Optimization and Testing of the Technological Parameters for the Microwave Vacuum Drying of Mulberry Harvests
Abstract
1. Introduction
2. Materials and Methods
2.1. Materials
2.2. Drying Test
2.2.1. Effect of the Moisture Content on the Texture Characteristics, Sensory Quality, and Colony Number
2.2.2. Parameter Optimization Tests
2.3. Evaluation Indexes
2.3.1. Moisture Content
2.3.2. Testing of Microbiological Indexes
2.3.3. Color Changes
2.3.4. Soluble Solid Content
2.3.5. Texture Analysis
2.3.6. Vc Test
2.3.7. Sensory Evaluation
2.3.8. Statistical Analysis of Data
3. Results and Discussion
3.1. Effects of the Moisture Content of Mulberry on the Texture Characteristics and Total Plate Count
3.1.1. Effects of the Moisture Content on the Texture Parameters of Instant Mulberry
3.1.2. Effects of the Moisture Content on the Sensory Quality of Mulberry
3.1.3. Effects of the Moisture Content on the Total Plate Count of Instant Mulberry
3.2. Optimization Results and Analysis of Mulberry Drying Technology
3.2.1. Effects of the Material Surface Temperature on Mulberry Quality
3.2.2. Effects of the Vacuum Degree on Mulberry Quality
3.2.3. Effects of the Microwave Power on the Quality of Mulberry
3.2.4. Variance Analysis of the Mulberry Quality under Different Drying Technological Parameters
3.2.5. Determining the Weights of the Comprehensive Indexes
3.2.6. Comprehensive Evaluation of the Mulberry Quality Based on the Membership Function Model
3.3. Optimization of the Microwave Vacuum Drying Technology
3.3.1. Test Design Scheme and Results
3.3.2. Construction of the Regression Model and Variance Analysis
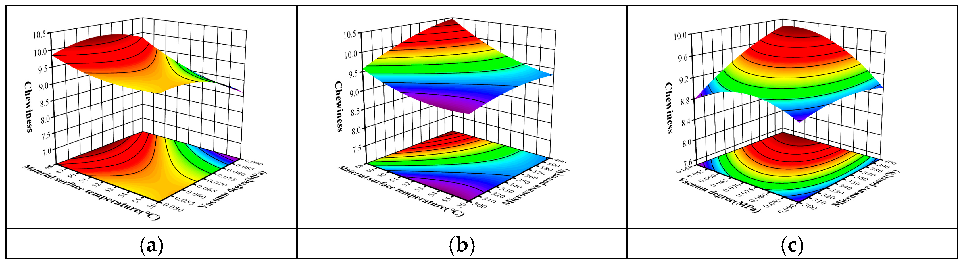
3.3.3. Effects of the Interaction of Factors on Test Indexes
- (1)
- Effects of the test factors on the soluble solid content

- (2)
- Effects of the test factors on the chewiness

- (3)
- Effects of the test factors on the Vc content

3.3.4. Parameter Optimization
4. Conclusions
- (1)
- According to the analysis of the single-factor test results, the material surface temperature, vacuum degree, and microwave power had significant influences on the drying quality of the mulberry (p < 0.05).
- (2)
- The comprehensive scores of the single-factor test factors were compared against the membership function model. The best mulberry quality was achieved when the material surface temperature was 46.0–54.0 °C, the vacuum degree was 0.05–0.09 MPa, and the microwave power was 300–500 W.
- (3)
- The following optimal parameter combinations for the microwave vacuum drying technology was obtained through a central composite test design: material surface temperature—50.761 °C, vacuum degree—0.073 MPa, and microwave power—370.558 W. Under the optimal parameters, the soluble solid content, chewiness, and Vc content were 43.967%, 9.701, and 0.785 mg·(100 g)−1, respectively. To eliminate random errors, the test parameters were optimized, and the integral values were chosen as follows: material surface temperature—51 °C, vacuum degree—0.07 MPa, and microwave power—370 W. Under these conditions, the soluble solid content was 42.37%, chewiness was 9.08, and Vc content was 0.725 mg·(100 g)−1. The average error between the test results and software optimization parameters was 5.88%, thereby indicating that the optimized technological parameters can improve the drying quality of mulberry.
