1271. [Google Scholar] [CrossRef]
- Cook, N.J.; Ciobanu, C.L.; Mao, J. Textural control on gold distribution in As-free pyrite from the Dongping, Huangtuliang and Hougou gold deposits, North China Craton (Hebei Province, China). Chem. Geol. 2009, 264, 101–121. [Google Scholar] [CrossRef]
- Bralia, A.; Sabatini, G.; Troja, F. A revaluation of the Co/Ni ratio in pyrite as geochemical tool in ore genesis problems: Evidences from southern Tuscany pyritic deposits. Miner. Depos. 1979, 14, 353–374. [Google Scholar] [CrossRef]
- Dehaine, Q.; Tijsseling, L.T.; Glass, H.J.; Törmänen, T.; Butcher, A.R. Geometallurgy of cobalt ores: A review. Miner. Eng. 2021, 160, 106656. [Google Scholar] [CrossRef]
- Pascual, E.; Donaire, T.; Toscano, M.; Macías, G.; Pin, C.; Hamilton, M.A. Geochemical and Volcanological Criteria in Assessing the Links between Volcanism and VMS Deposits: A Case on the Iberian Pyrite Belt, Spain. Minerals 2021, 11, 826. [Google Scholar] [CrossRef]
- Del Real, I.; Thompson, J.; Simon, A.; Reich, M. Geochemical and isotopic signature of pyrite as a proxy for fluid source and evolution in the Candelaria-Punta del Cobre iron oxide copper-gold district, Chile. Econ. Geol. 2020, 115, 1493–1518. [Google Scholar] [CrossRef]
- Liu, Z.; Shao, Y.; Zhou, H.; Liu, N.; Huang, K.; Liu, Q.; Zhang, J.; Wang, C. Major and Trace Element Geochemistry of Pyrite and Pyrrhotite from Stratiform and Lamellar Orebodies: Implications for the Ore Genesis of the Dongguashan Copper (Gold) Deposit, Eastern China. Minerals 2018, 8, 380. [Google Scholar] [CrossRef]
- Yesares, L.; Menuge, J.F.; Blakeman, R.J.; Ashton, J.H.; Boyce, A.J.; Coller, D.; Drummond, D.A.; Farrelly, I. Pyritic mineralization halo above the Tara Deep Zn-Pb deposit, Navan, Ireland: Evidence for sub-seafloor exhalative hydrothermal processes? Ore Geol. Rev. 2022, 140, 104415. [Google Scholar] [CrossRef]
- Price, B.J. Minor Elements in Pyrites from the Smithers Map Area, bc and Exploration Applications of Minor Element Studies. Ph.D. Thesis, University of British Columbia, Vancouver, BC, Canada, 1972. [Google Scholar] [CrossRef]
- Green, G.; Solomon, M.; Walshe, J. The formation of the volcanic-hosted massive sulfide ore deposit at Rosebery, Tasmania. Econ. Geol. 1981, 76, 304–338. [Google Scholar] [CrossRef]
- Mookherjee, A.; Philip, R. Distribution of copper, cobalt and nickel in ores and host-rocks, Ingladhal, Karnataka, India. Miner. Depos. 1979, 14, 33–55. [Google Scholar] [CrossRef]
- Bodnar, R.J.; Lecumberri-Sanchez, P.; Moncada, D.; Steele-MacInnis, M. Fluid inclusions in hydrothermal ore deposits. In Treatise on Geochemistry, 2nd ed.; Elsevier: Amsterdam, The Netherlands, 2014; pp. 119–142. [Google Scholar] [CrossRef]
