Abstract
The drainage consolidation method can reduce porosity to consolidate soft soils. In this study, a novel siphon drainage method is used as the drainage consolidation method to lower the groundwater level. Compared to other drainage methods, the siphon drainage method is power-free, environmental-friendly, and highly efficient. Numerical simulations are conducted to verify the feasibility of the siphon drainage method on soft soil treatment. In addition, the effects of soil permeability and drainage hole spacing on its application efficiency have been studied. The results show that: (a) The siphon drainage method can accelerate the consolidation by lowering the groundwater level; (b) The larger the soil permeability is, the faster the pore water pressure decreases; (c) Adopting 1 m hole-spacing in the siphon drainage is much more efficient than methods which have a 2 m hole-spacing. In addition, the siphon drainage method is proven the effective in soft soil foundation treatment by a field test in Zhoushan, Zhejiang Province.
1. Introduction
Soft soils, which have the characteristics of high compressibility, high water content, and low strength, are widely distributed in coastal areas [1,2]. To construct engineering infrastructures on soft soils, the foundation must be treated to resist the applied loads.
In some projects, engineers adopt measures such as lightening the superstructure [3] or using the soil cushion [4] to reduce the additional loads on soft soil foundations. However, these measurements are not suitable for every project due to their high-economy cost.
Methods to strengthen and improve the soft soil foundation have been developed. With respect to soft soils with high water content, the most practical way to treat the foundation is to adopt the drainage consolidation method [5,6]. The drainage consolidation method is a reinforcement treatment to reduce the porosity of soft soils [7]. When the pore water is discharged, the soil will be drained and consolidated [8,9]. The pore volume of the soil will decrease, and the shear strength will increase, which can achieve the purpose of reducing post-construction settlement and improving the bearing capacity of the foundation [10,11].
The drainage consolidation method normally consists of a drainage layer on the surface and a vertical drainage body under the ground, which can effectively shorten the maximum drainage distance and greatly reduce the time for soil consolidation. The drainage layer on the surface usually adopts a sand cushion [12,13]. The vertical drainage body was initially a sand well [14], and then was gradually replaced by prefabricated vertical drains [15,16].
It is common to apply a ditch drainage method or well point drainage method to lower the groundwater level [17]. For the ditch drainage method, the major measurement is used to construct the drainage ditches and connecting wells [18]. The pumping machine is used to continuously discharge the groundwater from the connecting wells to dry the soils in the surface areas. However, this method is time-consuming and labor-intensive with less efficiency. For well point drainage, the major measurement is to use well holes to pump the groundwater in the foundation. There are several types of well point drainage, for example, light well point drainage, jet well point drainage, tube well point drainage, electroosmotic well point drainage, etc. [19]. With respect to soft soils, the low permeability (usually less than 10−6 cm/s) makes the above measurements less applicable except for electro-osmotic well point drainage. However, due to the high cost of both economy and energy, the electro-osmotic well point drainage is not well adopted. Therefore, developing a time-efficient and cost-efficient manner to lower the groundwater level in soft soil foundations provides great value in engineering construction.
The siphon phenomenon is an ancient discovery, which is caused by the molecular gravity of the molecules of a liquid and different potential energy [20]. It is often used for drainage of slopes with large permeability coefficients [21,22]. As reported in the previously published literature, a drainage method based on the siphon phenomenon has been developed and has achieved excellent results in many landslide control projects. Gress [23,24] designed an automatic siphon drainage system for slopes, in a patent, with 10–30 mm diameter pipes. The team of Sun [25,26] concentrated on the application of millimeter siphon pipe diameters for potential landslide water table precipitation. Siphon drainage is usually applied to soil with a large permeability coefficient. The corresponding research is required to verify whether the siphon drainage is applicable to soft soil with low permeability. Some scholars have carried out physical simulation tests in the early stage to examine the feasibility of siphon drainage technology in soft soil foundation [27,28]. However, these studies only stay at the stage of the small-scale model test, and there is still a lack of large-scale field tests and verification.
