Abstract
The main objective of this study was (1) to analyze the patterns of acceleration (Ac) and deceleration (Dec) during football matches in elite youth football, both within and between different segments of the match; and (2) to investigate the impact of ball possession and various playing positions on these acceleration and deceleration patterns. To provide a broader explanatory context, the influence of tactical space management was assessed in terms of depth and width. A descriptive comparative design was used, and data were collected during two friendly matches. Player and ball tracking data were collected using a local positioning system. In the attack phase, differences were obtained in the average Ac (first half: 0.42 ± 0.06 m·s−2, second half: 0.38 ± 0.07 m·s−2; p = 0.021, d = 0.50) and average Dec (first half: −0.44 ± 0.09 m·s−2, second half: −0.36 ± 0.08 m·s−2; p = 0.001, d = 0.84). Wingers in the attack phase obtained higher values in maximum Ac (1.65 ± 0.65 m·s−2; p = 0.007, η2 = 0.03), and in the total number of both Ac (68.7 ± 45.22; p = 0.001, η2 = 0.10) and Dec (70.6 ± 45.70; p = 0.001, η2 = 0.10). In the defense phase, full-backs obtained higher values in average Ac (0.53 ± 0.17 m·s−2; p = 0.001, η2 = 0.07) and average Dec (−0.49 ± 0.18 m·s−2; p = 0.001, η2 = 0.05) and wingers in the total number of Ac (43.9 ± 27.30; p = 0.001, η2 = 0.11) and Dec (43.8 ± 28.60; p = 0.001, η2 = 0.10). In young football players, Ac and Dec do not follow a decreasing end throughout the match, and their behavior is uneven depending on ball possession and the position assigned to the player, with the highest demands on Ac/Dec in winger and full-back positions.
1. Introduction
Elite football is characterized as an intermittent team sport, interspersing bouts of high-intensity actions (HIAs) with longer periods of low activity [1,2,3]. These HIA predominantly occur during critical moments of match play, such as goal scoring [4]. Nowadays, football has witnessed an increase in action density and speed, facilitated by game systems that create free peripheral spaces and enable HIAs [5].
Among these HIAs, accelerations (Ac) and decelerations (Dec) are crucial in determining match outcomes, allowing players to adapt to tactical demands, win duels, and create or defend goal attempts [4,6,7]. Ac/Dec are physically and metabolically demanding actions, even when not performed at high speed [5,6,7,8], contributing 5–16% of a player’s total load per match and requiring high rates of force development [9,10]. Increases in the number and duration of acceleration movements are associated with delayed increases in peak heart rate, higher lactate levels, greater perceived fatigue, and an increased risk of muscle damage from heightened concentric and eccentric contractions [11,12], making them indicators of a player’s match-related fatigue state [9,12].
Since 2006, the average number of Ac/Dec per match has risen, increasing by up to 50% [12,13]. Professional footballers, depending on their playing positions, cover around 9 to 13 km per game. They typically sprint 600–1200 m at high speed and perform 60 to 100 accelerations. Similar figures are observed for elite youth players [4,14]. The common practice of evaluating professional football performance using the high-speed running threshold (19.8–25.1 km·h−1) overlooks the energy expenditure associated with Ac/Dec, thus underestimating a player’s workload [15]. Consequently, Ac/Dec could currently serve as more sensitive and predictive of fatigue and consistent physical performance during matches [5,10,11,12,13,14]. Understanding the importance of Ac/Dec in football offers insights for coaches and sports scientists to tailor training to address these high-intensity actions. Acknowledging their significance in workload assessment can improve fatigue monitoring, prevent injuries, and optimize on-field performance [5,10,11,12,13,14].
To measure Ac/Dec effectively, sports performance analysis relies on automatic position detection using global (GPS) [16] and local (LPS) [17] systems. These tools determine movement patterns during matches and training sessions [15,18,19,20], guiding decisions based on player-tracking metrics [15,21,22]. LPS, unlike GPS, utilizes a local infrastructure [21], providing advantages such as the following [17,20,23]: (a) higher sampling rates, enhancing validity and reliability for team sport-specific movement patterns; (b) indoor and large stadium compatibility; (c) improved accuracy in player position detection; (d) device miniaturization, potentially enabling ball tracking; and (e) facilitating tactical analyses. Kinexon Perform LPS is a widely used sports tracking system [17] which has been used at the World Cup in Qatar (FIFA, 2022) and assessed by Blauberger et al. [21], confirming its outstanding accuracy for player and ball tracking in team sports.
Recent research on elite football players, both senior and youth, has observed signs of fatigue such as a decrease in metabolic power [24] and a decline in the ability to accelerate and decelerate as the match progresses, varying by player position [1,2,6,24,25]. Most of these studies point to a decline in the second half of matches, especially greater in the last 20’ of play [2,26,27,28]. Ac/Dec peak in the first 15’ of play, followed by a decline from 15’ to 30’ [1], with losses ranging from 14.9% to 21% throughout the match. After an initial increase at the beginning of the second half, the trend declines steadily [2,10], but there is disagreement on quantifying these variables during a match. Some studies examine changes every 15’ [1,24,26,27,29,30], while others prefer 10’ [14] or 5’ intervals [10,25].
