Next Article in Journal
A Multi-Task Learning and Multi-Branch Network for DR and DME Joint Grading
Next Article in Special Issue
Real-Time Adjustment Method for Metro Systems with Train Delays Based on Improved Q-Learning
Previous Article in Journal
Interpretable Single-dimension Outlier Detection (ISOD): An Unsupervised Outlier Detection Method Based on Quantiles and Skewness Coefficients
Previous Article in Special Issue
Optimization of High-Speed Rail Express Transportation Plan Considering Products’ Variable Time Requirements
 
 
Font Type:
Arial Georgia Verdana
Font Size:
Aa Aa Aa
Line Spacing:
Column Width:
Background:
Article

Robust Optimization of Transport Organization for China Railway Express

1
College of Civil and Transportation Engineering, Hohai University, Nanjing 210098, China
2
School of Computer and Information, Hohai University, Nanjing 210098, China
3
Nanjing Communications Construction Investment Group, Nanjing 210008, China
4
School of Transportation, Southeast University, Nanjing 211189, China
5
Jiangsu Provincial Transportation Comprehensive Administrative Law Enforcement and Supervision Bureau, Nanjing 210004, China
6
JSTI Group, Nanjing 210019, China
*
Author to whom correspondence should be addressed.
Appl. Sci. 2024, 14(1), 137; https://doi.org/10.3390/app14010137
Submission received: 2 December 2023 / Revised: 20 December 2023 / Accepted: 21 December 2023 / Published: 22 December 2023

Abstract

This paper presents an in-depth analysis of the robust optimization of the China–Europe freight train transportation organization under uncertain cargo transportation demand. The study commences by constructing a robust optimization model tailored for specific environments, which is further extended to address the complexities of uncertain freight demand. A notable aspect of this research is the adoption of an innovative approach to manage the uncertainties in freight transportation demand at each node, employing a box-type uncertainty set distribution. This methodology allows for an effective and balanced optimization strategy that accommodates the dynamic nature of demand fluctuations. The research findings underscore that increased robustness in the optimization model is associated with higher transportation costs within the China–Europe freight train network, especially under conditions of variable demand. The model demonstrates a preference for adjusting transportation costs to maintain the stability of the transportation scheme, particularly in response to wider variations in cargo demand. This strategy, prioritizing cost-effectiveness and adaptability, highlights the importance of a comprehensive approach to managing demand uncertainties. The significant contributions of this paper include the development of a robust, economically viable, and efficient transportation organization plan for China–Europe freight trains, equipped to navigate the challenges posed by uncertain cargo demand at the originating nodes. The study’s emphasis on the practical application of advanced optimization techniques and uncertainty management methods marks a notable advancement in the field of freight train transportation. Additionally, the paper suggests avenues for further research in the intricate and evolving landscape of freight transportation, providing valuable insights for future studies.