Author Contributions
Funding
Institutional Review Board Statement
Informed Consent Statement
Data Availability Statement
Acknowledgments
Conflicts of Interest
References
- Martins, M.S.; Gonçalves, A.C.; Alves, G.; Silva, L.R. Blackberries and Mulberries: Berries with Significant Health-Promoting Properties. Int. J. Mol. Sci. 2023, 24, 12024. [Google Scholar] [CrossRef] [PubMed]
- Cui, Z.-W.; Xu, S.-Y.; Sun, D.-W. Dehydration of garlic slices by combined microwave-vacuum and air drying. Dry. Technol. 2003, 21, 1173–1184. [Google Scholar] [CrossRef]
- Xia, X.Y.; Wang, F.J.; Fu, Q.; Zhang, N.; Guo, Q.Q. Thermal stability and degradation kinetic model of proanthocyanidins in blueberry (Vaccinium spp.) juice beverage. J. Nanjing For. Univ. 2019, 43, 89–95. [Google Scholar]
- Pakeeza, K.; Anindita, K.; Ivi, C. Microwave-vacuum drying: Modeling validation of drying and rehydration kinetics, moisture diffusivity and physicochemical properties of dried dragon fruit slices. Food Humanit. 2024, 2, 100292. [Google Scholar]
- Alvi, T.; Khan, M.K.I.; Maan, A.A.; Rizwan, M.; Aamir, M.; Saeed, F.; Ateeq, H.; Raza, M.Q.; Afzaal, M.; Shah, M.A. Microwave-vacuum extraction cum drying of tomato slices: Optimization and functional characterization. Food Sci. Nutr. 2023, 11, 4263–4274. [Google Scholar] [CrossRef] [PubMed]
- Zhang, Q.; Li, S.Y.; Li, X.C.; Mu, G.; Dai, Y.J.; Zhang, G.C. Mass and heat transfer characteristics and quality optimization of microwave vacuum drying for wakame. Food Mach. 2022, 38, 166–173. [Google Scholar]
- Wang, L.; Wen, H.; Yang, N.; Li, H. Effect of vacuum freeze drying and hot air drying on dried mulberry fruit quality. PLoS ONE 2023, 18, e0283303. [Google Scholar] [CrossRef] [PubMed]
- Senem, S.; Azime, Ö.K. Investigation of drying kinetics and physicochemical properties of mulberry leather (pestil) dried with different methods. Food Process. Preserv. 2019, 43, e14051. [Google Scholar]
- Pranabendu, M.; Venkatesh, M. Optimization of Microwave-Vacuum Drying Parameters of Saskatoon Berries Using Response Surface Methodology. Dry. Technol. 2009, 27, 1089–1096. [Google Scholar]
- Nagalakshmi, A.S.; Mitra, P.; Meda, V. Color, Mechanical, and Microstructural Properties of Vacuum Assisted Microwave Dried Saskatoon Berries. Int. J. Food Prop. 2014, 17, 2142–2156. [Google Scholar] [CrossRef]
- Meda, V.; Mitra, P.; Lee, J.H.; Chang, K.S. Optimization of microwave-vacuum dryingprocessing parameters on the physical propertiesof dried Saskatoon berries. Open Agric. J. 2016, 1, 7–17. [Google Scholar] [CrossRef]
- Rogovskii, I.L.; Titova, L.L.; Trokhaniak, V.I.; Solomka, V.; Popyk, P.S.; Shvidia, V.O.; Stepanenko, S.P. Experimental Studies on Drying Conditions of Grain Crops with High Moisture Content in Low-Pressure Environment. INMATEH Agric. Eng. 2019, 57, 141–146. [Google Scholar] [CrossRef]
- GB4789.2-2022; Microbiological Testing of Food Hygiene—Determination of Total Colonies. National Health Commission: Beijing, China, 2022.