Due to football’s dynamic nature, players in different positions have varying technical-tactical roles, resulting in distinct physical demands [5] and moments of heightened demand during matches [1]. As such, the match context, including the initial formation, tactical strategies regarding the distribution of spaces, and ball possession, must also be considered [4,31]. Few existing studies examining the initial formation of the game reported higher demands for Ac/Dec when distances are shorter and fewer players are available [32], especially in possession-based playing styles like the 3–4–2–1 or 4–4–2 formation [33,34]. Positional differences in Ac/Dec demands lack consensus, with some studies suggesting midfielders [3,11,24], others forwards [1], and still others wingers and full-backs [6,9]. Furthermore, research on young players is limited. Understanding football’s dynamic positions and evolving demands is crucial for the comprehensive analysis of acceleration and deceleration patterns.
Therefore, based on the present considerations, the aim of this research was two-fold: (1) to analyze the patterns of acceleration and deceleration during football matches in elite youth football, both within and between different segments of the match; and (2) to investigate the impact of ball possession and various playing positions on these acceleration and deceleration patterns. To provide a broader explanatory context, the influence of tactical space management was assessed in terms of depth and width.
2. Materials and Methods
2.1. Participants
Twenty-five elite youth male players (14.5 ± 0.5 years, weight 64.4 ± 7.40 kg, height 171.3 ± 11.2 cm) belonging to Sevilla Football Club (an elite Spanish football team) participated in this study. Each participant had a position assigned by the coach, corresponding to central defender (CD, n = 5), full-back (WD, n = 6), winger (WA, n = 5), midfielder (CM, n = 5), and forward (ST, n = 4). Goalkeeper data, although collected, were not included in this study. A total of 33593 accelerations and 33332 decelerations were analyzed (CD: 7998 Ac, 7904 Dec; WD: 5262 Ac, 5188 Dec; WA: 9840 Ac, 9854 Dec; CM: 6358 Ac, 6132 Dec; ST: 4135 Ac, 4254 Dec).
This study respected all the standards established by the Declaration of Helsinki and was approved by the Research Ethics Committee of the University of Granada (code: nº 1162/CEIH/2020). A consent letter was obtained from the club, and the participants were informed of the purposes, procedures, and potential risks of the study and provided with their approval to participate. The anonymity of the participants was preserved throughout the process.
2.2. Design
A descriptive comparative design was used to investigate possible differences in accelerations and decelerations in unofficial football matches. The study was conducted during two friendly matches, played on a standard-size field (105 m × 70 m) during the official competition calendar for the 2022/2023 season. The team they played against were of the same age, category, and league. There was a time difference between games of three weeks. Research has indicated that in addition to impacting the fatigue generated by match accumulations, especially during concentrated periods with up to three matches per week [3,15], Ac/Dec also influence performance within a single match [21]. Conversely, periods of inactivity or lower workload, such as summer breaks, recovery after an injury, or the recent case of confinement due to COVID-19, also increase the risk of injury, especially if they are followed by intensive conditioning phases [35].
2.3. Procedure
For the player and ball tracking data acquisition, a commercially available LPS (Kinexon Sports & Media GmbH, Munich, Germany) was used. Firmware versions and application software versions corresponded to the latest releases on the testing date (APP version: 10.1.15, stream processor version: 10.1.11). The installation and calibration of the system was carried out by technicians of the manufacturer. A total of 18 antennas and 1 base station were evenly distributed around the playing field at the same height level. The calibration required the exact assessment of all antennas’ 3D positions with respect to the local measurement area, using a tachymeter with millimeter accuracy. With the help of these reference positions, the LPS determines the location of the player and ball tags. This calibration procedure is necessary only one time, when the system is installed at a new facility.
For each match, the participants wore a 15 g portable sensor attached between the scapulae by means of a chest vest. The players and ball sensors transmitted time information via ultra-wideband technology (UWB) to the antennas, which then forwarded the signal via a wide local area network to the local static base stations. Afterwards, the time information of all antennas was aggregated by a central computer and combined into positional data. The momentary position of a player was determined with a frequency of 20 Hz and the ball at 50 Hz. The match balls used also incorporated a 14 g sensor that combines an inertial measurement unit (IMU-560 Hz) and an ultra-wideband sensor (UWB). The balls used in this study (Derbystar model) are approved by the International Football Federation (FIFA).
Through Kinexon’s sports analytics software, real-time position and external load data were recorded. Subsequently, they were exported for treatment and analysis with the statistical software R (v. 4.3.1). To construct the minute-by-minute analysis of both matches, the mean and maximum values of Ac/Dec were included in this study, as well as the total number of Ac/Dec (Ac threshold: 2 m/s2, minimum duration 0.5 s, minimum distance 1 m; Dec threshold: −1.5 m/s2, minimum duration 0.5 s). The acceleration values of the players below −6 m/s−2 and above 6 m/s−2 were not taken into account as they could be due to a technical error [28]. The data obtained from the ball made it possible to establish which player and team had possession at all times, and therefore whether they were in the attack or defense phase.
The depth and width of the playing area were determined from the length (long side) and width (short side) of the rectangle on the field covering the average position of each player most distant from each other, excluding the goalkeeper [36].
2.4. Statistical Analysis
Statistical analysis was performed with the statistical computing software R (v 4.1.2., R Core Team, Vienna, Austria). The normality of the variables was analyzed using the Shapiro–Wilk test, and homoscedasticity was analyzed with the Levene test. Means and standard deviations were used for basic descriptions. For the comparisons between groups (match periods, 15’ intervals, or play positions) of continuous variables, non-parametric tests for independent variables, the Mann–Whitney U test and the Kruskal–Wallis test, were used, and to calculate the effect size, Cohen’s d and the Eta-square index, were used. For multiple comparisons, the Wilcoxon post hoc test with Bonferroni correction was used. All reported p values are based on the two-tailed test and the level of statistical significance for all tests was set at 95%.
