Evaluation of Selected Heavy Metal Contaminants as Well as Nitrates and Nitrites in the Microgreens of Nigella (Nigella sativa L.), Safflower (Carthamus tinctorius L.), and Camelina (Camelina sativa L.) at Different Stages of Vegetation
Abstract
1. Introduction
2. Materials and Methods
2.1. Plant Material
2.2. Analytical Methods
2.3. Statistical Analysis
3. Results
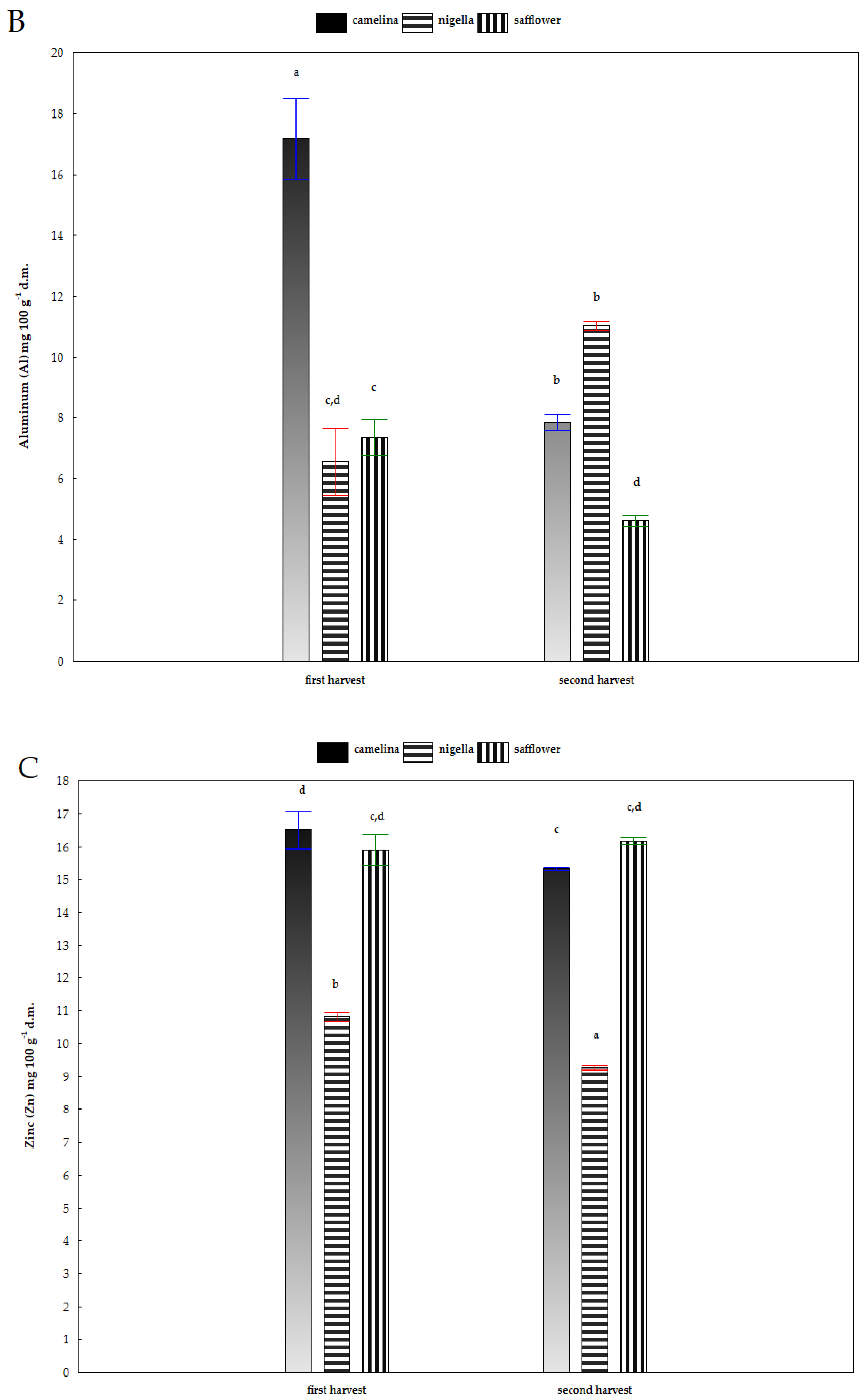
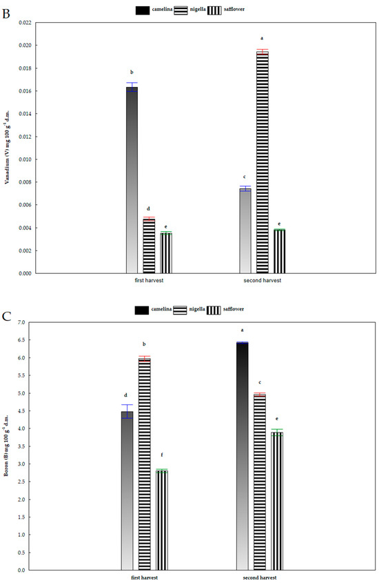
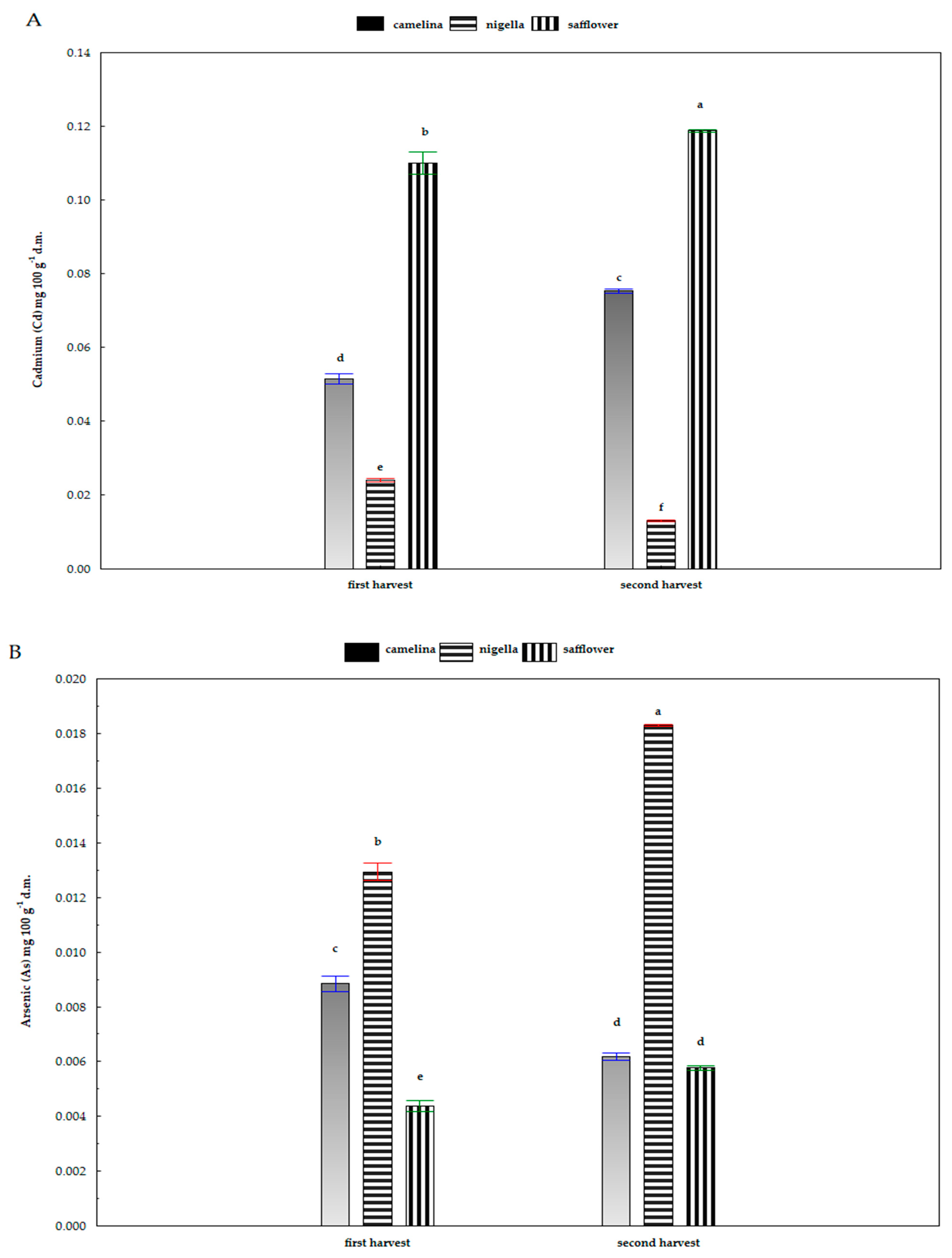
3.1. Selected Heavy Metal Contents
3.2. Nitrate and Nitrite Content
4. Discussion
4.1. Selected Heavy Metals
4.2. Nitrates and Nitrites
5. Conclusions
Supplementary Materials
Author Contributions
Funding
Institutional Review Board Statement
Informed Consent Statement
Data Availability Statement
Conflicts of Interest
References
- Saulais, L.; Corcuff, R.; Boonefaes, E. Natural and healthy? Consumers knowledge, understanding and preferences regarding naturalness and healthiness of processed foods. Int. J. Gastron. Food Sci. 2023, 31, 100662. [Google Scholar] [CrossRef]
- Van Asselt, E.D.; Arrizabalaga-Larrañaga, A.; Focker, M.; Berendsen, B.J.A.; Van de Schans, M.G.M.; Van der Fels-Klerx, H.J. Chemical food safety hazards in circular food systems: A review. Crit. Rev. Food Sci. Nutr. 2023, 63, 10319–10331. [Google Scholar] [CrossRef] [PubMed]
- Baranowska, I. Handbook of Trace Analysis: Fundamentals and Applications; Springer: Berlin/Heidelberg, Germany, 2016. [Google Scholar] [CrossRef]
- Picó, Y. Food Contaminants and Residue Analysis; Elsevier: Amsterdam, The Netherlands, 2008. [Google Scholar] [CrossRef]
- Shibaeva, T.G.; Rubaeva, A.A.; Sherudilo, E.G.; Titov, A.F. Continuous Lighting Increases Yield and Nutritional Value and Decreases Nitrate Content in Brassicaceae Microgreens. Russ. J. Plant Physiol. 2023, 70, 118. [Google Scholar] [CrossRef]