In the traditional application (such as landslides) of siphon drainage, (a) the drainage is usually continuous (the drainage time can last several hours or even several days at a time), and (b) there exists terrain with a natural elevation difference. The application of the siphon drainage method in soil with a large permeability coefficient has achieved good results [29,30]. It can quickly collect and discharge the water in the soil, effectively lower the groundwater level, and improve the stability of the slope. However, in the application to a large-area of soft soil foundation, (a) due to low permeability, the drainage is intermittent (the drainage time can usually last several minutes at a time), and (b) there is no terrain with a natural elevation difference. Therefore, the traditional siphon drainage method is not applicable to the soft soil foundation. This manuscript proposes a siphon drainage method in which the terrain height difference required for siphon drainage is formed by artificially setting up pumping wells. Through the arrangement of dense holes to collect groundwater in low-permeability soil, the principle of the siphon is used to achieve the purpose of unpowered drainage, which solves the difficulty of the extremely low efficiency of direct pumping. Numerical simulations are conducted to verify the feasibility of the siphon method in soft soil consolidation. In addition, a field test in Zhoushan, a city in Zhejiang Province in China, confirmed the effectiveness of siphon drainage in soft soil foundation treatment.
2. Theoretical Basis of Siphon Drainage in Soft Soil Consolidation
As reported in the previous works of literature, the groundwater level can be successfully lowered by siphon drainage. Lowering the groundwater level can have both a direct effect and an indirect effect on the acceleration of the consolidation.
The direct effect is that lowering the groundwater level can increase the effective stress. When the groundwater level decreases, the weight of soils in the areas of reduced water level change from the original buoyant weight γ′ to the natural weight γ. This change can accelerate the consolidation of not only the soils above the groundwater level, but also those below the groundwater level. For the former, the effective stress has been increased. As for the soils in the deep, the loads applied to them have increased.
To better describe the influence of siphon drainage on soil consolidation, a diagram of the drainage method by the siphon tube is provided in Figure 1. As shown in the figure, there is a descending funnel during the siphon drainage. Point C and D in Figure 1 are two position points with different heights.
Figure 1.
Diagram of groundwater level in soil mass before and after siphon drainage (Point A is at the surface, point B is at the initial groundwater level, point C is at the groundwater level after drainage, and point D is below the groundwater level after drainage).
For position C, the vertical effective stress before the drainage σ′zC is:
where hAB and hBC are the vertical heights between A and B, as well as B and C, respectively.
When the groundwater level decreases, the vertical effective stress σ′zC is:
Therefore, the increment of vertical effective stress at C is:
As for position D, the effective stress before the drainage is:
When the groundwater level decreases, the corresponding effective stress at D is:
Therefore, the increase in vertical effective stress at D is:
The increase in effective stress at C and D are the same. Since the natural weight is always larger than the buoyant weight, the effective stress can be increased if the groundwater level decreases.
Compared with other drainage methods, the siphon drainage method is not affected by the slow seepage rate of groundwater. It can slowly transport the groundwater in soft soil into the pump well and then discharge it quickly by the pump. Thus, it is an energy-saving, environment-friendly, and easy-operated method. A schematic of the application of the siphon drainage method in soft soils treatment is provided in Figure 2.
Figure 2.
Schematic diagram of siphon drainage profile structure in soft soil.
As shown in Figure 2, the siphon drainage system includes the following parts: siphon drainage hole, siphon pipe, a pump well, pumping pipe, and a water pump. The working principle of the siphon drainage method for soft soil foundation is as follows: Insert one end of the siphon pipe into the siphon drainage hole formed in soft soil foundation, and put the other end of the siphon pipe into the pump well. After the siphon is activated, the water in the soft soil will collect into the siphon drainage hole and be drawn out by the siphon pipe. If the depth of the siphon pipe penetrated into the soil exceeds the limit lift of the siphon, the siphon pipe will always be submerged in the groundwater without interruption. The water level in the pump well is controlled by an intelligent controller to keep it below the limit lift depth of the siphon, so there is a water level difference at both ends of the siphon pipe, and the siphon drainage process can continue. With the decline of the groundwater level in the soil, the effective stress of the soil increases continuously, and then consolidates to achieve the purpose of foundation treatment. When the siphon drainage system is activated, the groundwater can be continuously drained to the pump well by the siphon pipe without any power. The siphon drainage process will be maintained as long as the groundwater lever in the pump well is lower than that in the soft soils. It is important to maintain the water level in the pump well at a low level by pumping.
Theoretical analysis shows that siphon drainage is feasible in soft soil. It is necessary to prove the feasibility by the numerical simulation and the field test.