1. Introduction

The China–Europe Express, a cornerstone of the ‘Belt and Road’ Initiative, is pivotal in enhancing cross-border cargo transportation and strengthening trade ties between China and Europe. This transportation network faces numerous operational challenges, including extended routes, prolonged transit times, and elevated shipping costs, further compounded by a complex cargo distribution network and high rates of empty container returns. A significant aspect of these challenges is managing the inherent uncertainties in the transportation process, such as fluctuating road transportation costs, unpredictable transit durations, and variable freight capacities. Addressing these challenges involves a comprehensive approach to managing the uncertainties surrounding freight transportation demand at each node, while other parameters are considered deterministic. In this context, the transportation demand for goods at each node is modeled within a range of variability, allowing for a responsive and adaptable optimization strategy. This approach recognizes the fluctuating nature of demand, adapting the transportation organization to accommodate varying levels of cargo flow. This paper focuses on the robust optimization of the transportation organization for China–Europe freight trains. The aim is to address the complexities of cargo transportation demand and enhance the economic viability, efficiency, and stability of the China–Europe freight transportation system. This research holds substantial practical significance and offers valuable insights into the optimization of large-scale transportation networks. By exploring advanced optimization techniques and strategies for managing transportation uncertainties, this study contributes to the ongoing development and improvement of the China–Europe freight train operations.
Optimizing railway container transportation organization is pivotal for enhancing China–Europe freight train operations. Several studies have contributed insights in this domain. Tong et al. [1] developed a two-tier programming model aimed at maximizing revenue and minimizing CO2 emissions and transportation costs in railways, employing a non-dominated sorting genetic algorithm with an elite strategy. Liu [2] focused on railway coal transport, formulating a multi-objective optimization model to balance carrier income and transportation costs, solved using genetic algorithms. Jin et al. [3] presented a high-speed railway freight service network model that balances costs and demand, resolved through a column generation algorithm, thereby optimizing operational costs. Hu et al. [4] addressed the minimization of necessary train containers in marshalling stations, considering both carrier and shipper benefits. Yang [5] examined Baoshen Railway’s transportation organization optimization using qualitative measures and an evaluation system developed through the Delphi method, AHP, and the entropy weight method. Lastly, Zhao et al. [6,7,8] proposed an integrated model for container trains, focusing on maximizing revenue through stop schedule planning and space pre-allocation, and applied a linear transformation for solution effectiveness. These studies collectively enhance the understanding of efficient railway transportation organization, directly informing optimization strategies for China–Europe freight train transportation.
Research into multi-modal railway transport organization is also crucial for optimizing the China–Europe train system. Liu [9] developed a model for a container transport system that optimizes the operation of direct, aggregation, and transfer trains, aiming to reduce transport costs and container transit times for the China–Europe train. Yang [10] proposed a three-level railway container system, offering an analytical evaluation of various container transport organization modes. Fang [11] explored freight organization and container transfers within a railway container transport network, focusing on improving efficiency and the integration of railway and water transport. Lastly, Yan et al. [12,13,14] introduced a mixed integer programming model to optimize transshipments at seaport rail terminals. This model aimed to minimize operational costs while considering a range of factors, demonstrating its application in effectively managing multi-modal transport logistics. These studies collectively provide valuable insights into the complexities of multi-modal transport, directly informing strategies to enhance the efficiency and effectiveness of the China–Europe freight train system.
Moreover, the development of robust scheduling models for railway container transportation organizations, considering external factors, is a critical area of study. Parkhomenko et al. [15,16] introduced a rapid railway container transport organization model utilizing robust optimization techniques. Their model adopts a multi-objective approach, integrating considerations for the environment, traffic, municipal administration, and the economy. It establishes a near-optimal scheduling framework, effectively leveraging innovative solutions like the Metro Cargo terminal and Cargo Sprinter modular train. This model is designed to enhance the scheduling flexibility and resilience of railway container transport against external uncertainties, potentially offering significant improvements in operational efficiency and adaptability for such systems.
In the realm of transportation organization optimization under uncertain parameters, fuzzy and stochastic programming emerge as two predominant methods. Zhang [17] applied fuzzy optimization to tackle uncertainties in transportation demand, transit time, and costs, formulating a fuzzy chance-constrained programming model that underscores the interplay between transportation cost, demand, and capacity. Wang [18] addressed time uncertainties in container-rail routes using fuzzy variables, developing a dual-objective model optimized with fuzzy chance constraint programming for cost and emissions considerations. Li [19] proposed a multimodal transport model accounting for uncertain freight volume and arrival times, employing fuzzy programming and the NSGA-II algorithm for a solution. Radhika et al. [20,21] crafted a multi-objective transportation problem that leverages fuzzy numbers to manage uncertainty in cost and time and solved it using LINGO-WINDOWS-64x86-18.0. Yan et al. [22] utilized fuzzy theory and group decision making for assessing safety levels in road transport of hazardous goods. In contrast, Liu et al. [23,24,25] employed stochastic programming and genetic algorithms to optimize reliable paths for emergency material transportation under dual uncertainties. Wang et al. [26] optimized cold chain distribution vehicle routes under uncertain demand scenarios using stochastic algorithms, highlighting the benefits of multiple distribution centers. Chen [27] tackled multimodal transport network optimization considering node capacity and demand uncertainties through genetic algorithms. Finally, Wang [28] introduced an ELECTRE evaluation method based on stochastic simulation for minimizing total transportation costs in coal and mining resource transit. These diverse studies collectively exemplify the efficacy of fuzzy and stochastic programming in navigating the complexities of transportation systems amid varied uncertainties.
In the domain of robust optimization for transportation organization, addressing uncertain transportation demand is a critical focus. Wang et al. [29,30] developed a multi-objective model tailored for freight flow allocation within container port aggregation and distribution networks. This model particularly accounts for the uncertainty in transportation demand and enables decision-making under different robust risk scenarios. Liu et al. [31] introduced a two-stage multimodal transport model designed for dynamic pricing decisions under uncertain demand conditions. Their approach integrates opportunity-constrained programming and robust optimization techniques to effectively manage the complexities arising from fluctuating demand and pricing dynamics. These studies provide valuable insights into handling uncertainty in transportation demand, offering methodologies that are particularly relevant to enhancing the efficiency and reliability of large-scale transportation systems like the China–Europe freight trains.

2. Problem Description

The ‘Plan for the Construction and Development of China–Europe Railway Services (2016–2020)’ strategizes the adoption of a ‘trunk and branch integration and hub distribution’ model for enhancing China–Europe railway services. A key feature of this strategy is the establishment of ‘point-to-point’ direct trains operating regularly between major inland cargo origins and significant coastal ports. This approach consolidates goods destined for the same location at a single terminal, streamlining train operations and boosting efficiency. In 2020, the National Development and Reform Commission dedicated CNY 200 million to support the China–Europe Railway Line Assembly Center demonstration project. This project is operational in five critical hub cities: Zhengzhou, Chongqing, Chengdu, Xi’an, and Urumqi. The Central Europe Freight Train Assembly Center, serving as a hub for freight train assembly and transfer, plays a crucial role in this network. It coordinates dispersed cargo sources, consolidates containers, and enhances train operations, thereby reducing operational costs. In light of these developments, this section proposes a transportation organization optimization model for the China–Europe freight trains, accommodating both direct and aggregate transfer modes and addressing the robust optimization challenge posed by uncertain cargo transportation demand.

3. Optimizing China–Europe Freight Train Logistics Amidst Uncertain Transportation Demand

3.1. Assumptions

The main assumptions of this article are as follows:
  • Freight trains are differentiated into two categories: domestic section transport trains, which operate exclusively within the domestic leg from the origin freight node to the cargo assembly transit center, and transnational section transport trains, which operate either from the origin freight node to the foreign freight terminal or from the cargo assembly transit center to the foreign freight terminal.
  • Each freight train is allowed only a single assembly for transit. This entails adopting either a “point-to-point” direct transportation mode or a transfer scenario, where cargo moves from the freight node to the assembly transit center and then to the freight terminal.
  • The model assumes a single transport section between any two nodes, with only one mode of transport being used for each section. This simplification aims to focus on the key logistical elements without the complexity of multiple transport modes or sections.
  • The model does not differentiate specific sources of demand fluctuations and their impact on each node. This simplification is to streamline the focus on the overall functionality and efficiency of the freight transportation network, avoiding the complexities associated with analyzing individual demand influences at each node.
  • The model does not account for the border process, including changes in railway gauge. This exclusion is to maintain focus on the broader aspects of transportation logistics and to simplify the model’s scope.

3.2. Model Parameter

In the context of the China–Europe freight train transport network, the following notations are employed:
G = ( N , A , V ) symbolizes the China–Europe freight train transport network.
N signifies the set of nodes within the China–Europe freight train network.
A represents the set of paths within the China–Europe freight train network.
V denotes the set of China–Europe freight trains.
O and D respectively denote the collection of origin points and destination points within the transportation network.
The definitions of sets, parameters, and decision variables pertinent to the model are provided in Table 1.