- Huang, Y.Z.; Han, L.; Yang, X.; Liu, Y.; Zhu, B.-W.; Dong, X.-P. Enhanced batch sorting and rapid sensory analysis of Mackerel products using YOLOv5s algorithm and CBAM: Validation through TPA, colorimeter, and PLSR analysis. Food Chem. X 2023, 19, 100733. [Google Scholar] [CrossRef] [PubMed]
- Sugiura, A.; Kataoka, I.; Tomana, T. Use of refractometer to determine soluble solids of astringent fruits of Japanese persimmon (Diospyros kaki L.). J. Hortic. Sci. 2015, 58, 241–246. [Google Scholar] [CrossRef]
- Ozgüney, I.; Kardhiqi, A. Properties of bioadhesive ketoprofen liquid suppositories: Preparation, determination of gelation temperature, viscosity studies and evaluation of mechanical properties using texture analyzer by 4 × 4 factorial design. Pharm. Dev. Technol. 2014, 19, 968–975. [Google Scholar] [CrossRef] [PubMed]
- Feszterová, M.; Mišiaková, M.; Kowalska, M. Bioactive Vitamin C Content from Natural Selected Fruit Juices. Appl. Sci. 2023, 13, 3624. [Google Scholar] [CrossRef]
- GBT 16860-1997; Sensory Analysis Method Inspection of Texture Profile. National Health Commission: Beijing, China, 1997.
- Li, X.; Ullah, S.; Chen, N.; Tong, X.; Yang, N.; Liu, J.; Guo, X.; Tang, Z. Phytotoxicity assessment of dandelion exposed to microplastics using membership function value and integrated biological response index. Environ. Pollut. 2023, 333, 121933. [Google Scholar] [CrossRef]
- Liao, G.; Jiang, Z.; He, Y.; Zhong, M.; Huang, C.; Qu, X.; Xu, X. The Comprehensive Evaluation Analysis of the Fruit Quality in Actinidia eriantha Pollinated with Different Pollen Donors Based on the Membership Function Method. Erwerbs-Obstbau 2022, 64, 91–96. [Google Scholar] [CrossRef]
- Li, C.; Wang, X.; Zhang, D.; Chen, Y.; Jiang, X.; Ni, D. Study on the Variation Law of the Main Mechanical Properties in the Processing of Longjing Tea. Foods 2023, 12, 2587. [Google Scholar] [CrossRef]
- Yao, Z.L.; Sang, W.G.; Lin, M. Texture Properties of Sleeve-fish Chips with Different Water Content Using Texture Analyzer. J. Agric. Sci. Technol. 2010, 21, 272–273. [Google Scholar]
- Liu, L.; Wang, N.; Xu, L.; Yu, X.; Zhang, R.; Wang, T. A Novel Method of Determining Wax Cohesiveness by Using a Texture Analyzer. J. Texture Stud. 2016, 47, 161–166. [Google Scholar] [CrossRef]
- Toktam, M.M.; Seyed, M.R.; Ameneh, S.; Masoud, T. Predicting the moisture content and textural characteristics of roasted pistachio kernels using Vis/NIR reflectance spectroscopy and PLSR analysis. J. Food Meas. Charact 2018, 12, 346–355. [Google Scholar]
- Malik, F.; Nadeem, M.; Ainee, A.; Kanwal, R.; Sultan, M.; Iqbal, A.; Mahmoud, S.F.; Alshehry, G.A.; Al-Jumayi, H.A.; Algarni, E.H.A. Quality Evaluation of Lemon Cordial Stored at Different Times with Microwave Heating (Pasteurization). Sustainability 2022, 14, 1953. [Google Scholar] [CrossRef]