3. Numerical Simulation of Feasibility of Siphon Drainage in Soft Soil Consolidation
3.1. Numerical Models
In order to verify the feasibility of siphon drainage in soft soil consolidation, numerical simulations are conducted. The software ABAQUS is used to simulate the siphon drainage to deal with the water level change. The water–soil coupling finite element model of soft soil foundation drainage is established based on Biot’s consolidation theory. In addition, the influences of drain spacing d and soil permeability on the effect of siphon drainage are also studied.
Siphon pipes are the main tools for siphon drainage, and will be arranged with a large amount in a soft soil foundation. In the numerical model, it is assumed that the siphon drainage holes are arranged in a square form, and the drawdown of the water head in each siphon hole is the same. When solving the groundwater level, according to the mirror image method and the superposition principle of the planar seepage theory, for the problem of equal-flow group wells working at the same time in an infinite aquifer, it can be equivalent to a single well in a rectangular aquifer whose boundary is a water-resistant boundary question. Therefore, a single drainage element whose side length is the well spacing can be used to simulate the situation of large-scale precipitation after setting the boundary as an impermeable boundary (see Figure 3). According to the principle of symmetry, the seepage field between adjacent drainage holes has a symmetrical distribution in the homogeneous soft layer, which means that the flow at the middle of each drainage hole does not flow horizontally. Therefore, with respect to a single siphon drainage hole, the position of the midpoint between holes can be regarded as an impermeable boundary, and the area within the boundary range is the corresponding influence range of the drainage hole. Thus, when the drainage holes are arranged in a square, the analyzed zone of the numerical model can be set as the square columnar area around the drainage hole with a distance d between two adjacent holes. The mesh schematic of the model is shown in Figure 4.
Figure 3.
Square arrangement of siphon drainage holes.
Figure 4.
Mesh schematic of the model.
The conditions of the numerical model are set as follows: (a) The surrounding sides of the model constrain the movement in the horizontal direction; (b) The bottom of the model constrains the movement in both horizontal and vertical directions; (c) The side walls of the drainage holes constrain the movement in the horizontal direction; (d) The bottom and the surroundings of the model are impermeable boundaries, through which the flow rate equals zero; (e) The side walls of the drainage holes are drainage boundaries. Considering that the siphon lift is limited by atmospheric pressure, the water level drop in the drainage holes is set to 10 m.
In the numerical model, the vertical thickness of the aquifer, that is, the vertical height of the model, is taken as 20 m. The horizontal direction of the model is a square whose side length is the drainage well spacing d. The drainage hole is located in the middle, and the radius is 0.03 m. The analysis step is taken in 1 day, and there are 100 days in total. Different drain spacing (0.8 m, 1 m, 1.5 m, and 2 m) and soil permeability (1 × 10−7 cm/s, 2 × 10−7 cm/s, 5 × 10−7 cm/s, and 1 × 10−6 cm/s) are adopted in the numerical simulations. The soil model adopts the modified Cambridge model.
Due to symmetry, there is no water flow on the side of the model, which is set as an undrained boundary. The bottom of the model is considered to be an impermeable layer, which is also set as an undrained boundary. Since the flow velocity of the siphon is much greater than the speed at which water collects into the siphon drainage hole, the side wall of the siphon drainage hole is a free drainage boundary. The bottom of siphon drainage hole is also set as an undrained boundary.
Due to the limitation of atmospheric pressure, the head of the siphon is only about 10 m, which will control the water level in the drainage hole to 10 m under the ground. In the simulation, the pore water pressure of the drainage hole 10 m below the surface is set to 0 to represent the effect of the siphon on the drainage, i.e., the siphon process is simulated by changing the boundary condition of the siphon drainage hole.
For the square column model, since the siphon drainage hole is at the center, the position where the groundwater level drops the least is the corner position of the square column farthest from the hole. Therefore, the effectiveness of siphon drainage can be identified by the pore pressure at the corners of the square cylinder model.
