Next Article in Journal
Evaluating the Impact of Environmental and Operational Conditions on the Characteristics of CFRP Epoxy Composites
Previous Article in Journal
Attempts to Obtain Material Based on Polyvinyl Alcohol with Barrier Properties against Water Vapor
 
 
Font Type:
Arial Georgia Verdana
Font Size:
Aa Aa Aa
Line Spacing:
Column Width:
Background:
Article

Effect of Protein (Bovine Serum Albumin) Content on the Frictional Behaviour of Soft Contact Lenses Using a Dynamic Oscillating Tribometer

Centre for Mechanical Engineering, Materials and Processes (CEMMPRE), Department of Mechanical Engineering, University of Coimbra, 3030-788 Coimbra, Portugal
*
Author to whom correspondence should be addressed.
Appl. Sci. 2024, 14(10), 4311; https://doi.org/10.3390/app14104311
Submission received: 10 April 2024 / Revised: 12 May 2024 / Accepted: 17 May 2024 / Published: 20 May 2024

Abstract

Proteins can adsorb on the surface of materials, such as soft contact lenses (SCLs), and can affect the hydrophobicity, roughness, and surface properties of the contact lenses (CLs), which, in turn, can influence the friction between the lenses and the ocular surface. Excessive friction between contact lenses and the ocular surface can lead to discomfort for the wearer and may cause irritation or inflammation of the cornea, better known as corneal ulcers (keratitis). Bovine Serum Albumin (BSA) is often used as a standard protein in biocompatibility testing of materials, including contact lenses. One standard commercial contact lens was tested under lubricated conditions to access the coefficient of friction (CoF). The contact was lubricated with a tear-like fluid (TLF) solution containing six different concentrations of BSA. In all cases, good linearity of the results of the friction force was verified, suggesting that the first friction law can be applied to determine the value of the coefficient of friction. It was found that friction increases with the increase in protein concentration.