3.3. Determine the Transportation Organization Optimization Model in the Environment

The objective function, as depicted in Formula (1), aims to minimize both the train operating cost and container operating cost within the China–Europe freight train transportation organization.
min F = ( i , j ) A v V [ f i j v ( C v + C i j v d i j ) ] + i N 3 [ z i Q i C i 3 ]
The schema constraints are as follows:
s.t.
x i j v Q v f i j v y i j ( i , j ) A , v V
j N 2 N 3 v V f i j v 1 i N 1
f i j v = 0 i N 2 , j N   o r   i N , j N 2 , v V 1
f i j v = 0 i N 1 N 3   a n d   j N 1 N 3 , v V 2
f i j v Z + { 0 } ( i , j ) A , v V
x i j v 0 ( i , j ) A , v V
y i j { 0 , 1 } ( i , j ) A
z i { 0 , 1 } i N 3
Formula (2) represents the constraint related to train transportation capacity;
Formula (3) pertains to network site constraints;
Formulas (4) and (5) serve as constraints for the train’s operational route;
Formulas (6) to (9) establish constraints for the decision variables.

3.4. A Robust Transformation Model for Uncertain Cargo Transportation Needs

3.4.1. Uncertain Description of Goods Transportation Demand

This section focuses solely on the uncertainty surrounding the freight transportation demand at each node, while treating other parameters as deterministic. It is assumed that the transportation demand for goods at each node conforms to a box-type uncertainty set distribution. Specifically, the transport demand at each node is bounded within a symmetric interval.
Q i = Q i ¯ ± Q i ¯ ε i
where Q i ¯ represents the average freight demand at node i and ε i represents the disturbance level of freight demand at node i . The formulation is given as:
U i = [ Q i ¯ Q i ¯ ε i , Q i ¯ + Q i ¯ ε i ]
In the context of robust optimization of transportation paths, U i denotes the set encompassing demand uncertainties at various nodes.

3.4.2. Robust Optimization Model for China–Europe Freight Train Logistics Amid Uncertain Cargo Demand

Bertsimas robust optimization, based on robust optimization theory, converts uncertain optimization problems into linear programming problems for simplified resolution. Unlike traditional methods, it adeptly manages uncertainties, yielding high-quality and reliable solutions. Consequently, the Bertsimas robust optimization model is employed in this study to address the optimization challenges within China–Europe freight train logistics amidst uncertain cargo transportation demand.
The robust regulation parameter Γ is introduced to adjust the conservative degree of the robust model, Γ [ 0 , n ] , where n is the number of nodes with uncertainty of freight demand, n [ 0 , N 1 N 3 ] , and Γ is the largest integer not greater than Γ . When the freight demand with a model maximum of Γ nodes in the model changes in the uncertainty set of the box, the transformed robust model must be able to obtain a feasible solution. When the number of nodes changing the freight demand exceeds Γ , if the disturbance range is ( Γ Γ ) Q i ¯ ε i , the transformed robust model still has a high probability of obtaining a feasible solution.
In the established model of transport organization optimization in a definite environment, only the uncertainty parameters exist in the objective function, so the uncertainty parameters in the objective function are changed to the uncertainty parameters in the constraint.
Original objective function:
min F = i N j N v V [ f i j v y i j ( C v + C i j v d i j ) ] + i N 3 [ z i Q i C i 3 ]
Minimizing the objective function to maximizing it:
max F = i N j N v V [ f i j v y i j ( C v + C i j v d i j ) ] i N 3 [ z i Q i C i 3 ]
Let F t r = F , then Formula (13) can be converted to the following form:
max F t r
F t r + i N j N v V [ f i j v y i j ( C v + C i j v d i j ) ] + i N 3 [ z i Q i C i 3 ] 0
The Bertsimas robust model of Formula (15) is as follows:
F t r + i N j N v V [ f i j v y i j ( C v + C i j v d i j ) ] + i N 3 [ z i Q i ¯ C i 3 ] + max { S { t } | S N , | S | = Γ , t = N \ S } { i S [ Q i ¯ ε i W i C i 3 ] + [ ( Γ Γ ) Q t ¯ ε t W t C t 3 ] } 0
W i z i W i i S
When Γ takes an integer, Formula (16) can be reduced to the following form:
F t r + i N j N v V [ f i j v y i j ( C v + C i j v d i j ) ] + i N 3 [ z i Q i ¯ C i 3 ] + max { S { t } | S N , | S | = Γ , t = N \ S } { i S [ Q i ¯ ε i W i C i 3 ] } 0
Formula (18) is robustly transformed by Bertsimas as follows:
F t r + i N j N v V [ f i j v y i j ( C v + C i j v d i j ) ] + i N 3 [ z i Q i ¯ C i 3 ] + λ Γ + i S σ i 0
λ + σ i Q i ¯ ε i W i C i 3 i S
λ 0
σ i 0 i S
To sum up, the optimization model of China–Europe freight train transportation organization with robust and controllable cargo transportation demand is as follows:
max F t r
s.t.
F t r + i N j N v V [ f i j v y i j ( C v + C i j v d i j ) ] + i N 3 [ z i Q i ¯ C i 3 ] + λ Γ + i S σ i 0
λ + σ i Q i ¯ ε i W i C i 3 i S
W i z i W i i S
x i j v Q v f i j v y i j ( i , j ) A , v V
j N 2 N 3 v V f i j v 1 i N 1
f i j v = 0 i N 2 , j N   o r   i N , j N 2 , v V 1
f i j v = 0 i N 1 N 3   a n d   j N 1 N 3 , v V 2
f i j v Z + { 0 } ( i , j ) A , v V
x i j v 0 ( i , j ) A , v V
y i j { 0 , 1 } ( i , j ) A
z i { 0 , 1 } i N 3
λ 0
σ i 0 i S
W i 0 i S

4. Example Analysis

Based on the ‘Plan for the Construction and Development of China–Europe Railway Express (2016–2020)’ and available research data, 16 key nodes including Nanjing, Xuzhou, Suzhou, Lianyungang, Nantong, Chongqing, Chengdu, Xi’an, Zhengzhou, Wuhan, Changsha, Yiwu, Hefei, Shenyang, Dongguan, and Lanzhou are designated as primary inland cargo sources. Additionally, five major China–Europe railway hub nodes—Zhengzhou, Chongqing, Chengdu, Xi’an, and Urumqi—are chosen as central cargo aggregation centers. To simplify the calculation example, the railway network diagram for the China–Europe railway is structured with Moscow, Russia, serving as the ultimate destination of the railway transportation, depicted in Figure 1.

