Data-Driven Approach for Defining Demand Scenarios for Shared Autonomous Cargo Bike Fleets †
Abstract
1. Introduction
2. Literature Review
2.1. Prediction of Bike Sharing Demand
2.2. Bike Sharing System Design
2.3. Factors Influencing Bike Sharing Utilization
2.4. Implications from the Existing Literature
3. Simulation Testbed of OSABS
- Acting as a communication channel for other agents to interact.
- Fetching the demand data from a database using the demand module. For our model, we used an AWS database to store all generated demand scenarios and created a custom interface to access and fetch the data from the database.
- Acting as custom input interface for business input and choosing order management algorithms and energy supply strategies.
- Handling the animation view of various system components such as ADCB, waiting and charging stations, and customer population on the GIS map of the simulation environment.
- Visualizing the KPI dashboard of the entire system.
4. Demand Scenario Generation
4.1. Methodology
4.2. Dataset Description
4.2.1. Survey on Mobility Needs
4.2.2. Traffic Dataset
4.2.3. Bike Sharing Dataset
4.3. OSABS Base Demand and Beliefs
4.3.1. Assessment of OSABS as a Climate-Friendly Means of Transport and Intention to Use It
4.3.2. Assessment of OSABS Base Demand
- High scenario: A share of trips from all modes of transport, namely, foot, bike, car, and public transport, will be replaced with OSABS.
- Low scenario: A share of trips by only foot, bike, and public transport will be replaced with OSABS.
4.4. Temporal Disaggregation
4.4.1. Derivation of Temporal Patterns
- A random component specifying the probability distribution for modeling the dependent variable Y, including Bernoulli, Binomial, Poisson, Geometric, Negative Binomial, Exponential, Gamma, Normal, and Inverse Gaussian distributions (see also [71]);
- A systematic component that describes the predictors (independent or explanatory variables) through a linear predictor function ;
- A link function G which relates the linear predictor to the mean of the distribution of the response variable Y.
- Week number (reference variable: calendar week 1);
- Weekday (reference variable: Monday);
- Time of day (reference variable: hour 0);
- Interaction term between weekday and time of day.
4.4.2. Cluster Analysis
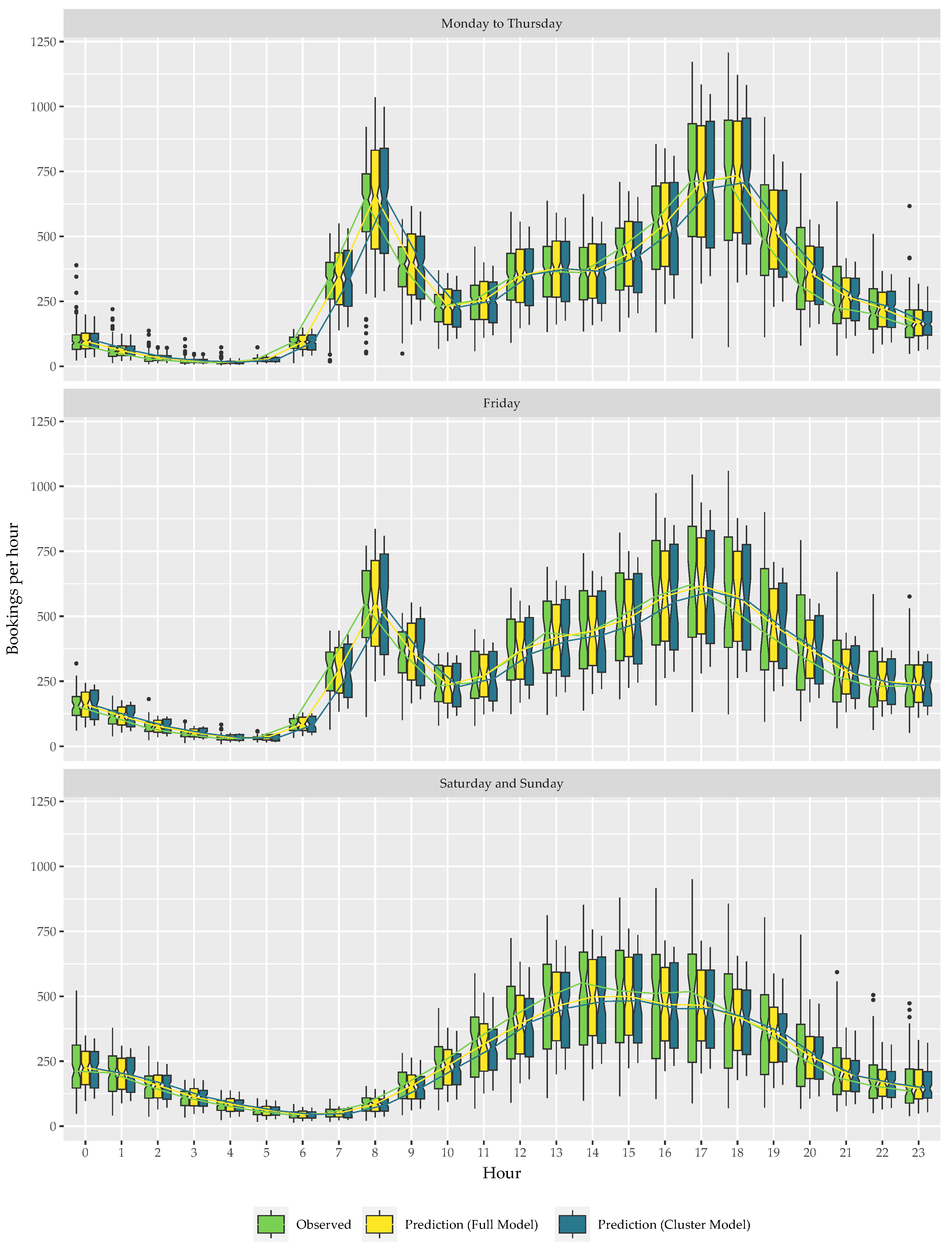
5. Modeling Results
6. Discussion and Future Work
7. Conclusions
Author Contributions
Funding
Informed Consent Statement
Data Availability Statement
Acknowledgments
Conflicts of Interest
Abbreviations
| ADCB | autonomous driving cargo bike |
| AIC | Akaike information criterion |
| BSS | bike sharing system |
| OCC | Operations Control Center |
| OSABS | on-demand, shared-use, self-driving cargo bikes service |
| RMSE | root mean square error |
Appendix A
Appendix A.1
- Week number (weeknum1 … weeknum53);
- Weekday (Monday … Sunday);
- Time of day (hour00 … hour23);
- Interaction term between weekday and time of day (Monday × hour00 … Sunday × hour23).
| Parameter | exp(Estimate) | 2.5% | 97.5% | z-Value | p-Value |
|---|---|---|---|---|---|
| Intercept | 34.26298 | 31.76959 | 36.95205 | 91.67588 | 0 |
| weeknum2 | 1.02011 | 0.969 | 1.07391 | 0.75919 | 0.44774 |
| weeknum3 | 1.14702 | 1.08985 | 1.2072 | 5.25779 | 0 |
| weeknum4 | 1.0181 | 0.96709 | 1.0718 | 0.68407 | 0.49393 |
| weeknum5 | 1.11568 | 1.06 | 1.17428 | 4.19079 | 0.00003 |
| weeknum6 | 1.21136 | 1.15111 | 1.27477 | 7.36623 | 0 |
| weeknum7 | 1.28 | 1.21647 | 1.34685 | 9.50437 | 0 |
| weeknum8 | 1.28539 | 1.2216 | 1.3525 | 9.66757 | 0 |
| weeknum9 | 1.33841 | 1.27209 | 1.40819 | 11.24165 | 0 |
| weeknum10 | 1.67394 | 1.59163 | 1.76051 | 20.02514 | 0 |
| weeknum11 | 1.58455 | 1.5065 | 1.66665 | 17.85964 | 0 |
| weeknum12 | 1.66135 | 1.57964 | 1.74729 | 19.72687 | 0 |
| weeknum13 | 1.61856 | 1.53876 | 1.70248 | 18.66883 | 0 |
| weeknum14 | 1.93974 | 1.84477 | 2.03959 | 25.87019 | 0 |
| weeknum15 | 2.28094 | 2.16976 | 2.39783 | 32.34076 | 0 |
| weeknum16 | 2.20978 | 2.10198 | 2.32311 | 31.07184 | 0 |
| weeknum17 | 2.20586 | 2.09825 | 2.319 | 31.00083 | 0 |
| weeknum18 | 2.52049 | 2.39793 | 2.64932 | 36.34807 | 0 |
| weeknum19 | 2.56214 | 2.4376 | 2.69304 | 37.00693 | 0 |
| weeknum20 | 2.41433 | 2.29681 | 2.53786 | 34.61958 | 0 |
| weeknum21 | 2.86377 | 2.72491 | 3.0097 | 41.49003 | 0 |
| weeknum22 | 2.75786 | 2.62402 | 2.89851 | 39.97045 | 0 |
| weeknum23 | 3.22538 | 3.06937 | 3.38932 | 46.29455 | 0 |
| weeknum24 | 2.87377 | 2.73444 | 3.0202 | 41.63074 | 0 |
| weeknum25 | 2.66936 | 2.53973 | 2.80561 | 38.65667 | 0 |
| weeknum26 | 2.84903 | 2.71087 | 2.99423 | 41.28189 | 0 |
| weeknum27 | 2.83947 | 2.70176 | 2.98419 | 41.14625 | 0 |
| weeknum28 | 3.01198 | 2.86609 | 3.1653 | 43.52709 | 0 |
| weeknum29 | 3.21143 | 3.05608 | 3.37468 | 46.11924 | 0 |
| weeknum30 | 3.12983 | 2.97835 | 3.28901 | 45.0782 | 0 |
| weeknum31 | 3.13423 | 2.98255 | 3.29364 | 45.13509 | 0 |
| weeknum32 | 3.01874 | 2.87253 | 3.17239 | 43.61758 | 0 |
| weeknum33 | 2.71723 | 2.58533 | 2.85587 | 39.37255 | 0 |
| weeknum34 | 2.99858 | 2.85333 | 3.15123 | 43.34698 | 0 |
| weeknum35 | 2.92831 | 2.78639 | 3.07746 | 42.38946 | 0 |
| weeknum36 | 2.73051 | 2.59798 | 2.86981 | 39.56896 | 0 |
| weeknum37 | 2.80666 | 2.67051 | 2.94974 | 40.67756 | 0 |
| weeknum38 | 2.59161 | 2.46567 | 2.72398 | 37.46689 | 0 |
| weeknum39 | 2.56738 | 2.44259 | 2.69855 | 37.0892 | 0 |
| weeknum40 | 2.41534 | 2.29777 | 2.53893 | 34.63645 | 0 |
| weeknum41 | 2.07896 | 1.97737 | 2.18576 | 28.63293 | 0 |
| weeknum42 | 1.9848 | 1.88769 | 2.0869 | 26.78454 | 0 |
| weeknum43 | 2.10549 | 2.00264 | 2.21361 | 29.13916 | 0 |
| weeknum44 | 2.1187 | 2.01522 | 2.22748 | 29.389 | 0 |
| weeknum45 | 1.78337 | 1.69585 | 1.87541 | 22.53153 | 0 |
| weeknum46 | 1.61476 | 1.53527 | 1.69837 | 18.6041 | 0 |
| weeknum47 | 1.64079 | 1.56005 | 1.7257 | 19.23495 | 0 |