3.2. Results and Discussion
3.2.1. Vertical Pore Pressure
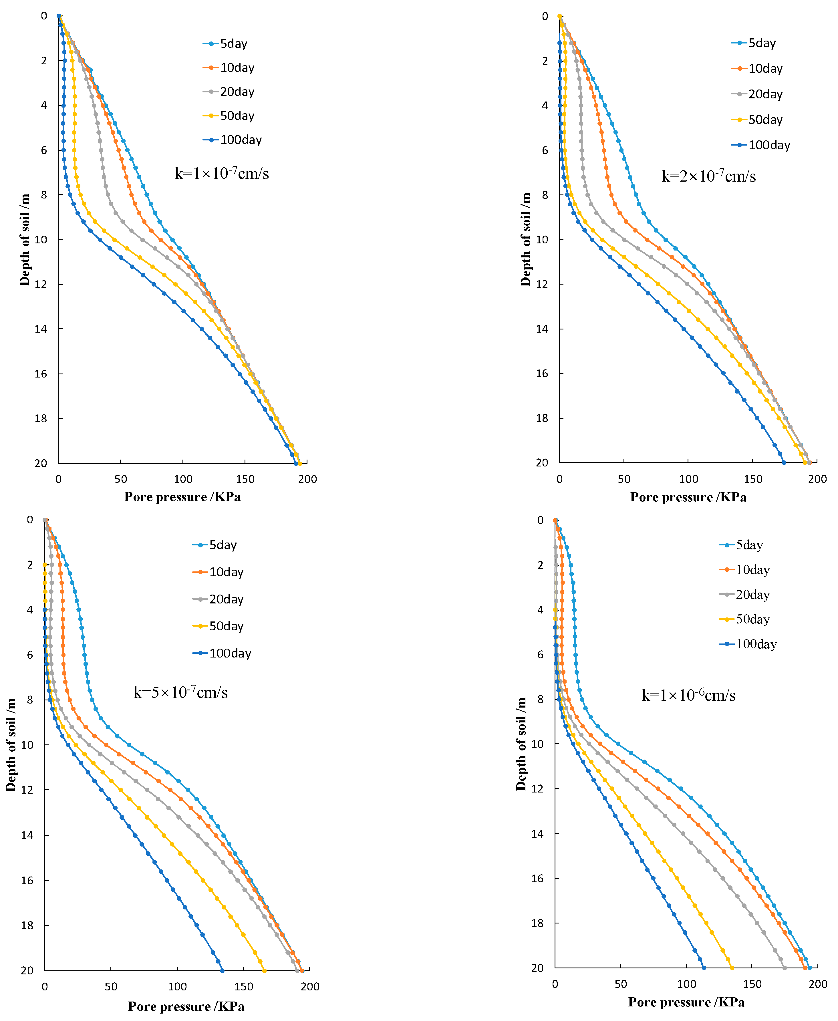
Figure 5 shows the vertical pore water pressure when the hole spacing is 2 m. As shown in Figure 5, the vertical pore water pressure at different depths decreases gradually over time. With respect to different soil permeability, however, the pore pressure drops at different rates for different parts. The results show: (a) the larger the soil permeability is, the faster the decrease rate of soil drops; (b) the pore water pressure nearest the drainage hole drops the fastest, and pore water pressure near the surface of the foundation drops faster than the deep parts; (c) the groundwater level decreases and remains at the depth of 6m after 50~100 days consolidation.
Figure 5.
Vertical distribution of soil pore water pressure at corner of square column at siphon hole spacing d = 2 m.
From the details, the soil permeability has a great influence on the consolidation by siphon drainage. With respect to soft soils in which the permeability is 10−7 cm/s, after 100 days of consolidation, the pore water pressure at the depth of around 8 m is about 10 kPa. However, with respect to soft soils in which the permeability is 10−6 cm/s, the pore water pressure of soft soils buried at the depth of around 8 m is nearly zero after only 50 days. It shows that the pore water pressure of soils is sensitive to the soil permeability. The larger the permeability is, the faster the consolidation is. Siphon drainage can significantly accelerate the consolidation of soft soils with greater permeability.