- Hannington, M.D.; Jonasson, I.R.; Herzig, P.M.; Petersen, S. Physical and chemical processes of seafloor mineralization at mid-ocean ridges. In Seafloor Hydrothermal Systems: Physical, Chemical, Biological, and Geological Interactions; American Geophysical Union: Washington, DC, USA, 1995; Volume 91, pp. 115–157. [Google Scholar] [CrossRef]
- Marshall, B.; Vokes, F.M.; Larocque, A.C. Regional metamorphic remobilization: Upgrading and formation of ore deposits. Rev. Econ. Geol. 2000, 11, 19–38. [Google Scholar] [CrossRef]








| Ore-Type | Type-1 Massive Ores | |||||||||||||||||
|---|---|---|---|---|---|---|---|---|---|---|---|---|---|---|---|---|---|---|
| Sample No. | Mineral | Li | Be | Sc | V | Cr | Co | Ni | Cu | Zn | Ga | Rb | Sr | Y | Mo | Cd | In | Sb |
| 1 | Pyrrhotite | 0.477 | 0.047 | 0.88 | 8.8 | 2.31 | 0.002 | 4.71 | 1557 | 1769 | 4108 | 127 | 0.888 | 2.06 | 0.462 | 0.444 | - | 23.5 |
| 2 | Pyrrhotite | 0.436 | 0.043 | 1.81 | 36.6 | 24.7 | 1.39 | 2.42 | 240 | 2265 | 60.6 | 1.15 | 4.25 | 2.29 | 0.707 | 9.48 | 0.758 | 0.786 |
| 3 | Pyrrhotite | 0.216 | 0.079 | 1.67 | 22.1 | 8.01 | 2.43 | 18.2 | 5889 | 3067 | 216 | 0.532 | 3.08 | 16.9 | 1.89 | 10.7 | 0.743 | 1.76 |
| avg | Pyrrhotite | 0.376 | 0.056 | 1.453 | 22.500 | 11.673 | 1.274 | 8.443 | 2562.000 | 2367.000 | 1461.533 | 42.894 | 2.739 | 7.083 | 1.020 | 6.875 | 0.751 | 8.682 |
| 4 | Pyrite | 0.043 | 0.037 | 0.567 | 0.431 | 30.1 | 276 | 7.32 | 454 | 587 | 0.19 | 0.258 | 0.372 | 0.046 | 0.626 | 1.78 | 0.068 | 0.236 |
| 5 | Pyrite | 0.022 | 0.006 | 0.128 | 0.548 | 30.6 | 322 | 6.77 | 218 | 138 | 0.155 | 0.074 | 0.311 | 0.02 | 0.17 | 0.367 | 0.047 | 0.134 |
| 6 | Pyrite | 0.028 | 0.024 | 0.316 | 1.21 | 0.064 | 395 | 5.77 | 677 | 729 | 0.269 | 0.08 | 0.351 | 0.039 | 0.296 | 2.17 | 0.25 | 0.19 |
| 7 | Pyrite | 0.029 | 0.033 | 2.7 | 1.49 | 34 | 402 | 8.62 | 1034 | 301 | 0.207 | 0.127 | 0.34 | 0.051 | 0.685 | 0.95 | 0.128 | 0.305 |
| avg | Pyrite | 0.031 | 0.025 | 0.928 | 0.920 | 23.691 | 348.750 | 7.120 | 595.750 | 438.750 | 0.205 | 0.135 | 0.344 | 0.039 | 0.444 | 1.317 | 0.123 | 0.216 |
| Sample No. | Mineral | Cs | Ba | La | Ce | Pr | Nd | Sm | Eu | Gd | Tb | Dy | Ho | Er | Tm | Yb | Lu | W |
| 1 | Pyrrhotite | 0.037 | 0.131 | 1.84 | 0.627 | 1.47 | 0.829 | 0.779 | 0.192 | 0.081 | 0.238 | 0.034 | 0.243 | 0.054 | 0.222 | 0.037 | 0.245 | 0.027 |
| 2 | Pyrrhotite | 0.491 | 9.49 | 1.77 | 3.57 | 0.421 | 1.63 | 0.356 | 0.156 | 0.337 | 0.066 | 0.389 | 0.082 | 0.232 | 0.043 | 0.294 | 0.043 | 0.556 |
| 3 | Pyrrhotite | 0.305 | 5.28 | 11.7 | 25.5 | 3.2 | 13.7 | 3.01 | 0.59 | 2.8 | 0.552 | 2.88 | 0.548 | 1.53 | 0.234 | 1.38 | 0.187 | 0.926 |