- Qiu, X.; Zhang, H.; Zhang, H.; Duan, C.; Xiong, B.; Wang, Z. Fruit textural characteristics of 23 plum (Prunus salicina Lindl)cultivars: Evaluation and cluster analysis. HortScience 2021, 56, 816–823. [Google Scholar] [CrossRef]
- Li, L.N.; Zhao, W.Q.; Zeng, X.Y.; Xue, S.; Huo, Y.Y.; Fang, Y.; Guo, Y.R. Correlation between texture and sensory evaluation of Apple. Food Mach. 2017, 33, 37–41, 45. [Google Scholar]
- Chen, Y.Q.; Niu, P. Correlation Analysis of Sensory Evaluation and Texture Characteristics of Dried Kiwifruit of Different Varieties under Hot Air Drying. Sci. Technol. Food Ind. 2024, 1–12. [Google Scholar] [CrossRef]
- Liu, T. Research on the Application of Factor Analysis Model. J. Phys. Conf. Ser. 1952, 042061. [Google Scholar] [CrossRef]
- Behera, G.; Sutar, P.P. Starch gelatinization and drying of paddy using microwave rotary drum dryer: Optimization, kinetics, and cooking studies. Dry. Technol. 2020, 39, 965–981. [Google Scholar] [CrossRef]
- Seeberger, P.H.; Tuck, O.T.; Sletten, E.T.; DangladFlores, J. Towards a Systematic Understanding of the Influence of Temperature on Glycosylation Reactions. Angew. Chem. 2022, 61, e202115433. [Google Scholar]
- Huang, Y.; Lin, J.J. Comparison of Drying Characteristics and Quality of Apple Crisps under Three Drying Methods. Mod. Food Sci. Technol. 2021, 37, 227–232. [Google Scholar]
- Alagbe, E.E.; Amlabu, Y.S.; Daniel, E.O.; Ojewumi, M.E. Effect of Varying Drying Temperature on the Soluble Sugar and Nutritional Content of Banana. Open J. Chem. Eng. 2020, 14, 11–16. [Google Scholar] [CrossRef]
- Gómez, H.C.; Villegas, M.; Velásquez, C.J.; Serpa, A.; Gómez, H.B.; Gañán, P.; Zuluaga, R. Effect of the drying temperature of cornhusk on glucose and fructose concentration to control the size distribution of silver nanoparticles. Mater. Res. Express 2019, 6, 065052. [Google Scholar] [CrossRef]
- Parul, B.; Asha, K. Effect of Pre-Treatments and Drying Air Temperature on the Quality of Dehydrated Oyster Mushroom (Pleurotus florida). Indian J. Nutr. Diet. 2019, 56, 34–39. [Google Scholar]
- Huang, Y.B. Research on Influence of Microwave Vacuum Drying on Drying Characteristics and Quality of Lemon Slice; Southwest University: Chongqing, China, 2017. [Google Scholar]
- Berit, K.M.; Kjersti, A.; Grete, S. Effect of temperature on stability of anthocyanins, ascorbic acid and color in strawberry and raspberry jams. Food Chem. 2020, 316, 126297. [Google Scholar]
- Wiset, L.; Poomsa-Ad, N.; Onsaard, W. Drying characteristics and quality evaluation in microwave-assisted hot air drying of cherry tomato. Eng. Appl. Sci. Res. 2021, 48, 724–731. [Google Scholar]
- Lewicki, P.P.; Michaluk, E. Drying of Tomato Pretreated with Calcium. Dry Technol. 2004, 22, 1813–1827. [Google Scholar] [CrossRef]