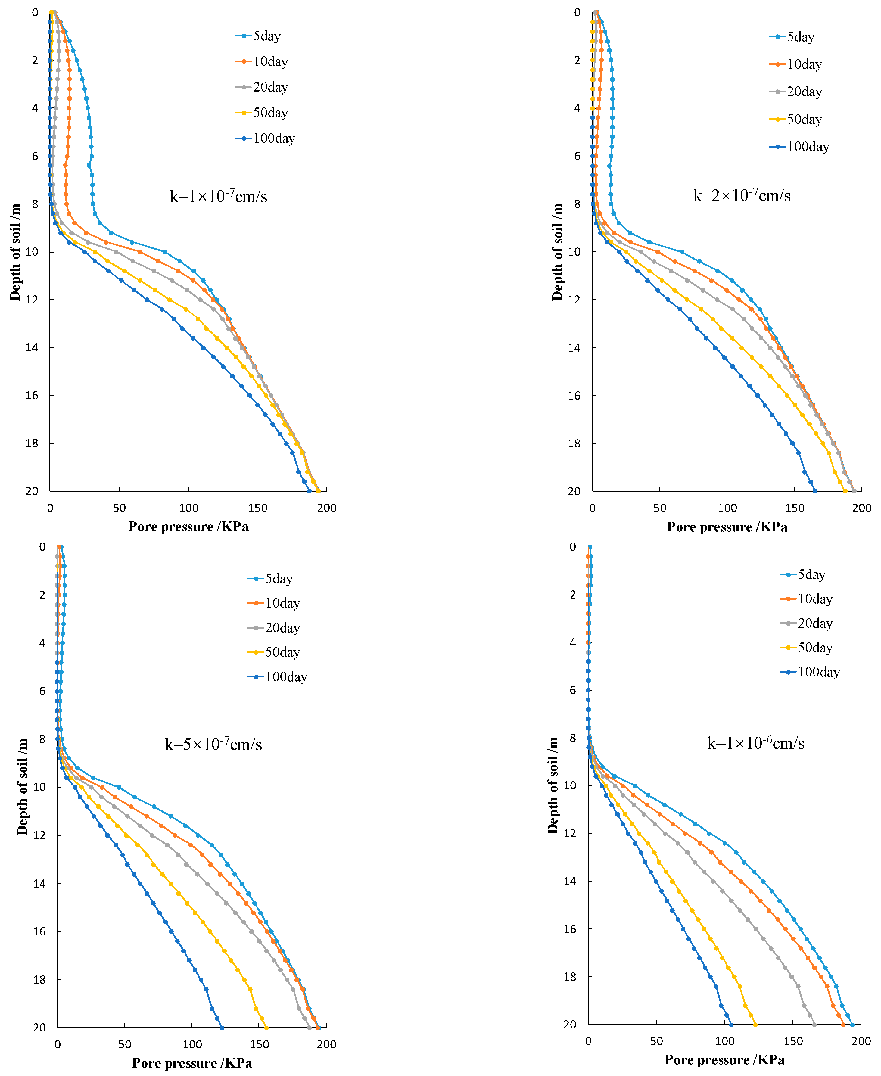
Figure 6 shows the vertical pore water pressure when the hole spacing is 1m. The results on the influences of different permeabilities are nearly the same with the condition that drain spacing is 2 m. From the details, the consolidation of soft soils is much faster than the same method with 1m drain spacing. With respect to soft soils in which the permeability is 10−7 cm/s, after 50 days of consolidation, the pore water pressure of the soft soils buried at the depth of around 8 m has become nearly zero, which only requires half the time for the 2 m drain spacing condition. With respect to the soft soils in which the permeability is 10−6 cm/s, the pore water pressure of soft soils buried at the depth of around 8 m can become zero only in 5 days.
Figure 6.
Vertical distribution of soil pore water pressure at corner of square column at siphon hole spacing d = 1 m.
3.2.2. Pore Water Pressure at the Depth of 10 m from the Corner of Square Column
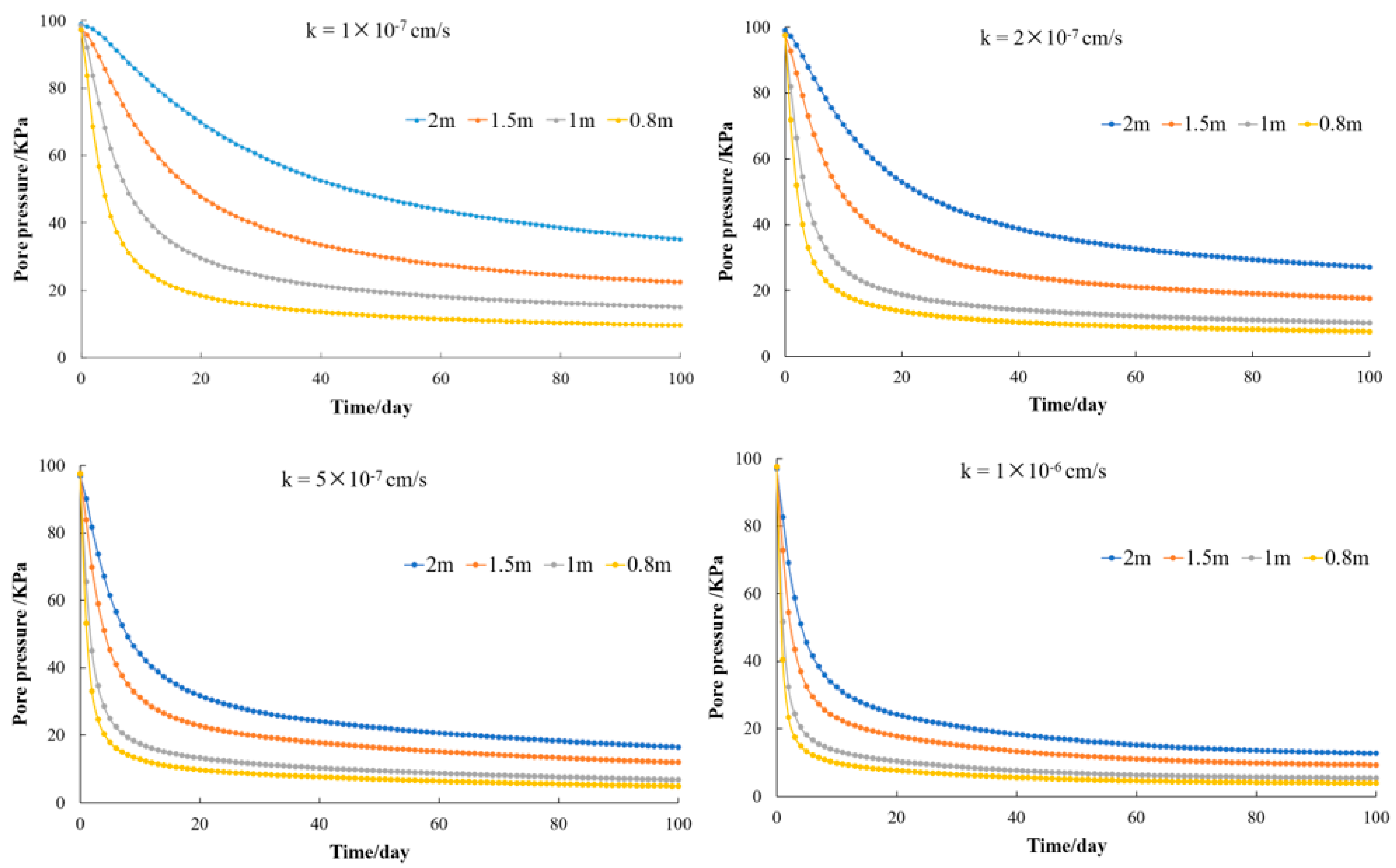
The changing trend of pore water pressure at the corner of the square column with 10 m depth is nearly the same under different drain spacing conditions, as shown in Figure 7. Under the siphon drainage, the pore pressure is always decreasing. When the siphon drainage begins, the pore water pressure drops rapidly at first. Then, as time increases, the pore water pressure decreases gradually.
Figure 7.
Pore water pressure at depth of 10 m at the corner of the square column changes over time.