1. Introduction

The eye is a lubricated, moving system in the human body, in which the tear film, among other functions, provides protection to the cornea and maintains optical smoothness of vision. The process of blinking, in which the upper eyelid slides over the eyeball until it meets the lower eyelid and then returns upwards, over a total duration of 1 to 3 s, allows the tear film to be renewed and occurs, on average, 12 times per minute [1,2]. From a lubrication point of view, these eye movements are considered to occur under a mainly hydrodynamic lubrication regime. Thus, during most of an intermittent cycle, slip resistance is governed by the viscous shear of the lubricant [3].
The correlation between comfort and friction, and the possibility of predicting the in vivo performance of contact lenses (CLs), based on in vitro experiments, motivated researchers to carry out some studies on the tribological characterization of CLs using commercially available or adapted tribometers.
Zhou et al. (2011) tested senofilcon A-based CLs submerged in saline solution against a stainless-steel sphere (senofilcon A is a new-generation silicone hydrogel material used to manufacture contact lenses and it is FDA-approved). For loads between 0.5 and 100 mN and sliding speeds between 0.0 and 0.5 cm/s, coefficient of friction (CoF) values were obtained between 0.001 and 0.11. Under these conditions, the first law of friction was verified; that is, there was a proportionality between the friction force and the applied load [4]. Additionally, these authors investigated the dependence of friction on sliding speed and, after adjusting the power law, concluded that the CoF is proportional to V0.23. The result suggested that there is a strong attraction between senofilcon A and stainless steel, which is attributed to the low water content of CLs and the larger areas resulting from solid–solid contact [4].
Regarding the lubricating solutions and artificial tears available on the market for the contact lens to remain moist and thus reduce the symptoms of eye irritation and dryness [5], Nairn and Jiang (1995) measured the coefficient of friction of polymacon-based CLs with various ophthalmic solutions. They used a polycarbonate disc as an antagonist material, under contact pressures of 3.5 kPa and obtained a CoF value of 0.640 without lubricant [6], whereas under lubrication, the higher the viscosity of the lubricant, the lower the friction coefficient; that is, the greater the lubrication. This lubrication of the CLs was observed in the mixed lubrication regime; that is, when there was contact between the sliding surfaces and, therefore, the friction coefficient was influenced by both the lubricating properties and the surface properties of the CLs [6]. Sterner et al. (2016) investigated how the CoF value of HSCL materials, acquired at low sliding speeds, is affected by the buffer component and organic composition of the lubricant, and by prolonged exposure to teardrop fluid (FTL). The CoF value of several commercially available CLs (etafilcon A, nelficon A and senofilcon A) was characterized using microtribometry against a mucin-coated glass disk, tested under different lubricating solutions, including an FTL containing proteins and lipids [3] To determine friction, normal loads between 0.25 and 4 mN were chosen, corresponding to a contact pressure range of 1 to 7 kPa, and a sliding speed of 0.1 mm/s. They obtained values of CoF between 0.01 and 0.1 [3].
Silva et al. (2015) investigated the effect of the presence of albumin and cholesterol in the lubricating medium on the friction response of two hydrogels used in CL, a hydrogel based on hydroxyethyl methacrylate (HEMA) (HEMA/PVP), and another based on silicone (TRIS/NVP/HEMA). Tribological tests were carried out using a PMMA sphere as a counterbody and water as a lubricant, in addition to solutions with the biomolecules under study. Reciprocal movement tests were carried out with normal forces of 20 mN and sliding speeds of 7 mm/s. In the absence of biomolecules, the CoF was quite similar for both hydrogels, with values between 0.25 and 0.3. The authors observed a significant increase in friction for HEMA/PVP when the lubricant included cholesterol and for TRIS/NVP/HEMA when it contained albumin [7]. Urueña et al. (2011) studied the influence of hyaluronic acid as a lubricant in CL systems. Two types of commercially available CL were tested (senofilcon A and balafilcon A) with different lubricant concentrations, loads, and speeds. Using a borosilicate glass pin, normal loads between 2 and 20 mN, and sliding speeds of 20 to 3600 μm/s, they verified values of CoF of the order of magnitude of 0.6 in saline solution and a significant reduction in this value in hyaluronic acid [8]. Samson et al. (2015) studied the ability of proteoglycan 4 (PRG4) to lubricate and adhere to CLs and demonstrated that PRG4 significantly reduces friction against corneal and eyelid tissues. As PRG4 in solution was able to effectively lubricate CLs based on senofilcon A and narafilcon A, they suggested that this protein, when used as a lubricant or in the constitution of CL, may have the clinical capacity to reduce friction and improve comfort in alive [9]. With the aim of investigating and associating the deposition of lysozyme, the most abundant tear protein, and friction between the contact lens and the eye with discomfort and ocular changes, Su et al. (2018) developed a preservative-free CL care solution to investigate whether it could effectively remove lysozyme and provide lubrication. Two CL materials were studied, etafilcon A and polymacon, using a rotational tribometer based on the measurement of friction force. A polyethylene (PE) support was used for the CL, and a quartz glass was used as a counterbody, with normal loads of 60 mN and rotation speeds of 1 rpm and testing times of 900 s [10]. The results suggested that the deposition of lysozyme on the surface of the material increases the friction between the contact lens and the glass, and when adding the lubricating solution, the friction coefficient decreases significantly for non-ionic CL. In other words, they showed that the preservative-free solution can effectively reduce the friction caused by lysozyme for non-ionic CL under certain test conditions. However, the effect of the solution on CL behaviour will be different when all tear components are present [10].
The main objective of this work is to study the influence of BSA (Bovine Serum Albumin) protein content on the friction of soft contact lenses. For this purpose, a new methodology was used, which consists of using a tribometer with the operating principle of a pendulum with horizontal movement, and the study of friction is based on the evaluation of the dissipated energy along the free vibration response of the system after the application of a mechanical impulse.

2. Materials and Methods

2.1. Short Description to the Oscillating Dynamic Tribometer Technique

The present methodology consists of studying the feasibility of using a vibration technique to simulate the tribological behaviour of CLs in the eye. This technique was developed by Den Hartog [11] and was used by Rigaud et al. (2010), who developed a device called an “oscillating dynamic tribometer”, which is schematized in Figure 1 [12]. In previous papers, this technique was used to characterize the friction of contact lenses and to discriminate the effect of aging [13,14].
In addition, this work will evaluate the effect of protein concentration on the friction of soft contact lenses.
This tribometer is based on a horizontally moving pendulum and aims to identify the different contributions of friction in lubricated systems, based on the analysis of the free response of a damped oscillator of one degree of freedom [13].
Basically, this device consists of a spherical-plane contact geometry tribometer that exhibits reciprocating movement. It includes a pair of flexible blades that allow the pin to swing in a horizontal direction. Initially, a displacement is applied to the pin and fixed in the extreme position, verifying a deviation parallel to the sliding direction. When the pin is released, the elastic energy accumulated in the blades is released, producing oscillations in the system. The laser vibrometer allows identification of the dynamic response of the system, namely the simultaneous measurement of speed and vibrational displacement [12]. The capacity of this device was verified by carrying out tests on a tribological system corresponding to steel surfaces lubricated with glycerol, for various contact pressures. The authors found that, unlike non-contact systems, which are characterized by purely viscous damping, contact friction is characterized by velocity-dependent and -independent contributions. Furthermore, additional tests using glycerol and water solutions confirmed that the speed-dependent part of contact friction is related to the viscosity of the lubricant [12]. The methodology used by Rigaud et al. (2010) thus allowed clear characterization of the different friction contributions, both dependent and independent of speed, in contact friction, and showed high accuracy and precision in measuring low friction coefficients [12]. These results suggest that vibration friction tribology has vast, but still insufficiently explored, potential.