- Iammarino, M.; Di Taranto, A.; Cristino, M. Monitoring of nitrites and nitrate levels in leafy vegetables (spinach and lettuce): A contribution to risk assessment. J. Sci. Food Agric. 2014, 15, 773–778. [Google Scholar] [CrossRef]
- Xu, J.; Hao, Z.; Xie, C.; Lv, X.; Yang, Y.; Xu, X. Promotion effect of Fe2+ and Fe3O4 on nitrate reduction using zero-valent iron. Desalination 2012, 284, 9–13. [Google Scholar] [CrossRef]
- Basaran, B.; Abanoz, Y.Y.; Şenol, N.D.; Oral, Z.F.Y.; Öztürk, K.; Kaban, G. The levels of heavy metal, acrylamide, nitrate, nitrite, N-nitrosamine compounds in brewed black tea and health risk assessment: Türkiye. J. Food Compos. Anal. 2023, 120, 105285. [Google Scholar] [CrossRef]
- Roy, R.; Wilcox, J.; Webb, A.J.; O’Gallagher, K. Dysfunctional and Dysregulated Nitric Oxide Synthases in Cardiovascular Disease: Mechanisms and Therapeutic Potential. Int. J. Mol. Sci. 2023, 24, 15200. [Google Scholar] [CrossRef]
- Huarte-Mendicoa, J.C.; Astiasaran, I.; Bello, J. Nitrate and nitrite levels in fresh and frozen broccoli. Effect of freezing and cooking. Food Chem. 1997, 58, 39–42. [Google Scholar] [CrossRef]
- Kmiecik, W.; Lisiewska, Z.; Słupski, J. Effects of freezing and storing of frozen products on the content of nitrates, nitrites, and oxalates in dill (Anethum graveolens L.). Food Chem. 2004, 86, 105–111. [Google Scholar] [CrossRef]
- El Hosry, L.; Sok, N.; Richa, R.; Al Mashtoub, L.; Cayot, P.; Bou-Maroun, E. Sample Preparation and Analytical Techniques in the Determination of Trace Elements in Food: A Review. Foods 2023, 12, 895. [Google Scholar] [CrossRef]
- Arya, K.S.; Sangeeta Kutty, M.; Pradeepkumar, T. Microgreens of tropical edible-seed species, an economical source of phytonutrients- insights into nutrient content, growth environment and shelf life. Future Foods 2023, 8, 100262. [Google Scholar] [CrossRef]