| weeknum48 | 1.43213 | 1.36134 | 1.5066 | 13.88654 | 0 |
| weeknum49 | 1.58481 | 1.50674 | 1.66692 | 17.86604 | 0 |
| weeknum50 | 1.47809 | 1.40511 | 1.55486 | 15.12477 | 0 |
| weeknum51 | 1.48365 | 1.4104 | 1.5607 | 15.27207 | 0 |
| weeknum52 | 0.96206 | 0.91374 | 1.01295 | −1.47079 | 0.14135 |
| weeknum53 | 1.08627 | 1.02309 | 1.15334 | 2.70687 | 0.00679 |
| Tuesday | 1.21511 | 1.1074 | 1.33328 | 4.11433 | 0.00004 |
| Wednesday | 1.47684 | 1.34758 | 1.61848 | 8.34384 | 0 |
| Thursday | 1.7986 | 1.64238 | 1.96968 | 12.66232 | 0 |
| Friday | 2.20075 | 2.01084 | 2.40859 | 17.13148 | 0 |
| Saturday | 3.15338 | 2.88372 | 3.44827 | 25.17958 | 0 |
| Sunday | 2.93707 | 2.68456 | 3.21334 | 23.49004 | 0 |
| hour1 | 0.63309 | 0.57451 | 0.69765 | −9.22725 | 0 |
| hour2 | 0.35303 | 0.31826 | 0.39159 | −19.68451 | 0 |
| hour3 | 0.24193 | 0.21673 | 0.27006 | −25.28759 | 0 |
| hour4 | 0.21409 | 0.19132 | 0.23958 | −26.85745 | 0 |
| hour5 | 0.35319 | 0.31841 | 0.39176 | −19.67729 | 0 |
| hour6 | 1.17402 | 1.06978 | 1.28842 | 3.38174 | 0.00072 |
| hour7 | 4.20006 | 3.84143 | 4.59218 | 31.51366 | 0 |
| hour8 | 8.05472 | 7.3723 | 8.80031 | 46.18864 | 0 |
| hour9 | 4.88454 | 4.46841 | 5.33943 | 34.91168 | 0 |
| hour10 | 2.96949 | 2.71425 | 3.24873 | 23.73552 | 0 |
| hour11 | 3.32317 | 3.03822 | 3.63486 | 26.25496 | 0 |
| hour12 | 4.45261 | 4.07276 | 4.86789 | 32.82732 | 0 |
| hour13 | 4.90057 | 4.48309 | 5.35693 | 34.98547 | 0 |
| hour14 | 4.84373 | 4.43103 | 5.29488 | 34.72273 | 0 |
| hour15 | 5.81653 | 5.32211 | 6.35688 | 38.84665 | 0 |
| hour16 | 7.34448 | 6.72172 | 8.02495 | 44.10652 | 0 |
| hour17 | 9.74475 | 8.92038 | 10.64529 | 50.4847 | 0 |
| hour18 | 9.9338 | 9.09356 | 10.85167 | 50.91803 | 0 |
| hour19 | 6.94375 | 6.35464 | 7.58746 | 42.84101 | 0 |
| hour20 | 4.53713 | 4.15018 | 4.96016 | 33.25051 | 0 |
| hour21 | 3.27708 | 2.99599 | 3.58454 | 25.94193 | 0 |
| hour22 | 2.56025 | 2.3394 | 2.80194 | 20.42573 | 0 |
| hour23 | 1.80233 | 1.6452 | 1.97445 | 12.65788 | 0 |
| Tuesday × hour1 | 0.95022 | 0.82956 | 1.08842 | −0.73708 | 0.46108 |
| Wednesday × hour1 | 1.0005 | 0.87547 | 1.14339 | 0.00735 | 0.99414 |
| Thursday × hour1 | 0.9972 | 0.87369 | 1.13818 | −0.04152 | 0.96688 |
| Friday × hour1 | 1.14338 | 1.00323 | 1.30311 | 2.00833 | 0.04461 |
| Saturday × hour1 | 1.34922 | 1.18582 | 1.53513 | 4.54771 | 0.00001 |
| Sunday × hour1 | 1.50372 | 1.3209 | 1.71185 | 6.16798 | 0 |
| Tuesday × hour2 | 0.8832 | 0.76379 | 1.02128 | −1.67584 | 0.09377 |
| Wednesday × hour2 | 0.92873 | 0.80571 | 1.07055 | −1.01973 | 0.30786 |
| Thursday × hour2 | 1.04719 | 0.9108 | 1.20399 | 0.64765 | 0.51721 |
| Friday × hour2 | 1.3587 | 1.18477 | 1.55818 | 4.38582 | 0.00001 |
| Saturday × hour2 | 1.77705 | 1.55317 | 2.03319 | 8.36874 | 0 |
| Sunday × hour2 | 2.15356 | 1.8811 | 2.46549 | 11.11537 | 0 |
| Tuesday × hour3 | 0.78137 | 0.66873 | 0.91297 | −3.10645 | 0.00189 |
| Wednesday × hour3 | 0.82919 | 0.71274 | 0.96466 | −2.4259 | 0.01527 |
| Thursday × hour3 | 0.99725 | 0.86077 | 1.15537 | −0.03663 | 0.97078 |
| Friday × hour3 | 1.31706 | 1.14086 | 1.52047 | 3.75843 | 0.00017 |
| Saturday × hour3 | 1.84739 | 1.60544 | 2.1258 | 8.56976 | 0 |
| Sunday × hour3 | 2.3269 | 2.02185 | 2.67798 | 11.77907 | 0 |
| Tuesday × hour4 | 0.63318 | 0.53798 | 0.74523 | −5.49707 | 0 |
| Wednesday × hour4 | 0.64155 | 0.54764 | 0.75155 | −5.49712 | 0 |
| Thursday × hour4 | 0.75317 | 0.64634 | 0.87765 | −3.63216 | 0.00028 |
| Friday × hour4 | 0.97179 | 0.8379 | 1.12708 | −0.37833 | 0.70518 |
| Saturday × hour4 | 1.52429 | 1.32075 | 1.75919 | 5.76421 | 0 |
| Sunday × hour4 | 1.98239 | 1.71782 | 2.28769 | 9.36317 | 0 |
| Tuesday × hour5 | 0.78739 | 0.68015 | 0.91153 | −3.20011 | 0.00137 |
| Wednesday × hour5 | 0.66987 | 0.57946 | 0.77438 | −5.41657 | 0 |
| Thursday × hour5 | 0.6168 | 0.53439 | 0.71191 | −6.604 | 0 |
| Friday × hour5 | 0.58361 | 0.50648 | 0.67249 | −7.44606 | 0 |
| Saturday × hour5 | 0.66629 | 0.58041 | 0.76487 | −5.76749 | 0 |
| Sunday × hour5 | 0.88791 | 0.77381 | 1.01884 | −1.69395 | 0.09027 |
| Tuesday × hour6 | 0.94719 | 0.83148 | 1.07901 | −0.81612 | 0.41443 |
| Wednesday × hour6 | 0.71674 | 0.62972 | 0.81578 | −5.04313 | 0 |
| Thursday × hour6 | 0.61888 | 0.54411 | 0.70392 | −7.30453 | 0 |
| Friday × hour6 | 0.45441 | 0.39954 | 0.51681 | −12.01339 | 0 |
| Saturday × hour6 | 0.15291 | 0.13403 | 0.17446 | −27.91737 | 0 |
| Sunday × hour6 | 0.19328 | 0.16948 | 0.22042 | −24.5169 | 0 |
| Tuesday × hour7 | 0.97406 | 0.85935 | 1.10408 | −0.4111 | 0.681 |
| Wednesday × hour7 | 0.76604 | 0.67659 | 0.86732 | −4.20682 | 0.00003 |
| Thursday × hour7 | 0.61858 | 0.54663 | 0.69999 | −7.6135 | 0 |
| Friday × hour7 | 0.43462 | 0.38418 | 0.49168 | −13.23932 | 0 |
| Saturday × hour7 | 0.05229 | 0.04601 | 0.05942 | −45.21671 | 0 |
| Sunday × hour7 | 0.056 | 0.04924 | 0.06368 | −43.9423 | 0 |
| Tuesday × hour8 | 0.95697 | 0.84508 | 1.08368 | −0.69322 | 0.48817 |
| Wednesday × hour8 | 0.76354 | 0.67504 | 0.86364 | −4.29231 | 0.00002 |
| Thursday × hour8 | 0.61258 | 0.54186 | 0.69253 | −7.83049 | 0 |
| Friday × hour8 | 0.4266 | 0.37749 | 0.4821 | −13.65253 | 0 |
| Saturday × hour8 | 0.05083 | 0.04488 | 0.05757 | −46.87874 | 0 |
| Sunday × hour8 | 0.04371 | 0.03854 | 0.04958 | −48.67861 | 0 |
| Tuesday × hour9 | 0.9407 | 0.83013 | 1.066 | −0.95811 | 0.33801 |
| Wednesday × hour9 | 0.75956 | 0.67105 | 0.85975 | −4.35059 | 0.00001 |
| Thursday × hour9 | 0.63403 | 0.56045 | 0.71726 | −7.24056 | 0 |
| Friday × hour9 | 0.46545 | 0.41158 | 0.52636 | −12.18784 | 0 |
| Saturday × hour9 | 0.15477 | 0.13681 | 0.1751 | −29.64379 | 0 |
| Sunday × hour9 | 0.13016 | 0.11493 | 0.14742 | −32.09669 | 0 |
| Tuesday × hour10 | 0.88095 | 0.77647 | 0.99949 | −1.96786 | 0.04908 |
| Wednesday × hour10 | 0.72418 | 0.63903 | 0.82068 | −5.05653 | 0 |
| Thursday × hour10 | 0.60839 | 0.53715 | 0.68906 | −7.82171 | 0 |
| Friday × hour10 | 0.49844 | 0.44028 | 0.56428 | −10.99909 | 0 |