| avg | Pyrrhotite | 0.278 | 4.967 | 5.103 | 9.899 | 1.697 | 5.386 | 1.382 | 0.313 | 1.073 | 0.285 | 1.101 | 0.291 | 0.605 | 0.166 | 0.570 | 0.158 | 0.503 |
| 4 | Pyrite | 0.022 | 1.44 | 0.053 | 0.101 | 0.011 | 0.043 | 0.01 | - | 0.006 | - | 0.005 | - | 0.004 | - | 0.003 | - | 0.349 |
| 5 | Pyrite | 0.005 | 2.35 | 0.014 | 0.025 | 0.002 | 0.052 | 0.004 | - | - | - | 0.01 | - | - | - | 0.002 | - | 0.024 |
| 6 | Pyrite | 0.011 | 0.624 | 0.02 | 0.033 | 0.004 | 0.016 | 0.004 | - | 0.002 | - | 0.003 | - | 0.003 | - | 0.004 | - | 0.182 |
| 7 | Pyrite | 0.009 | 0.811 | 0.035 | 0.066 | 0.007 | 0.027 | 0.009 | - | 0.005 | - | 0.004 | - | - | - | 0.005 | - | 0.073 |
| avg | Pyrite | 0.012 | 1.306 | 0.031 | 0.056 | 0.006 | 0.035 | 0.007 | - | 0.004 | - | 0.006 | - | 0.004 | - | 0.004 | - | 0.157 |
| Sample No. | Mineral | Re | Tl | Pb | Bi | Th | U | Nb | Ta | Zr | Hf | REE | LREE | HREE | LREE:HREE | Eu | Ce | (La:Yb)N |
| 1 | Pyrrhotite | 0.016 | 0.208 | 52.9 | 51.1 | 1.41 | 0.179 | 0.156 | 0.005 | 1.38 | 0.034 | 6.891 | 5.737 | 1.154 | 4.971 | 1.213 | 0.086 | 33.527 |
| 2 | Pyrrhotite | 0.016 | 0.407 | 82.3 | 2.15 | 0.178 | 0.042 | 0.287 | - | 0.18 | 0.008 | 9.389 | 7.903 | 1.486 | 5.318 | 1.358 | 0.965 | 4.059 |
| 3 | Pyrrhotite | 0.016 | 0.783 | 122 | 4.07 | 1.21 | 0.122 | 0.948 | 0.019 | 0.482 | 0.035 | 67.811 | 57.700 | 10.111 | 5.707 | 0.612 | 0.987 | 5.716 |
| avg | Pyrrhotite | 0.016 | 0.466 | 85.733 | 19.107 | 0.933 | 0.114 | 0.464 | 0.012 | 0.681 | 0.026 | 28.030 | 23.780 | 4.250 | 5.332 | 1.061 | 0.679 | 14.434 |
| 4 | Pyrite | 0.017 | 0.041 | 30 | 0.9 | 0.024 | 0.017 | 0.023 | - | 0.061 | - | 2.347 | 0.808 | 1.539 | 0.525 | - | 0.957 | 11.911 |
| 5 | Pyrite | 0.016 | 0.033 | 4.18 | 0.504 | 0.015 | 0.021 | 0.014 | - | 0.086 | - | 2.230 | 0.687 | 1.543 | 0.445 | - | 1.005 | 4.719 |
| 6 | Pyrite | 0.016 | 0.071 | 13.1 | 0.914 | 0.005 | 0.005 | 0.032 | - | 0.035 | - | 2.200 | 0.667 | 1.533 | 0.435 | - | 0.839 | 3.371 |
| 7 | Pyrite | 0.017 | 0.075 | 174 | 4.64 | 0.026 | 0.012 | 0.05 | 0.03 | 0.079 | 0.002 | 2.272 | 0.734 | 1.538 | 0.477 | - | 0.959 | 4.719 |
| avg | Pyrite | 0.0165 | 0.0550 | 55.3200 | 1.7395 | 0.0175 | 0.0138 | 0.0298 | 0.0300 | 0.0653 | 0.0020 | 2.262 | 0.724 | 1.538 | 0.471 | - | 0.940 | 6.180 |
| Sample No. | Mineral | Li | Be | Sc | V | Cr | Co | Ni | Cu | Zn | Ga | Rb | Sr | Y | Mo | Cd | In | Sb |
| 1 | Pyrrhotite | 0.397 | 0.046 | 0.674 | 26 | 39.1 | 0.791 | 22.6 | 633 | 2817 | 1.83 | 1.04 | 1.19 | 5.12 | 2.11 | 9.8 | 1.19 | 0.714 |
| 2 | Pyrrhotite | 0.3 | 0.07 | 1.41 | 5.27 | 3.06 | 1.85 | 17.9 | 3285 | 1410 | 5.89 | 0.432 | 3.37 | 3.94 | 0.878 | 5.24 | 0.334 | 0.455 |
| 3 | Pyrrhotite | 0.533 | 0.054 | 3.74 | 19.2 | 39.1 | 6.79 | 9.52 | 12869 | 1504 | 15.2 | 0.416 | 5.03 | 14 | 7.93 | 5.07 | 1.37 | 3.81 |