3. Results
The fluctuations of Ac/Dec throughout the matches are shown in Table 1.
Table 1.
Fluctuations in accelerations and decelerations between periods of the match and in 15 min intervals by attack and defense phases.
When comparing the first and second halves, the results reveal that in attack there are significant differences both in the average Ac (first half: 0.42 ± 0.06 m·s−2, second half: 0.38 ± 0.07 m·s−2; p = 0.021, d = 0.50) and in the average Dec (first half: −0.44 ± 0.09 m·s−2, second half: −0.36 ± 0.08 m s−2; p = 0.001, d = 0.84). Within each period, when analyzing the variables in 15’ intervals, differences were only observed between the 60–75’ and 75–90’ intervals in the average Dec in the defense phase (p = 0.036, η2 = 0.10). Considering both phases, significant differences were obtained in the average Dec between periods (first half: −0.42 ± 0.08 m·s−2, second half: −0.39 ± 0.110 m·s−2; p = 0.005, d = 0.35) as well as between the intervals 46–60’ and 60–75’ in the maximum Dec (p = 0.016, η2 = 0.09) and between the intervals 46–60’ and 75–90’ in the average Dec (p = 0.021, η2 = 0.10).
Figure 1 and Figure 2 reflect the tactical context in which the differences in Ac and Dec occurred between the first and second half of the match, showing the average width and depth of the team. In both the attack and defense phases, the width was greater in the first half, while the depth was greater in the second.
Figure 1.
Tactical line in the attack phase, differentiating by the first (1T) and second half (2T). Ac: acceleration (m·s−2); Dec: deceleration (m·s−2).
Figure 2.
Tactical line in the defense phase, differentiating by the first (1T) and second half (2T). Ac: acceleration (m·s−2); Dec: deceleration (m·s−2).
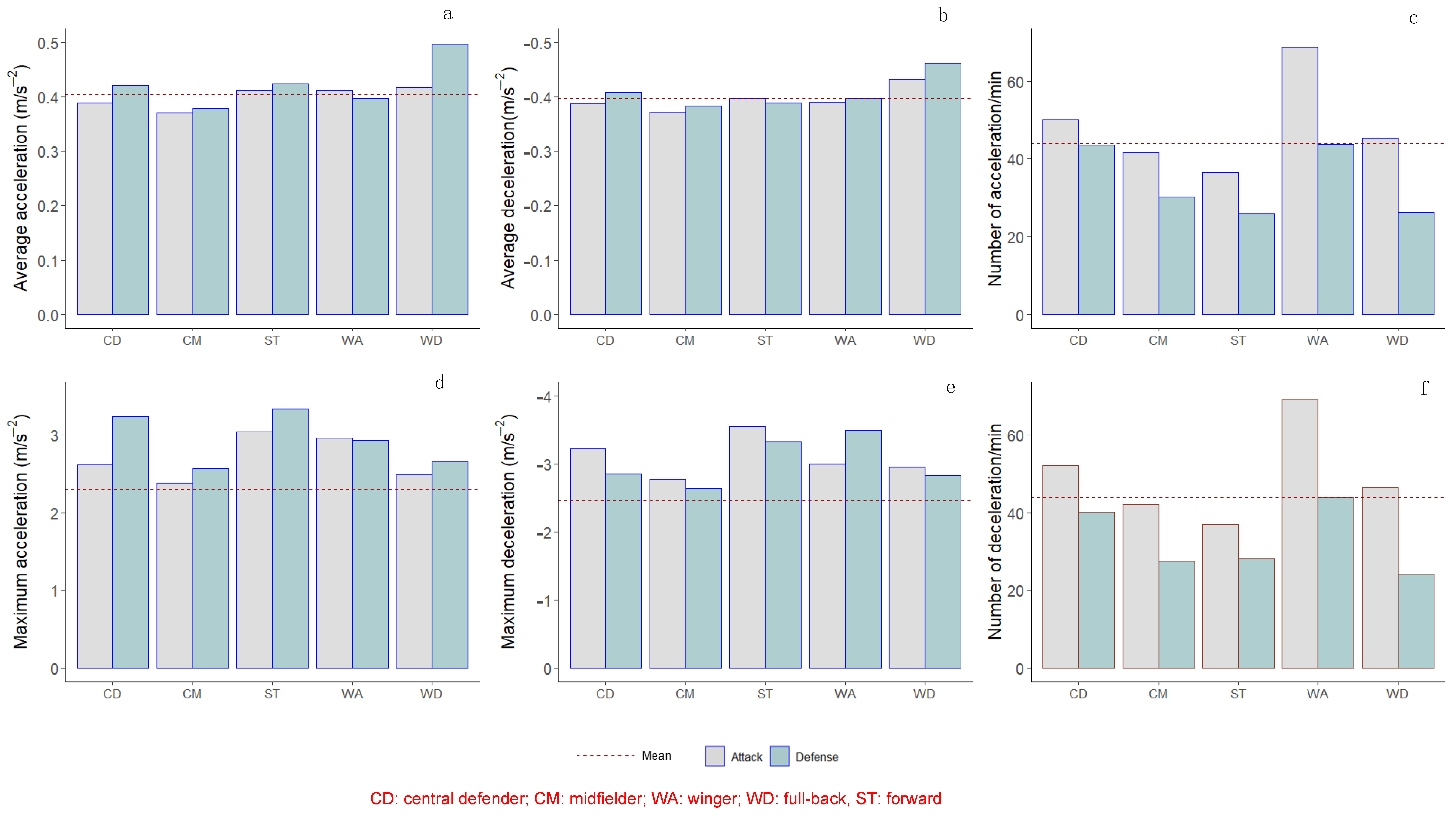
Regarding the comparative analysis of the Ac and Dec depending on the player position (Table 2, Figure 3a–f), the results show the existence of significant differences between positions.