| Saturday × hour10 | 0.36617 | 0.32367 | 0.41426 | −15.95852 | 0 |
| Sunday × hour10 | 0.32748 | 0.28921 | 0.37081 | −17.60574 | 0 |
| Tuesday × hour11 | 0.85697 | 0.75554 | 0.97201 | −2.40165 | 0.01632 |
| Wednesday × hour11 | 0.70295 | 0.62047 | 0.7964 | −5.53477 | 0 |
| Thursday × hour11 | 0.60501 | 0.53434 | 0.68504 | −7.92845 | 0 |
| Friday × hour11 | 0.50956 | 0.45025 | 0.57667 | −10.67954 | 0 |
| Saturday × hour11 | 0.44398 | 0.39264 | 0.50202 | −12.95194 | 0 |
| Sunday × hour11 | 0.39119 | 0.34567 | 0.44271 | −14.86921 | 0 |
| Tuesday × hour12 | 0.88243 | 0.77853 | 1.0002 | −1.95687 | 0.05036 |
| Wednesday × hour12 | 0.73374 | 0.64811 | 0.83069 | −4.88968 | 0 |
| Thursday × hour12 | 0.62865 | 0.5556 | 0.7113 | −7.36527 | 0 |
| Friday × hour12 | 0.51648 | 0.45667 | 0.58412 | −10.52283 | 0 |
| Saturday × hour12 | 0.40799 | 0.36101 | 0.46109 | −14.36272 | 0 |
| Sunday × hour12 | 0.38438 | 0.33987 | 0.43472 | −15.22599 | 0 |
| Tuesday × hour13 | 0.83918 | 0.74047 | 0.95105 | −2.74612 | 0.00603 |
| Wednesday × hour13 | 0.71437 | 0.6311 | 0.80864 | −5.31891 | 0 |
| Thursday × hour13 | 0.60701 | 0.53656 | 0.68672 | −7.93055 | 0 |
| Friday × hour13 | 0.53462 | 0.47281 | 0.60451 | −9.98958 | 0 |
| Saturday × hour13 | 0.41962 | 0.37137 | 0.47413 | −13.93432 | 0 |
| Sunday × hour13 | 0.42076 | 0.37213 | 0.47575 | −13.81387 | 0 |
| Tuesday × hour14 | 0.82069 | 0.72412 | 0.93012 | −3.09415 | 0.00197 |
| Wednesday × hour14 | 0.7006 | 0.61891 | 0.79307 | −5.62505 | 0 |
| Thursday × hour14 | 0.59813 | 0.52869 | 0.67669 | −8.16247 | 0 |
| Friday × hour14 | 0.57257 | 0.50639 | 0.6474 | −8.89798 | 0 |
| Saturday × hour14 | 0.44883 | 0.39724 | 0.50713 | −12.85715 | 0 |
| Sunday × hour14 | 0.46893 | 0.41476 | 0.53018 | −12.09015 | 0 |
| Tuesday × hour15 | 0.80719 | 0.71243 | 0.91455 | −3.36183 | 0.00077 |
| Wednesday × hour15 | 0.68144 | 0.60216 | 0.77116 | −6.07754 | 0 |
| Thursday × hour15 | 0.58272 | 0.51521 | 0.65907 | −8.597 | 0 |
| Friday × hour15 | 0.53026 | 0.46908 | 0.59942 | −10.14243 | 0 |
| Saturday × hour15 | 0.37535 | 0.33225 | 0.42403 | −15.7478 | 0 |
| Sunday × hour15 | 0.39645 | 0.35071 | 0.44816 | −14.79129 | 0 |
| Tuesday × hour16 | 0.81363 | 0.71836 | 0.92154 | −3.24576 | 0.00117 |
| Wednesday × hour16 | 0.69281 | 0.61241 | 0.78376 | −5.83136 | 0 |
| Thursday × hour16 | 0.57443 | 0.50805 | 0.64949 | −8.84742 | 0 |
| Friday × hour16 | 0.49157 | 0.43497 | 0.55554 | −11.37837 | 0 |
| Saturday × hour16 | 0.27901 | 0.24701 | 0.31516 | −20.53488 | 0 |
| Sunday × hour16 | 0.29894 | 0.26448 | 0.33789 | −19.32518 | 0 |
| Tuesday × hour17 | 0.81838 | 0.72278 | 0.92664 | −3.16202 | 0.00157 |
| Wednesday × hour17 | 0.68212 | 0.60314 | 0.77144 | −6.09306 | 0 |
| Thursday × hour17 | 0.55142 | 0.48783 | 0.6233 | −9.52218 | 0 |
| Friday × hour17 | 0.39578 | 0.35028 | 0.44719 | −14.87474 | 0 |
| Saturday × hour17 | 0.20997 | 0.18591 | 0.23714 | −25.14042 | 0 |
| Sunday × hour17 | 0.21512 | 0.19035 | 0.24312 | −24.61568 | 0 |
| Tuesday × hour18 | 0.81258 | 0.71766 | 0.92005 | −3.27481 | 0.00106 |
| Wednesday × hour18 | 0.69154 | 0.61149 | 0.78208 | −5.87573 | 0 |
| Thursday × hour18 | 0.54815 | 0.48495 | 0.61959 | −9.61859 | 0 |
| Friday × hour18 | 0.36292 | 0.32119 | 0.41008 | −16.26182 | 0 |
| Saturday × hour18 | 0.18943 | 0.16772 | 0.21395 | −26.78698 | 0 |
| Sunday × hour18 | 0.18412 | 0.1629 | 0.2081 | −27.08673 | 0 |
| Tuesday × hour19 | 0.82623 | 0.72943 | 0.93587 | −3.0025 | 0.00268 |
| Wednesday × hour19 | 0.72009 | 0.63649 | 0.81467 | −5.21562 | 0 |
| Thursday × hour19 | 0.58191 | 0.51463 | 0.65799 | −8.63659 | 0 |
| Friday × hour19 | 0.41974 | 0.37135 | 0.47444 | −13.88948 | 0 |
| Saturday × hour19 | 0.2428 | 0.21491 | 0.27431 | −22.73572 | 0 |
| Sunday × hour19 | 0.21765 | 0.19249 | 0.24609 | −24.33259 | 0 |
| Tuesday × hour20 | 0.87866 | 0.77523 | 0.99589 | −2.02439 | 0.04293 |
| Wednesday × hour20 | 0.76276 | 0.67379 | 0.86348 | −4.27961 | 0.00002 |
| Thursday × hour20 | 0.6108 | 0.53983 | 0.6911 | −7.82289 | 0 |
| Friday × hour20 | 0.51385 | 0.45437 | 0.58113 | −10.60678 | 0 |
| Saturday × hour20 | 0.30835 | 0.27278 | 0.34855 | −18.815 | 0 |
| Sunday × hour20 | 0.24137 | 0.21331 | 0.27311 | −22.54564 | 0 |
| Tuesday × hour21 | 0.91456 | 0.80635 | 1.0373 | −1.39004 | 0.16452 |
| Wednesday × hour21 | 0.77226 | 0.6817 | 0.87485 | −4.06084 | 0.00005 |
| Thursday × hour21 | 0.63913 | 0.56448 | 0.72364 | −7.06471 | 0 |
| Friday × hour21 | 0.54695 | 0.48331 | 0.61896 | −9.56163 | 0 |
| Saturday × hour21 | 0.33247 | 0.29392 | 0.37608 | −17.51294 | 0 |
| Sunday × hour21 | 0.2455 | 0.21677 | 0.27804 | −22.11696 | 0 |
| Tuesday × hour22 | 0.97232 | 0.85674 | 1.1035 | −0.43468 | 0.6638 |
| Wednesday × hour22 | 0.84982 | 0.74973 | 0.96328 | −2.54517 | 0.01092 |
| Thursday × hour22 | 0.71998 | 0.63555 | 0.81563 | −5.16206 | 0 |
| Friday × hour22 | 0.60948 | 0.53827 | 0.6901 | −7.81124 | 0 |
| Saturday × hour22 | 0.36293 | 0.32065 | 0.41078 | −16.03917 | 0 |
| Sunday × hour22 | 0.26189 | 0.23107 | 0.29683 | −20.97112 | 0 |
| Tuesday × hour23 | 0.98758 | 0.86906 | 1.12227 | −0.19154 | 0.8481 |
| Wednesday × hour23 | 0.96602 | 0.85133 | 1.09615 | −0.53618 | 0.59183 |
| Thursday × hour23 | 0.88622 | 0.78156 | 1.00489 | −1.88383 | 0.05959 |
| Friday × hour23 | 0.83394 | 0.73593 | 0.945 | −2.84688 | 0.00442 |
| Saturday × hour23 | 0.52726 | 0.46551 | 0.59719 | −10.07198 | 0 |
| Sunday × hour23 | 0.27959 | 0.24632 | 0.31735 | −19.71768 | 0 |
| Model Info: Observations: 8760 Dependent variable: bookings Type: generalized linear model Family: Negative Binomial Link function: log | Model Fit: Pseudo-R (Nagelkerke) = 0.94443 AIC = 92,400.78528 RMSE = 66.35545 | ||||
Appendix A.2
- Number of cluster (cluster1 … cluster8);
- Weekday (Monday … Sunday);
- Time of day (hour00 … hour23);
- Interaction term between weekday and time of day (Monday × hour00 … Sunday × hour23).