- Rizvi, A.; Sharma, M.; Saxena, S. Microgreens: A Next Generation Nutraceutical for Multiple Disease Management and Health Promotion. Genet. Resour. Crop Evol. 2023, 70, 311–332. [Google Scholar] [CrossRef]
- Yadav, L.P.; Koley, T.K.; Tripathi, A.; Singh, S. Antioxidant potentiality and mineral content of summer season leafy greens: Comparison at mature and microgreen stages using chemometric. Agric. Res. 2019, 8, 165–175. [Google Scholar] [CrossRef]
- Hack, H.; Bleiholder, H.; Buhr, L.; Meier, U.; SchnockFricke, U.; Weber, E.; Witzenberger, A. Einheitliche Codierung der phänologischen Entwicklungsstadien mono- und dikotyler Pflanzen—Erweiterte BBCH-Skala, Allgemein. Nachrichtenbl. Deut. Pflanzenschutzd. 1992, 44, 265–270. [Google Scholar]
- Kalisz, A.; Sękara, A.; Smoleń, S.; Grabowska, A.; Gil, J.; Komorowska, M.; Kunicki, E. Survey of 17 elements, including rare earth elements, in chilled and non-chilled cauliflower cultivars. Sci. Rep. 2019, 9, 5416. [Google Scholar] [CrossRef] [PubMed]
- Krzemińska, J.; Smoleń, S.; Kowalska, I.; Pitala, J.; Sularz, O.; Koronowicz, A. Effect of Biofortification with Iodine by 8-Hydroxy-7-iodo-5-quinolinesulfonic Acid and 5-Chloro-7-iodo-8-quinolinol on the Chemical Composition and Antioxidant Properties of Potato Tubers (Solanum tuberosum L.) in a Pot Experiment. Appl. Sci. 2023, 13, 4659. [Google Scholar] [CrossRef]
- Smoleń, S.; Kowalska, I.; Skoczylas, Ł.; Tabaszewska, M.; Pitala, J.; Mrożek, J.; Kováčik, P. Effectiveness of enriching lettuce with iodine using 5-iodosalicylic and 3, 5-diiodosalicylic acids and the chemical composition of plants depending on the type of soil in a pot experiment. Food Chem. 2022, 382, 132347. [Google Scholar] [CrossRef] [PubMed]
