Shelf-Life Assessment of Bread Partially Substituted with Soy Protein Isolate
Abstract
1. Introduction
2. Materials and Methods
2.1. Raw Material
2.2. Bacterial Strain and Chemicals
2.3. Bread Making
2.4. Specific Volume (SV)
2.5. Moisture Content, aw, and pH
2.6. Sensory Evaluation
2.7. Total Yeast and Mold Count
2.8. Microbiological Challenge Test
2.8.1. Strain Activation and Storage
2.8.2. Preparation of Diluent
2.8.3. Quantification of S. aureus
2.8.4. S. aureus Inoculation
2.8.5. Detection of S. aureus
2.8.6. Calculating the Generation Time and Reproductive Rate of S. aureus
- t1 = 24 × t (t is the number of days);
- t0 = 0;
- n = 3.3 × (log y − log x); y = Colony count on Day t, x = Colony count on Day 0.
2.8.7. Statistical Analysis
3. Results and Discussion
3.1. Volume, Weight, and SV
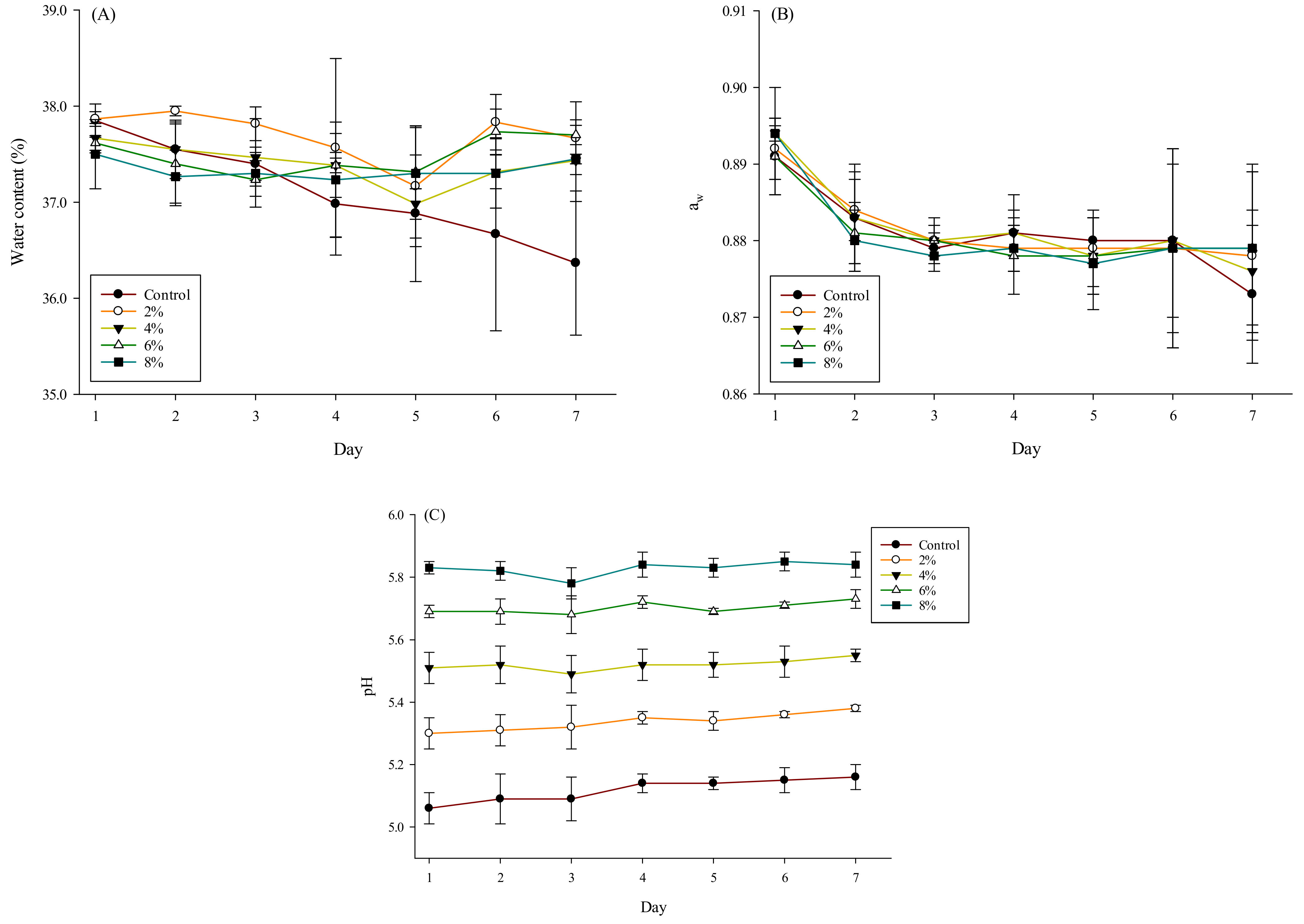
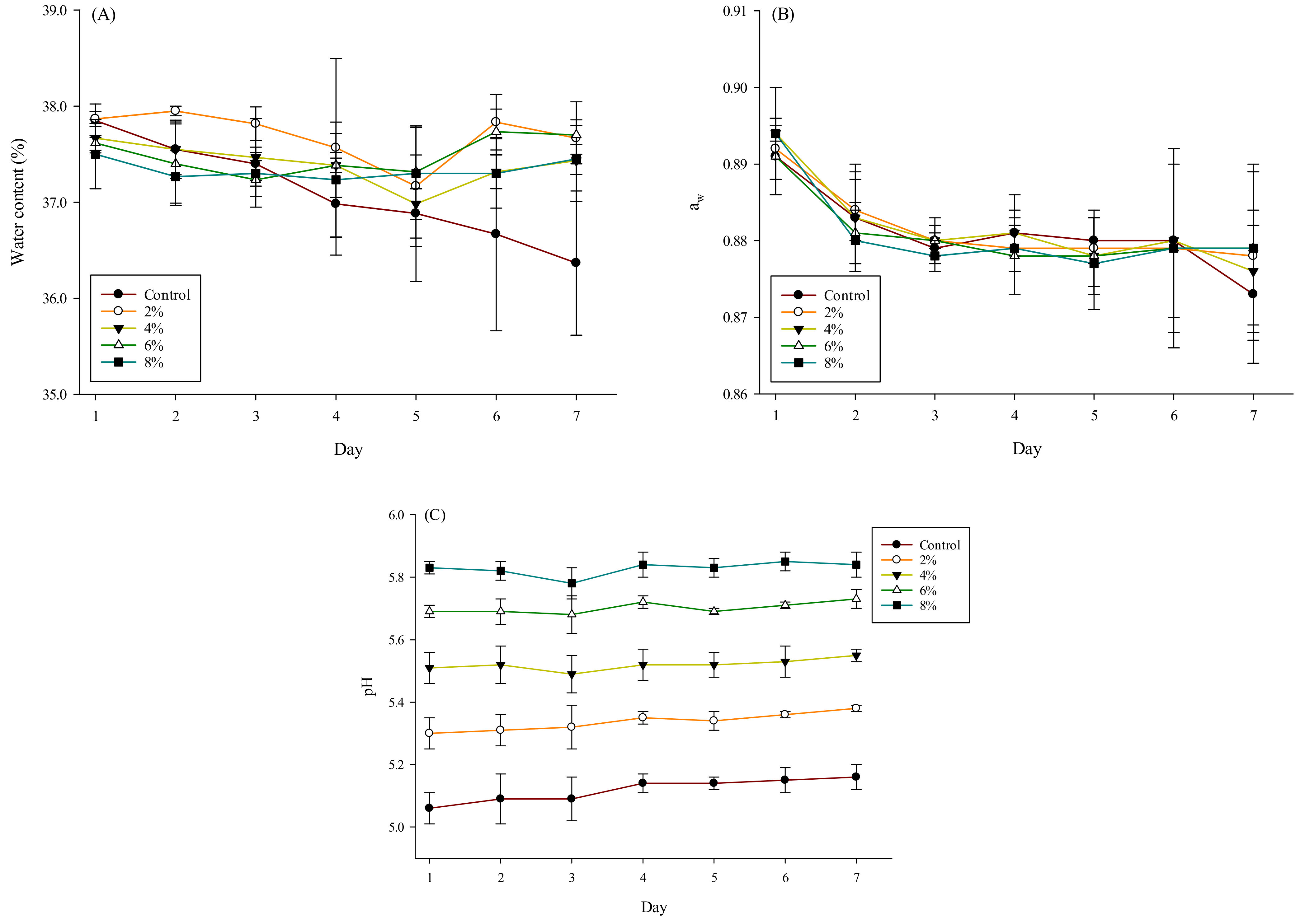
3.2. Moisture Content, aw, and pH Value
3.3. Sensory Evaluation
3.4. Detection of Yeast and Mold
3.5. S. aureus Challenge Test
4. Conclusions
Author Contributions
Funding
Institutional Review Board Statement
Informed Consent Statement
Data Availability Statement
Conflicts of Interest
References
- Bauer, J.; Biolo, G.; Cederholm, T.; Cesari, M.; Cruz-Jentoft, A.J.; Morley, J.E.; Phillips, S.; Sieber, C.; Stehle, P.; Teta, D.; et al. Evidence-based recommendations for optimal dietary protein intake in older people: A position paper from the PROT-AGE Study Group. J. Am. Med. Dir. Assoc. 2013, 14, 542–559. [Google Scholar] [CrossRef] [PubMed]