2.2. Methodology

The present research work therefore intends to use and validate the method, based on the evaluation of the free damping vibration response, for the tribological study of CLs against glass for different BSA concentrations.
To simulate the assembly made up of the eye and contact lens, the tribometer developed and used by our research team, as illustrated in Figure 2, has a glass counterbody (2) and a silicone semi-sphere (3) on which the contact lens is placed. Above the glass plane is a mass (1) that imparts a force to the contact lens, its normal force (value of 100 mN). A blade (4) is attached to the holder where the contact lens is placed, which, when an initial force is applied, deforms until it reaches equilibrium.
In order to ensure that the same conditions were observed in all friction tests carried out and there were no variations in the procedure, an experimental protocol was defined, which consisted of the following steps: (1) Place the contact lens, after removing it directly from its different BSA solution concentrations, on the silicone support and then lubricate it with a drop of prepared solution; (2) change the placement of the weight, on its support, corresponding to the desired normal force of 100 mN; (3) manually move the contact lens holder to a fixed position to apply the same initial mechanical energy to the system; (4) release it from the system and acquire the displacement signal as a function of time by a piezoelectric sensor connected to a PicoScope® (PicoScope 7 T&M) oscilloscope, corresponding to the signal of free vibration movement with energy dissipation; (5) analyse the graph of the variation of the system’s displacement over time, as shown in Figure 3, using the MATLAB® program.
It was defined that, for each protein concentration value, three tests were carried out. This means that the final values obtained corresponded to the result of the statistical treatment of the results of the three repetitions carried out immediately after each other, without any changes in the conditions.

Reverse Analysis

The friction coefficient was deduced by inverse analysis; that is, by comparing the experimental curve of free vibration with energy dissipation with the curve obtained by integrating the theoretical equation of motion, using the RMSE (Root Mean Square Error), value as the optimization criterion. The integration of the differential equations was carried out numerically, in the MATLAB® program, where the 4th order Runge–Kutta numerical integration method was used, through the ode45 function, with an integration step equal to the acquisition rate. When optimizing the experimental method, it was found that the friction model, adjusted based on the experimental results represented by Equation (1).
m x ¨ t + c x ˙ t + k x t = F ( t )
Carvalho et al. (2021) fully described this method [13] and a flowchart of the experimental protocol followed was presented by Vilhena et al. (2023) [14].

2.3. Specimens

During friction tests, sterile hydrophilic Alcon® (Fort Worth, TX, USA) contact lens was used (67% lotrafilcon B, 33% water), immersed in phosphate–saline buffer solution 0.2% VP/DMAEMA and 0.04% polyoxyethylene-polyoxybutylene as humectants.
Different solutions containing sodium hyaluronate eye drops (sterile and isotonic solution containing sodium hyaluronate BP (0.2% w/v), polyhexanide, sodium chloride phosphate-buffered solution) and six different concentrations of BSA were produced (0, 0.13, 0.25, 0.50, 1, and 2 mg/mL). The physical properties of BSA can be seen in Table 1.
The procedure followed was as follows: The lenses were removed from their respective packaging and placed in the six different solutions for 12 h. They were then removed from the intermediate packaging and placed in the respective tribometer and their friction was determined. The value determined for friction was for the tribological pair composed of the contact lenses sliding on a glass coverslip.