- Silvana, M.D.; Irigoyen, R.M.T.; Sergio, A.G. Vacuum drying of rosehip leathers: Modelling of coupled moisture content and temperature curves as a function of time with simultaneous time-varying ascorbic acid retention. J. Food Eng. 2018, 233, 9–16. [Google Scholar]
- Liu, Y.; Sabadash, S.; Duan, Z.H. Research of physicochemical properties and antioxidant activity of beetroots as affected by vacuum microwave drying conditions. Technol. Audit. Prod. Reserves 2021, 5, 40–45. [Google Scholar] [CrossRef]
- Deepa, N.; Charanjit, K.; Binoy, G.; Balraj, S.; Kapoor, H.C. Antioxidant constituents in some sweet pepper (Capsicum annuum L.) genotypes during maturity. LWT—Food Sci. Technol. 2005, 40, 121–129. [Google Scholar] [CrossRef]
- Sernikli, C.; Kadakal, C. Thermal degradation kinetics of ascorbic acid and some bcomplex vitamins in black mulberry (Morus nigra) juice. CBU J. Sci. 2020, 16, 379–386. [Google Scholar]


| Level | Vacuum Degree/MPa | Microwave Power/W | Material Surface Temperature/°C |
|---|---|---|---|
| 1 | 0.01 | 200 | 40.0 |
| 2 | 0.02 | 250 | 42.0 |
| 3 | 0.03 | 300 | 44.0 |
| 4 | 0.04 | 350 | 46.0 |
| 5 | 0.05 | 400 | 48.0 |
| 6 | 0.06 | 450 | 50.0 |
| 7 | 0.07 | 500 | 52.0 |
| 8 | 0.08 | 550 | 54.0 |
| 9 | 0.09 | 56.0 | |
| 10 | 58.0 | ||
| 11 | 60.0 |
| Index | Score | Quality Description and Scoring Criteria |
|---|---|---|
| Appearance (5 points) | >2.5~5 | Uniform color, purplish black, and the overall appearance is compact and complete |
| 0~2.5 | Uneven color, yellow brown, and the overall appearance is not compact | |
| Sweetness (5 points) | >2.5~5 | The characteristic sweetness of mulberries is intense |
| 0~2.5 | It essentially has the special sweet taste of mulberry | |
| Fragrance (5 points) | >2.5~5 | The mulberries are fragrant and odorless |
| 0~2.5 | The mulberries have a plain, unpleasant smell | |
| Taste (5 points) | >2.5~5 | Soft, tender, and sweet |
| 0~2.5 | Rough taste |
| Texture Properties | Correlation Equation | R2 |
|---|---|---|
| Cohesiveness | Y = 2 × 10−5x2 − 0.037x + 0.5179 | 0.2139 |
| Elasticity | Y = 0.0501x − 0.2228 | 0.9664 |
| Glueyness | Y = −0.0039x2 + 0.3948x − 4.1976 | 0.9406 |
| Chewiness | Y = −0.2125x + 26.129 | 0.9783 |
| Hardness | Y = 0.0051x2 − 0.787x + 37.005 | 0.9802 |
| Sample Moisture Content/% | Appearance | Sweetness | Fragrance | Taste | Global Sensory Score |
|---|---|---|---|---|---|
| 79.74 | 4.82 ± 0.14 c | 2.53 ± 0.21 a | 4.72 ± 0.12 c | 4.81 ± 0.03 c | 16.88 ± 0.49 c |
| 73.56 | 4.25 ± 0.18 c | 2.58 ± 0.35 a | 4.58 ± 0.14 c | 4.72 ± 0.14 c | 16.13 ± 0.81 c |
| 68.03 | 4.05 ± 0.21 bc | 2.96 ± 0.15 ab | 4.37 ± 0.18 c | 4.63 ± 0.12 c | 16.01 ± 0.66 c |
| 62.56 | 3.95 ± 0.24 bc | 3.24 ± 0.16 b | 4.18 ± 0.23 bc | 4.58 ± 0.27 c | 16.57 ± 0.9 c |