- Boirie, Y. Physiopathological mechanism of sarcopenia. J. Nutr. Health Aging 2009, 13, 717–723. [Google Scholar] [CrossRef]
- Costa, A.I.A.; Jongen, W.M.F. Designing new meals for an ageing population. Crit. Rev. Food Sci. 2010, 50, 489–502. [Google Scholar] [CrossRef]
- Deutz, N.E.P.; Bauer, J.M.; Barazzoni, R.; Biolo, G.; Boirie, Y.; Bosy-Westphal, A.; Cederholm, T.; Cruz-Jentoft, A.; Krznariç, Z.; Nair, K.S.; et al. Protein intake and exercise for optimal muscle function with aging: Recommendations from the ESPEN Expert Group. Clin. Nutr. 2014, 33, 929–936. [Google Scholar] [CrossRef] [PubMed]
- Nieuwenhuizen, W.F.; Weenen, H.; Rigby, P.; Hetherington, M.M. Older adults and patients in need of nutritional support: Review of current treatment options and factors influencing nutritional intake. Clin. Nutr. 2010, 29, 160–169. [Google Scholar] [CrossRef]
- Wolfe, R.R.; Miller, S.L.; Miller, K.B. Optimal protein intake in the elderly. Clin. Nutr. 2008, 27, 675–684. [Google Scholar] [CrossRef]
- Van der Zanden, L.D.T.; van Kleef, E.; de Wijk, R.A.; van Trijp, H.C.M. Knowledge, perceptions and preferences of elderly regarding protein-enriched functional food. Appetite 2014, 80, 16–22. [Google Scholar] [CrossRef] [PubMed]
- Kreutz, J.M.; Heynen, L.; Arayess, L.; Vreugdenhil, A.C.E. Celiac disease and the gluten free diet during the COVID-19 pandemic: Experiences of children and parents. Medicina 2023, 59, 425. [Google Scholar] [CrossRef]
- Bian, X.; Xing, T.L.; Yang, Y.; Fan, J.; Ma, C.M.; Liu, X.F.; Wang, Y.; He, Y.Y.; Wang, L.D.; Wang, B.; et al. Effect of soy protein isolate on physical properties of quinoa dough and gluten-free bread quality characteristics. J. Sci. Food Agric. 2023, 103, 118–124. [Google Scholar] [CrossRef] [PubMed]