When the hole spacing is the same, the larger the permeability is, the faster the pore pressure drops rate is. When the soil permeability is the same, the smaller the drainage hole spacing is, the faster the pore pressure drop rate is. From the details, for the soils in which the permeability is 10−7 cm/s, it needs 74 days for 2 m hole-spacing condition to reduce the pore water pressure at the corner of the square column at 10 m depth into 40 kPa. As a comparison, it only needs 12 days for 1m hole-spacing condition to achieve the same pore water pressure. Thus, the spacing of siphon holes can be determined by the permeability of soft soils and the requirements of the construction period to achieve a balance between time and economy.
Figure 8 shows the variation of pore water pressure with time at a depth of 10 m in the soil under different hole spacing. As the drainage hole spacing decreases, the dissipation of pore water pressure in the soil is more rapid in the early stage of drainage, and reaches a steady state faster. In terms of drainage effect, reducing the hole spacing will also reduce the water level to a lower level within a specified time. A better processing effect has been achieved.
Figure 8.
Pore water pressure at a depth of 10 m changes over time under different spacings.
3.2.3. Pore Water Pressure at the Depth of 20 m from the Corner of Square Column
Figure 9 provide the pore pressure at the corner of the square column with 20 m depth. At the bottom of the model, at a depth of 20 m, the change of pore pressure is quite different from the pressure at the depth of 10 m. In the beginning, the pore pressure at the bottom of the model has almost no change. In addition, the smaller the permeability is, the less the change in the previous days is and the longer the change begins. It can be seen that there is a certain time lag in the decline of pore pressure drops at the depth of 20 m, and the lag time increases as the permeability decreases.