| Parameter | exp(Estimate) | 2.5% | 97.5% | z-Value | p-Value |
|---|---|---|---|---|---|
| Intercept | 36.06807 | 33.66655 | 38.64089 | 101.98774 | 0 |
| cluster2 | 1.29344 | 1.26802 | 1.31937 | 25.407 | 0 |
| cluster3 | 1.56703 | 1.53731 | 1.59731 | 45.9887 | 0 |
| cluster4 | 1.94824 | 1.90712 | 1.99025 | 61.27461 | 0 |
| cluster5 | 2.2289 | 2.18418 | 2.27454 | 77.5041 | 0 |
| cluster6 | 2.49625 | 2.44392 | 2.54969 | 84.636 | 0 |
| cluster7 | 2.71512 | 2.66547 | 2.76569 | 106.08542 | 0 |
| cluster8 | 2.97104 | 2.91181 | 3.03147 | 105.98863 | 0 |
| Tuesday | 1.21146 | 1.10226 | 1.33147 | 3.98016 | 0.00007 |
| Wednesday | 1.47616 | 1.34476 | 1.62041 | 8.18713 | 0 |
| Thursday | 1.79838 | 1.63946 | 1.9727 | 12.43287 | 0 |
| Friday | 2.20146 | 2.00814 | 2.41339 | 16.82734 | 0 |
| Saturday | 3.15199 | 2.87758 | 3.45257 | 24.70337 | 0 |
| Sunday | 2.93018 | 2.67371 | 3.21125 | 23.00396 | 0 |
| hour1 | 0.63255 | 0.57312 | 0.69814 | −9.09839 | 0 |
| hour2 | 0.35251 | 0.31733 | 0.39159 | −19.43723 | 0 |
| hour3 | 0.24146 | 0.21601 | 0.26991 | −25.00651 | 0 |
| hour4 | 0.21356 | 0.19058 | 0.23931 | −26.57694 | 0 |
| hour5 | 0.35226 | 0.3171 | 0.39131 | −19.44892 | 0 |
| hour6 | 1.17162 | 1.06585 | 1.2879 | 3.28083 | 0.00104 |
| hour7 | 4.18853 | 3.82432 | 4.58742 | 30.86091 | 0 |
| hour8 | 8.03662 | 7.34303 | 8.79571 | 45.25545 | 0 |
| hour9 | 4.87561 | 4.45259 | 5.33882 | 34.21192 | 0 |
| hour10 | 2.96347 | 2.70415 | 3.24766 | 23.25162 | 0 |
| hour11 | 3.31302 | 3.02377 | 3.62994 | 25.69912 | 0 |
| hour12 | 4.43575 | 4.05038 | 4.85778 | 32.12553 | 0 |
| hour13 | 4.88128 | 4.45778 | 5.34503 | 34.23761 | 0 |
| hour14 | 4.82277 | 4.40427 | 5.28103 | 33.97139 | 0 |
| hour15 | 5.7931 | 5.29155 | 6.3422 | 38.02006 | 0 |
| hour16 | 7.31935 | 6.68716 | 8.01131 | 43.18873 | 0 |
| hour17 | 9.70314 | 8.86693 | 10.61822 | 49.42118 | 0 |
| hour18 | 9.89627 | 9.04353 | 10.82943 | 49.8568 | 0 |
| hour19 | 6.91728 | 6.3195 | 7.5716 | 41.93976 | 0 |
| hour20 | 4.52315 | 4.1303 | 4.95337 | 32.55599 | 0 |
| hour21 | 3.27109 | 2.98543 | 3.58408 | 25.41923 | 0 |
| hour22 | 2.55577 | 2.33136 | 2.80178 | 20.01237 | 0 |
| hour23 | 1.79846 | 1.63893 | 1.97352 | 12.38455 | 0 |
| Tuesday × hour1 | 0.951 | 0.82837 | 1.09177 | −0.71338 | 0.47561 |
| Wednesday × hour1 | 1.00093 | 0.87386 | 1.14646 | 0.01335 | 0.98935 |
| Thursday × hour1 | 0.99778 | 0.8722 | 1.14144 | −0.03242 | 0.97414 |
| Friday × hour1 | 1.14523 | 1.00254 | 1.30823 | 1.99737 | 0.04578 |
| Saturday × hour1 | 1.35134 | 1.18491 | 1.54115 | 4.49006 | 0.00001 |
| Sunday × hour1 | 1.50504 | 1.31894 | 1.71739 | 6.07074 | 0 |
| Tuesday × hour2 | 0.88494 | 0.76367 | 1.02545 | −1.62568 | 0.10402 |
| Wednesday × hour2 | 0.9289 | 0.80413 | 1.07302 | −1.00227 | 0.31621 |
| Thursday × hour2 | 1.04835 | 0.90984 | 1.20794 | 0.65311 | 0.51368 |
| Friday × hour2 | 1.36274 | 1.18568 | 1.56624 | 4.3583 | 0.00001 |
| Saturday × hour2 | 1.78042 | 1.55262 | 2.04163 | 8.25842 | 0 |
| Sunday × hour2 | 2.15992 | 1.88237 | 2.47839 | 10.97382 | 0 |
| Tuesday × hour3 | 0.78291 | 0.66872 | 0.9166 | −3.04266 | 0.00234 |
| Wednesday × hour3 | 0.82978 | 0.71181 | 0.96729 | −2.38508 | 0.01708 |
| Thursday × hour3 | 0.99934 | 0.86081 | 1.16017 | −0.00861 | 0.99313 |
| Friday × hour3 | 1.31921 | 1.14032 | 1.52616 | 3.72603 | 0.00019 |
| Saturday × hour3 | 1.85133 | 1.60539 | 2.13495 | 8.46903 | 0 |
| Sunday × hour3 | 2.33401 | 2.0236 | 2.69203 | 11.64079 | 0 |
| Tuesday × hour4 | 0.63512 | 0.5386 | 0.74894 | −5.39719 | 0 |
| Wednesday × hour4 | 0.64227 | 0.5472 | 0.75386 | −5.41689 | 0 |
| Thursday × hour4 | 0.75384 | 0.64563 | 0.88019 | −3.57406 | 0.00035 |
| Friday × hour4 | 0.97346 | 0.83762 | 1.13134 | −0.35077 | 0.72576 |
| Saturday × hour4 | 1.52831 | 1.32142 | 1.76759 | 5.71549 | 0 |
| Sunday × hour4 | 1.98911 | 1.71995 | 2.3004 | 9.27038 | 0 |
| Tuesday × hour5 | 0.79005 | 0.68102 | 0.91655 | −3.11004 | 0.00187 |
| Wednesday × hour5 | 0.67011 | 0.57845 | 0.7763 | −5.33384 | 0 |
| Thursday × hour5 | 0.61803 | 0.53433 | 0.71484 | −6.48101 | 0 |
| Friday × hour5 | 0.58366 | 0.50543 | 0.67399 | −7.33357 | 0 |
| Saturday × hour5 | 0.66718 | 0.57991 | 0.76759 | −5.65783 | 0 |
| Sunday × hour5 | 0.89051 | 0.77434 | 1.02412 | −1.62584 | 0.10398 |
| Tuesday × hour6 | 0.94866 | 0.8308 | 1.08323 | −0.77879 | 0.43611 |
| Wednesday × hour6 | 0.71581 | 0.62743 | 0.81663 | −4.97261 | 0 |
| Thursday × hour6 | 0.61828 | 0.5423 | 0.7049 | −7.18754 | 0 |
| Friday × hour6 | 0.45424 | 0.39845 | 0.51784 | −11.80287 | 0 |
| Saturday × hour6 | 0.15309 | 0.13387 | 0.17507 | −27.42116 | 0 |
| Sunday × hour6 | 0.19359 | 0.16936 | 0.22129 | −24.06501 | 0 |
| Tuesday × hour7 | 0.97557 | 0.85857 | 1.1085 | −0.37952 | 0.7043 |
| Wednesday × hour7 | 0.7655 | 0.67445 | 0.86883 | −4.13641 | 0.00004 |
| Thursday × hour7 | 0.61804 | 0.54481 | 0.70111 | −7.47848 | 0 |
| Friday × hour7 | 0.43491 | 0.38349 | 0.49322 | −12.96995 | 0 |
| Saturday × hour7 | 0.05237 | 0.04597 | 0.05966 | −44.36758 | 0 |
| Sunday × hour7 | 0.05609 | 0.0492 | 0.06393 | −43.11472 | 0 |
| Tuesday × hour8 | 0.95719 | 0.84318 | 1.08662 | −0.67616 | 0.49894 |
| Wednesday × hour8 | 0.76301 | 0.67291 | 0.86518 | −4.21881 | 0.00002 |
| Thursday × hour8 | 0.6113 | 0.53939 | 0.69279 | −7.70813 | 0 |
| Friday × hour8 | 0.42686 | 0.37678 | 0.48359 | −13.37118 | 0 |
| Saturday × hour8 | 0.05085 | 0.04478 | 0.05774 | −45.97118 | 0 |
| Sunday × hour8 | 0.04375 | 0.03847 | 0.04975 | −47.74099 | 0 |
| Tuesday × hour9 | 0.94082 | 0.8282 | 1.06876 | −0.9377 | 0.3484 |
| Wednesday × hour9 | 0.7591 | 0.669 | 0.86133 | −4.27556 | 0.00002 |
| Thursday × hour9 | 0.633 | 0.55817 | 0.71786 | −7.12398 | 0 |
| Friday × hour9 | 0.46575 | 0.41084 | 0.52801 | −11.93758 | 0 |
| Saturday × hour9 | 0.15468 | 0.13639 | 0.17542 | −29.0727 | 0 |
| Sunday × hour9 | 0.13023 | 0.1147 | 0.14786 | −31.46498 | 0 |
| Tuesday × hour10 | 0.8807 | 0.77436 | 1.00164 | −1.93497 | 0.05299 |
| Wednesday × hour10 | 0.72323 | 0.63665 | 0.8216 | −4.98032 | 0 |
| Thursday × hour10 | 0.60785 | 0.53537 | 0.69014 | −7.68508 | 0 |
| Friday × hour10 | 0.49869 | 0.43943 | 0.56595 | −10.77865 | 0 |
| Saturday × hour10 | 0.36601 | 0.32273 | 0.4151 | −15.65285 | 0 |
| Sunday × hour10 | 0.32775 | 0.28873 | 0.37204 | −17.2499 | 0 |
| Tuesday × hour11 | 0.85752 | 0.75418 | 0.97502 | −2.34605 | 0.01897 |
| Wednesday × hour11 | 0.70236 | 0.61844 | 0.79768 | −5.44169 | 0 |
| Thursday × hour11 | 0.60502 | 0.53304 | 0.68672 | −7.77507 | 0 |
| Friday × hour11 | 0.51017 | 0.44969 | 0.57879 | −10.45304 | 0 |
| Saturday × hour11 | 0.44401 | 0.3917 | 0.50331 | −12.69479 | 0 |
| Sunday × hour11 | 0.39226 | 0.34575 | 0.44502 | −14.53453 | 0 |
| Tuesday × hour12 | 0.88276 | 0.77691 | 1.00303 | −1.91349 | 0.05569 |
| Wednesday × hour12 | 0.73351 | 0.64632 | 0.83246 | −4.79989 | 0 |
| Thursday × hour12 | 0.62925 | 0.55476 | 0.71373 | −7.20659 | 0 |
| Friday × hour12 | 0.51737 | 0.45634 | 0.58657 | −10.28882 | 0 |
| Saturday × hour12 | 0.40866 | 0.3607 | 0.46299 | −14.05091 | 0 |
| Sunday × hour12 | 0.38582 | 0.34029 | 0.43745 | −14.86477 | 0 |
| Tuesday × hour13 | 0.84073 | 0.74002 | 0.95514 | −2.66493 | 0.0077 |
| Wednesday × hour13 | 0.7146 | 0.62975 | 0.81088 | −5.21069 | 0 |
| Thursday × hour13 | 0.6076 | 0.53576 | 0.68908 | −7.75996 | 0 |
| Friday × hour13 | 0.53592 | 0.47279 | 0.60748 | −9.75463 | 0 |