4.1. Example Data

Relevant parameters of freight train transportation, as presented in Table 2, are obtained through the freight information network platform of the China Railway Corporation, along with data from railway departments and surveys conducted on China–Europe freight trains.
Based on the relevant research data, the cost data of loading, unloading, and shipping operations in the railway station are shown in Table 3.
By referring to the relevant information regarding the Belt and Road network platform and combining it with the electronic map ranging, the distance parameters of each node are obtained, as shown in Table 4.
Refer to the relevant information about the network platform of each train company to obtain the 2021 freight volume data of each node, as shown in Table 5. Among them, Urumqi only serves as a gathering center node and does not generate freight demand.
In the determined environment, the optimal transportation organization scheme obtained by the solution is shown in Table 6, in which the total number of domestic section transport trains is 0, the total number of transnational section transport trains is 58, and the total transportation cost is CNY 86,478,780.

4.2. Parametric Sensitivity Analysis

4.2.1. Sensitivity Analysis of Different Robustness Level Parameters

The Γ parameter is used to control the robustness level of the model in the established China–Europe freight transport organization optimization model so as to obtain optimal results under different risk preferences.
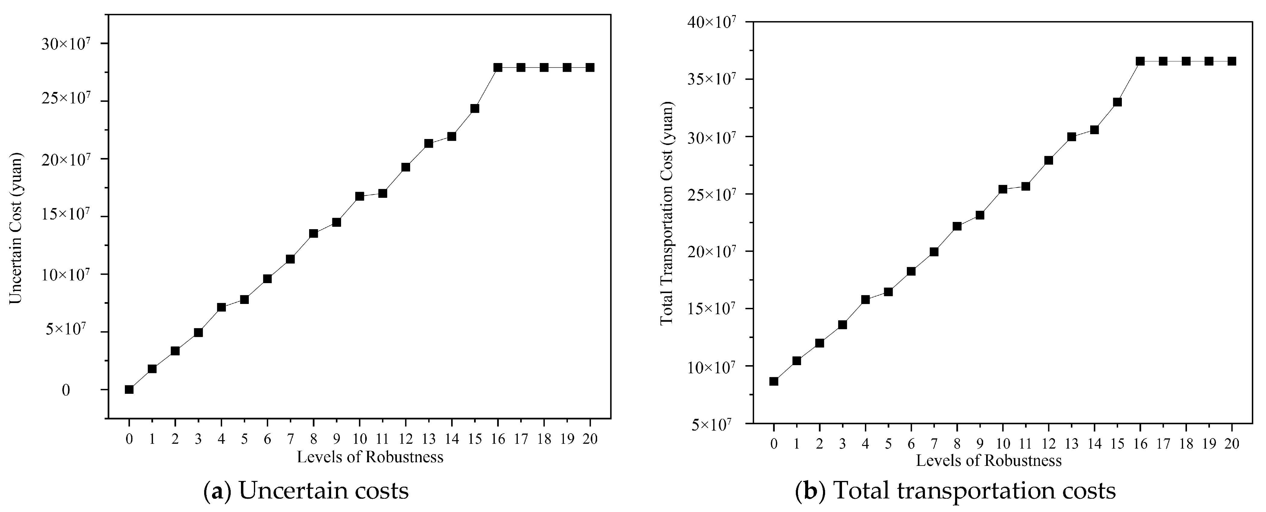
The nodes with uncertain freight demand are composed of 16 cities: Zhengzhou, Chongqing, Chengdu, Xi’an, Nanjing, Xuzhou, Suzhou, Lianyungang, Nantong, Wuhan, Changsha, Yiwu, Hefei, Shenyang, Dongguan, and Lanzhou. The freight demand of each freight node i is disturbed ε i = 0.2 , and the freight demand of the node is shown in Table 5. The robustness level parameters are changed to solve the model, and the corresponding transport organization scheme is shown in Table 6. The specific values of uncertain cost and total transport cost under different robustness levels are shown in Table 7, depicted in Figure 2.
From the above research results, it can be seen that when the robustness level is Γ = 0 , it means that the freight demand of all freight nodes in the model is determined, and the model is equivalent to the China–Europe freight train transportation organization optimization model in a certain environment. At this time, the model does not generate perturbations of uncertain costs, the total cost of transportation.
When the robustness level Γ gradually increases from 0, it means that the degree of conservatism of the model continues to increase, and the number of freight nodes with cargo demand disturbance in the China–Europe railway network increases successively. At this time, in order to maintain the original transportation scheme as a feasible scheme, the system will increase the relevant uncertain cost, and the corresponding total transportation cost of the model will also increase. Since there are only 16 freight supply nodes in the transport network, when the robust level parameter Γ exceeds 16, no additional freight nodes will be disturbed, so the uncertain cost will no longer change.