- Boyacioglu, M.H. Soy ingredients in baking. In Soy Applications in Food, 1st ed.; Riaz, M.N., Ed.; CRC Taylor and Francis: Boca Raton, FL, USA, 2006; pp. 63–81. [Google Scholar]
- Ribotta, P.D.; Arnulphi, S.A.; León, A.E.; Añón, M.C. Effect of soybean addition on the rheological properties and breadmaking quality of wheat flour. J. Sci. Food Agric. 2005, 85, 1889–1896. [Google Scholar] [CrossRef]
- Crockett, R.; Ie, P.; Vodovotz, Y. Effects of soy protein isolate and egg white solids on the physicochemical properties of gluten-free bread. Food Chem. 2011, 129, 84–91. [Google Scholar] [CrossRef]
- Endres, J.G. Uses in food systems. In Soy Protein Products: Characteristics, Nutritional Aspects, and Utilization, 1st ed.; Endres, J.G., Ed.; AOCS Press: Champaign, IL, USA, 2001; pp. 31–34. [Google Scholar]
- Zhang, Y.; Guo, X.; Xiong, H.; Zhu, T. Effect of modified soy protein isolate on dough rheological properties and noodle qualities. J. Food Process. Preserv. 2022, 46, e16371. [Google Scholar] [CrossRef]
- Fang, Y.; Zhang, B.; Wei, Y. Effects of the specific mechanical energy on the physicochemical properties of texturized soy protein during high-moisture extrusion cooking. J. Food Eng. 2014, 121, 32–38. [Google Scholar] [CrossRef]
- Kristiawan, M.; Micard, V.; Maladira, P.; Alchamieh, C.; Maigret, J.-E.; Réguerre, A.-L.; Emin, M.A.; Della Valle, G. Multi-scale structural changes of starch and proteins during pea flour extrusion. Food Res. Int. 2018, 108, 203–215. [Google Scholar] [CrossRef]