| Saturday × hour13 | 0.42027 | 0.37102 | 0.47606 | −13.63119 | 0 |
| Sunday × hour13 | 0.4224 | 0.37265 | 0.4788 | −13.47724 | 0 |
| Tuesday × hour14 | 0.82264 | 0.72406 | 0.93463 | −2.99811 | 0.00272 |
| Wednesday × hour14 | 0.70088 | 0.61763 | 0.79534 | −5.50975 | 0 |
| Thursday × hour14 | 0.59886 | 0.52803 | 0.67919 | −7.98364 | 0 |
| Friday × hour14 | 0.57422 | 0.50659 | 0.65087 | −8.67728 | 0 |
| Saturday × hour14 | 0.44973 | 0.39704 | 0.50941 | −12.56856 | 0 |
| Sunday × hour14 | 0.47071 | 0.41529 | 0.53353 | −11.78933 | 0 |
| Tuesday × hour15 | 0.80843 | 0.71177 | 0.91822 | −3.27312 | 0.00106 |
| Wednesday × hour15 | 0.68115 | 0.60042 | 0.77274 | −5.96557 | 0 |
| Thursday × hour15 | 0.58355 | 0.51467 | 0.66164 | −8.4057 | 0 |
| Friday × hour15 | 0.53162 | 0.46912 | 0.60245 | −9.90125 | 0 |
| Saturday × hour15 | 0.37601 | 0.33201 | 0.42585 | −15.40395 | 0 |
| Sunday × hour15 | 0.39774 | 0.35097 | 0.45075 | −14.44385 | 0 |
| Tuesday × hour16 | 0.81499 | 0.71778 | 0.92537 | −3.1569 | 0.00159 |
| Wednesday × hour16 | 0.69212 | 0.6103 | 0.78492 | −5.73238 | 0 |
| Thursday × hour16 | 0.57415 | 0.50654 | 0.65079 | −8.68011 | 0 |
| Friday × hour16 | 0.49243 | 0.43465 | 0.55789 | −11.12447 | 0 |
| Saturday × hour16 | 0.27926 | 0.24661 | 0.31623 | −20.10828 | 0 |
| Sunday × hour16 | 0.29963 | 0.26443 | 0.33951 | −18.90102 | 0 |
| Tuesday × hour17 | 0.82039 | 0.72275 | 0.93121 | −3.06243 | 0.0022 |
| Wednesday × hour17 | 0.68235 | 0.60185 | 0.77361 | −5.96784 | 0 |
| Thursday × hour17 | 0.55152 | 0.48672 | 0.62496 | −9.33008 | 0 |
| Friday × hour17 | 0.39668 | 0.3502 | 0.44933 | −14.54177 | 0 |
| Saturday × hour17 | 0.21035 | 0.18578 | 0.23816 | −24.60536 | 0 |
| Sunday × hour17 | 0.21563 | 0.19032 | 0.24431 | −24.08292 | 0 |
| Tuesday × hour18 | 0.81512 | 0.71813 | 0.92522 | −3.16235 | 0.00156 |
| Wednesday × hour18 | 0.69109 | 0.60957 | 0.7835 | −5.77025 | 0 |
| Thursday × hour18 | 0.54822 | 0.48381 | 0.62121 | −9.42535 | 0 |
| Friday × hour18 | 0.36375 | 0.32112 | 0.41204 | −15.9013 | 0 |
| Saturday × hour18 | 0.1897 | 0.16754 | 0.2148 | −26.2248 | 0 |
| Sunday × hour18 | 0.18452 | 0.16285 | 0.20908 | −26.50792 | 0 |
| Tuesday × hour19 | 0.82843 | 0.72957 | 0.94068 | −2.90315 | 0.00369 |
| Wednesday × hour19 | 0.72019 | 0.63501 | 0.81679 | −5.11135 | 0 |
| Thursday × hour19 | 0.58245 | 0.51383 | 0.66023 | −8.45157 | 0 |
| Friday × hour19 | 0.42094 | 0.37148 | 0.47698 | −13.56916 | 0 |
| Saturday × hour19 | 0.24333 | 0.21484 | 0.2756 | −22.246 | 0 |
| Sunday × hour19 | 0.21809 | 0.1924 | 0.24721 | −23.81504 | 0 |
| Tuesday × hour20 | 0.88052 | 0.77496 | 1.00045 | −1.95307 | 0.05081 |
| Wednesday × hour20 | 0.76335 | 0.67266 | 0.86627 | −4.18471 | 0.00003 |
| Sunday × hour21 | 0.24567 | 0.21638 | 0.27892 | −21.67633 | 0 |
| Thursday × hour20 | 0.61123 | 0.53888 | 0.69329 | −7.65919 | 0 |
| Friday × hour20 | 0.515 | 0.45426 | 0.58386 | −10.36332 | 0 |
| Saturday × hour20 | 0.30876 | 0.27247 | 0.34989 | −18.42045 | 0 |
| Sunday × hour20 | 0.24181 | 0.21317 | 0.27429 | −22.07248 | 0 |
| Tuesday × hour21 | 0.91588 | 0.80555 | 1.04132 | −1.34169 | 0.1797 |
| Wednesday × hour21 | 0.7724 | 0.68016 | 0.87714 | −3.98035 | 0.00007 |
| Thursday × hour21 | 0.63907 | 0.56305 | 0.72534 | −6.92978 | 0 |
| Friday × hour21 | 0.54751 | 0.48262 | 0.62111 | −9.35983 | 0 |
| Saturday × hour21 | 0.33252 | 0.29324 | 0.37706 | −17.16703 | 0 |
| Tuesday × hour22 | 0.97373 | 0.8559 | 1.10778 | −0.40451 | 0.68584 |
| Wednesday × hour22 | 0.8497 | 0.74781 | 0.96547 | −2.4991 | 0.01245 |
| Thursday × hour22 | 0.71996 | 0.63399 | 0.8176 | −5.06366 | 0 |
| Friday × hour22 | 0.60985 | 0.53729 | 0.69222 | −7.6512 | 0 |
| Saturday × hour22 | 0.36305 | 0.31997 | 0.41193 | −15.72255 | 0 |
| Sunday × hour22 | 0.2622 | 0.23077 | 0.29791 | −20.55046 | 0 |
| Tuesday × hour23 | 0.98866 | 0.86792 | 1.12619 | −0.17168 | 0.86369 |
| Wednesday × hour23 | 0.96665 | 0.84985 | 1.09951 | −0.51622 | 0.6057 |
| Thursday × hour23 | 0.88714 | 0.78048 | 1.00837 | −1.83245 | 0.06688 |
| Friday × hour23 | 0.83477 | 0.73488 | 0.94824 | −2.77736 | 0.00548 |
| Saturday × hour23 | 0.52779 | 0.46485 | 0.59926 | −9.86282 | 0 |
| Sunday × hour23 | 0.28027 | 0.24632 | 0.31889 | −19.31151 | 0 |
| Friday × hour16 | 0.49157 | 0.43497 | 0.55554 | −11.37837 | 0 |
| Saturday × hour16 | 0.27901 | 0.24701 | 0.31516 | −20.53488 | 0 |
| Sunday × hour16 | 0.29894 | 0.26448 | 0.33789 | −19.32518 | 0 |
| Tuesday × hour17 | 0.81838 | 0.72278 | 0.92664 | −3.16202 | 0.00157 |
| Wednesday × hour17 | 0.68212 | 0.60314 | 0.77144 | −6.09306 | 0 |
| Thursday × hour17 | 0.55142 | 0.48783 | 0.6233 | −9.52218 | 0 |
| Friday × hour17 | 0.39578 | 0.35028 | 0.44719 | −14.87474 | 0 |
| Saturday × hour17 | 0.20997 | 0.18591 | 0.23714 | −25.14042 | 0 |
| Sunday × hour17 | 0.21512 | 0.19035 | 0.24312 | −24.61568 | 0 |
| Tuesday × hour18 | 0.81258 | 0.71766 | 0.92005 | −3.27481 | 0.00106 |
| Wednesday × hour18 | 0.69154 | 0.61149 | 0.78208 | −5.87573 | 0 |
| Thursday × hour18 | 0.54815 | 0.48495 | 0.61959 | −9.61859 | 0 |
| Friday × hour18 | 0.36292 | 0.32119 | 0.41008 | −16.26182 | 0 |
| Saturday × hour18 | 0.18943 | 0.16772 | 0.21395 | −26.78698 | 0 |
| Sunday × hour18 | 0.18412 | 0.1629 | 0.2081 | −27.08673 | 0 |
| Tuesday × hour19 | 0.82623 | 0.72943 | 0.93587 | −3.0025 | 0.00268 |
| Wednesday × hour19 | 0.72009 | 0.63649 | 0.81467 | −5.21562 | 0 |
| Thursday × hour19 | 0.58191 | 0.51463 | 0.65799 | −8.63659 | 0 |
| Friday × hour19 | 0.41974 | 0.37135 | 0.47444 | −13.88948 | 0 |
| Saturday × hour19 | 0.2428 | 0.21491 | 0.27431 | −22.73572 | 0 |
| Sunday × hour19 | 0.21765 | 0.19249 | 0.24609 | −24.33259 | 0 |
| Tuesday × hour20 | 0.87866 | 0.77523 | 0.99589 | −2.02439 | 0.04293 |
| Wednesday × hour20 | 0.76276 | 0.67379 | 0.86348 | −4.27961 | 0.00002 |
| Thursday × hour20 | 0.6108 | 0.53983 | 0.6911 | −7.82289 | 0 |
| Friday × hour20 | 0.51385 | 0.45437 | 0.58113 | −10.60678 | 0 |
| Saturday × hour20 | 0.30835 | 0.27278 | 0.34855 | −18.815 | 0 |
| Sunday × hour20 | 0.24137 | 0.21331 | 0.27311 | −22.54564 | 0 |
| Tuesday × hour21 | 0.91456 | 0.80635 | 1.0373 | −1.39004 | 0.16452 |
| Wednesday × hour21 | 0.77226 | 0.6817 | 0.87485 | −4.06084 | 0.00005 |
| Thursday × hour21 | 0.63913 | 0.56448 | 0.72364 | −7.06471 | 0 |
| Friday × hour21 | 0.54695 | 0.48331 | 0.61896 | −9.56163 | 0 |
| Saturday × hour21 | 0.33247 | 0.29392 | 0.37608 | −17.51294 | 0 |
| Sunday × hour21 | 0.2455 | 0.21677 | 0.27804 | −22.11696 | 0 |
| Tuesday × hour22 | 0.97232 | 0.85674 | 1.1035 | −0.43468 | 0.6638 |
| Wednesday × hour22 | 0.84982 | 0.74973 | 0.96328 | −2.54517 | 0.01092 |
| Thursday × hour22 | 0.71998 | 0.63555 | 0.81563 | −5.16206 | 0 |
| Friday × hour22 | 0.60948 | 0.53827 | 0.6901 | −7.81124 | 0 |
| Saturday × hour22 | 0.36293 | 0.32065 | 0.41078 | −16.03917 | 0 |
| Sunday × hour22 | 0.26189 | 0.23107 | 0.29683 | −20.97112 | 0 |
| Tuesday × hour23 | 0.98758 | 0.86906 | 1.12227 | −0.19154 | 0.8481 |
| Wednesday × hour23 | 0.96602 | 0.85133 | 1.09615 | −0.53618 | 0.59183 |
| Thursday × hour23 | 0.88622 | 0.78156 | 1.00489 | −1.88383 | 0.05959 |
| Friday × hour23 | 0.83394 | 0.73593 | 0.945 | −2.84688 | 0.00442 |
| Saturday × hour23 | 0.52726 | 0.46551 | 0.59719 | −10.07198 | 0 |
| Sunday × hour23 | 0.27959 | 0.24632 | 0.31735 | −19.71768 | 0 |