4.2.2. Sensitivity Analysis of Different Freight Demand Disturbance Ranges

In the established optimized model for the controllable robustness level of cargo transportation demands in the China–Europe freight train transportation organization, it is assumed that the cargo transportation demands at each node follow a box-type uncertainty distribution. The disturbance level of freight transportation demands at node i is denoted as ε i . Specifically, U i = [ Q i ¯ Q i ¯ ε i , Q i ¯ + Q i ¯ ε i ] . The nodes affected by uncertain freight demands comprise sixteen cities: Zhengzhou, Chongqing, Chengdu, Xi’an, Nanjing, Xuzhou, Suzhou, Lianyungang, Nantong, Wuhan, Changsha, Yiwu, Hefei, Shenyang, Dongguan, and Lanzhou.
The robustness parameter Γ is set to 5. The freight transportation demand at the nodes is detailed in Table 5. By varying the disturbance level of freight demands ε i , the total transportation costs under different disturbance levels are computed. Additionally, optimal transportation organization schemes under varying disturbance levels are presented in the following tables.
When the disturbance level of freight transportation demand ε i = 0 , the model represents a deterministic environment for transportation organization optimization. In this scenario, the total transportation costs, transportation organization schemes, and the results obtained align with those of a deterministic environment.
When the disturbance level of freight transportation demand lies between 0.1 and 1 ( 0 . 1 ε i 1 ), the corresponding train operation schedule is presented in Table 8.
When the disturbance levels of freight transportation demands within the uncertain set of nodes undergo changes within a certain range, the resulting total transportation costs are depicted in Figure 3.
With an incremental increase in disturbance levels from ε i = 0.1 to ε i = 0.6 , the total transportation cost for cargo transportation also escalates, rising from CNY 86,478,780 in a deterministic environment to CNY 167,253,300. This increase occurs due to a consistent robustness level ( Γ = 5 ). As the disturbance levels ( ε i ) at various cargo transportation nodes rise, the China–Europe freight train network can only counteract this expanding disturbance by augmenting the uncertainty transportation costs within the transportation organization, aiming to maintain the optimal solution across the entire transportation network.
When the disturbance level in cargo transportation further increases to a point where ε i 0.7 , the uncertainty transportation costs will escalate. To minimize the total transportation cost, adjustments will be made to the optimization plan of the freight train transportation organization. This adjustment leads to a change in the model’s optimal solution. At this stage, some freight trains will be consolidated and rerouted through Urumqi, resulting in a significant reduction in overall transportation costs.
Based on the analysis of the uncertain cargo demand disturbance, it is evident that there is a strong correlation between the total transportation cost of goods and the disturbance level ( ε i ) in cargo demand. To counter the increase in disturbance level ( ε i ), the model will maintain the optimal solution by augmenting the uncertainty cost. As the disturbance level ( ε i ) further increases, the model will re-search new optimization strategies for freight train organization to attain the optimum solution. At this point, the transportation network will reach a renewed stable state.

4.3. Summary of This Section

In this section, the Bertsimas robust optimization theory is used to transform the China–Europe freight transport organization optimization model, in which the freight transport demand is subject to the box-type uncertainty set distribution, into a mixed integer linear programming model with the minimum train operating cost and container operating cost as the objective function and with robust horizontal control parameters. And the above section of the establishment of the China–Europe freight train transport organization network case is analyzed and solved.
Through the model solution and parameter sensitivity analysis, it can be seen that when the robustness level Γ gradually increases from 0, that is, the number of nodes in the transport network where transport demand fluctuations occur also increases, the conservatism of the model will increase, and the model will maintain the stability of the original transport scheme by increasing the uncertain demand cost. When the robustness level is Γ = 16 , all freight demand nodes in the transport network will produce uncertain fluctuations, and the uncertainty cost in the network reaches the highest point. When the robustness level is Γ > 16 , since there are only 16 freight demand nodes at most in the example, the uncertainty cost will no longer be increased.
In the case of a robustness level Γ = 5 , the freight disturbance range ε i of each node is analyzed. When the disturbance range 0.0 ε i 0.6 , the model will increase the uncertainty cost to maintain the stability of the original transport scheme. When the disturbance range is 0.7 ε i 1.0 , the increase in the uncertainty cost will destroy the optimality of the original transportation scheme. At this time, the model will re-search for another optimal transportation organization scheme under the condition of the current freight disturbance range.

5. Conclusions

This paper has presented a comprehensive study of the robust optimization of the China–Europe freight train transport organization, particularly under the varying conditions of uncertain cargo transportation demand. The research commenced with the development of a robust optimization model suitable for specific environmental conditions and was further extended to incorporate models addressing the broader spectrum of uncertain freight demand. This included a flexible approach to adapt to varying demand levels, culminating in an extended fuzzy evaluation of the optimization structure.
The key findings of this study indicate that with increased robustness requirements in the optimization model, there is a corresponding rise in transportation costs, impacting the overall efficiency of the China–Europe freight train network. The sensitivity analysis underscores the model’s approach to managing cost fluctuations in response to variable cargo demand, aiming to preserve the stability and reliability of the transportation scheme.
The research has successfully developed a robust and effective transportation organization plan for China–Europe freight trains, demonstrating resilience against uncertain cargo demand scenarios. This achievement enhances the economic feasibility, operational efficiency, and stability of the freight transportation system. The insights gained from considering a range of demand uncertainties contribute to a more adaptable and efficient transport organization strategy. These contributions mark significant advancements in the methodologies and practical applications related to China–Europe freight train logistics.
This study unveils the complexities arising from fluctuating cargo demand in China–Europe freight train logistics, underscoring the need for ongoing research. However, it also recognizes a limitation: the lack of a thorough analysis on how infrastructure capacity constraints might influence the proposed transport strategy. Our model, addressing demand uncertainties, requires further in-depth exploration into the effects of limited route capacities on operational strategies, a vital aspect for enhancing the real-world applicability and efficiency of transportation models. Future research should delve into optimizing freight aggregation points, routes, modal combinations, return train organization, and empty container management, thereby improving the robustness and efficiency of freight systems.