- Kapusta-Duch, J.; Smoleń, S.; Jędrszczyk, E.; Leszczyńska, T.; Borczak, B. Basic Composition, Antioxidative Properties, and Selected Mineral Content of the Young Shoots of Nigella (Nigella sativa L.), Safflower (Carthamus tinctorius L.), and Camelina (Camelina sativa L.) at Different Stages of Vegetation. Appl. Sci. 2024, 14, 1065. [Google Scholar] [CrossRef]
- Cornelis, R.; Caruso, J.; Crews, H.; Heumann, K. Handbook of Elemental Speciation II: Species in the Environment, Food, Medicine and Occupational Health; John Wiley & Sons, Ltd.: Hoboken, NJ, USA, 2005. [Google Scholar] [CrossRef]
- World Health Organization (WHO). Guidelines for Drinking-Water Quality; World Health Organization: Geneva, Switzerland, 2011; Available online: https://iris.who.int/bitstream/handle/10665/254637/9789241549950-eng.pdf?sequence=1 (accessed on 22 March 2024).
- European Food Safety Authority (EFSA). Scientific opinion on arsenic in food. EFSA J. 2009, 7, 199. [Google Scholar] [CrossRef]
- Guo, Y.; Lundebye, A.-K.; Li, N.; Ergon, Å.G.; Pang, S.; Jiang, Y.; Zhu, W.; Zhao, Y.; Li, X.; Yao, L.; et al. Comparative assessment of food safety regulations and standards for arsenic, cadmium, lead, mercury and iodine in macroalgae used as food and feed in China and Europe. Trends Food Sci. Technol. 2023, 141, 104204. [Google Scholar] [CrossRef]
- Joint FAO/WHO Expert Committee on Food Additives (JECFA). Safety Evaluation of Certain Contaminants in Food: Seventy-Second Report of the Joint FAO/WHO Expert Committee on Food Additives (JECFA); Food Additives Series; World Health Organization (WHO): Geneva, Switzerland, 2011; Volume 63, pp. 1–115. Available online: https://iris.who.int/bitstream/handle/10665/44514/WHO_TRS_959_eng.pdf?sequence=1 (accessed on 22 March 2024).