- Pérez, G.T.; Ribotta, P.D.; Steffolani, M.E.; León, A.E. Effect of soybean proteins on gluten depolymerization during mixing and resting. J. Sci. Food Agric. 2008, 88, 455–463. [Google Scholar] [CrossRef]
- Zhang, Y.; Guo, X.; Shi, C.; Ren, C. Effect of soy proteins on characteristics of dough and gluten. Food Chem. 2020, 318, 126494. [Google Scholar] [CrossRef] [PubMed]
- Zheng, L.; Regenstein, J.M.; Zhou, L.; Wang, Z. Soy protein isolates: A review of their composition, aggregation, and gelation. Compr. Rev. Food Sci. Food Saf. 2022, 21, 1940–1957. [Google Scholar] [CrossRef]
- Sahagún, M.; Benavent-Gil, Y.; Rosell, C.M.; Gómez, M. Modulation of in vitro digestibility and physical characteristics of protein enriched gluten free breads by defining hydration. LWT–Food Sci. Technol. 2019, 117, 108642. [Google Scholar] [CrossRef]
- Srikanlaya, C.; Therdthai, N.; Ritthiruangdej, P.; Zhou, W. Effect of hydroxypropyl methylcellulose, whey protein concentrate and soy protein isolate enrichment on characteristics of gluten-free rice dough and bread. Int. J. Food Sci. Technol. 2018, 53, 1760–1770. [Google Scholar] [CrossRef]
- FDA. Food Code 2017. US Food and Drug Administration. 2017. Available online: https://www.fda.gov/media/110822/download (accessed on 12 January 2023).
- FDA. Evaluation and definition of potentially hazardous foods. Compr. Rev. Food Sci. Food Saf. 2003, 2, 6–50. Available online: https://www.fda.gov/files/food/published/Evaluation-and-Definition-of-Potentially-Hazardous-Foods.pdf (accessed on 12 January 2023).