| Model Info: Observations: 8760 Dependent variable: bookings Type: generalized linear model Family: Negative Binomial Link function: log | Model Fit: Pseudo-R (Nagelkerke) = 0.94235 AIC = 92,635.93798 RMSE = 66.26881 | ||||
References
- United Nations. World Urbanization Prospects: The 2018 Revision (ST/ESA/SER.A/420); United Nations: San Francisco, CA, USA, 2019. [Google Scholar]
- Okraszewska, R.; Romanowska, A.; Wołek, M.; Oskarbski, J.; Birr, K.; Jamroz, K. Integration of a multilevel transport system model into sustainable Urban mobility planning. Sustainability 2018, 10, 479. [Google Scholar] [CrossRef]
- Lam, D.; Head, P. Sustainable Urban Mobility. In Energy, Transport, & the Environment; Springer: London, UK, 2012; pp. 359–371. ISBN 978-1-4471-2717-8. [Google Scholar] [CrossRef]
- Torrisi, V.; Garau, C.; Ignaccolo, M.; Inturri, G. “Sustainable Urban Mobility Plans”: Key Concepts and a Critical Revision on SUMPs Guidelines; Lecture Notes in Computer Science (Including Subseries Lecture Notes in Artificial Intelligence and Lecture Notes in Bioinformatics); Springer: Cham, Switzerland, 2020; Volume 12255, pp. 613–628. [Google Scholar] [CrossRef]
- van Wee, B.; Ettema, D. Travel behaviour and health: A conceptual model and research agenda. J. Transp. Health 2016, 3, 240–248. [Google Scholar] [CrossRef]
- Comission of the European Communities. Green Paper: Towards a New Culture for Urban Mobility; Technical Report; European Comission: Brussels, Belgium, 2007. [Google Scholar]
- Yu, C.; O’Brien, O.; DeMaio, P.; Rabello, R.; Chou, S.; Benicchio, T. The Meddin Bike-Sharing World Map Mid-2021 Report. Technical Report. 2021. Available online: https://bikesharingworldmap.com/reports/bswm_mid2021report.pdf (accessed on 6 June 2022).
- Yang, Z.; Hu, J.; Shu, Y.; Cheng, P.; Chen, J.; Moscibroda, T. Mobility modeling and prediction in bike-sharing systems. In Proceedings of the MobiSys 2016, 14th Annual International Conference on Mobile Systems, Applications, and Services, Singapore, 26–30 June 2016; Association for Computing Machinery: New York, NY, USA, 2016; pp. 165–178. [Google Scholar] [CrossRef]
- Li, Y.; Zheng, Y.; Zhang, H.; Chen, L. Traffic prediction in a bike-sharing system. In Proceedings of the GIS: ACM International Symposium on Advances in Geographic Information Systems, Seattle, WA, USA, 3–6 November 2015. [Google Scholar] [CrossRef]
- Kim, D.; Shin, H.; Im, H.; Park, J. Factors Influencing Travel Behaviors in Bikesharing. In Proceedings of the TRB Annual Meeting, Washington, DC, USA, 22–26 January 2012; Volume 509, pp. 1–14. [Google Scholar]
- Cantelmo, G.; Kucharski, R.; Antoniou, C. Low-Dimensional Model for Bike-Sharing Demand Forecasting that Explicitly Accounts for Weather Data. Transp. Res. Rec. 2020, 2674, 132–144. [Google Scholar] [CrossRef]
- Krause, K.; Assmann, T.; Schmidt, S.; Matthies, E. Autonomous driving cargo bikes—Introducing an acceptability-focused approach towards a new mobility offer. Transp. Res. Interdiscip. Perspect. 2020, 6, 100135. [Google Scholar] [CrossRef]
- Zug, S.; Schmidt, S.; Assmann, T.; Krause, K.; Salzer, S.; Seidel, M.; Schmidt, M. Smart Cities/Smart Regions—Technische, wirtschaftliche und gesellschaftliche Innovationen. In BikeSharing-System der 5. Generation; Springer: Wiesbaden, Germany, 2019; pp. 189–202. [Google Scholar] [CrossRef]
- Assmann, T.; Matthies, E.; Gehlmann, F.; Schmidt, S. Shared autonomous cargo bike fleets—A better solution for future mobility than shared autonomous car fleets? In Proceedings of the ETC Conference Papers 2020, Milan, Italy, 9–11 September 2020. [Google Scholar]
- Kastner, K.; Gehlmann, F.; Salzer, S.; Kastner, I.; Matthies, E. Determinants of the acceptability of autonomous (cargo) mobility. Transp. Res. Interdiscip. Perspect. 2021, 11, 100448. [Google Scholar] [CrossRef]
- Schmidt, S.; Assmann, T.; Junge, L.; Höfer, M.; Krause, K.; Manoeva, D.; Matthies, E.; Meißner, S.; Petersen, H.; Riestock, M.; et al. Shared Autonomous Cargo Bike Fleets—Approaches for a Novel Sustainable Urban Mobility Solution. In Proceedings of the FISITA 2021 World Congress, Prague, Czech Republic, 13–17 September 2021. [Google Scholar]
- Salah, I.H.; Mukku, V.D.; Schmidt, S.; Assmann, T. A Conceptual Model for the Simulation of the Next Generation Bike-Sharing System with Self-driving Cargo-Bikes. Adv. Intell. Syst. Comput. 2021, 1278, 253–262. [Google Scholar] [CrossRef]
- Mukku, V.D.; Salah, I.H.; Assmann, T. Simulation testbed for the next-generation bike-sharing system with self-driving cargo-bikes. IFAC-PapersOnLine 2021, 54, 1098–1103. [Google Scholar] [CrossRef]
- Lin, L.; He, Z.; Peeta, S. Predicting station-level hourly demand in a large-scale bike-sharing network: A graph convolutional neural network approach. Transp. Res. Part C Emerg. Technol. 2018, 97, 258–276. [Google Scholar] [CrossRef]
- Borgnat, P.; Abry, P.; Flandrin, P.; Robardet, C.; Rouquier, J.B.; Fleury, E. Shared bicycles in a city: A signal processing and data analysis perspective. Adv. Complex Syst. 2011, 14, 415–438. [Google Scholar] [CrossRef]
- Giot, R.; Cherrier, R. Predicting bikeshare system usage up to one day ahead. In Proceedings of the 2014 IEEE Symposium on Computational Intelligence in Vehicles and Transportation Systems (CIVTS), Orlando, FL, USA, 9–12 December 2014; pp. 22–29. [Google Scholar] [CrossRef]
- Cantelmo, G.; Kucharski, R.; Antoniou, C. A low dimensional model for bike sharing demand forecasting. arXiv 2019, arXiv:1911.10266. [Google Scholar]
- Yang, Y.; Heppenstall, A.; Turner, A.; Comber, A. Using graph structural information about flows to enhance short-term demand prediction in bike-sharing systems. Comput. Environ. Urban Syst. 2020, 83, 101521. [Google Scholar] [CrossRef]
- Zhou, Y.; Li, Y.; Zhu, Q.; Chen, F.; Shao, J.; Luo, Y.; Zhang, Y.; Zhang, P.; Yang, W. A reliable traffic prediction approach for bike-sharing system by exploiting rich information with temporal link prediction strategy. Trans. GIS 2019, 23, 1125–1151. [Google Scholar] [CrossRef]
- Duran-Rodas, D.; Chaniotakis, E.; Antoniou, C. Built Environment Factors Affecting Bike Sharing Ridership: Data-Driven Approach for Multiple Cities. Transp. Res. Rec. J. Transp. Res. Board 2019, 2673, 55–68. [Google Scholar] [CrossRef]
- Gao, C.; Chen, Y. Using Machine Learning Methods to Predict Demand for Bike Sharing. In Information and Communication Technologies in Tourism 2022; Springer: Cham, Switzerland, 2022; Volume 1, pp. 282–296. [Google Scholar] [CrossRef]
- Noland, R.B.; Smart, M.J.; Guo, Z. Bikeshare trip generation in New York City. Transp. Res. Part A Policy Pract. 2016, 94, 164–181. [Google Scholar] [CrossRef]
- Rudloff, C.; Lackner, B. Modeling Demand for Bikesharing Systems. Transp. Res. Rec. J. Transp. Res. Board 2014, 2430, 1–11. [Google Scholar] [CrossRef]
- Tran, T.D.; Ovtracht, N.; D’Arcier, B.F. Modeling bike sharing system using built environment factors. Procedia CIRP 2015, 30, 293–298. [Google Scholar] [CrossRef]
- Sohrabi, S.; Ermagun, A. Dynamic bike sharing traffic prediction using spatiotemporal pattern detection. Transp. Res. Part D Transp. Environ. 2021, 90, 102647. [Google Scholar] [CrossRef]
- Gammelli, D.; Wang, Y.; Prak, D.; Rodrigues, F.; Minner, S.; Pereira, F.C. Predictive and prescriptive performance of bike-sharing demand forecasts for inventory management. Transp. Res. Part C Emerg. Technol. 2022, 138, 103571. [Google Scholar] [CrossRef]