Table 2.
Comparative analysis of Ac and Dec by player positions.
Figure 3.
(a–f) Comparative analysis of Ac and Dec depending on the player position.
In the attack phase, the WA position was the one that obtained the highest values in maximum Ac (p = 0.007, η2 = 0.03), the total number of Ac (p = 0.001, η2 = 0.10), and the total number of Dec (p = 0.001, η2 = 0.10), and the WD position obtained the highest values in the average Dec (p = 0.050, η2 = 0.02). In the defense phase, the WD position was the one that obtained the highest values in average Ac (p = 0.001, η2 = 0.07) and average Dec (p = 0.001, η2 = 0.05), while in the total number of accelerations (p = 0.001, η2 = 0.11) and in the total number of decelerations (p = 0.001, η2 = 0.10), the highest values corresponded to the WA position. Considering both phases, and therefore the entire playing time, the players who occupied the WD position were those who obtained the highest average Ac and Dec (p = 0.004, η2 = 0.07; p = 0.001, η2 = 0.05 respectively), and those who occupied the WA position were those that performed a greater total number of accelerations (p = 0.001, η2 = 0.17) and decelerations (p = 0.001, η2 = 0.16).
4. Discussion
The aim of the present study was the following: (1) to analyze the patterns of acceleration and deceleration during unofficial football matches in elite youth football, both within and between different segments of the match; and (2) to investigate the impact of ball possession and the various playing positions on these acceleration and deceleration patterns. To provide a broader explanatory context, the influence of tactical space management was also evaluated in terms of depth and width. The results show that in possession, the average Ac/Dec do not seem to follow a continuous linear downward trend within each period, although both are between 10–18% lower in the second half compared to the first. However, these differences did not occur in the defensive phase.
These results are partially analogous to those obtained in previous research carried out on elite professional and youth players, which concluded that both Ac and Dec tended to decrease gradually between periods, but also within each period, due to the effect of accumulated physical and mental fatigue [2,14,27,37,38,39]. The underlying mechanism explaining this difference in Ac/Dec behavior is not clear. The mean values of Ac/Dec recorded were 33% lower than those reported in senior players by Thoseby et al. [14]. Therefore, a plausible explanation would be that the intensity of the game was not sufficient to reflect an accumulation of fatigue between the different 15 min intervals, as these were friendly and unofficial matches [40]. Although these differences in intensity could be due to age, as players aged 14–15 have not yet reached their peak of development and physical performance [37], some studies have found no differences in physical performance between senior professional players and youth or between youth and cadets, justifying this by the similarity in training methodology [14,37,40].
In addition to the intermittent nature of football and the demands of the game [5,38], age could also explain the lack of differences in maximum Ac and Dec between the two, as young players lack the necessary experience to regulate and control the rhythm of the game and have greater difficulty in maintaining their physical abilities [37,41]. In any case, studies on these characteristics in young footballers are still scarce and it is difficult to compare the results, since they differ both in methodology and in the analysis of accelerations based on intensity thresholds rather than their absolute values [27].
Regarding the behavior of Ac/Dec as a function of player position, there are studies that have focused on the initial tactical formation and have reported a greater number of Ac/Dec and HIAs in tactical formations where the width of the lines is greater than the depth, such as the 4–4–2 [34,39,42]. Unlike these previous studies, our research used player and ball position data to more accurately determine the spatial distribution of players. Thus, two different tactical approaches in terms of width and depth were observed between the first and second halves of the match, each of which produced significantly different average accelerations. The tactical approach used in the first half, based on a greater width (45 m vs. 36.10 m) but less depth (48.9 m vs. 58.60 m), and therefore fewer distant players but greater use of the sidebands, was the one that produced higher Ac and average Dec. Although further studies are needed to analyze these relationships, these results could be explained by the reduction in individual playing area that this system generates in attack, with less space and time to act [36,43], which implies greater player participation and a style of play based on possession [33,34,44].
On the other hand, our findings can only partially confirm the hypothesis that establishes differences in the physical demands of young players according to the role or position assigned to them on the pitch [45,46,47,48], since all positions showed similar performance. Statistically significant differences were found only in the main variables of the study, Ac and Dec, and these differences were uneven depending on the possession of the ball. The players who had a higher number of Ac/Dec and higher maximum values in the attack phase were WAs. In defense, they also showed higher average Ac/Dec, but it was WDs who accelerated and decelerated more frequently.