- National Advisory Committee on Microbiological Criteria for Foods. Parameters for determining inoculated pack/challenge study protocols. J. Food Protect. 2010, 73, 140–202. [Google Scholar] [CrossRef]
- Komitopoulou, E. Microbiological challenge testing of foods. In Food and Beverage Stability and Shelf Life, 1st ed.; Kilcast, D., Subramaniam, P., Eds.; Woodhead Publishing: Cambridge, UK, 2011; pp. 507–523. [Google Scholar]
- Feeherry, F.E.; Doona, C.J.; Taub, I.A. Effect of water activity on the growth kinetics of Staphylococcus aureus in ground bread crumb. J. Food Sci. 2003, 68, 982–987. [Google Scholar] [CrossRef]
- Asioli, D.; Aschemann-Witzel, J.; Caputo, V.; Vecchio, R.; Annunziata, A.; Næs, T.; Varela, P. Making sense of the “clean label” trends: A review of consumer food choice behavior and discussion of industry implications. Food Res. Int. 2017, 99, 58–71. [Google Scholar] [CrossRef] [PubMed]
- MacGregor, G.A.; He, F.J.; Pombo-Rodrigues, S. Food and the responsibility deal: How the salt reduction strategy was derailed. Brit. Med. J. 2015, 350, 20–22. [Google Scholar] [CrossRef]
- Coombs, C.E.; Holman, B.W.; Friend, M.A.; Hopkins, D.L. Long-term red meat preservation using chilled and frozen storage combinations: A review. Meat Sci. 2017, 125, 84–94. [Google Scholar] [CrossRef]
- Barcenilla, C.; Álvarez-Ordóñez, A.; López, M.; Alvseike, O.; Prieto, M. Microbiological safety and shelf-life of low-salt meat products—A review. Foods 2022, 11, 2331. [Google Scholar] [CrossRef]
- Mondal, A.; Datta, A.K. Bread baking-A review. J. Food Eng. 2008, 86, 465–474. [Google Scholar] [CrossRef]
- CNS 3899; Breads. National Standards of the Republic of China. Ministry of Economic Affairs: Taipei City, Taiwan, 2012.
- FDA. US Department of Health and Human Services. CFR-Code of Federal Regulations Title 21, Part 136 Bakery Products. 2019. Available online: https://www.accessdata.fda.gov/scripts/cdrh/cfdocs/cfcfr/CFRSearch.cfm?CFRPart=136&showFR=1 (accessed on 12 January 2023).
- Masure, H.G.; Wouters, A.G.B.; Fierens, E.; Delcour, J.A. Impact of egg white and soy proteins on structure formation and crumb firming in gluten-free breads. Food Hydrocolloid 2019, 95, 406–417. [Google Scholar] [CrossRef]
- AACC International. AACC Method 10-05.01 Guidelines for Measurement of Volume by Rapeseed Displacement. In Approved Methods of the American Association of Cereal Chemists, 11th ed.; American Association of Cereal Chemists: St. Paul, MN, USA, 2010. [Google Scholar]
- Shin, M.; Gang, D.O.; Song, J.Y. Effects of protein and transglutaminase on the preparation of gluten-free rice bread. Food Sci. Biotechnol. 2010, 19, 951–956. [Google Scholar] [CrossRef]
- AACC International. AACC International. AACC Method 44-01.01 Calculation of Percent Moisture. In Approved Methods of the American Association of Cereal Chemists, 11th ed.; American Association of Cereal Chemists: St. Paul, MN, USA, 2000. [Google Scholar]