- Hamad, S.Y.; Ma, T.; Antoniou, C. Analysis and prediction of bikesharing traffic flow—Citi Bike, New York. In Proceedings of the 2021 7th International Conference on Models and Technologies for Intelligent Transportation Systems (MT-ITS), Heraklion, Greece, 16–17 June 2021; pp. 1–8. [Google Scholar] [CrossRef]
- Kumar Dey, B.; Anowar, S.; Eluru, N. A framework for estimating bikeshare origin destination flows using a multiple discrete continuous system. Transp. Res. Part A Policy Pract. 2021, 144, 119–133. [Google Scholar] [CrossRef]
- Todd, J.; O’Brien, O.; Cheshire, J. A global comparison of bicycle sharing systems. J. Transp. Geogr. 2021, 94, 103119. [Google Scholar] [CrossRef]
- Frade, I.; Ribeiro, A. Bicycle Sharing Systems Demand. Procedia-Soc. Behav. Sci. 2014, 111, 518–527. [Google Scholar] [CrossRef]
- Garcia-Gutierrez, J.; Romero-Torres, J.; Gaytan-Iniestra, J. Dimensioning of a Bike Sharing System (BSS): A Study Case in Nezahualcoyotl, Mexico. Procedia-Soc. Behav. Sci. 2014, 162, 253–262. [Google Scholar] [CrossRef][Green Version]
- Chen, L.; Zhang, D.; Wang, L.; Yang, D.; Ma, X.; Li, S.; Wu, Z.; Pan, G.; Nguyen, T.M.T.; Jakubowicz, J. Dynamic cluster-based over-demand prediction in bike sharing systems. In Proceedings of the UbiComp 2016—2016 ACM International Joint Conference on Pervasive and Ubiquitous Computing, Heidelberg, Germany, 12–16 September 2016; pp. 841–852. [Google Scholar] [CrossRef]
- Corcoran, J.; Li, T.; Rohde, D.; Charles-Edwards, E.; Mateo-Babiano, D. Spatio-temporal patterns of a Public Bicycle Sharing Program: The effect of weather and calendar events. J. Transp. Geogr. 2014, 41, 292–305. [Google Scholar] [CrossRef]
- Schimohr, K.; Scheiner, J. Spatial and temporal analysis of bike-sharing use in Cologne taking into account a public transit disruption. J. Transp. Geogr. 2021, 92, 103017. [Google Scholar] [CrossRef]
- Koska, T.; Friedrich, M.; Rabenstein, B.; Bracher, T.; Hertel, M. Innovative Öffentliche Fahrradverleihsysteme; Technical Report; Wuppertal Institut: Berlin, Germany, 2014. [Google Scholar]
- Miranda-Moreno, L.; Nosal, T. Weather or not to cycle: Temporal trends and impact of weather on cycling in an urban environment. Transp. Res. Rec. 2011, 2247, 42–52. [Google Scholar] [CrossRef]
- O’Brien, O.; Cheshire, J.; Batty, M. Mining bicycle sharing data for generating insights into sustainable transport systems. J. Transp. Geogr. 2014, 34, 262–273. [Google Scholar] [CrossRef]
- Gebhart, K.; Noland, R.B. The impact of weather conditions on bikeshare trips in Washington, DC. Transportation 2014, 41, 1205–1225. [Google Scholar] [CrossRef]
- An, R.; Zahnow, R.; Pojani, D.; Corcoran, J. Weather and cycling in New York: The case of Citibike. J. Transp. Geogr. 2019, 77, 97–112. [Google Scholar] [CrossRef]
- Guo, Y.; Zhou, J.; Wu, Y.; Li, Z. Identifying the factors affecting bike-sharing usage and degree of satisfaction in Ningbo, China. PLoS ONE 2017, 12, e0185100. [Google Scholar] [CrossRef]
- Chibwe, J.; Heydari, S.; Faghih Imani, A.; Scurtu, A. An exploratory analysis of the trend in the demand for the London bike-sharing system: From London Olympics to COVID-19 pandemic. Sustain. Cities Soc. 2021, 69, 102871. [Google Scholar] [CrossRef]
- Caulfield, B.; O’Mahony, M.; Brazil, W.; Weldon, P. Examining usage patterns of a bike-sharing scheme in a medium sized city. Transp. Res. Part A Policy Pract. 2017, 100, 152–161. [Google Scholar] [CrossRef]
- Bean, R.; Pojani, D.; Corcoran, J. How does weather affect bikeshare use? A comparative analysis of forty cities across climate zones. J. Transp. Geogr. 2021, 95, 103155. [Google Scholar] [CrossRef]
- Rixey, R. Station-level forecasting of bikesharing ridership. Transp. Res. Rec. 2013, 2387, 46–55. [Google Scholar] [CrossRef]
- Raux, C.; Zoubir, A.; Geyik, M. Who are bike sharing schemes members and do they travel differently? The case of Lyon’s “Velo’v” scheme. Transp. Res. Part A Policy Pract. 2017, 106, 350–363. [Google Scholar] [CrossRef]
- Wang, X.; Lindsey, G.; Schoner, J.E.; Harrison, A. Modeling Bike Share Station Activity: Effects of Nearby Businesses and Jobs on Trips to and from Stations. J. Urban Plan. Dev. 2016, 142, 04015001. [Google Scholar] [CrossRef]
- Du, Y.; Deng, F.; Liao, F. A model framework for discovering the spatio-temporal usage patterns of public free-floating bike-sharing system. Transp. Res. Part C Emerg. Technol. 2019, 103, 39–55. [Google Scholar] [CrossRef]
- Zhao, D.; Ong, G.P.; Wang, W.; Zhou, W. Estimating public bicycle trip characteristics with consideration of built environment data. Sustainability 2021, 13, 500. [Google Scholar] [CrossRef]
- Eren, E.; Uz, V.E. A review on bike-sharing: The factors affecting bike-sharing demand. Sustain. Cities Soc. 2020, 54, 101882. [Google Scholar] [CrossRef]
- Zhu, L.; Ali, M.; Macioszek, E.; Aghaabbasi, M.; Jan, A. Approaching Sustainable Bike-Sharing Development: A Systematic Review of the Influence of Built Environment Features on Bike-Sharing Ridership. Sustainability 2022, 14, 5795. [Google Scholar] [CrossRef]
- Guo, Y.; Yang, L.; Chen, Y. Bike Share Usage and the Built Environment: A Review. Front. Public Health 2022, 10, 5–14. [Google Scholar] [CrossRef]
- Elmashhara, M.G.; Silva, J.; Sá, E.; Carvalho, A.; Rezazadeh, A. Factors influencing user behaviour in micromobility sharing systems: A systematic literature review and research directions. Travel Behav. Soc. 2022, 27, 1–25. [Google Scholar] [CrossRef]
- Haj Salah, I.; Mukku, V.D.; Kania, M.; Assmann, T.; Zadek, H. Implications of the Relocation Type and Frequency for Shared Autonomous Bike Service: Comparison between the Inner and Complete City Scenarios for Magdeburg as a Case Study. Sustainability 2022, 14, 5798. [Google Scholar] [CrossRef]
- Mukku, V.D.; Salah, I.H.; Roy, A.; Assmann, T. Evaluation of Station Distribution Strategies for Next-Generation Bike-Sharing System. In Smart Energy for Smart Transport, Proceedings of the 6th Conference on Sustainable Urban Mobility, CSUM2022, Skiathos Island, Greece, 31 August–2 September 2022; Nathanail, E.G., Gavanas, N., Adamos, G., Eds.; Springer: Cham, Switzerland, 2023; pp. 1358–1373. [Google Scholar]
- Pillat, J.; Manz, W. Modelle des Personenverkehrs. In Stadtverkehrsplanung Band 2; Vallée, D., Engel, B., Vogt, W., Eds.; Springer: Berlin/Heidelberg, Germany, 2021; pp. 273–339. [Google Scholar] [CrossRef]
- Friedrich, M.; Leurent, F.; Jackiva, I.; Fini, V.; Raveau, S. From Transit Systems to Models: Purpose of Modelling. In Modelling Public Transport Passenger Flows in the Era of Intelligent Transport Systems. Springer Tracts on Transportation and Traffic; Gentile, G., Nökel, K., Eds.; Springer: Cham, Switzerland, 2016; pp. 131–234. [Google Scholar] [CrossRef]
- R Core Team. R: A Language and Environment for Statistical Computing; R Core Team: Vienna, Austria, 2021. [Google Scholar]
- Collin. Erhebungen zur Verkehrsnachfrage; Springer: Berlin/Heidelberg, Germany, 2005; pp. 80–139. [Google Scholar] [CrossRef]
- Deutsche Bahn, A.G. Call A Bike—Buchungen Call a Bike (Stand 05/2017)—Open-Data-Portal. 2017. Available online: https://data.deutschebahn.com/dataset/data-call-a-bike.html (accessed on 1 March 2022).