Author Contributions

Conceptualization, C.Z. (Changjiang Zheng) and Y.S.; methodology, C.Z. (Chen Zhang); software, J.M. and L.G.; validation, L.G.; formal analysis, Y.S.; investigation, J.M.; resources, C.Z. (Chen Zhang); data curation, Y.S.; writing—original draft preparation, C.Z. (Chen Zhang) and J.M.; writing—review and editing, C.Z. (Changjiang Zheng); visualization, L.G. and J.M.; supervision, C.Z. (Changjiang Zheng); project administration, C.Z. (Changjiang Zheng); funding acquisition, C.Z. (Changjiang Zheng). All authors have read and agreed to the published version of the manuscript.

Funding

This research was funded by National Natural Science Foundation of China (51808187); Natural Science Foundation of Jiangsu Province (BK20170879).

Institutional Review Board Statement

Not applicable.

Informed Consent Statement

Not applicable.

Data Availability Statement

Data are contained within the article.

Conflicts of Interest

Author Yang Shen was employed by the company Nanjing Communications Construction Investment Group. Author Chen Zhang was employed by the company JSTI Group. The remaining authors declare that the research was conducted in the absence of any commercial or financial relationships that could be construed as a potential conflict of interest.

References

  1. Tong, R.Y.; Mao, B.H.; Du, P.; Wei, R.B.; Huang, J.S. Comprehensive Optimization of Operation Planning and Pricing of Backhaul for Heavy-haul Railways Transportation. J. Transp. Syst. Eng. Inf. Technol. 2023, 23, 217–224. [Google Scholar] [CrossRef]
  2. Liu, P.Z. Optimization of Railway Coal Transportation Channel Transportation Organization Considering Demand-Side Inventory Cost. Master’s Thesis, Beijing Jiaotong University, Beijing, China, 2020. [Google Scholar] [CrossRef]
  3. Jin, W.; Li, X.M.; Zhou, L.L.; Yu, X.J. Research on Optimization of High-speed Railway Freight Transportation Organization Scheme Based on Column Generation Algorithm. J. China Railw. Soc. 2020, 42, 26–32. [Google Scholar] [CrossRef]
  4. Hu, Z.A.; Pu, Z.; Li, B.W.; Wang, P. Research on the Minimum Organized Number of Train Wagons Considering Dual Benefits in a Railway Marshalling Station. In Proceedings of the CICTP 2019: Transportation in China-Connecting the World, Nanjing, China, 6–8 July 2019; pp. 2900–2911. [Google Scholar]
  5. Yang, Y.L. Research on Organization Optimization of Baoshen Railway Container Transportation. Master’s Thesis, Lanzhou Jiaotong University, Lanzhou, China, 2019. [Google Scholar] [CrossRef]
  6. Zhao, J.; Lin, B.L.; Liu, C.; Hou, G.Q. Optimization Model for Direct and Transit Transportation of China-Europe Railway Express Considering Assembly Time. China Railw. Sci. 2022, 43, 157–164. [Google Scholar]
  7. Zhao, J. Research on Optimizing Model for Car Routing Considering thePattern of Car Flow Organization. J. China Railw. Soc. 2017, 39, 18–24. [Google Scholar] [CrossRef]
  8. Zhao, J.; Liu, C.; Xie, X.S.; Wei, G. Research on the Integrated Optimization Model for Stop Schedule Plan and Space Pre-allocation of Container Trains with Passengerization Operation. Railw. Transp. Econ. 2022, 44, 32–38. [Google Scholar] [CrossRef]
  9. Liu, Y. Research on Organization Optimization of Railway Container. Transp. Based Train Oper. Railw. Econ. Res. 2018, 6, 9–13. [Google Scholar]
  10. Yang, Y.; Zhang, C.; Wu, J.K. Research on transportation organization of railway container passenger express transportation system. China Railw. 2017, 658, 48–52. [Google Scholar] [CrossRef]
  11. Fang, Q.G. Research on organizational mode and method of railway and port container combined transport. J. Transp. Syst. Eng. Inf. Technol. 2016, 16, 31–36. [Google Scholar] [CrossRef]
  12. Yan, B.Y.; Jin, J.G.; Zhu, X.N.; Lee, D.H.; Wang, L.; Wang, H. Integrated planning of train schedule template and container transshipment operation in seaport railway terminals. Transp. Res. Part E Logist. Transp. Rev. 2020, 142, 102061. [Google Scholar] [CrossRef]
  13. Yan, B.; Xu, M. Container flow template planning in seaport railway terminal with on-dock rails. Marit. Policy Manag. 2023, 50, 538–561. [Google Scholar] [CrossRef]
  14. Yan, B.; Zhu, X.; Lee, D.H.; Jin, J.G.; Wang, L. Transshipment operations optimization of sea-rail intermodal container in seaport rail terminals. Comput. Ind. Eng. 2020, 141, 106296. [Google Scholar] [CrossRef]
  15. Parkhomenko, L.; Butko, T.; Prokhorov, V.; Kalashnikova, T.; Golovko, T. Building a model for planning rapid delivery of containers by rail under the conditions of intermodal transportation based on robust optimization. East.-Eur. J. Enterp. Technol. 2022, 5, 6–16. [Google Scholar] [CrossRef]
  16. Butko, T.; Prokhorov, V.; Kolisnyk, V.; Parkhomenko, L. Devising an Automated Technology to Organize the Railroad Transportation of Containers for Intermodal Deliveries Based on the Theory of Point Processes. East.-Eur. J. Enterp. Technol. 2020, 3, 6–12. [Google Scholar] [CrossRef][Green Version]
  17. Zhang, Z.J. Research on Low-Carbon Transportation Scheme of Fast Cargo in Uncertain Environment. Master’s Thesis, Lanzhou Jiaotong University, Lanzhou, China, 2022. [Google Scholar] [CrossRef]