Similar research with football players of the same age group, but without differentiating by ball possession, obtained very similar results, also concluding that WAs and WDs perform a greater number of Ac/Dec with respect to CMs, STs, or CDs [37,40,46], and do not differ from the results obtained with senior football players [6,9,28,43]. These differences between positions may be due to the requirements of the role and the needs of the game, since both profiles are continually moving from one field to another to cover spaces or teammates [5,40], but also to tactical decisions regarding pace management, such as the one previously exposed of playing with a greater line width and less depth, in which WAs play in a more central position and generate spaces that are used by WDs to attack [28,33]. These results suggest that, in young football players, both WA and WD positions support higher Ac/Dec and higher intensity, being exposed to greater physical demands and greater risk of injury [5,37], which should be taken into account by strength and conditioning specialists in order to prepare them for the demands of competition by designing position-specific training exercises [49].
In terms of practical implications, our study highlights the importance of adapting training programs for players in positions that require high levels of acceleration and deceleration, such as wingers (WAs) and full-backs (WDs). These players could benefit from specialized training aimed at improving their explosiveness and agility. Furthermore, our research shows how tactical strategies and ball possession can affect the physical demands placed on players during matches. To optimize player performance and minimize fatigue, coaches should adjust team tactics, taking into account the spatial distribution of players on the field and the tactical approach employed. This knowledge can serve as a basis for the development of more effective training programs tailored to the needs of young footballers, ultimately improving performance and reducing the likelihood of injury.
The primary advantage of this study is rooted in the sophisticated data collection methodology employed, centered around a local positioning system, uniquely equipped to provide real-time ball tracking. This innovative approach has yielded exceptional precision and reliability in documenting not only the players’ positions but also their acceleration and deceleration patterns (Ac/Dec). However, this study is not without its limitations. The primary limitation lies in the small sample size and the number of games, resulting in unequal participation among players in terms of minutes. Although the results add to the available knowledge on Ac/Dec, extrapolation to other teams, playing standards, ages, and genders should be performed with caution. Future research should seek to replicate the current study with young players, using a greater number of matches, both training and official, a greater variety of teams, considering women’s football, and possibly seeking to establish comparisons between different positions, formations, game strategies, or ball possession, as well as determining the sensitivity of Ac/Dec to accumulated game time.
It is also necessary that these future studies overcome the lack of standardization that exists in the field with regard to data collection procedures, the classification of positions in the field, the quantification of physical performance variables, and the definition of their intensities and thresholds, since this limits the quality and depth of the analysis, makes it difficult to compare the results, and conditions the possible generalization of the results [43]. Being part of this sporting elite means being part of a minority, which makes this population rare and difficult to study. However, their contributions to sport and health are invaluable. As a result, most studies in sport focus on teams or athletes at lower levels, such as amateurs or recreational players. For this reason, coaches and physical trainers greatly value research such as ours, even if it is carried out with small samples, because of its usefulness in guiding their work. As mentioned above, a recent bibliographic review analyzing accelerations and decelerations in football [43] found that, of a total of 40 recent studies, 36 had samples of less than 25 subjects and the rest had less than 35.
5. Conclusions
The data collection methodology based on a local positioning system provides real-time tracking of the ball and players with exceptional precision and reliability of both position and accelerations. In young football players, although accelerations and decelerations do not follow a decreasing trend throughout the match, both are lower in the second half compared to the first but present an uneven behavior depending on ball possession, the spatial distribution of the team, and the position assigned to the player on the field. The positions with the highest Ac/Dec demands are mainly WAs and to a lesser extent WDs. Consequently, football training and physical preparation must be adapted and individualized taking into account these differences in order to optimize performance and prevent possible injuries.
Author Contributions
J.C.-P., D.F.P., L.M.T., B.R., G.d.S.P., J.E.G.L., J.M.C.G. and M.M.-A. designed the study and wrote the protocol; G.d.S.P. and L.M.T. provided the equipment (sensors, net, and ball) and extracted the data; J.C.-P., L.M.T. and G.d.S.P. recruited the participants and collected the data; J.C.-P., D.F.P., L.M.T. and G.d.S.P. conducted the statistical analysis; J.C.-P., D.F.P., L.M.T., B.R., G.d.S.P. and M.M.-A. wrote the first draft of the manuscript; and all authors commented on previous versions of the manuscript. All authors have read and agreed to the published version of the manuscript.
Funding
This study was supported by the High Council for Sports (CSD), Spanish Ministry of Culture and Sport, through the NESA NETWORK “Spanish Network of Sports Care at Altitude” (RED RADA) funding number: 19/UPB/23. No external funding was received for the study.
Institutional Review Board Statement
The study was conducted according to the guidelines of the Declaration of Helsinki and approved by the Ethics Committee of the University of Granada, Spain (code 1162/CEIH/2020). All participants were informed of the purpose and the implications of the study, and all provided their written informed consent to participate. The results and writing of this manuscript followed the Committee on Publication Ethics (COPE) guidelines on how to deal with potential acts of misconduct, maintaining the integrity of the research and its presentation following the rules of good scientific practice, the trust in the journal, the professionalism of scientific authorship, and the entire scientific endeavor.
Informed Consent Statement
Informed consent was obtained from all subjects involved in the study.
Data Availability Statement
There are restrictions on the availability of data for this trial, due to the signed consent agreements around data sharing, which only allow access to external researchers for studies following the project’s purposes. Requestors wishing to access the trial data used in this study can make a request to mariscal@ugr.es.