| 56.71 | 3.72 ± 0.13 b | 3.54 ± 0.28 b | 3.96 ± 0.18 bc | 4.21 ± 0.35 bc | 15.34 ± 0.94 bc |
| 50.35 | 3.59 ± 0.16 b | 3.69 ± 0.24 b | 3.86 ± 0.28 bc | 3.95 ± 0.17 bc | 15.09 ± 0.85 bc |
| 44.07 | 3.48 ± 0.24 b | 3.86 ± 0.25 bc | 3.57 ± 0.19 b | 3.76 ± 0.18 b | 14.67 ± 0.86 bc |
| 38.59 | 3.26 ± 0.16 b | 4.08 ± 0.31 bc | 3.26 ± 0.14 b | 3.53 ± 0.26 b | 14.13 ± 0.87 b |
| 32.78 | 2.58 ± 0.24 a | 4.25 ± 0.16 c | 2.85 ± 0.05 a | 2.78 ± 0.26 ab | 12.46 ± 0.71 ab |
| 25.91 | 2.46 ± 0.17 a | 4.38 ± 0.32 c | 2.62 ± 0.15 a | 2.54 ± 0.04 a | 12 ± 0.68 a |
| 19.78 | 2.32 ± 0.21 a | 4.85 ± 0.12 c | 2.54 ± 0.24 a | 2.35 ± 0.21 a | 12.06 ± 0.78 a |
| Material Surface Temperature °C | Value of Chromatism | Soluble Solid % | Chewiness | Hardness N | Vc mg·(100 g)−1 |
|---|---|---|---|---|---|
| 40.0 | 2.01 | 38.23 | 10.45 | 4.38 | 0.32 |
| 42.0 | 2.27 | 38.98 | 10.04 | 4.60 | 0.58 |
| 44.0 | 2.42 | 39.7 | 9.97 | 4.94 | 0.72 |
| 46.0 | 2.42 | 40.58 | 9.46 | 5.04 | 0.88 |
| 48.0 | 2.65 | 41.7 | 9.05 | 5.23 | 0.93 |
| 50.0 | 2.53 | 42.08 | 8.89 | 5.33 | 1.14 |
| 52.0 | 2.86 | 42.85 | 8.44 | 5.24 | 1.38 |
| 54.0 | 2.79 | 41.5 | 8.33 | 5.46 | 1.16 |
| 56.0 | 2.89 | 39.2 | 7.81 | 5.53 | 0.98 |
| 58.0 | 3.21 | 38.7 | 7.33 | 5.59 | 0.54 |
| 60.0 | 3.68 | 37.5 | 7.03 | 5.59 | 0.37 |
| Vacuum Degree /MPa | Value of Chromatism | Soluble Solid % | Chewiness | Hardness N | Vc mg·(100 g)−1 |
|---|---|---|---|---|---|
| 0.01 | 3.23 | 37.74 | 6.35 | 6.32 | 0.27 |
| 0.02 | 3.02 | 38.58 | 7.53 | 5.96 | 0.48 |
| 0.03 | 2.97 | 39.02 | 8.56 | 5.67 | 0.56 |
| 0.04 | 2.98 | 39.64 | 8.97 | 5.36 | 0.68 |
| 0.05 | 2.75 | 39.99 | 9.65 | 5.33 | 0.83 |
| 0.06 | 2.54 | 40.65 | 9.89 | 4.99 | 1.15 |
| 0.07 | 2.56 | 42.85 | 10.34 | 4.74 | 1.28 |
| 0.08 | 2.33 | 42.30 | 8.94 | 4.23 | 1.33 |
| 0.09 | 2.22 | 42.41 | 7.65 | 3.20 | 1.45 |
| Microwave Power W | Value of Chromatism | Soluble Solid % | Chewiness | Hardness N | Vc mg·(100 g)−1 |
|---|---|---|---|---|---|
| 200 | 2.93 | 37.7 | 6.43 | 3.80 | 0.28 |
| 250 | 2.85 | 38.2 | 7.79 | 4.16 | 0.57 |
| 300 | 2.79 | 39.7 | 8.04 | 4.32 | 0.79 |
| 350 | 2.96 | 40.85 | 9.34 | 4.44 | 1.38 |
| 400 | 2.88 | 41.9 | 9.65 | 4.50 | 0.88 |
| 450 | 2.46 | 42.5 | 9.91 | 4.49 | 0.56 |
| 500 | 2.77 | 43.6 | 10.23 | 4.54 | 0.54 |
| Element | Value of Chromatism | Soluble Solid | Chewiness | Hardness | Vc |
|---|---|---|---|---|---|
| Material surface temperature/°C | 0.02 * | 0.012 * | 0.016 * | 0.03 * | 0.035 * |
| Vacuum degree/MPa | 0.008 ** | 0.004 ** | 0.002 ** | 0.008 ** | 0.002 ** |
| Microwave power/W | 0.04 * | 0.009 ** | 0.024 * | 0.011 * | 0.014 * |
| Index | Principal Component 1 | Principal Component 2 | Principal Component 3 | Composite Score Coefficient | Weight/% |
|---|---|---|---|---|---|