- Sanmartin, C.; Taglieri, I.; Venturi, F.; Macaluso, M.; Zinnai, A.; Tavarini, S.; Botto, A.; Serra, A.; Conte, G.; Flamini, G.; et al. Flaxseed cake as a tool for the improvement of nutraceutical and sensorial features of sourdough bread. Foods 2020, 9, 204. [Google Scholar] [CrossRef]
- Brewer, M.S.; Potter, S.M.; Sprouls, G.; Reinhard, M. Effect of soy protein isolate and soy fiber on color, physical and sensory characteristics of baked products. J. Food Qual. 1992, 15, 245–262. [Google Scholar] [CrossRef]
- TFDA. Methods of Test for Food Microorganisms-Test of Mold and Yeast Count; Taiwan Food and Drug Administration: Taipei City, Taiwan, 2013. [Google Scholar]
- Aguirre, J.F.; Osella, C.A.; Carrara, C.R.; Sánchez, H.D.; Buera, M.D.P. Effect of storage temperature on starch retrogradation of bread staling. Starch–Stärke 2011, 63, 587–593. [Google Scholar] [CrossRef]
- Yoo, M.H.; Huh, M.D.; Kim, E.H.; Lee, H.H.; Jeong, H.D. Characterization of chloramphenicol acetyltransferase gene by multiplex polymerase chain reaction in multidrug-resistant strains isolated from aquatic environments. Aquaculture 2003, 217, 11–21. [Google Scholar] [CrossRef]
- TFDA. Methods of Test for Food Microorganisms-Test of Coliform Bacteria; Taiwan Food and Drug Administration: Taipei City, Taiwan, 2013. [Google Scholar]
- Osés, S.M.; Diez, A.M.; Gómez, E.M.; Wilches-Pérez, D.; Luning, P.A.; Jaime, I.; Rovira, J. Control of Escherichia coli and Listeria monocytogenes in suckling-lamb meat evaluated using microbial challenge tests. Meat Sci. 2015, 110, 262–269. [Google Scholar] [CrossRef]
- Silbernagel, K.M.; Jechorek, R.P.; Carver, C.N.; Horter, B.L.; Lindberg, K.G. 3M Petrifilm Staph Express count plate method for the enumeration of Staphylococcus aureus in selected types of processed and prepared foods: Collaborative study. J. AOAC Int. 2003, 86, 954–962. [Google Scholar] [CrossRef]
- Monod, J. The growth of bacterial cultures. Annu. Rev. Microbiol. 1949, 3, 371–394. [Google Scholar] [CrossRef]
- Lorimer, N.L.; Zabik, M.E.; Harte, J.B.; Stachiw, N.C.; Uebersax, M.A. Effect of navy bean protein flour and navy bean globulins on composite flour rheology, chemical bonding, and microstructure. Cereal Chem. 1991, 68, 213–220. [Google Scholar]
- Zhou, J.; Liu, J.; Tang, X. Effects of whey and soy protein addition on bread rheological property of wheat flour. J. Texture Stud. 2018, 49, 38–46. [Google Scholar] [CrossRef]
- Horstmann, S.W.; Foschia, M.; Arendt, E.K. Correlation analysis of protein quality characteristics with gluten-free bread properties. Food Funct. 2017, 8, 2465–2474. [Google Scholar] [CrossRef]
- Kinsella, J.E. Functional properties of soy proteins. J. Am. Oil Chem. Soc. 1979, 56, 242–258. [Google Scholar] [CrossRef]
- Otegbayo, B.O.; Adebiyi, O.M.; Bolaji, O.A.; Olunlade, B.A. Effect of soy enrichment on bread quality. Int. Food Res. J. 2018, 25, 1120–1125. [Google Scholar]