Acknowledgments
This study was carried out thanks to the collaboration of Kinexon Sports & Media GmbH, Sevilla Fútbol Club, Sevilla FC Innovation Center, Sports Data Campus, and the Catholic University of Murcia, as part of Javier Conde Pipó Master’s Thesis. The authors thank FSI, the Football Science Institute, for their support.
Conflicts of Interest
The authors declare no conflicts of interest. The authors declare no commercial interests.
References
- Oliva-Lozano, J.M.; Martínez-Puertas, H.; Fortes, V.; Muyor, J.M. When do soccer players experience the most demanding passages of match play? A longitudinal study in a professional team. Res. Sports Med. 2023, 31, 101–111. [Google Scholar] [CrossRef] [PubMed]
- Akenhead, R.; Hayes, P.R.; Thompson, K.G.; French, D. Diminutions of acceleration and deceleration output during professional football match play. J. Sci. Med. Sport 2013, 16, 556–561. [Google Scholar] [CrossRef] [PubMed]
- Muñoz-Castellanos, B.; Rabano-Muñoz, A.; Requena, B.; Suarez-Arrones, L.; Asian-Clemente, J.A. Congested Period in Professional Youth Soccer Players Showed a Different High Decelerations Profile in the Group Performance and a Specific Positional Behaviour. J. Funct. Morphol. Kinesiol. 2022, 7, 108. [Google Scholar] [CrossRef]
- Delaney, J.A.; Thornton, H.R.; Rowell, A.E.; Dascombe, B.J.; Aughey, R.J.; Duthie, G.M. Modelling the decrement in running intensity within professional soccer players. Sci. Med. Football 2018, 2, 86–92. [Google Scholar] [CrossRef]
- Filter, A.; Olivares-Jabalera, J.; Dos’Santos, T.; Madruga, M.; Lozano, J.; Molina, A.; Santalla, A.; Requena, B.; Loturco, I. High-intensity Actions in Elite Soccer: Current Status and Future Perspectives. Int. J. Sports Med. 2023, 44, 535–544. [Google Scholar] [CrossRef]
- Varley, M.C.; Aughey, R.J. Acceleration profiles in elite Australian soccer. Int. J. Sports Med. 2013, 34, 34–39. [Google Scholar] [CrossRef] [PubMed]
- Polglaze, T.; Hoppe, M.W. Metabolic power: A step in the right direction for team sports. Int. J. Sports Physiol. Perform. 2019, 14, 407–411. [Google Scholar] [CrossRef] [PubMed]
- Osgnach, C.; Poser, S.; Bernardini, R.; Rinaldo, R.; Di Prampero, P.E. Energy cost and metabolic power in elite soccer: A new match analysis approach. Med. Sci. Sports Exerc. 2010, 42, 170–178. [Google Scholar] [CrossRef] [PubMed]
- Rhodes, D.; Valassakis, S.; Bortnik, L.; Eaves, R.; Harper, D.; Alexander, J. The effect of high-intensity accelerations and decelerations on match outcome of an elite english league two football team. Int. J. Environ. Res. Public Health 2021, 1, 18. [Google Scholar] [CrossRef] [PubMed]
- Dalen, T.; Lorås, H.; Hjelde, G.H.; Kjøsnes, T.N.; Wisløff, U. Accelerations–a new approach to quantify physical performance decline in male elite soccer? Eur. J. Sport Sci. 2019, 19, 1015–1023. [Google Scholar] [CrossRef]
- Djaoui, L.; Owen, A.; Newton, M.; Nikolaidis, P.T.; Dellal, A.; Chamari, K. Effects of congested match periods on acceleration and deceleration profiles in professional soccer. Biol. Sport 2022, 39, 307–317. [Google Scholar] [CrossRef]
- Hader, K.; Rumpf, M.C.; Hertzog, M.; Kilduff, L.P.; Girard, O.; Silva, J.R. Monitoring the athlete match response: Can external load variables predict post-match acute and residual fatigue in soccer? A Systematic Review with Meta-analysis. Sports Med. Open 2019, 5, 48. [Google Scholar] [CrossRef] [PubMed]
- Nassis, G.P.; Massey, A.; Jacobsen, P.; Brito, J.; Randers, M.B.; Castagna, C.; Mohr, M.; Krustrup, P. Elite football of 2030 will not be the same as that of 2020: Preparing players, coaches, and support staff for the evolution. Scand. J. Med. Sci. Sports 2020, 30, 962–964. [Google Scholar] [CrossRef] [PubMed]
- Thoseby, B.; Govus, A.D.; Clarke, A.C.; Middleton, K.J.; Dascombe, B.J. Peak match acceleration demands differentiate between elite youth and professional football players. PLoS ONE 2023, 18, e0277901. [Google Scholar] [CrossRef] [PubMed]
- Bradley, P.S.; Ade, J.D. Are Current Physical Match Performance Metrics in Elite Soccer Fit for Purpose or is the Adoption of an Integrated Approach Needed? Int. J. Sports Physiol. Perform. 2018, 13, 656–664. [Google Scholar] [CrossRef] [PubMed]
- Aughey, R.J. Applications of GPS technologies to field sports. Int. J. Sports Physiol. Perform. 2011, 6, 295–310. [Google Scholar] [CrossRef] [PubMed]
- Hoppe, M.W.; Baumgart, C.; Polglaze, T.; Freiwald, J. Validity and reliability of GPS and LPS for measuring distances covered and sprint mechanical properties in team sports. PLoS ONE 2018, 13, e0192708. [Google Scholar] [CrossRef] [PubMed]