| avg | Pyrrhotite | 0.41 | 0.057 | 1.941 | 16.823 | 27.087 | 3.144 | 16.673 | 5595.667 | 1910.333 | 7.640 | 0.629 | 3.197 | 7.687 | 3.639 | 6.703 | 0.965 | 1.660 |
| 4 | Pyrite | 0.01 | 0.022 | 9.07 | 0.739 | 3.24 | 135 | 3.49 | 186 | 1603 | 0.183 | 0.086 | 0.72 | 0.068 | 0.619 | 6.57 | 0.355 | 0.464 |
| 5 | Pyrite | 0.048 | 0.003 | 0.715 | 24 | 1.78 | 366 | 7.67 | 407 | 197 | 0.222 | 0.086 | 0.579 | 0.421 | 0.304 | 0.647 | 0.14 | 0.677 |
| 6 | Pyrite | 0.042 | 0.027 | 0.218 | 0.852 | 4.19 | 443 | 16.1 | 222 | 97.3 | 0.124 | 0.074 | 0.364 | 0.023 | 0.189 | 0.273 | 0.014 | 0.136 |
| avg | Pyrite | 0.033 | 0.017 | 3.334 | 8.530 | 3.070 | 314.667 | 9.087 | 271.667 | 632.433 | 0.176 | 0.082 | 0.554 | 0.171 | 0.371 | 2.497 | 0.170 | 0.426 |
| Sample No. | Mineral | Cs | Ba | La | Ce | Pr | Nd | Sm | Eu | Gd | Tb | Dy | Ho | Er | Tm | Yb | Lu | W |
| 1 | Pyrrhotite | 0.089 | 5.03 | 3.95 | 7.98 | 1.04 | 4.96 | 1.32 | 0.151 | 1.18 | 0.215 | 1.01 | 0.166 | 0.395 | 0.057 | 0.327 | 0.043 | 0.341 |
| 2 | Pyrrhotite | 0.062 | 4.72 | 2.38 | 5.22 | 0.633 | 2.67 | 0.612 | 0.154 | 0.592 | 0.127 | 0.668 | 0.137 | 0.361 | 0.06 | 0.376 | 0.053 | 0.448 |
| 3 | Pyrrhotite | 0.127 | 4.08 | 11.9 | 26.3 | 3.35 | 14.3 | 3.04 | 0.765 | 2.66 | 0.516 | 2.71 | 0.522 | 1.4 | 0.22 | 1.36 | 0.182 | 1.03 |
| avg | Pyrrhotite | 0.093 | 4.610 | 6.077 | 13.167 | 1.674 | 7.310 | 1.657 | 0.357 | 1.477 | 0.286 | 1.463 | 0.275 | 0.719 | 0.112 | 0.688 | 0.093 | 0.606 |
| 4 | Pyrite | 0.008 | 0.682 | 0.097 | 0.176 | 0.017 | 0.057 | 0.009 | 0.004 | 0.007 | - | 0.005 | - | 0.004 | - | 0.01 | - | 0.098 |
| 5 | Pyrite | 0.01 | 2.33 | 0.062 | 0.15 | 0.022 | 0.104 | 0.051 | 0.003 | 0.046 | 0.012 | 0.067 | 0.012 | 0.038 | 0.005 | 0.028 | 0.005 | 0.948 |
| 6 | Pyrite | 0.012 | 1.05 | 0.018 | 0.036 | 0.004 | 0.007 | - | - | - | - | - | - | - | - | - | - | 0.022 |
| avg | Pyrite | 0.010 | 1.354 | 0.059 | 0.121 | 0.014 | 0.056 | 0.030 | 0.004 | 0.027 | 0.012 | 0.036 | 0.012 | 0.021 | 0.005 | 0.019 | 0.005 | 0.356 |
| Sample No. | Mineral | Re | Tl | Pb | Bi | Th | U | Nb | Ta | Zr | Hf | REE | LREE | HREE | LREE:HREE | Eu | Ce | (La:Yb)N |
| 1 | Pyrrhotite | 0.017 | 0.364 | 75.2 | 2.24 | 0.122 | 0.035 | 0.46 | 0.018 | 0.344 | 0.008 | 22.794 | 19.401 | 3.393 | 5.718 | 0.363 | 0.929 | 8.144 |
| 2 | Pyrrhotite | 0.016 | 0.286 | 60.5 | 2.4 | 0.274 | 0.057 | 0.139 | - | 0.149 | 0.008 | 14.043 | 11.669 | 2.374 | 4.915 | 0.773 | 1.004 | 4.268 |
| 3 | Pyrrhotite | 0.016 | 1.42 | 137 | 4.95 | 1.54 | 0.347 | 0.627 | 0.055 | 3.63 | 0.148 | 69.225 | 59.655 | 9.570 | 6.234 | 0.805 | 0.989 | 5.899 |
| avg | Pyrrhotite | 0.016 | 0.690 | 90.900 | 3.197 | 0.645 | 0.146 | 0.409 | 0.037 | 1.374 | 0.055 | 35.354 | 30.242 | 5.112 | 5.622 | 0.647 | 0.974 | 6.104 |