- Besbes, E.; Jury, V.; Monteau, J.-Y.; Le Bail, A. Effect of baking conditions and storage with crust on the moisture profile, local textural properties and staling kinetics of pan bread. LWT–Food Sci. Technol. 2014, 58, 658–666. [Google Scholar] [CrossRef]
- Czuchajowska, Z.; Pomeranz, Y. Different scanning calorimetry, water activity, and moisture contents in crumb center and near-crust zones of bread during storage. Cereal Chem. 1989, 66, 305–309. [Google Scholar]
- Damodaran, S.; Arora, A. Off-flavor precursors in soy protein isolate and novel strategies for their removal. Annu. Rev. Food Sci. Technol. 2013, 4, 327–346. [Google Scholar] [CrossRef]
- Corsetti, A.; Gobbetti, M.; Rossi, J.; Damiani, P. Antimould activity of sourdough lactic acid bacteria: Identification of a mixture of organic acids produced by Lactobacillus sanfrancisco CB1. Appl. Microbiol. Biot. 1998, 50, 253–256. [Google Scholar] [CrossRef] [PubMed]
- Guynot, M.E.; Ramos, A.J.; Sanchis, V.; Marın, S. Study of benzoate, propionate, and sorbate salts as mould spoilage inhibitors on intermediate moisture bakery products of low pH (4.5–5.5). Int. J. Food Microbiol. 2005, 101, 161–168. [Google Scholar] [CrossRef]
- Legan, J.D. Mould spoilage of bread: The problem and some solutions. Int. Biodeter. Biodegr. 1993, 32, 33–53. [Google Scholar] [CrossRef]
- Tamaru, S.; Kurayama, T.; Sakono, M.; Fukuda, N.; Nakamori, T.; Furuta, H.; Nagata, Y.; Tanaka, K. Dietary soybean peptides containing a low-molecular fraction can lower serum and liver triglyceride levels in rats. J. Nutr. Sci. Vitaminol. 2014, 60, 436–442. [Google Scholar] [CrossRef]
- Abou-Zaid, A.; Elbandy Mohamed, A.S. Production and quality evaluation of nutritious high quality biscuits and potato puree tablets supplemented with crayfish ProcombarusClarkia protein products. J. Appl. Sci. Res. 2014, 10, 43–53. [Google Scholar]
- Grispoldi, L.; Karama, M.; Ianni, F.; La Mantia, A.; Pucciarini, L.; Camaioni, E.; Sardella, R.; Sechi, P.; Natalini, B.; Cenci-Goga, B.T. The relationship between S. aureus and branched-chain amino acids content in composite cow milk. Animals 2019, 9, 981. [Google Scholar] [CrossRef]
- Tango, C.N.; Akkermans, S.; Hussain, M.S.; Khan, I.; Van Impe, J.; Jin, Y.-G.; Oh, D.H. Modeling the effect of pH, water activity, and ethanol concentration on biofilm formation of Staphylococcus aureus. Food Microbiol. 2018, 76, 287–295. [Google Scholar] [CrossRef] [PubMed]




| Material | Ratio * | ||||
|---|---|---|---|---|---|
| High-gluten flour | 100 | 98 | 96 | 94 | 92 |
| Soy protein isolate powder | 0 | 2 | 4 | 6 | 8 |
| Water | 50 | 50 | 50 | 50 | 50 |
| Granulated sugar | 8 | 8 | 8 | 8 | 8 |
| Unsalted butter | 8 | 8 | 8 | 8 | 8 |
| Salt | 2 | 2 | 2 | 2 | 2 |
| Yeast | 1.5 | 1.5 | 1.5 | 1.5 | 1.5 |
| Cost (NTD) | 23.27 | 23.83 | 24.39 | 24.96 | 25.52 |
| Group | Control | 2% | 4% | 6% | 8% |
| Group | Volume (mL) | Weight (g) | Specific Volume (mL g−1) |
|---|---|---|---|
| Control | 3226.00 ± 64.09 a | 617.83 ± 1.57 a | 5.22 ± 0.10 a |
| 2% | 3104.67 ± 38.28 b | 621.53 ± 2.95 ab | 5.00 ± 0.04 b |