3. Results

3.1. Physical Constants of the System

Firstly, it was necessary to carry out a numerical study to verify the sensitivity of the energy-controlling parameters, namely the stiffness constant and the mass of the system. To this end, tests were carried out without any contact to investigate the damping and dynamic characteristics of the system. Thus, to calculate the system’s physical constants, the system’s energy dissipation was characterized by acquiring the system’s response in free vibration, which is visible in Figure 3.
There was a response characterized by an oscillatory movement of constant frequency and an exponential decrease in the amplitude of the maximum peaks over time. This means that energy dissipation occurs fundamentally in viscous form and can be modelled by an under-damped system in free vibration. Thus, the law of motion of this system is given by Equation (2).
x t = x 0 e ξ w n t c o s w a t
Considering the law of motion only for the values of the maximum peaks, where cos (wat) = 1 occurs, Equation (3) was obtained.
x t = x 0 e ξ w n t
The damped natural frequency of the system wa can be calculated by Equation (4)
w a = 2 π T a
where Ta is the average period, measured directly from the curve in Figure 3. It results in a damped frequency value of system wa of 123.10 rad/s2, which is considered to be equal to the vibration frequency of system wn. Considering the value of the vibration frequency wn and that the exponential adjustment of the maximum peaks of the curve in Figure 3 is represented by an equation similar to Equation (3), it is possible to obtain the value of the damping factor ξ. In this case, the value of 7.14 × 10−3 was obtained. Now, knowing the value of the vibration frequency of system wn and the spring stiffness constant k, it is possible to obtain the value of the mass of system m using Equation (5).
w n = K m   m = k w n 2
The value of the spring stiffness constant k was experimentally obtained in previous studies, corresponding to 265 N/m. Thus, the extracted value of the mass of system m is 17.49 g. Finally, it is possible to calculate the damping constant c using Equation (6), where a value of 0.031 Ns/m was obtained.
ξ = c 2 k m   c = 2 ξ k m
Based on the above, the physical constants characteristic of the experimental method are presented in Table 2.
It should be noted that three tests were carried out, with the values considered the average of those obtained in the different tests. The constants obtained present a ratio between the standard deviation and the mean of the order of magnitude of 10−3, as it is much lower than 10−1, the results are considered a good experimental approximation. By substituting the physical constants of the system in Equation (2), the theoretically expected response curve is obtained. By comparing this curve with those obtained experimentally for the different tests, as visible in Figure 4, very low RMSE values were identified, in the order of 10−2, meaning a high similarity between the results.
The physiological operating conditions of contact lenses allow us to conclude that contact occurs under lubricated conditions. The main relative movement is the alternating movement of the eyelid over the lens; although the conditions are a function of a physiological response and vary from person to person, contact pressure values are in the order of 5 to 10 kPa and the speed can reach values in the order of 200 mm/s in certain response conditions [2].
Taking these conditions into account, the test system to be used must be capable of the following.
-
Using a soft support with a radius of approx. 10 mm to support the contact lenses;
-
Alternative movement;
-
Applying low-normal forces, from 0.015 to 0.12 N;
-
Speeding up to approximately 200 mm/s;
-
Measuring tangential forces of the order of 75 × 10−6 N.
Considering the mechanical constants of the tribometer summarized in Table 2, a numerical study was performed to verify if the sensitivity was sufficient to discriminate the influence of several variables.
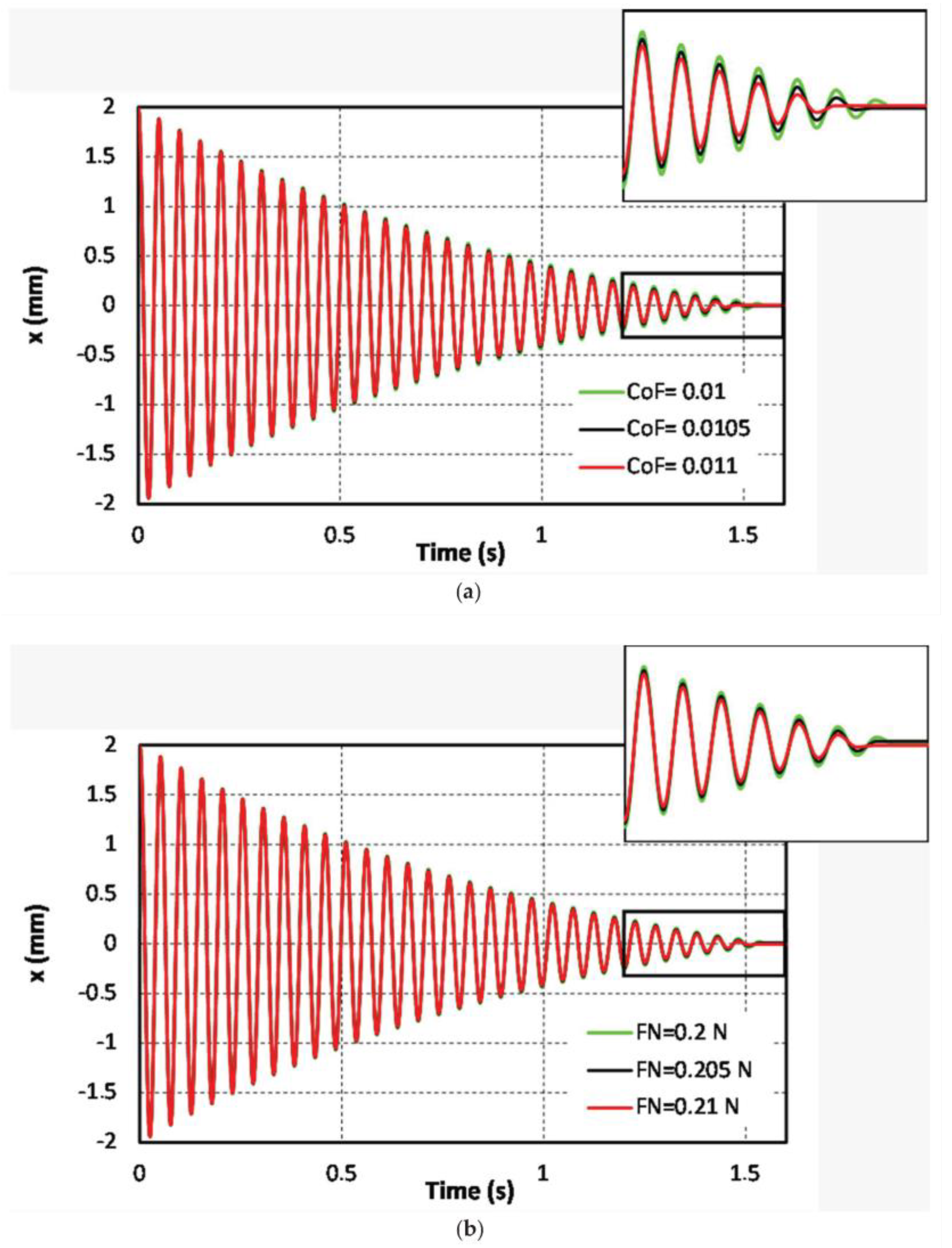
Figure 5a,b display the results of the several studied cases to appraise the sensitivity concerning the coefficient of friction (CoF) and the normal force. The results allow us to conclude that the used configuration of the tribometer sensitivity is at least 0.0005 with regard to the friction coefficient (which corresponds to a friction force sensitivity of 0.1 mN) and 5 mN with regard to the normal load.