| 4 | Pyrite | 0.016 | 0.09 | 47.8 | 2.36 | 0.014 | 0.005 | 0.02 | - | 0.065 | - | 1.826 | 0.360 | 1.466 | 0.246 | 1.487 | 0.963 | 6.540 |
| 5 | Pyrite | 0.017 | 0.107 | 216 | 6.92 | 0.038 | 0.036 | 0.175 | 0.002 | 0.082 | - | 0.605 | 0.392 | 0.213 | 1.840 | 0.186 | 0.976 | 1.493 |
| 6 | Pyrite | 0.015 | 0.039 | 29.2 | 1.02 | 0.004 | 0.007 | 0.012 | - | 0.044 | - | 0.332 | 0.119 | 0.213 | 0.559 | 0.186 | 0.981 | 0.433 |
| avg | Pyrite | 0.016 | 0.079 | 97.667 | 3.433 | 0.019 | 0.016 | 0.069 | 0.002 | 0.064 | - | 0.921 | 0.290 | 0.631 | 0.882 | 0.620 | 0.973 | 2.822 |
| Sample No. | Mineral | Li | Be | Sc | V | Cr | Co | Ni | Cu | Zn | Ga | Rb | Sr | Y | Mo | Cd | In | Sb |
| 1 | Pyrrhotite | 0.199 | 0.038 | 0.021 | 1.44 | 4.01 | 2.22 | 45.8 | 971 | 953 | 0.353 | 0.206 | 1.15 | 0.276 | 1.51 | 20.4 | 1.29 | 0.035 |
| 2 | Pyrrhotite | 0.933 | 0.031 | 1.14 | 1.03 | 0.523 | 223 | 105 | 872 | 4586 | 0.788 | 0.146 | 0.712 | 1.5 | 1.44 | 1.7 | 0.036 | 0.011 |
| avg | Pyrrhotite | 0.566 | 0.0345 | 0.5805 | 1.235 | 2.2665 | 112.61 | 75.4 | 921.5 | 2769.5 | 0.5705 | 0.176 | 0.931 | 0.888 | 1.475 | 11.05 | 0.663 | 0.023 |
| 3 | Pyrite | 0.239 | 0.021 | 0.35 | 1.42 | 0.113 | 120 | 245 | 41303 | 3844 | 0.308 | 0.454 | 0.526 | 0.322 | 4.66 | 38.9 | 1.52 | 0.038 |
| 4 | Pyrite | 0.004 | 0.013 | 0.53 | 0.571 | 0.303 | 104 | 46.7 | 1732 | 473 | 0.135 | 0.049 | 0.434 | 0.281 | 3.68 | 0.801 | 0.089 | 0.053 |
| avg | Pyrite | 0.122 | 0.017 | 0.440 | 0.996 | 0.208 | 112.000 | 145.850 | 21517.500 | 2158.500 | 0.222 | 0.252 | 0.480 | 0.302 | 4.170 | 19.851 | 0.805 | 0.046 |
| Sample No. | Mineral | Cs | Ba | La | Ce | Pr | Nd | Sm | Eu | Gd | Tb | Dy | Ho | Er | Tm | Yb | Lu | W |
| 1 | Pyrrhotite | 0.078 | 2.83 | 0.285 | 0.618 | 0.074 | 0.285 | 0.069 | 0.011 | 0.054 | 0.009 | 0.049 | 0.01 | 0.039 | 0.006 | 0.026 | 0.004 | 0.088 |
| 2 | Pyrrhotite | 0.065 | 5.78 | 8.44 | 18.3 | 2.23 | 9.26 | 1.89 | 0.201 | 1.4 | 0.208 | 0.726 | 0.07 | 0.126 | 0.008 | 0.056 | 0.005 | 0.06 |
| avg | Pyrrhotite | 0.0715 | 4.305 | 4.3625 | 9.459 | 1.152 | 4.7725 | 0.9795 | 0.106 | 0.727 | 0.1085 | 0.3875 | 0.04 | 0.0825 | 0.007 | 0.041 | 0.0045 | 0.074 |
| 3 | Pyrite | 0.014 | 2.41 | 1.16 | 2.47 | 0.306 | 1.23 | 0.261 | 0.042 | 0.198 | 0.026 | 0.104 | 0.013 | 0.029 | 0.003 | 0.021 | 0.003 | 0.158 |
| 4 | Pyrite | 0.017 | 1.38 | 0.267 | 0.552 | 0.069 | 0.243 | 0.054 | 0.006 | 0.056 | 0.008 | 0.046 | 0.009 | 0.021 | 0.003 | 0.019 | 0.002 | 0.235 |
| avg | Pyrite | 0.016 | 1.895 | 0.714 | 1.511 | 0.188 | 0.737 | 0.158 | 0.024 | 0.127 | 0.017 | 0.075 | 0.011 | 0.025 | 0.003 | 0.020 | 0.003 | 0.197 |