- Lenzi, A.; Orlandini, A.; Bulgari, R.; Ferrante, A.; Bruschi, P. Antioxidant and mineral composition of three wild leafy species: A comparison between microgreens and baby greens. Foods 2019, 8, 487. [Google Scholar] [CrossRef] [PubMed]
- Zwolak, I. The Role of Selenium in Arsenic and Cadmium Toxicity: An Updated Review of Scientific Literature. Biol. Trace Elem. Res. 2020, 193, 44–63. [Google Scholar] [CrossRef] [PubMed]
- Al-Khayri, J.M.; Banadka, A.; Rashmi, R.; Nagella, P.; Alessa, F.M.; Almaghasla, M.I. Cadmium toxicity in medicinal plants: An overview of the tolerance strategies, biotechnological and omics approaches to alleviate metal stress. Front Plant Sci. 2023, 13, 1047410. [Google Scholar] [CrossRef] [PubMed]
- Raj, D.; Maiti, S.K. Sources, bioaccumulation, health risks and remediation of potentially toxic metal(loid)s (As, Cd, Cr, Pb and Hg): An epitomised review. Environ. Monit. Assess. 2020, 192, 108. [Google Scholar] [CrossRef]
- Zhang, H.; Reynolds, M. Cadmium exposure in living organisms: A short review. Sci. Total. Environ. 2019, 678, 761–767. [Google Scholar] [CrossRef] [PubMed]
- Xiao, Z.; Codling, E.E.; Luo, Y.; Nou, X.; Lester, G.E.; Wang, Q. Microgreens of Brassicaceae: Mineral composition and content of 30 varieties. J. Food Compos. Anal. 2016, 49, 87–93. [Google Scholar] [CrossRef]
- Paradiso, V.M.; Castellino, M.; Renna, M.; Gattullo, C.E.; Calasso, M.; Terzano, R.; Allegretta, I.; Leoni, B.; Caponio, F.; Santamaria, P. Nutritional characterization and shelf-life of packaged microgreens. Food Funct. 2018, 9, 5629–5640. [Google Scholar] [CrossRef] [PubMed]
- Allegretta, I.; Gattullo, C.E.; Renna, M.; Paradiso, V.M.; Terzano, R. Rapid multi-element characterization of microgreens via total-reflection X-ray fluorescence (TXRF) spectrometry. Food Chem. 2019, 296, 86–93. [Google Scholar] [CrossRef] [PubMed]
- European Food Safety Authority (EFSA). Scientific opinion of the panel on contaminants in the food chain on a request from the European commission on cadmium in food. EFSA J. 2009, 7, 980. [Google Scholar]
- European Food Safety Authority (EFSA). EFSA panel on contaminants in the food chain (CONTAM), scientific opinion on tolerable weekly intake for cadmium. EFSA J. 2011, 9, 1975. [Google Scholar] [CrossRef]
- Joint FAO/WHO Expert Committee on Food Additives (JECFA). Evaluation of Certain Contaminants in Food: Seventy-Third Report of the Joint FAO/WHO Expert Committee on Food Additives (JECFA); Technical Report Series; World Health Organization (WHO): Geneva, Switzerland, 2011; Volume 960, pp. 1–237. Available online: https://iris.who.int/bitstream/handle/10665/44515/WHO_TRS_960_eng.pdf?sequence=1 (accessed on 22 March 2024).