3.2. Effect of BSA Concentration

In Figure 6, a typical experimental curve of the response of the system in free vibration with energy dissipation by friction in lubricated contact between a contact lens and glass for a BSA concentration of 2 mg/mL is presented. Additionally, the theoretical curve is represented; it was obtained via a numerical integration of the second-order differential equation (Equation (1)). In all cases studied, an almost perfect comparison of results was verified by comparing the two curves, with RMSE values lower than 10−4. The value obtained for the coefficient of friction (COF) for an applied load of 100 mN was 0.09.
Figure 7 shows a comparison of the response of the system in free vibration with energy dissipation by friction in lubricated contact between a contact lens and glass for a BSA concentration of 1 and 2 mg/mL. It is possible to observe that the system’s response to a concentration of 2 mg/mL presents a much greater loss of amplitude; that is, the energy dissipation due to friction is faster, meaning that there is a greater amount of friction (COF2mg/mL = 0.09 and COF1mg/mL = 0.023). This allows us to conclude that the increase in BSA content from 1 to 2 mg of BSA/mL induced a rise in the coefficient of friction of around four times.
In Figure 8, the results for the coefficient of friction were plotted as a function of the different BSA concentrations (0, 0.13, 0.25, 0.50, 1, and 2 mg/mL. For a small concentration of up to 0.25 mg/mL, the friction remains at low values. However, for concentrations of BSA over 0.5 mg/mL, the protein induced a significant increase in the coefficient of friction.
For BSA concentrations between 0 and 0.5 mg/L, there was a minimum value for the coefficient of friction around 0.01. It is also noticeable that for BSA concentrations equal to or less than 0.5 mg/L, the respective standard deviations presented values significantly higher than those recorded for concentrations equal to or greater than 1 mg/L.
This behaviour can be justified, since for BSA concentrations lower than 0.5 mg/L, the protein chains can contribute to an increase in the viscosity of the fluid, thus contributing to a separation of the tribopair and, consequently, lower friction. For concentrations greater than 0.5 mg/L, excess protein can give the tribopair a certain rigidity and consequently an increase in friction.
This behaviour somewhat mimics the real feelings of a contact lens wearer. Most of the solutions used to preserve and hydrate contact lenses at night also have the function of deproteinizing and breaking down the long protein chains that accumulate on the surface of the lenses during the day and create a feeling of discomfort.
In this regard, several authors [16,17,18,19,20] have studied the compatibility between the material of different contact lenses and the surrounding ocular tissues and fluids, as well as the degradation of contact lenses with the accumulation of secretions and the subsequent damage to the corneal epithelial tissue.
Shinmori et al. [21] observed that proteins had a definitive impact on the friction and wear process. Proteins adsorbed on the UHMWPE surface and increased friction and wear by changing the predominant friction and wear mechanism from abrasive to adhesive. Phospholipids also increased friction, while hyaluronic acid decreased friction by increasing the viscosity of the lubricants. However, when phospholipids and hyaluronic acid were mixed with proteins, they enhanced the entrainment of the protein molecules, increasing the wear of UHMWPE.
As presented in the introduction, different authors have already studied the effect of the concentration of different proteins on the friction of soft contact lenses [3,7,10]. Silva et al. [3] studied the effect of albumin and cholesterol (two of the main components of the lacrimal fluid) on the frictional response of distinct types of hydrogels suitable for CLs. As a general conclusion, a significant increase in the friction coefficient was observed when the lubricant contained cholesterol, and also when it contained albumin. According to the same authors [3], the increase in friction was associated with the characteristics of the protein film formed, which had more viscoelastic or rigid characteristics.
In this regard, Peta et al. [22] studied the effect of surface roughness on surface energy and wettability and concluded that this factor is directly related to lubrication and the friction levels obtained.
Su et al. [10], who studied the effect of contact lens care solution on lysozyme adsorption, concluded that the use of the solution can greatly reduce the friction caused by the accumulation of lysozyme on the surface of the soft contact lenses.
In general, these studies corroborate the results we present in this study, in which a significant increase in friction is visible for concentrations of the order of 2 mg/mL. However, the nature of the hydrodynamic film formed on the surface of the lenses depends on the materials used and their interaction with both the tear-like fluid and the proteins used.