- Pebesma, E. Simple Features for R: Standardized Support for Spatial Vector Data. R J. 2018, 10, 439–446. [Google Scholar] [CrossRef]
- Lovelace, R.; Ellison, R. stplanr: A Package for Transport Planning. R J. 2019, 10, 7. [Google Scholar] [CrossRef]
- Hoerstebrock, T. Strategische Analyse der Elektromobilität in der Metropolregion Bremen/Oldenburg. Ph.D. Thesis, University of Oldenburg, Oldenburg, Germany, 2014; pp. 1–191. [Google Scholar]
- Hilbe, J.M. Varieties of Count Data. In Modeling Count Data; Cambridge University Press: Cambridge, UK, 2014; pp. 1–34. [Google Scholar] [CrossRef]
- Zeileis, A.; Kleiber, C.; Jackman, S. Regression models for count data in R. J. Stat. Softw. 2008, 27, 1–25. [Google Scholar] [CrossRef]
- Nelder, J.A.; Wedderburn, R.W.M. Generalized Linear Models. J. R. Stat. Soc. Ser. A 1972, 135, 370–384. [Google Scholar] [CrossRef]
- Müller, M. Generalized Linear Models. In Handbook of Computational Statistics: Concepts and Methods; Gentle, J.E., Härdle, W.K., Mori, Y., Eds.; Springer: Berlin/Heidelberg, Germany, 2012; pp. 681–709. [Google Scholar] [CrossRef]
- McCullagh, P.; Nelder, J.A. An outline on generalized linear models. In Generalized Linear Models, 2nd ed.; McCullagh, P., Nelder, J.A., Eds.; Monographs on Statistics and Applied Probability; Chapman & Hall/CRC: Boca Raton, FL, USA, 1989; Volume 37, pp. 21–47. [Google Scholar]
- Müller, M. Generalized Linear Models. In XploRe—Learning Guide; Härdle, W., Klinke, S., Müller, M., Eds.; Springer: Berlin/Heidelberg, Germany, 2000; pp. 205–228. [Google Scholar] [CrossRef]
- Hilbe, J.M. Negative binomial regression. In Negative Binomial Regression; Cambridge University Press: Cambridge, UK, 2007. [Google Scholar] [CrossRef]
- Venables, W.N.; Ripley, B.D. Generalized Linear Models. In Modern Applied Statistics with S, 4th ed.; Springer: New York, NY, USA, 2002; pp. 183–210. [Google Scholar] [CrossRef]
- Hamann, T.K.; Güldenberg, S.; Renzl, B. Overshare and collapse: How sustainable are profit-oriented company-to-peer bike-sharing systems? Die Unternehm. 2019, 73, 345–373. [Google Scholar] [CrossRef]
- Nagelkerke, N.J.D. A note on a general definition of the coefficient of determination. Biometrika 1991, 78, 691–692. [Google Scholar] [CrossRef]
- Kaufmann, L.; Rousseeuw, P.J. Partitioning Around Medoids (Program PAM). In Finding Groups in Data: An Introduction to Cluster Analysis; John Wiley & Sons, Inc.: Hoboken, NJ, USA, 1990; pp. 68–125. [Google Scholar] [CrossRef]
- Maechler, M.; Rousseeuw, P.; Struyf, A.; Hubert, M.; Hornik, K. Cluster: Cluster Analysis Basics and Extensions. 2022. Available online: https://cran.r-project.org/web/packages/cluster (accessed on 28 July 2022).
- Akaike, H. A new look at the statistical model identification. IEEE Trans. Autom. Control 1974, 19, 716–723. [Google Scholar] [CrossRef]











| Distance [km] | Proportion of Respondents [%] | Distance [km] | Proportion of Respondents [%] |
|---|---|---|---|
| (0, 1] | 5.09 | (11, 12] | 0.85 |
| (1, 2] | 7.07 | (12, 13] | 0.14 |
| (2, 3] | 11.03 | (13, 14] | 0.14 |
| (3, 4] | 4.53 | (14, 15] | 4.24 |
| (4, 5] | 25.04 | (15, 16] | 0.14 |
| (5, 6] | 4.38 | (16, 17] | 0.00 |
| (6, 7] | 4.53 | (17, 18] | 0.00 |
| (7, 8] | 4.81 | (18, 19] | 0.00 |
| (8, 9] | 0.28 | (19, 20] | 5.66 |
| (9, 10] | 21.92 | >20 | 0.00 |
| (10, 11] | 0.14 |
| Cluster Size i | AIC | RMSE |
|---|---|---|
| Initial model | 92,400.79 | 66.36 |
| 2 | 96,453.37 | 83.44 |
| 3 | 99,898.74 | 109.57 |
| 4 | 98,627.99 | 102.34 |
| 5 | 98,641.62 | 102.41 |
| 6 | 97,688.59 | 92.40 |
| 7 | 97,098.78 | 90.04 |
| 8 | 92,635.94 | 66.27 |
| 9 | 96,912.45 | 88.81 |
| 10 | 96,914.27 | 87.62 |
| 11 | 96,853.32 | 87.95 |
| 12 | 96,794.50 | 87.32 |
| Cluster | Represented Calendar Weeks | Related Season |
|---|---|---|
| C1 | 1, 2, 3, 4, 5, 52, 53 | Winter |
| C2 | 6, 7, 8, 9, 48, 50, 51 | Winter |
| C3 | 10, 11, 12, 13, 45, 46, 47, 49 | Spring/Autumn |
| C4 | 14, 41, 42, 43, 44 | Spring/Autumn |
| C5 | 15, 16, 17, 18, 20, 40 | Spring/Autumn |
| C6 | 19, 25, 33, 38, 39 | Spring/Summer |
| C7 | 21, 22, 24, 26, 27, 28, 35, 36, 37 | Spring/Summer/Autumn |
| C8 | 23, 29, 30, 31, 32, 34 | Summer |
| BSS | Population | Area (km2) | Weekday Journeys |
|---|---|---|---|
| Very large, high-use BSS | 4,299,517 | 441 | 68,660 |
| Large BSS in major cities | 1,786,311 | 168 | 24,903 |
| OSABS in Magdeburg | 239,364 | 201 | 8322 (high scenario), 5435 (low scenario) |
| Small to medium efficient BSS | 350,354 | 36 | 4448 |
| Medium BSS with extensive cycling infrastructure | 448,719 | 74 | 2708 |
| Small to medium inefficient BSS | 111,302 | 17 | 359 |
Disclaimer/Publisher’s Note: The statements, opinions and data contained in all publications are solely those of the individual author(s) and contributor(s) and not of MDPI and/or the editor(s). MDPI and/or the editor(s) disclaim responsibility for any injury to people or property resulting from any ideas, methods, instructions or products referred to in the content. |
© 2023 by the authors. Licensee MDPI, Basel, Switzerland. This article is an open access article distributed under the terms and conditions of the Creative Commons Attribution (CC BY) license (https://creativecommons.org/licenses/by/4.0/).
Share and Cite
Kania, M.; Mukku, V.D.; Kastner, K.; Assmann, T. Data-Driven Approach for Defining Demand Scenarios for Shared Autonomous Cargo Bike Fleets. Appl. Sci. 2024, 14, 180. https://doi.org/10.3390/app14010180
Kania M, Mukku VD, Kastner K, Assmann T. Data-Driven Approach for Defining Demand Scenarios for Shared Autonomous Cargo Bike Fleets. Applied Sciences. 2024; 14(1):180. https://doi.org/10.3390/app14010180
Chicago/Turabian StyleKania, Malte, Vasu Dev Mukku, Karen Kastner, and Tom Assmann. 2024. "Data-Driven Approach for Defining Demand Scenarios for Shared Autonomous Cargo Bike Fleets" Applied Sciences 14, no. 1: 180. https://doi.org/10.3390/app14010180
APA StyleKania, M., Mukku, V. D., Kastner, K., & Assmann, T. (2024). Data-Driven Approach for Defining Demand Scenarios for Shared Autonomous Cargo Bike Fleets. Applied Sciences, 14(1), 180. https://doi.org/10.3390/app14010180