- de Sousa Pinheiro, G.; Soares, B.H.; Teoldo-Costa, I.; Teoldo-Costa, V. Differences in discriminative reaction time between elite youthfootball players: A comparison between age-categories. Retos 2022, 43, 772–777. [Google Scholar] [CrossRef]
- de Sousa Pinheiro, G.; Quintao, R.C.; Custodio, I.; Casamichana, D.; Couto, B.P. Analysis of relationships between different training load monitoring tools in elite U-20 soccer. Hum. Mov. Spec. Issues 2018, 5, 52–59. [Google Scholar] [CrossRef]
- Fleureau, A.; Lacome, M.; Buchheit, M.; Couturier, A.; Rabita, G. Validity of an ultra-wideband local positioning system to assess specific movements in handball. Biol. Sport 2020, 37, 351–357. [Google Scholar] [CrossRef]
- Blauberger, P.; Marzilger, R.; Lames, M. Validation of Player and Ball Tracking with a Local Positioning System. Sensors 2021, 21, 1465. [Google Scholar] [CrossRef] [PubMed]
- Manchado, C.; Tortosa-Martínez, J.; Pueo, B.; Cortell-Tormo, J.M.; Vila, H.; Ferragut, C.; Sánchez Sánchez, F.; Busquier, S.; Amat, S.; Chirosa Ríos, L.J. High-Performance Handball Player’s Time-Motion Analysis by Playing Positions. Int. J. Environ. Res. Public Health 2020, 17, 6768. [Google Scholar] [CrossRef] [PubMed]
- Alt, P.S.; Baumgart, C.; Ueberschär, O.; Freiwald, J.; Hoppe, M.W. Validity of a Local Positioning System during Outdoor and Indoor Conditions for Team Sports. Sensors 2020, 20, 5733. [Google Scholar] [CrossRef] [PubMed]
- Akyildiz, Z.; Çene, E.; Parim, C.; Çetin, O.; Turan, Ç.; Yüksel, Y.; Silva, R.; Silva, A.F.; Nobari, H. Classified metabolic power-based measures in professional football players: Comparison between playing positions and match period. BMC Sports Sci. Med. Rehabil. 2022, 14, 146. [Google Scholar] [CrossRef] [PubMed]
- Dalen, T.; Aune, T.K.; Hjelde, G.H.; Ettema, G.; Sandbakk, Ø.; McGhie, D. Player load in male elite soccer: Comparisons of patterns between matches and positions. PLoS ONE 2020, 15, e0239162. [Google Scholar] [CrossRef] [PubMed]
- Torreno, N.; Munguia-Izquierdo, D.; Coutts, A.; De Villarreal, E.S.; Asian-Clemente, J.; Suarez-Arrones, L. Relationship between external and internal loads of professional soccer players during full matches in official games using global positioning systems and heart-rate technology. Int. J. Sports Physiol. Perform. 2016, 11, 940–946. [Google Scholar] [CrossRef]
- Kunzmann, E.; Ford, K.R.; Sugimoto, D.; Baca, A.; Hank, M.; Bujnovsky, D.; Mala, L.; Zahalka, F.; Maly, T. Differences in External and Internal Load in Elite Youth Soccer Players within Different Match Timing Zones. Appl. Sci. 2022, 12, 7230. [Google Scholar] [CrossRef]
- Thoseby, B.D.; Govus, A.; Clarke, A.J.; Middleton, K.; Dascombe, B. Positional and temporal differences in peak match running demands of elite football. Biol. Sport 2023, 40, 311–319. [Google Scholar] [CrossRef]
- Jones, R.N.; Greig, M.; Mawéné, Y.; Barrow, J.; Page, R.M. The influence of short-term fixture congestion on position specific match running performance and external loading patterns in English professional soccer. J. Sports Sci. 2019, 18, 1338–1346. [Google Scholar] [CrossRef]
- Russell, M.; Sparkes, W.; Northeast, J.; Cook, C.J.; Love, T.D.; Bracken, R.M.; Kilduff, L.P. Changes in Acceleration and Deceleration Capacity Throughout Professional Soccer Match-Play. J. Strength Cond. Res. 2016, 30, 2839–2844. [Google Scholar] [CrossRef]
- Caldbeck, P.; Dos’Santos, T. How do soccer players sprint from a tactical context? Observations of an English Premier League soccer team. J. Sports Sci. 2022, 40, 2669–2680. [Google Scholar] [CrossRef] [PubMed]
- de Sousa Pinheiro, G.; Quintão, R.C.; Nascimento, V.B.; Claudino, J.G.; Alves, A.L.; da Costa, I.T.; da Costa, V.T. Small-sided games do not replicate all external and internal loads of a football match-play during pre-season: A case study. Int. J. Sports Sci. Coach. 2023, 18, 152–159. [Google Scholar] [CrossRef]
- Arjol-Serrano, J.L.; Lampre, M.; Díez, A.; Castillo, D.; Sanz-López, F.; Lozano, D. The influence of playing formation on physical demands and technical-tactical actions according to playing positions in an elite soccer team. Int. J. Environ. Res. Public Health 2021, 18, 4148. [Google Scholar] [CrossRef] [PubMed]
- Izquierdo, J.M.; Marqués-Jiménez, D.; Redondo, J.C. Running demands and tactical individual actions of wingers appear to depend on the playing formations within an amateur football team. Sci. Rep. 2023, 13, 8927. [Google Scholar] [CrossRef] [PubMed]