  18. Wang, H.R. Research on Route Optimization of Container Public Railway Intermodal Transport Considering Time Uncertainty. Master’s Thesis, Lanzhou Jiaotong University, Lanzhou, China, 2022. [Google Scholar] [CrossRef]
  19. Li, X.L. Research on Path Combination Optimization of Composite Transportation Mode under Uncertain Environment. Master’s Thesis, Lanzhou Jiaotong University, Lanzhou, China, 2022. [Google Scholar] [CrossRef]
  20. Radhika, K.; Arun Prakash, K. Multi-objective optimization for multi-type transportation problem in intuitionistic fuzzy environment. J. Intell. Fuzzy Syst. 2022, 43, 1439–1452. [Google Scholar] [CrossRef]
  21. Radhika, K.; Reddy, A.V.G. Network selection in heterogeneous wireless networks based on Fuzzy Multiple criteria Decision Making. In Proceedings of the 2011 3rd International Conference on Electronics Computer Technology, Kanyakumari, India, 8–10 April 2011; pp. 136–139. [Google Scholar] [CrossRef]
  22. Yan, Y.C.; Liu, H.X.; Zhang, Y.; Chen, X.Q.; Zhao, W.H. A Methodology for Safety Assessment of Hazardous Material Road Transport Enterprises Based on Fuzzy TOPSIS. China Saf. Sci. J. 2010, 20, 32–37. [Google Scholar] [CrossRef]
  23. Liu, S.; Shu, W.; Peng, Y. Reliable Path Optimization of Multimodal Transport of Emergency Materials under Double Uncertainty. J. Transp. Syst. Eng. Inf. Technol. 2023, 23, 58–66. [Google Scholar] [CrossRef]
  24. Liu, S.; Shao, Y.M.; Peng, Y. Optimization of Multimodal Transport Paths for Refrigerated Containers under Carbon Emission Restriction. Appl. Math. Mech. 2020, 41, 204–215. [Google Scholar] [CrossRef]
  25. Liu, S.; Shao, Y.M.; Peng, Y.; Xiao, Y.P. Multi-modal transport route optimization of emergency relief materials. China Saf. Sci. J. 2019, 29, 152–157. [Google Scholar] [CrossRef]
  26. Wang, Q.; Xiao, Q. Multi-center cold chain distribution vehicle routing problem under fuzzy demand. Comput. Eng. Appl. 2023, 59, 341–350. [Google Scholar] [CrossRef]
  27. Chen, Z.Y.; Guo, T.Y.; Zhou, Y. Multimodal Transport Path Optimization under Double Uncertainty Conditions under Emergencie. Logist. Sci. Technol. 2022, 45, 79–83+96. [Google Scholar] [CrossRef]
  28. Wang, X. Research on Collaborative Operation Strategy of Coal Logistics System in Uncertain Environment. Master’s Thesis, Southeast University, Nanjing, China, 2021. [Google Scholar] [CrossRef]
  29. Wu, Z.X.; Wang, H.P. Robust optimization of container port collection and distribution based on uncertain demand: A case study of container collection and distribution network in Dalian Port and Yingkou Port. J. Beibu Gulf Univ. 2022, 37, 58–64. [Google Scholar] [CrossRef]
  30. Jiang, J.N.; Wang, H.P. Analysis on the Time Value Advantage of China-Europe Railway Express. J. Jimei Univ. 2019, 24, 284–289. [Google Scholar] [CrossRef]
  31. Liu, D.; Yang, H. Dynamic Pricing Model of Container Sea-Rail Intermodal Transport on Single OD Line. J. Transp. Syst. Eng. Inf. Technol. 2012, 12, 122–127. [Google Scholar] [CrossRef]
Figure 1. Diagram of the transport network of China–Europe freight trains.
Figure 1. Diagram of the transport network of China–Europe freight trains.
Applsci 14 00137 g001
Figure 2. Costs at different levels of robustness.
Figure 2. Costs at different levels of robustness.
Applsci 14 00137 g002
Figure 3. Total Transportation Costs under Different Disturbance Ranges.
Figure 3. Total Transportation Costs under Different Disturbance Ranges.
Applsci 14 00137 g003
Table 1. Model parameter definition.
Table 1. Model parameter definition.
Assemble
SymbolDefinition
N The node set of China–Europe railway network, the element is represented by i , N = N 1 N 2 N 3
N 1 Collection of domestic nodes of China–Europe railway network
N 2 Collection of foreign nodes of China–Europe railway network
N 3 China–Europe railway network transit assembly node collection
A Set of China–Europe railway network paths, index is represented by ( i , j )
V Collection of China–Europe freight trains, indexed by v , V = V 1 V 2
V 1 Domestic section transport train collection
V 2 Transnational section transport train collection
Argument
SymbolDefinition
Q i Container freight demand at transport Node i , unit (TEU)
Q i ¯ Average container freight demand at transport node i , units (TEU)
Q v Capacity, unit (TEU·train−1) of Class v Central European freight train
C v Fixed cost per train operation of Class v CEIL, in units (CNY·train−1)
C i j v Class v China–Europe freight train, unit operating cost between China–Europe network routes, unit (CNY·km−1)
C i 3 Container unit transfer cost at staging node i , unit (CNY·TEU−1)
Γ Robust horizontal adjustment parameters
ε i Disturbance level of container freight demand at transport node i
Decision variable
SymbolDefinition
f i j v Frequency of Class v China–Europe freight train on Route ( i , j ) of China–Europe Railway network, unit (column·week−1)
x i j v Weekly container freight demand of Class v China–Europe Freight trains on Route ( i , j ) , units (TEU·week−1)
y i j The 0–1 decision variable is 1 if the goods are transported on the China–Europe railway network route ( i , j ) , otherwise 0