- European Food Safety Authority (EFSA). EFSA panel on contaminants in the food chain (CONTAM). Scientific opinion on lead in food. EFSA J. 2010, 8, 1570. [Google Scholar] [CrossRef]
- Rebellato, A.P.; Silva, J.G.S.; de Paiva, E.L.; Arisseto-Bragotto, A.P.; Pallone, J.A.L. Aluminium in infant foods: Toxicology, total content and bioaccessibility. Curr. Opin. Food Sci. 2021, 41, 130–137. [Google Scholar] [CrossRef]
- Riaz, M.; Yan, L.; Wu, X.; Hussain, S.; Aziz, O.; Jiang, C. Mechanisms of organic acids and boron induced tolerance of aluminium toxicity: A review. Ecotoxicol. Environ. Saf. 2018, 165, 25–35. [Google Scholar] [CrossRef] [PubMed]
- De Paiva, E.L.; Morgano, M.A.; Arisseto-Bragotto, A.P. Occurrence and determination of inorganic contaminants in baby food and infant formula. Curr. Opin. Food Sci. 2019, 30, 60–66. [Google Scholar] [CrossRef]
- Ertl, K.; Goessler, W. Aluminium in foodstuff and the influence of aluminium foil used for food preparation or short time storage. Food Addit. Contam. Part B 2018, 11, 153–159. [Google Scholar] [CrossRef]
- European Food Safety Authority (EFSA). Safety of aluminium from dietary intake. Scientific Opinion of the Panel on Food Additives, Flavourings, Processing Aids and Food Contact Materials (AFC). EFSA J. 2008, 6, 754. [Google Scholar]
- Mold, M.; Umar, D.; King, A.; Exley, C. Aluminium in brain tissue in autism. J. Trace Elem. Med. Biol. 2018, 46, 76–82. [Google Scholar] [CrossRef]
- Joint FAO/WHO Expert Committee on Food Additives (JECFA). Working Document for Information and Use in Discussions Related to Contaminants and Toxins in the GSCTFF 2016. Available online: https://www.fao.org/fao-who-codexalimentarius/sh-proxy/en/%3Flnk%3D1%26url%3Dhttps%25253A%25252F%25252Fworkspace.fao.org%25252Fsites%25252Fcodex%25252FMeetings%25252FCX-735-10%25252FWD%25252Fcf10_INF1e.pdf (accessed on 22 March 2024).
- Joint FAO/WHO Expert Committee on Food Additives (JECFA). Seventy-Fourth Meeting of the Joint FAO/WHO Expert Committee on Food Additives 2011. Available online: https://www.fao.org/3/at873e/at873e.pdf (accessed on 22 March 2024).
- He, M.; Wang, N.; Long, X.; Zhang, C.; Ma, C.; Zhong, Q.; Wang, A.; Wang, Y.; Pervaiz, A.; Shan, J. Antimony speciation in the environment: Recent advances in understanding the biogeochemical processes and ecological effects. J. Environ. Sci. 2019, 75, 14–39. [Google Scholar] [CrossRef]
- Filella, M.; Williams, P.A.; Belzile, N. Antimony in the environment: Knowns and unknowns. Environ. Chem. 2009, 6, 695–705. [Google Scholar] [CrossRef]
- Reimann, C.; Birke, M.; Filzmoser, P. Bottled drinking water: Water contamination from bottle materials (glass, hard PET, soft PET), the influence of colour and acidification. Appl. Geochem. 2010, 25, 1030–1046. [Google Scholar] [CrossRef]
- Chapa-Martínez, C.A.; Hinojosa-Reyes, L.; Hernández-Ramírez, A.; Ruiz-Ruiz, E.; MayaTreviño, L.; Guzmán-Mar, J.L. An evaluation of the migration of antimony from polyethylene terephthalate (PET) plastic used for bottled drinking water. Sci. Total Environ. 2016, 565, 511–518. [Google Scholar] [CrossRef] [PubMed]
- Sharma, A.; Kapoor, D.; Wang, J.; Shahzad, B.; Kumar, V.; Bali, A.S.; Jasrotia, S.; Zheng, B.; Yuan, H.; Yan, D. Chromium Bioaccumulation and Its Impacts on Plants: An Overview. Plants 2020, 9, 100. [Google Scholar] [CrossRef] [PubMed]
- Ruzik, L.; Kwiatkowski, P. Application of CE-ICP-MS and CE-ESI-MS/MS for identification of Zn-binding ligands in Goji berries extracts. Talanta 2018, 183, 102–107. [Google Scholar] [CrossRef] [PubMed]
- Wojcieszek, J.; Kwiatkowski, P.; Ruzik, L. Speciation analysis and bioaccessibility evaluation of trace elements in goji berries (Lycium Barbarum, L.). J. Chromatogr. A 2017, 1492, 70–78. [Google Scholar] [CrossRef] [PubMed]
- World Health Organization (WHO). Environmental Health Criteria 221: Zinc. 2013. Available online: https://www.who.int/ipcs/publications/ehc/ehc_221/en/ (accessed on 19 March 2024).