| Value of chromatism | −0.098 | −0.703 | 0.632 | −0.110 | 9 |
| Soluble solid | 0.515 | 0.366 | −0.130 | 0.369 | 31 |
| Chewiness | 0.128 | 0.929 | −0.045 | 0.281 | 23 |
| Hardness | −0.082 | −0.108 | 1.085 | 0.115 | 10 |
| Vc | 0.574 | 0.052 | −0.142 | 0.329 | 27 |
| Element | Level | Soluble Solid | Chewiness | Vc | Synthesis Score | Paired Comparison Ranking |
|---|---|---|---|---|---|---|
| Microwave drying temperature/°C | 40.0 | 0.000 | 1.000 | 0.404 | 0.299 | 11 |
| 42.0 | 0.207 | 0.837 | 0.514 | 0.405 | 9 | |
| 44.0 | 0.366 | 0.785 | 0.656 | 0.512 | 7 | |
| 46.0 | 0.520 | 0.687 | 0.671 | 0.584 | 5 | |
| 48.0 | 0.664 | 0.566 | 0.769 | 0.660 | 4 | |
| 50.0 | 0.784 | 0.550 | 0.774 | 0.729 | 2 | |
| 52.0 | 1.000 | 0.329 | 0.801 | 0.812 | 1 | |
| 54.0 | 0.798 | 0.381 | 0.826 | 0.707 | 3 | |
| 56.0 | 0.572 | 0.285 | 0.802 | 0.546 | 6 | |
| 58.0 | 0.424 | 0.171 | 0.847 | 0.440 | 8 | |
| 60.0 | 0.269 | 0.019 | 0.905 | 0.323 | 10 | |
| Vacuum degree/MPa | 0.01 | 0.220 | 0.129 | 1.000 | 0.335 | 9 |
| 0.02 | 0.320 | 0.325 | 0.930 | 0.427 | 8 | |
| 0.03 | 0.353 | 0.474 | 0.897 | 0.475 | 7 | |
| 0.04 | 0.439 | 0.494 | 0.838 | 0.521 | 6 | |
| 0.05 | 0.492 | 0.650 | 0.828 | 0.587 | 4 | |
| 0.06 | 0.655 | 0.669 | 0.708 | 0.667 | 3 | |
| 0.07 | 0.861 | 0.709 | 0.696 | 0.798 | 1 | |
| 0.08 | 0.844 | 0.485 | 0.406 | 0.686 | 2 | |
| 0.09 | 0.908 | 0.187 | 0.000 | 0.585 | 5 | |
| Microwave power/W | 200 | 0.135 | 0.000 | 0.177 | 0.111 | 7 |
| 250 | 0.226 | 0.254 | 0.357 | 0.255 | 6 | |
| 300 | 0.476 | 0.282 | 0.432 | 0.424 | 5 | |
| 350 | 0.828 | 0.359 | 0.600 | 0.681 | 1 | |
| 400 | 0.651 | 0.541 | 0.631 | 0.622 | 3 | |
| 450 | 0.488 | 0.774 | 0.563 | 0.567 | 4 | |
| 500 | 0.586 | 0.751 | 0.675 | 0.639 | 2 |
| Level | Material Surface Temperature/°C | Vacuum Degree /MPa | Microwave Power /W |
|---|---|---|---|
| 1.682 | 58.0 | 0.10 | 430 |
| 1 | 56.0 | 0.09 | 400 |
| 0 | 52.0 | 0.07 | 350 |
| −1 | 48.0 | 0.05 | 300 |
| −1.682 | 45.0 | 0.04 | 260 |
| Number | Material Surface Temperature | Vacuum Degree | Microwave Power | Soluble Solid % | Chewiness | Vc mg· (100 g)−1 |
|---|---|---|---|---|---|---|
| 1 | −1 | −1 | −1 | 38.61 | 9.35 | 0.26 |
| 2 | 1 | −1 | −1 | 38.76 | 9.03 | 0.23 |
| 3 | −1 | 1 | −1 | 39.39 | 9.37 | 0.67 |
| 4 | 1 | 1 | −1 | 39.32 | 9.21 | 0.98 |
| 5 | −1 | −1 | 1 | 38.96 | 9.78 | 0.28 |
| 6 | 1 | −1 | 1 | 39.15 | 9.76 | 0.25 |
| 7 | −1 | 1 | 1 | 41.54 | 9.75 | 1.72 |
| 8 | 1 | 1 | 1 | 39.73 | 7.98 | 0.7 |
| 9 | −1.682 | 0 | 0 | 35.95 | 10.98 | 0.38 |
| 10 | 1.682 | 0 | 0 | 35.85 | 9.02 | 0.4 |
| 11 | 0 | −1.682 | 0 | 39.92 | 8.94 | 0.71 |
| 12 | 0 | 1.682 | 0 | 44.99 | 8.21 | 1.57 |
| 13 | 0 | 0 | −1.628 | 42.02 | 8.08 | 0.86 |
| 14 | 0 | 0 | 1.628 | 44.35 | 10.08 | 1.35 |
| 15 | 0 | 0 | 0 | 43.93 | 9.46 | 2.84 |
| 16 | 0 | 0 | 0 | 43.87 | 9.48 | 2.82 |