| 4% | 2860.67 ± 10.02 c | 621.43 ± 5.83 ab | 4.60 ± 0.03 c |
| 6% | 2773.67 ± 46.36 d | 625.20 ± 2.70 b | 4.44 ± 0.09 d |
| 8% | 2390.00 ± 39.74 e | 625.97 ± 2.73 b | 3.82 ± 0.08 e |
| Group | Appearance | Taste | Softness/Hardness | Texture | Overall Acceptance |
|---|---|---|---|---|---|
| Control | 6.37 a | 6.53 a | 6.84 a | 6.63 a | 7.02 a |
| 2% | 5.65 ab | 5.84 ab | 6.14 ab | 6.02 a | 6.10 b |
| 4% | 5.43 b | 5.59 b | 5.65 bc | 5.84 a | 5.92 b |
| 6% | 5.25 b | 5.18 b | 4.94 c | 4.88 b | 5.25 b |
| 8% | 4.33 c | 4.31 c | 3.82 d | 4.22 b | 4.16 c |
| Group | Day 0 | Day 2 | Day 3 | Day 4 | Day 5 | |
|---|---|---|---|---|---|---|
| Control | Growth count (log CFU g−1) | 2.62 | 3.28 | 3.90 | 4.38 | 5.12 |
| Generation time (hr) | 21.83 | 17.07 | 16.50 | 14.52 | ||
| Reproductive rate (%) | 21.84 | 3.33 | 11.99 | |||
| 2% | Growth count (log CFU g−1) | 2.67 | 3.62 | 4.50 | 5.44 | 5.79 |
| Generation time (hr) | 15.30 | 11.94 | 10.52 | 11.67 | ||
| Reproductive rate (%) | 21.92 | 11.94 | −10.94 | |||
| 4% | Growth count (log CFU g−1) | 2.70 | 3.55 | 4.44 | 5.44 | 5.81 |
| Generation time (hr) | 17.06 | 12.55 | 10.63 | 11.70 | ||
| Reproductive rate (%) | 26.44 | 15.31 | −10.08 | |||
| 6% | Growth count (log CFU g−1) | 2.67 | 3.44 | 4.21 | 5.25 | 5.63 |
| Generation time (hr) | 18.96 | 14.20 | 11.30 | 12.31 | ||
| Reproductive rate (%) | 25.08 | 20.43 | −8.90 | |||
| 8% | Growth count (log CFU g−1) | 2.66 | 3.68 | 4.45 | 5.37 | 6.58 |
| Generation time (hr) | 14.33 | 12.22 | 10.75 | 9.28 | ||
| Reproductive rate (%) | 14.67 | 12.02 | 13.71 |
Disclaimer/Publisher’s Note: The statements, opinions and data contained in all publications are solely those of the individual author(s) and contributor(s) and not of MDPI and/or the editor(s). MDPI and/or the editor(s) disclaim responsibility for any injury to people or property resulting from any ideas, methods, instructions or products referred to in the content. |
© 2023 by the authors. Licensee MDPI, Basel, Switzerland. This article is an open access article distributed under the terms and conditions of the Creative Commons Attribution (CC BY) license (https://creativecommons.org/licenses/by/4.0/).
Share and Cite
Chang, Y.-H.; Chang, C.-M.; Chuang, P.-T. Shelf-Life Assessment of Bread Partially Substituted with Soy Protein Isolate. Appl. Sci. 2023, 13, 3960. https://doi.org/10.3390/app13063960
Chang Y-H, Chang C-M, Chuang P-T. Shelf-Life Assessment of Bread Partially Substituted with Soy Protein Isolate. Applied Sciences. 2023; 13(6):3960. https://doi.org/10.3390/app13063960
Chicago/Turabian StyleChang, Yu-Han, Cheng-Ming Chang, and Pei-Ting Chuang. 2023. "Shelf-Life Assessment of Bread Partially Substituted with Soy Protein Isolate" Applied Sciences 13, no. 6: 3960. https://doi.org/10.3390/app13063960
APA StyleChang, Y.-H., Chang, C.-M., & Chuang, P.-T. (2023). Shelf-Life Assessment of Bread Partially Substituted with Soy Protein Isolate. Applied Sciences, 13(6), 3960. https://doi.org/10.3390/app13063960