| Sample No. | Mineral | Re | Tl | Pb | Bi | Th | U | Nb | Ta | Zr | Hf | REE | LREE | HREE | LREE:HREE | Eu | Ce | (La:Yb)N |
| 1 | Pyrrhotite | 0.016 | 0.033 | 6.85 | 4.53 | 0.097 | 0.072 | 0.037 | 0.003 | 0.182 | 0.005 | 1.539 | 1.342 | 0.197 | 6.812 | 0.532 | 1.002 | 7.390 |
| 2 | Pyrrhotite | 0.018 | 0.04 | 9.71 | 1.79 | 4.38 | 0.875 | 0.07 | 0.008 | 0.207 | 0.01 | 42.920 | 40.321 | 2.599 | 15.514 | 0.362 | 0.995 | 101.611 |
| avg | Pyrrhotite | 0.017 | 0.0365 | 8.28 | 3.16 | 2.2385 | 0.4735 | 0.0535 | 0.0055 | 0.1945 | 0.0075 | 22.230 | 20.832 | 1.398 | 11.163 | 0.447 | 0.999 | 54.500 |
| 3 | Pyrite | 0.021 | 0.065 | 24.9 | 11.6 | 0.424 | 0.158 | 0.071 | 0.004 | 0.208 | 0.005 | 5.866 | 5.469 | 0.397 | 13.776 | 0.543 | 0.978 | 37.241 |
| 4 | Pyrite | 0.016 | 0.103 | 306 | 26.4 | 0.009 | 0.02 | 0.02 | - | 0.061 | - | 1.355 | 1.191 | 0.164 | 7.262 | 0.331 | 0.958 | 9.474 |
| avg | Pyrite | 0.019 | 0.084 | 165.450 | 19.000 | 0.217 | 0.089 | 0.046 | 0.004 | 0.135 | 0.005 | 3.611 | 3.330 | 0.281 | 10.519 | 0.437 | 0.968 | 23.358 |
| No. | Ore Type | Mineral | σ34S (‰) | No. | Ore Type | Mineral | σ34S (‰) | No. | Ore Type | Mineral | σ34S (‰) |
|---|---|---|---|---|---|---|---|---|---|---|---|
| 1 | Type-3 | Pyrite | −0.1 | 8 | Type-2 | Pyrite | 0.6 | 15 | Type-1 | Pyrite | 0.4 |
| 2 | Type-3 | Pyrite | 0.2 | 9 | Type-2 | pyrrhotite | 2.5 | 16 | Type-1 | Pyrite | 0.3 |
| 3 | Type-3 | Pyrite | −0.7 | 10 | Type-2 | pyrrhotite | −0.1 | 17 | Type-1 | pyrrhotite | 4.2 |
| 4 | Type-3 | pyrrhotite | −0.2 | 11 | Type-2 | pyrrhotite | 0.1 | 18 | Type-1 | pyrrhotite | 1.7 |
| 5 | Type-3 | pyrrhotite | 2 | 12 | Type-2 | sphalerite | 0.4 | 19 | Type-1 | pyrrhotite | 0.1 |
| 6 | Type-2 | Pyrite | 0.3 | 13 | Type-1 | Pyrite | 0.8 | 20 | Type-1 | sphalerite | 0.2 |
| 7 | Type-2 | Pyrite | 0.6 | 14 | Type-1 | Pyrite | 0.2 | 21 | Type-1 | sphalerite | −0.2 |
| Mineral | Num. | Size(m) | Vol.% | Types | Tice (°C) | Th (°C) | Salinity (wt%Nacl eqv) | P (MPa) | |
|---|---|---|---|---|---|---|---|---|---|
| Q-T1MO | H2 | 6×8 | 10 | VH2O + LH2O | −0.3 | 200 | 0.53 | 0.87 | 12.29 |
| Q-T1MO | H3 | 4 × 12 | 10 | VH2O + LH2O | −2.8 | 142.7 | 4.65 | 0.96 | 11.67 |
| Q-T1MO | H5 | 10 × 8 | 10 | VH2O + LH2O | −0.1 | 291 | 0.18 | 0.72 | 17.33 |
| Q-T1MO | H8 | 2 × 10 | 10 | VH2O + LH2O | −7.8 | 193.5 | 11.46 | 0.96 | 20.96 |
| Q-T1MO | H9 | 4 × 6 | 15 | VH2O + LH2O | −6.8 | 279.3 | 10.24 | 0.85 | 29.06 |
| Q-T1MO | H10 | 4 × 2 | 10 | VH2O + LH2O | −3.1 | 253.9 | 5.11 | 0.83 | 21.28 |
| Q-T1MO | H12 | 4 × 4 | 10 | VH2O + LH2O | −8.4 | 210.8 | 12.16 | 0.95 | 23.33 |
| Q-T1MO | H18 | 8 × 10 | 10 | VH2O + LH2O | −8.6 | 217.3 | 12.39 | 0.94 | 24.21 |
| Q-T1MO | H19 | 4 × 10 | 10 | VH2O + LH2O | −5.8 | 220.1 | 8.95 | 0.91 | 21.87 |