z i 0–1 decision variable: 1 is selected if the goods are collected at the transit assembly node i of the China–Europe railway network; 0 is selected otherwise
Table 2. Train transport parameters.
Table 2. Train transport parameters.
ArgumentSymbolType of Train
Domestic Road Transport TrainTransnational Road Transport Train
Average travel speed (km·day−1) S v 5001000
Packing capacity (TEU) Q v 10075
Fixed cost of opening a column (CNY·column−1) C v 22,45053,300
Variable cost of opening a column (CNY·km−1) C i j v 250200
Table 3. Cost parameters of in-station loading and unloading operations.
Table 3. Cost parameters of in-station loading and unloading operations.
ArgumentSymbolData
Cost of staging center transfer waiting operation (CNY·TEU−1) C i 3 580
Table 4. Transport distance between network nodes.
Table 4. Transport distance between network nodes.
Node Spacing (km)ZhengzhouChongqingChengduXi’anUrumqiMoscow
Zhengzhou01086115749529986724
Chongqing1086033374527496475
Chengdu1157333067626606386
Xi’an495745676025056231
Urumqi299827492660250503726
Nanjing72113431649116736787404
Xuzhou3811444150382933387064
Suzhou94015651873138238927618
Lianyungang54816181692103035377263
Nantong87015971906133638277553
Wuhan504836114596336657391
Changsha8598321356125335177243
Yiwu113115602081159141067832
Hefei56811851493100334607186
Shenyang138329302577191440787804
Dongguan153112891635198745258251
Lanzhou103287381357718675593
Table 5. Nodal freight demand.
Table 5. Nodal freight demand.
IDNodesWeekly Freight Volume (TEU)IDNodesWeekly Freight Volume (TEU)
1Zhengzhou4149Nantong50
2Chongqing47910Wuhan210
3Chengdu50611Changsha172
4Xi’an23212Yiwu157
5Nanjing25213Hefei126
6Xuzhou10614Shenyang108
7Suzhou24915Dongguan59
8Lianyungang54716Lanzhou117
Table 6. Train operation plan.
Table 6. Train operation plan.
Bank Opening ModeOpening LineOpening Frequency (Column·Week−1)
Domestic Road Transport TrainTransnational Road Transport Train
Through transport organization modelZhengzhou–Moscow06
Chongqing–Moscow07
Chengdu–Moscow07
Xi’an–Moscow04
Nanjing–Moscow04
Xuzhou–Moscow02
Suzhou-Moscow03
Lianyungang–Moscow08
Nantong–Moscow01
Wuhan–Moscow03
Changsha–Moscow03
Yiwu–Moscow03
Hefei–Moscow02
Shenyang–Moscow02
Dongguan–Moscow01
Lanzhou–Moscow02
Table 7. Uncertain cost and total transportation cost under different robustness level parameters.
Table 7. Uncertain cost and total transportation cost under different robustness level parameters.
Robust Horizontal Parameters Γ Uncertain CostTotal Transportation Cost
0084,321,350
117,883,920104,362,700
233,311,369119,790,149
349,394,063135,872,843
471,235,373157,714,153
578,047,530164,526,310
695,953,005182,431,785
7112,931,222199,410,002
8135,218,022221,696,802
9144,875,717231,354,497
10167,538,097254,016,877
11170,032,750256,511,530
12192,666,579279,145,359
13213,161,068299,639,848
14219,369,512305,848,292
15243,532,012330,010,792
16279,175,721365,654,501
17279,175,721365,654,501
18279,175,721365,654,501
19279,175,721365,654,501
Table 8. Train Operation Schedule when 0.1 ε i 1.0 .
Table 8. Train Operation Schedule when 0.1 ε i 1.0 .
Operating ModeOperating Routes 0.1 ε i 0.6 0.7 ε i 1.0
Frequency of Operation (Trains/Week)Frequency of Operation (Trains/Week)
Domestic Section Transport TrainsInternational Section Transport TrainsDomestic Section Transport TrainsInternational Section Transport Trains
The operating mode of China–Europe freight train assemblyNanjing–UrumqiUrumqi–Moscow1500
Xuzhou–Urumqi10
Hefei–Urumqi10
Shenyang–Urumqi10
Lanzhou–Urumqi10
Direct transportation organization modeZhengzhou–Moscow0306
Chongqing–Moscow0207
Chengdu–Moscow0307
Xi’an–Moscow0204
Nanjing–Moscow0404
Xuzhou–Moscow0102
Suzhou-Moscow0403
Lianyungang–Moscow0108
Nantong–Moscow0101
Wuhan–Moscow0303
Changsha–Moscow0103
Yiwu–Moscow0303
Hefei-Moscow0002
Shenyang–Moscow0002
Dongguan–Moscow0101
Lanzhou–Moscow0102
Disclaimer/Publisher’s Note: The statements, opinions and data contained in all publications are solely those of the individual author(s) and contributor(s) and not of MDPI and/or the editor(s). MDPI and/or the editor(s) disclaim responsibility for any injury to people or property resulting from any ideas, methods, instructions or products referred to in the content.

Share and Cite

MDPI and ACS Style

Zheng, C.; Shen, Y.; Ma, J.; Gui, L.; Zhang, C. Robust Optimization of Transport Organization for China Railway Express. Appl. Sci. 2024, 14, 137. https://doi.org/10.3390/app14010137

AMA Style

Zheng C, Shen Y, Ma J, Gui L, Zhang C. Robust Optimization of Transport Organization for China Railway Express. Applied Sciences. 2024; 14(1):137. https://doi.org/10.3390/app14010137

Chicago/Turabian Style

Zheng, Changjiang, Yang Shen, Junze Ma, Ling Gui, and Chen Zhang. 2024. "Robust Optimization of Transport Organization for China Railway Express" Applied Sciences 14, no. 1: 137. https://doi.org/10.3390/app14010137

APA Style

Zheng, C., Shen, Y., Ma, J., Gui, L., & Zhang, C. (2024). Robust Optimization of Transport Organization for China Railway Express. Applied Sciences, 14(1), 137. https://doi.org/10.3390/app14010137

Note that from the first issue of 2016, this journal uses article numbers instead of page numbers. See further details here.

Article Metrics

Back to TopTop