| 17 | 0 | 0 | 0 | 43.81 | 9.51 | 2.96 |
| 18 | 0 | 0 | 0 | 43.74 | 9.45 | 2.85 |
| 19 | 0 | 0 | 0 | 43.88 | 9.32 | 2.94 |
| 20 | 0 | 0 | 0 | 43.98 | 9.72 | 2.93 |
| Index | Source of Variation | Quadratic Sum | Degree of Freedom | Mean Square | F-Value | p-Value |
|---|---|---|---|---|---|---|
| Soluble solid | Model | 150.06 | 9 | 16.67 | 26.91 | <0.0001 ** |
| Residual | 6.20 | 10 | 0.6197 | |||
| Lack of fit | 6.16 | 5 | 1.23 | 169.78 | <0.0001 ** | |
| Error | 0.0363 | 5 | 0.0073 | |||
| Chewiness | Model | 7.20 | 9 | 0.800 | 4.25 | 0.0169 * |
| Residual | 1.88 | 10 | 0.1881 | |||
| Lack of fit | 1.80 | 5 | 0.3591 | 21.18 | 0.0022 ** | |
| Error | 0.0848 | 5 | 0.0170 | |||
| Vc | Model | 22.34 | 9 | 2.48 | 65.58 | <0.0001 ** |
| Residual | 0.3785 | 10 | 0.0379 | |||
| Lack of fit | 0.3605 | 5 | 0.0721 | 20.03 | 0.0025 ** | |
| Error | 0.0010 | 5 | 0.0002 |
| Serial Number | Soluble Solid % | Chewiness | Vc mg·(100 g)−1 |
|---|---|---|---|
| 1 | 42.26 | 9.18 | 0.725 |
| 2 | 42.32 | 8.92 | 0.73 |
| 3 | 42.53 | 9.14 | 0.719 |
| Average value | 42.37 | 9.08 | 0.725 |
Disclaimer/Publisher’s Note: The statements, opinions and data contained in all publications are solely those of the individual author(s) and contributor(s) and not of MDPI and/or the editor(s). MDPI and/or the editor(s) disclaim responsibility for any injury to people or property resulting from any ideas, methods, instructions or products referred to in the content. |
© 2024 by the authors. Licensee MDPI, Basel, Switzerland. This article is an open access article distributed under the terms and conditions of the Creative Commons Attribution (CC BY) license (https://creativecommons.org/licenses/by/4.0/).
Share and Cite
Cong, Y.; Liu, Y.; Tang, Y.; Ma, J.; Ma, J.; Liu, Z.; Yang, X.; Zhang, H. Optimization and Testing of the Technological Parameters for the Microwave Vacuum Drying of Mulberry Harvests. Appl. Sci. 2024, 14, 4137. https://doi.org/10.3390/app14104137
Cong Y, Liu Y, Tang Y, Ma J, Ma J, Liu Z, Yang X, Zhang H. Optimization and Testing of the Technological Parameters for the Microwave Vacuum Drying of Mulberry Harvests. Applied Sciences. 2024; 14(10):4137. https://doi.org/10.3390/app14104137
Chicago/Turabian StyleCong, Yuyang, Yang Liu, Yurong Tang, Jiale Ma, Jiaxin Ma, Zhuoyang Liu, Xirui Yang, and Hong Zhang. 2024. "Optimization and Testing of the Technological Parameters for the Microwave Vacuum Drying of Mulberry Harvests" Applied Sciences 14, no. 10: 4137. https://doi.org/10.3390/app14104137
APA StyleCong, Y., Liu, Y., Tang, Y., Ma, J., Ma, J., Liu, Z., Yang, X., & Zhang, H. (2024). Optimization and Testing of the Technological Parameters for the Microwave Vacuum Drying of Mulberry Harvests. Applied Sciences, 14(10), 4137. https://doi.org/10.3390/app14104137