- Waterland, N.L.; Moon, Y.; Tou, J.C.; Kim, M.J.; Pena-Yewtukhiw, E.M.; Park, S. Mineral Content Differs among Microgreen, Baby Leaf, and Adult Stages in Three Cultivars of Kale. HortScience 2017, 52, 566–571. [Google Scholar] [CrossRef]
- Butkutė, B.; Taujenis, L.; Norkevičienė, E. Small-seeded legumes as a novel food source. variation of nutritional, mineral and phytochemical profiles in the chain: Raw seeds-sprouted seeds-microgreens. Molecules 2018, 24, 133. [Google Scholar] [CrossRef] [PubMed]
- Tavan, M.; Wee, B.; Fuentes, S.; Pang, A.; Brodie, G.; Viejo, C.G.; Gupta, D. Biofortification of kale microgreens with selenate-selenium using two delivery methods: Selenium-rich soilless medium and foliar application. Sci. Hortic. 2024, 323, 112522. [Google Scholar] [CrossRef]
- Pant, Y.; Lingwan, M.; Masakapalli, S.K. Metabolic, biochemical, mineral and fatty acid profiles of edible Brassicaceae microgreens establish them as promising functional food. Food Chem. Adv. 2023, 3, 100461. [Google Scholar] [CrossRef]
- Viltres-Portales, M.; Sánchez-Martín, M.J.; Llugany, M.; Boada, R.; Valiente, M. Selenium biofortification of microgreens: Influence on phytochemicals, pigments and nutrients. Plant Physiol. Biochem. 2024, 206, 108283. [Google Scholar] [CrossRef]
- Kyriacou, M.C.; El-Nakhel, C.; Graziani, G.; Pannico, A.; Soteriou, G.A.; Giordano, M.; Ritieni, A.; Pascale, S.D.; Rouphael, Y. Functional quality in novel food sources: Genotypic variation in the nutritive and phytochemical composition of thirteen microgreens species. Food Chem. 2019, 277, 107–118. [Google Scholar] [CrossRef]
- Di Gioia, F.; Hong, J.C.; Pisani, C.; Petropoulos, S.A.; Bai, J.; Rosskopf, E.N. Yield performance, mineral profile, and nitrate content in a selection of seventeen microgreen species. Front Plant Sci. 2023, 14, 1220691. [Google Scholar] [CrossRef] [PubMed]
- Di Gioia, F.; Petropoulos, S.A.; Ferreira, I.C.F.R.; Rosskopf, E.N. Microgreens: From trendy vegetables to functional food and potential nutrition security resource. Acta Hortic. 2021, 1321, 235–242. [Google Scholar] [CrossRef]
- Di Gioia, F.; De Bellis, P.; Mininni, C.; Santamaria, P.; Serio, F. Physicochemical, Agronomical and Microbiological Evaluation of Alternative Growing Media for the Production of Rapini (Brassica rapa L.) Microgreens: Recycled Fibrous Materials for Rapini Microgreens Production. J. Sci. Food Agric. 2017, 97, 1212–1219. [Google Scholar] [CrossRef] [PubMed]
- Joint FAO/WHO Expert Committee on Food Additives (JECFA). Sixty-First Meeting of the Joint FAO/WHO Expert Committee on Food Additives 2003. Available online: https://inchem.org/documents/jecfa/jecmono/v50je01.htm (accessed on 22 March 2024).
- Commission Regulation (EU) No 1258/2011 of 2 December 2011 Amending Regulation (EC) No 1881/2006 as Regards Maximum Levels for Nitrates in Foodstuffdz. Urz. UE L 320/15, s. 1-3, z 3.12.2011. Available online: https://eur-lex.europa.eu/LexUriServ/LexUriServ.do?uri=OJ:L:2011:320:0015:0017:EN:PDF (accessed on 20 March 2024).
- Commission Regulation (EU) 2023/2108 of 6 October 2023 Amending Annex II to Regulation (EC) No 1333/2008 of the European Parliament and of the Council and the Annex to Commission Regulation (EU) No 231/2012 as Regards Food Additives Nitrites (E 249-250) and Nitrates (E 251-252). Available online: https://eur-lex.europa.eu/legal-content/EN/TXT/PDF/?uri=OJ:L_202302108 (accessed on 20 March 2024).