| Q-T1MO | H33 | 4 × 6 | 10 | VH2O + LH2O | −4.9 | 222.3 | 7.73 | 0.9 | 21.05 |
| Q-T1MO | H34 | 4 × 6 | 10 | VH2O + LH2O | −2 | 223.7 | 3.39 | 0.86 | 16.99 |
| Q-T1MO | H35 | 3 × 8 | 10 | VH2O + LH2O | −2.5 | 228.7 | 4.18 | 0.86 | 18.22 |
| Q-T1MO | H36 | 4 × 8 | 10 | VH2O + LH2O | −4.1 | 214.8 | 6.59 | 0.9 | 19.36 |
| Q-T2MO | H13 | 4 × 8 | 10 | VH2O + LH2O | −10.2 | 195.5 | 14.15 | 0.98 | 22.87 |
| Q-T2MO | H15 | 4 × 12 | 10 | VH2O + LH2O | −10.4 | 181.7 | 14.36 | 1.00 | 21.37 |
| Q-T2MO | H17 | 8 × 10 | 10 | VH2O + LH2O | −9.4 | 189.7 | 13.29 | 0.98 | 21.68 |
| Q-T2MO | H20 | 10 × 10 | 10 | VH2O + LH2O | −7.3 | 177.4 | 10.86 | 0.97 | 18.85 |
| Q-T2MO | H25 | 10 × 6 | 10 | VH2O + LH2O | −15.1 | 199 | 18.72 | 1.02 | 25.85 |
| Q-T2MO | H26 | 6 × 6 | 10 | VH2O + LH2O | −16.1 | 172.8 | 19.53 | 1.05 | 22.8 |
| Q-T2MO | H27 | 4 × 8 | 10 | VH2O + LH2O | −19.6 | 198.9 | 22.1 | 1.05 | 27.49 |
| Q-T2MO | H28 | 6 × 8 | 10 | VH2O + LH2O | −16.4 | 179.6 | 19.76 | 1.05 | 23.81 |
| Q-T2MO | H29 | 4 × 6 | 10 | VH2O + LH2O | −12.3 | 176.9 | 16.24 | 1.02 | 21.78 |
| Q-T2MO | H95 | 10 × 10 | 10 | VH2O + LH2O + SNaCl | 165.00TNaCl | 30.27 | 1.14 | 5.00 | |
| Q-T2MO | H100 | 10 × 14 | 10 | VH2O + LH2O + SNaCl | 183.60TNaCl | 31.09 | 1.13 | 8.00 | |
| Q-T3MO | H39 | 10 × 8 | 15 | VH2O + LH2O | −13.4 | 127.4 | 17.26 | 1.07 | 16.05 |
| Q-T3MO | H40 | 4 × 12 | 10 | VH2O + LH2O | −9 | 158.8 | 12.85 | 1.00 | 17.92 |
| Q-T3MO | H42 | 4 × 8 | 15 | VH2O + LH2O | −20.7 | 177.5 | 22.85 | 1.08 | 24.84 |
| Q-T3MO | H43 | 10 × 16 | 20 | VH2O + LH2O | −19.2 | 186.5 | 21.82 | 1.06 | 25.66 |
| Q-T3MO | H45 | 6 × 6 | 10 | VH2O + LH2O | −11.5 | 170.8 | 15.47 | 1.02 | 20.65 |
| Q-T3MO | H47 | 8 × 10 | 15 | VH2O + LH2O | −12.3 | 190 | 16.24 | 1.01 | 23.4 |
| Q-T3MO | H48 | 10 × 6 | 10 | VH2O + LH2O | −14 | 180.7 | 17.79 | 1.03 | 23.02 |
| Q-T3MO | H49 | 6 × 12 | 10 | VH2O + LH2O | −15.9 | 254.9 | 19.37 | 0.97 | 33.53 |
| Q-T3MO | H51 | 8 × 6 | 15 | VH2O + LH2O | −15 | 159.1 | 18.63 | 1.05 | 20.63 |
| Q-T3MO | H52 | 8 × 6 | 10 | VH2O + LH2O | −13.5 | 209 | 17.34 | 1.00 | 26.38 |
| Q-T3MO | H53 | 8 × 6 | 10 | VH2O + LH2O | −13.5 | 208.5 | 17.34 | 1.00 | 26.32 |
| Q-T3MO | H54 | 8 × 6 | 10 | VH2O + LH2O | −14.4 | 171.5 | 18.13 | 1.04 | 22.01 |
| Q-T3MO | H55 | 6 × 4 | 10 | VH2O + LH2O | −12.8 | 198.1 | 16.71 | 1.00 | 24.66 |
| Q-T3MO | H56 | 6 × 4 | 10 | VH2O + LH2O | −14.2 | 210 | 17.96 | 1.00 | 26.85 |
| Q-T3MO | H57 | 6 × 4 | 10 | VH2O + LH2O | −13.7 | 204.3 | 17.52 | 1.00 | 25.88 |
| Q-T3MO | H58 | 6 × 4 | 10 | VH2O + LH2O | −12.6 | 147 | 16.53 | 1.04 | 18.22 |
| Q-T3MO | H59 | 3 × 12 | 10 | VH2O + LH2O | −14.4 | 214.1 | 18.13 | 1.00 | 27.48 |
| Q-T3MO | H63 | 6 × 12 | 15 | VH2O + LH2O | −11.3 | 169.5 | 15.27 | 1.02 | 20.4 |