4. Conclusions

The work developed and presented in this research paper incorporates a friction evaluation method based on the evaluation of the energy dissipated by friction during free vibration, with the potential to be included in the routine objective evaluation and characterization of biomaterials such as CL. The results demonstrate the credibility of the data obtained by the experimental method in characterizing the friction of materials such as CL. With this work, we obtained a more complete understanding of the behaviour of the materials studied, as well as the changes in properties that occur as a result of protein accumulation. The main conclusions drawn based on our findings are as follows:
  • This technique has sufficient sensitivity for biologically relevant conditions, namely low pressures and sliding speed;
  • Changes in the properties of CLs caused by factors such as protein accumulation can be correlated with in vivo comfort and are mainly reflected in the friction coefficient values obtained between the contact lens and the eyelid;
  • An increase in BSA content results in an increase in friction values.

Author Contributions

Conceptualization, L.V. and A.R.; methodology, L.V. and A.R.; software, L.V. and A.R.; validation, L.V. and A.R.; formal analysis, L.V. and A.R.; investigation, L.V. and A.R.; resources, L.V. and A.R.; data curation, L.V. and A.R.; writing—original draft preparation, L.V. and A.R.; writing—review and editing, L.V. and A.R.; visualization, L.V. and A.R.; supervision, L.V. and A.R.; project administration, L.V. and A.R.; funding acquisition, L.V. and A.R. All authors have read and agreed to the published version of the manuscript.

Funding

This research received no external funding.

Institutional Review Board Statement

Not applicable.

Informed Consent Statement

Not applicable.

Data Availability Statement

The raw data supporting the conclusions of this article will be made available by the authors on request.

Acknowledgments

This research is sponsored by national funds through FCT—Fundação para a Ciência e a Tecnologia, under the project UIDB/00285/2020. Special thanks to UOC—Unidade de Oftalmologia de Coimbra, S.A. for supplying the contact lenses that served as the basis for the frictional tests.

Conflicts of Interest

The authors declare no conflicts of interest.