| General hardness | mg/dm3 | 301 |
| Sodium | mg/dm3 | 21 |
| Ammonium ion | mg/dm3 | 0.021 |
| Magnesium | mg/dm3 | 11.6 |
| Calcium | mg/dm3 | 101 |
| Fluorides | mg/dm3 | 0.08 |
| Chlorides | mg/dm3 | 44.3 |
| Nitrites | mg/dm3 | <0.01 |
| Nitrates | mg/dm3 | 16.3 |
| Sulphates (A) | mg/dm3 | 48 |
| General iron (A) | mg/dm3 | <0.01 |
| Manganese | mg/dm3 | <0.005 |
| Total chromium | mg/dm3 | <0.001 |
| Cadmium | mg/dm3 | <0.001 |
| Copper | mg/dm3 | <0.01 |
| Nickel | mg/dm3 | <0.001 |
| Compounds | Young Shoots of Nigella (Nigella sativa L.) | Young Shoots of Safflower (Carthamus tinctorius L.) | Young Shoots of Camelina (Camelina sativa L.) | |||
|---|---|---|---|---|---|---|
| First Harvest * | Second Harvest ** | First Harvest * | Second Harvest ** | First Harvest * | Second Harvest ** | |
| Nitrates | 5159 ± 196 e | 2712 ± 122 f | 9752 ± 303 d | 10240 ± 245 c | 10883 ± 615 b | 11985 ± 264 a |
| Nitrites | nd | nd | nd | nd | nd | nd |
Disclaimer/Publisher’s Note: The statements, opinions and data contained in all publications are solely those of the individual author(s) and contributor(s) and not of MDPI and/or the editor(s). MDPI and/or the editor(s) disclaim responsibility for any injury to people or property resulting from any ideas, methods, instructions or products referred to in the content. |
© 2024 by the authors. Licensee MDPI, Basel, Switzerland. This article is an open access article distributed under the terms and conditions of the Creative Commons Attribution (CC BY) license (https://creativecommons.org/licenses/by/4.0/).
Share and Cite
Kapusta-Duch, J.; Smoleń, S.; Jędrszczyk, E.; Leszczyńska, T.; Borczak, B.; Kusznierewicz, B. Evaluation of Selected Heavy Metal Contaminants as Well as Nitrates and Nitrites in the Microgreens of Nigella (Nigella sativa L.), Safflower (Carthamus tinctorius L.), and Camelina (Camelina sativa L.) at Different Stages of Vegetation. Appl. Sci. 2024, 14, 4298. https://doi.org/10.3390/app14104298
Kapusta-Duch J, Smoleń S, Jędrszczyk E, Leszczyńska T, Borczak B, Kusznierewicz B. Evaluation of Selected Heavy Metal Contaminants as Well as Nitrates and Nitrites in the Microgreens of Nigella (Nigella sativa L.), Safflower (Carthamus tinctorius L.), and Camelina (Camelina sativa L.) at Different Stages of Vegetation. Applied Sciences. 2024; 14(10):4298. https://doi.org/10.3390/app14104298
Chicago/Turabian StyleKapusta-Duch, Joanna, Sylwester Smoleń, Elżbieta Jędrszczyk, Teresa Leszczyńska, Barbara Borczak, and Barbara Kusznierewicz. 2024. "Evaluation of Selected Heavy Metal Contaminants as Well as Nitrates and Nitrites in the Microgreens of Nigella (Nigella sativa L.), Safflower (Carthamus tinctorius L.), and Camelina (Camelina sativa L.) at Different Stages of Vegetation" Applied Sciences 14, no. 10: 4298. https://doi.org/10.3390/app14104298
APA StyleKapusta-Duch, J., Smoleń, S., Jędrszczyk, E., Leszczyńska, T., Borczak, B., & Kusznierewicz, B. (2024). Evaluation of Selected Heavy Metal Contaminants as Well as Nitrates and Nitrites in the Microgreens of Nigella (Nigella sativa L.), Safflower (Carthamus tinctorius L.), and Camelina (Camelina sativa L.) at Different Stages of Vegetation. Applied Sciences, 14(10), 4298. https://doi.org/10.3390/app14104298