| Q-T3MO | H65 | 4 × 8 | 10 | VH2O + LH2O | −11.8 | 190.1 | 15.76 | 1.00 | 23.15 |
| Q-T3MO | H67 | 8 × 6 | 10 | VH2O + LH2O | −8.7 | 205.9 | 12.51 | 0.96 | 23.02 |
| Q-T3MO | H69 | 6 × 4 | 10 | VH2O + LH2O | −15.8 | 197.6 | 19.29 | 1.03 | 25.95 |
| Q-T3MO | H75 | 6 × 10 | 15 | VH2O + LH2O | −6.1 | 164.1 | 9.34 | 0.97 | 16.54 |
| Q-T3MO | H78 | 8 × 6 | 10 | VH2O + LH2O | −10.9 | 143.4 | 14.87 | 1.03 | 17.09 |
| Q-T3MO | H82 | 6 × 8 | 10 | VH2O + LH2O | −3.8 | 197.2 | 6.16 | 0.92 | 17.41 |
| Q-T3MO | H91 | 4 × 10 | 10 | VH2O + LH2O | −12.3 | 179.5 | 16.24 | 1.01 | 22.1 |
| Q-T3MO | H93 | 4 × 6 | 10 | VH2O + LH2O | −11.5 | 197.9 | 15.47 | 0.99 | 23.93 |
| Q-T3MO | H94 | 6 × 10 | 10 | VH2O + LH2O | −7.5 | 176.5 | 11.1 | 0.97 | 18.9 |
Disclaimer/Publisher’s Note: The statements, opinions and data contained in all publications are solely those of the individual author(s) and contributor(s) and not of MDPI and/or the editor(s). MDPI and/or the editor(s) disclaim responsibility for any injury to people or property resulting from any ideas, methods, instructions or products referred to in the content. |
© 2024 by the authors. Licensee MDPI, Basel, Switzerland. This article is an open access article distributed under the terms and conditions of the Creative Commons Attribution (CC BY) license (https://creativecommons.org/licenses/by/4.0/).
Share and Cite
You, X.; Wang, E.; Fu, J.; Men, Y. Multi-Stage Metallogenesis and Fluid Evolution of the Hongtoushan Cu-Zn Volcanogenic Massive Sulfide Deposit, Liaoning Province, China: Constraints from Sulfur Isotopes, Trace Elements, and Fluid Inclusions. Appl. Sci. 2024, 14, 4600. https://doi.org/10.3390/app14114600
You X, Wang E, Fu J, Men Y. Multi-Stage Metallogenesis and Fluid Evolution of the Hongtoushan Cu-Zn Volcanogenic Massive Sulfide Deposit, Liaoning Province, China: Constraints from Sulfur Isotopes, Trace Elements, and Fluid Inclusions. Applied Sciences. 2024; 14(11):4600. https://doi.org/10.3390/app14114600
Chicago/Turabian StyleYou, Xinwei, Ende Wang, Jianfei Fu, and Yekai Men. 2024. "Multi-Stage Metallogenesis and Fluid Evolution of the Hongtoushan Cu-Zn Volcanogenic Massive Sulfide Deposit, Liaoning Province, China: Constraints from Sulfur Isotopes, Trace Elements, and Fluid Inclusions" Applied Sciences 14, no. 11: 4600. https://doi.org/10.3390/app14114600
APA StyleYou, X., Wang, E., Fu, J., & Men, Y. (2024). Multi-Stage Metallogenesis and Fluid Evolution of the Hongtoushan Cu-Zn Volcanogenic Massive Sulfide Deposit, Liaoning Province, China: Constraints from Sulfur Isotopes, Trace Elements, and Fluid Inclusions. Applied Sciences, 14(11), 4600. https://doi.org/10.3390/app14114600