References

  1. Dunn, A.C.; Tichy, J.A.; Urueña, J.M.; Sawyer, W.G. Lubrification Regimes in Contact Lens Wear During a Blink. Tribol. Int. 2013, 63, 45–50. [Google Scholar] [CrossRef]
  2. Kwon, K.-A.; Shipley, R.J.; Edirisinghe, M.; Ezra, D.G.; Rose, G.; Best, S.M.; Cameron, R.E. High-speed Camera Characterization of Voluntary Eye Blinking Kinematics. J. R. Soc. Interface 2013, 10, 20130227. [Google Scholar] [CrossRef] [PubMed]
  3. Sterner, O.; Aeschlimann, R.; Zurcher, S.; Scales, C.; Riederer, D.; Spencer, N.D.; Tosatti, S.G.P. Tribological Classification of Contact Lenses: From Coefficient of Friction to Sliding Work. Tribol. Lett. 2016, 63, 9. [Google Scholar] [CrossRef]
  4. Zhou, B.; Li, Y.; Randall, N.X.; Li, L. A study of the Frictional Properties of Senofilcon-A Contact Lenses. J. Mech. Behav. Biomed. Mater. 2011, 4, 1336–1342. [Google Scholar] [CrossRef] [PubMed]
  5. Lentes de Contacto 365. Available online: https://www.lentesdecontacto365.pt/bausch-lomb-lubrificante (accessed on 30 October 2018).
  6. Nairn, J.A.; Jiang, T.-b. Measurement of the Friction and Lubricity Properties of Contact Lenses. In Proceedings of the ANTEC’95, Boston, MA, USA, 7–11 May 1995. [Google Scholar]
  7. Silva, D.; Fernandes, A.C.; Nunes, T.G.; Colaço, R.; Serro, A.P. The Effect of Albumin and Cholesterol on the Biotribological Behavior of Hydrogels for Contact Lenses. Acta Biomater. 2015, 26, 184–194. [Google Scholar] [CrossRef] [PubMed]
  8. Urueña, J.M.; Dunn, A.C.; Sawyer, W.G. Contact Lens Boundary Lubrification and Friction Reduction with Hyaluronic Acid. Tribol. Lubrif. Technol. 2011, 67, 2. [Google Scholar]
  9. Samson, M.; Chan, A.; Iwabuchi, Y.; Subbaraman, L.; Jones, L.; Schmidt, T. In Vitro Friction Testing of Contact Lenses and Human Ocular Tissues: Effect of Proteoglycan 4 (PRG4). Tribol. Int. 2015, 89, 27–33. [Google Scholar] [CrossRef]
  10. Su, C.-Y.; Lai, C.-C.; Yeh, L.-K.; Li, K.-Y.; Shih, B.-W.; Tseng, C.-L.; Fang, H.-W. The Characteristics of a Preservative-free Contact Lens Care Solution on Lysozyme Adsorption and Interfacial Friction Behavior. Colloids Surf. B Biointerfaces 2018, 171, 538–543. [Google Scholar] [CrossRef] [PubMed]
  11. Den Hartog, J.P. Forced Vibrations with Combined Coulomb and Viscous Friction. Trans. ASME 1931, 53, 107–115. [Google Scholar] [CrossRef]
  12. Rigaud, E.; Perret-Liaudet, J.; Belin, M.; Joly-Pottuz, L.; Martin, J.-M. An Original Dynamic Tribotest to Discriminate Friction and Viscous Damping. Tribol. Int. 2010, 43, 320–329. [Google Scholar] [CrossRef]
  13. Carvalho, A.L.; Vilhena, L.M.; Ramalho, A. Study of the frictional behaviour of soft contact lenses by an innovative method. Tribol. Int. 2021, 153, 106633. [Google Scholar] [CrossRef]
  14. Vilhena, L.; Ramalho, A. Assessment of friction in aged soft contact lenses by an innovative method. J. Mech. Behav. Biomed. Mater. 2023, 145, 106036. [Google Scholar] [CrossRef] [PubMed]
  15. Available online: https://www.sigmaaldrich.com/PT/en/technical-documents/technical-article/cell-culture-and-cell-culture-analysis/cell-culture-media-preparation/albumin-from-bovine-serum (accessed on 1 May 2023).
  16. Lira, M. Uso de Lentes de Contacto: Deterioração das suas Propriedades e Alterações Fisiológicas Associadas. Ph.D. Thesis, Universidade do Minho, Escola de Ciências, Guimarães, Portugal, 2007. [Google Scholar]
  17. Mann, A.; Tighe, B. Ocular Biotribology and the Contact Lens: Surface Interactions and Ocular Response. In Biomaterials and Regenerative Medicine in Ophthalmology; Woodhead: London, UK, 2016; pp. 45–74. [Google Scholar]
  18. Méijome, J.M.G. Objective Analysis of Properties and Material Degradation in Contact Lens Polymers Using Different Techniques. Ph.D. Thesis, Universiade do Minho, Escola de Ciências, Guimarães, Portugal, 2007. [Google Scholar]
  19. Vitorino, Â.M.d.S. Avaliação da Qualidade Ótica da Superfície das Lentes de Contacto Descartáveis Durante o Uso. Master’s Thesis, Universiade do Minho, Escola de Ciências, Guimarães, Portugal, 2011. [Google Scholar]
  20. Hodfmann, G.; Jubin, P.; Gerligand, P.; Gallois-Bernos, A.; Franklin, S.; Smulders, N.; Gerhardt, L.-C.; Valster, S. In-vitro method for determining corneal tissue friction and damage due to contact lens sliding. Biotribology 2016, 5, 23–30. [Google Scholar] [CrossRef]
  21. Shinmori, H.; Kubota, M.; Morita, T.; Yamaguchi, T.; Sawae, Y. Effects of Synovial Fluid Constituents on Friction between UHMWPE and CoCrMo. Tribol. Online 2020, 15, 283–292. [Google Scholar] [CrossRef]
  22. Peta, K.; Bartkowiak, T.; Rybicki, M.; Galek, P.; Mendak, M.; Wieczorowski, M.; Brown, C.A. Scale-dependent wetting behavior of bioinspired lubricants on electrical discharge machined Ti6Al4V surfaces. Tribol. Int. 2024, 194, 109562. [Google Scholar] [CrossRef]
Figure 1. Schematic of the mechanical device used by Rigaud et al. (2010) [12].
Figure 1. Schematic of the mechanical device used by Rigaud et al. (2010) [12].
Applsci 14 04311 g001
Figure 2. Vibration tribometer developed at our research lab, comprising a pivoted loading arm (1); glass counterbody (2); silicone semi-sphere (3); flexible blade (4).
Figure 2. Vibration tribometer developed at our research lab, comprising a pivoted loading arm (1); glass counterbody (2); silicone semi-sphere (3); flexible blade (4).
Applsci 14 04311 g002
Figure 3. System response in free vibration and respective exponential adjustment of maximum peaks.
Figure 3. System response in free vibration and respective exponential adjustment of maximum peaks.
Applsci 14 04311 g003
Figure 4. Comparison of the system response obtained in free vibration experimentally and theoretical curve.
Figure 4. Comparison of the system response obtained in free vibration experimentally and theoretical curve.
Applsci 14 04311 g004
Figure 5. Sensitivity estimation of the (a) coefficient of Friction; (b) normal force.
Figure 5. Sensitivity estimation of the (a) coefficient of Friction; (b) normal force.
Applsci 14 04311 g005
Figure 6. Evolution of the displacement with time for experimental (orange line) and theoretical curves (blue line) for 2 mg/mL BSA concentration and 100 mN applied normal load (test 2 of 3, COF = 0.09).
Figure 6. Evolution of the displacement with time for experimental (orange line) and theoretical curves (blue line) for 2 mg/mL BSA concentration and 100 mN applied normal load (test 2 of 3, COF = 0.09).
Applsci 14 04311 g006
Figure 7. Comparison of the evolution of the displacement with time for experimental curves with different BSA concentrations (1 and 2 mg/mL) and 100 mN applied Normal load (COF2mg/mL = 0.09 and COF1mg/mL = 0.023).
Figure 7. Comparison of the evolution of the displacement with time for experimental curves with different BSA concentrations (1 and 2 mg/mL) and 100 mN applied Normal load (COF2mg/mL = 0.09 and COF1mg/mL = 0.023).
Applsci 14 04311 g007
Figure 8. Evolution of the coefficient of friction with the Bovine Serum Albumin concentration (applied normal force of 100 mN).
Figure 8. Evolution of the coefficient of friction with the Bovine Serum Albumin concentration (applied normal force of 100 mN).
Applsci 14 04311 g008
Table 1. Physical properties of Bovine Serum Albumin [15].
Table 1. Physical properties of Bovine Serum Albumin [15].
pI in Water at 25 °CFatty Acid Depleted—5.3, Endogenous Material—4.7; 4.9
pH of 1% Solution5.2–7
Optical Rotation[α]259: −61°; [α]264: −63°
Stokes Radius (r s)3.48 nm
Sedimentation constant, S 20, W × 10134.5 (monomer), 6.7 (dimer)
Diffusion constant, D 20, W × 1075.9
Partial specific volume, V200.733
Intrinsic viscosity, η0.0413
Frictional ratio, f/f 01.30
Overall dimensions, Å40 × 140
Refractive index increment (578 nm) × 10−31.90
Optical absorbance, A279 nm (1 g/L)0.667
Mean residue rotation [m′]2338443
Mean residue ellipticity21.1 [θ]209 nm; 20.1 [θ]222 nm
Estimated α-helix, %54
Estimated β-form %18
Table 2. Physical constants of the system.
Table 2. Physical constants of the system.
k [N/m]wn [rad/s2] ξm [g] c [Ns/m]
265123.107.14 × 10−317.490.031
Disclaimer/Publisher’s Note: The statements, opinions and data contained in all publications are solely those of the individual author(s) and contributor(s) and not of MDPI and/or the editor(s). MDPI and/or the editor(s) disclaim responsibility for any injury to people or property resulting from any ideas, methods, instructions or products referred to in the content.