- Marotta, N.; de Sire, A.; Gimigliano, A.; Demeco, A.; Moggio, L.; Vescio, A.; Iona, T.; Ammendolia, A. Impact of COVID-19 lockdown on the epidemiology of soccer muscle injuries in Italian Serie A professional football players. J. Sports Med. Phys. Fitness 2022, 62, 356–360. [Google Scholar] [CrossRef] [PubMed]
- Fradua, L.; Zubillaga, A.; Caro, O.; Fernández-García, A.; Ruiz-Ruiz, C.; Tenga, A. Designing small-sided games for training tactical aspects in soccer: Extrapolating pitch sizes from full-size professional matches. J. Sports Sci. 2013, 31, 573–581. [Google Scholar] [CrossRef] [PubMed]
- Vigh-Larsen, J.F.; Dalgas, U.; Andersen, T.B. Position-specific acceleration and deceleration profiles in elite youth and senior soccer players. J. Strength Cond. Res. 2017, 32, 1114–1122. [Google Scholar] [CrossRef] [PubMed]
- Mohr, M.; Krustrup, P.; Bangsbo, J. Match performance of high-standard soccer players with special reference to development of fatigue. J. Sports Sci. 2003, 21, 519–528. [Google Scholar] [CrossRef] [PubMed]
- Borghi, S.; Colombo, D.; La Torre, A.; Banfi, G.; Bonato, M.; Vitale, J.A. Differences in GPS variables according to playing formations and playing positions in U19 male soccer players. Res. Sports Med. 2021, 29, 225–239. [Google Scholar] [CrossRef] [PubMed]
- Morgans, R.; Bezuglov, E.; Orme, P.; Burns, K.; Rhodes, D.; Babraj, J.; Di Michele, R.; Oliveira, R.F. The Physical Demands of Match-Play in Academy and Senior Soccer Players from the Scottish Premiership. Sports 2022, 10, 150. [Google Scholar] [CrossRef]
- Hauer, R.; Störchle, P.; Karsten, B.; Tschan, H.; Baca, A. Internal, external and repeated-sprint demands in small-sided games: A comparison between bouts and age groups in elite youth soccer players. PLoS ONE 2021, 16, e0249906. [Google Scholar] [CrossRef] [PubMed]
- Bradley, P.S.; Carling, C.; Archer, D.; Roberts, J.; Dodds, A.; Di Mascio, M.; Paul, D.; Gomez Diaz, A.; Peart, D.; Krustrup, P. The effect of playing formation on high-intensity running and technical profiles in English FA premier League soccer matches. J. Sports Sci. 2011, 29, 821–830. [Google Scholar] [CrossRef] [PubMed]
- Silva, H.; Nakamura, F.Y.; Beato, M.; Marcelino, R. Acceleration and deceleration demands during training sessions in football: A systematic review. Sci. Med. Football 2023, 7, 198–213. [Google Scholar] [CrossRef] [PubMed]
- Memmert, D.; Raabe, D.; Schwab, S.; Rein, R. A tactical comparison of the 4-2-3-1 and 3-5-2 formation in soccer: A theory-oriented, experimental approach based on positional data in an 11 vs. 11 game set-up. PLoS ONE 2019, 14, e0210191. [Google Scholar] [CrossRef] [PubMed]
- Abbott, W.; Brickley, G.; Smeeton, N.J. Physical demands of playing position within English Premier League academy soccer. J. Hum. Sport Exerc. 2018, 13, 285–295. [Google Scholar] [CrossRef]
- Serpiello, F.R.; Duthie, G.M.; Moran, C.; Kovacevic, D.; Selimi, E.; Varley, M.C. The Occurrence of Repeated High Acceleration Ability (RHAA) in Elite Youth Football. Int. J. Sports Med. 2018, 39, 502–507. [Google Scholar] [CrossRef] [PubMed]
- Suarez-Arrones, L.; Torreño, N.; Requena, B.; Sáez, E.d.V.; Casamichana, D.; Barbero-Alvarez, J.C.; Diego, M.-I. Match-play activity profile in professional soccer players during official games and the relationship between external and internal load. J. Sports Med. Phys. Fit. 2015, 55, 1417–1422. [Google Scholar]
- Sydney, M.G.; Ball, N.; Chapman, D.; Wollin, M.; Mara, J.K. Does competition standard and player position influence the match-play physical demands of Australian elite youth male soccer players within a single squad? Int. J. Sports Sci. Coach. 2021, 16, 360–369. [Google Scholar] [CrossRef]
- Kovacevic, D.; Elias, G.; Ellens, S.; Cox, A.; Serpiello, F.R. Moving Toward a more comprehensive analysis of acceleration profiles in Elite Youth Football. Front. Sports Act. Living 2022, 4, 802014. [Google Scholar] [CrossRef]
Disclaimer/Publisher’s Note: The statements, opinions and data contained in all publications are solely those of the individual author(s) and contributor(s) and not of MDPI and/or the editor(s). MDPI and/or the editor(s) disclaim responsibility for any injury to people or property resulting from any ideas, methods, instructions or products referred to in the content. |
© 2024 by the authors. Licensee MDPI, Basel, Switzerland. This article is an open access article distributed under the terms and conditions of the Creative Commons Attribution (CC BY) license (https://creativecommons.org/licenses/by/4.0/).