Share and Cite

MDPI and ACS Style

Vilhena, L.; Ramalho, A. Effect of Protein (Bovine Serum Albumin) Content on the Frictional Behaviour of Soft Contact Lenses Using a Dynamic Oscillating Tribometer. Appl. Sci. 2024, 14, 4311. https://doi.org/10.3390/app14104311

AMA Style

Vilhena L, Ramalho A. Effect of Protein (Bovine Serum Albumin) Content on the Frictional Behaviour of Soft Contact Lenses Using a Dynamic Oscillating Tribometer. Applied Sciences. 2024; 14(10):4311. https://doi.org/10.3390/app14104311

Chicago/Turabian Style

Vilhena, Luís, and Amílcar Ramalho. 2024. "Effect of Protein (Bovine Serum Albumin) Content on the Frictional Behaviour of Soft Contact Lenses Using a Dynamic Oscillating Tribometer" Applied Sciences 14, no. 10: 4311. https://doi.org/10.3390/app14104311

APA Style

Vilhena, L., & Ramalho, A. (2024). Effect of Protein (Bovine Serum Albumin) Content on the Frictional Behaviour of Soft Contact Lenses Using a Dynamic Oscillating Tribometer. Applied Sciences, 14(10), 4311. https://doi.org/10.3390/app14104311

Note that from the first issue of 2016, this journal uses article numbers instead of page numbers. See further details here.

Article Metrics

Back to TopTop