Figure 9.
Pore water pressure at a depth of 20 m at the corner of the square column changes over time.
According to the conclusion obtained from the numerical simulation, we have designed the spacing of the field test in order to verify the feasibility of the method.
4. Field Test of Siphon Drainage in Soft Soil Consolidation
4.1. Engineering Geological Condition
The field test is located in the reclamation area in Zhoushan, which has been blown into the land. The quaternary soil layers in the reclamation area are mainly muddy silty clay and muddy silty clay mixed with silty fine sand. The soft soil layer is relatively thick, with an average depth of more than 30 m. The soil has high water content, large void ratio, high compression properties, low strength, and low permeability, which all belong to under-consolidated soil with extremely poor engineering properties.
In order to have a better description of the engineering geological conditions of the test area, a supplementary investigation was carried out on the siphon drainage test area. According to engineering geological drilling, the main formations are distributed from the top to bottom: flushing soil, grayish-yellow silty clay, gray silty clay, silty clay, and strongly weathered tuff. The details are as follows:
Flush fill (Q4): artificial fill, gray, grayish yellow, fluid plastic. Contains a small amount of shell fragments and partially contains gravel. The main components are muddy silty clay and muddy clay, formed by later filling, and the soil quality is uneven. The thickness of the soil layer is 8.7–10.2 m.
Muddy silty clay (Q4): marine sedimentary layer, gray-yellow, fluid plastic, saturated, rich in various organic matter such as shell fragments and animal carrion, with rancid smell, high dry strength, high toughness, smooth cut surface, uneven soil quality. The thickness of the soil layer is 6.1–7.3 m.
Muddy silty clay (Q4): marine sedimentary layer, gray, fluid plastic, saturated, containing a small amount of shell fragments and saprophytes, with a fishy smell, partially sandwiched with a thin layer of silt, high dry strength, high toughness, smooth cut surface, uneven soil quality. The thickness of the soil layer is 9.4–11 m.
Silty clay (Q3): alluvial layer, gray-yellow, brown-yellow, containing a small amount of iron and manganese spots and oxide nodules, partly sandwiched with silt agglomerates, high dry strength, uneven soil quality. The thickness of the soil layer is 0–2.8 m.
Strongly weathered tuff (J3): gray-yellow, brown-yellow, tuffaceous structure, massive structure, main mineral components are quartz, feldspar, etc. The original rock structure has suffered some damage. Joints and fissures are well developed, and the fissure surface is filled with ferromanganese, oxidation, and other secondary minerals. The core is sandy and fragmented.
The main physical parameters based on the borehole geotechnical tests are shown in Table 1. It can be seen that the permeability coefficient of the site soil is between 1 × 10−7 cm/s and 2 × 10−7 cm/s. The permeability coefficient of a few places can reach 5 × 10−7 cm/s.
Table 1.
Summary of geotechnical test results of soil physical properties.
4.2. Field Test in Zhoushan
Field test is conducted in Zhoushan to study the effects of the siphon drainage method. The test site is selected in a 10 × 15 m area. Firstly, the permeable pipes with one end of the siphon pipes in them are inserted into the soil to form siphon drainage holes through the construction machine (Figure 10a). The average depth of the siphon drainage holes is 18 m. Then put the other end of the siphon pipes into the pump well and start the siphon process (Figure 10b). Automatic control of the pump ensures that the water level in the pump well is always below 15 m, allowing groundwater to flow continuously into the well.
Figure 10.
The figures of field test. (a) Construction of siphon drainage holes. (b) Top view of field test.
In order to find the change in groundwater level in the soft soil foundation during the siphon drainage process, water level gauges were placed in some siphon drainage holes. To understand the effect of the siphon drainage method, the surface settlement deformation monitoring and the layered settlement monitoring were carried out on site. The layout of on-site monitoring holes and monitoring points is shown in Figure 11.
Figure 11.
Layout of monitoring holes and points.
In order to verify the consistency between the numerical model and the field test results, a numerical model was established with nine siphon drainage holes as the unit based on the field geological condition. The horizontal direction of the model is a rectangle with a side length of 2.7 m, and the siphon drainage holes are distributed in a rectangular manner with a spacing of 0.9 m. According to the results of the geotechnical test, the vertical depth of the model is set to 22 m (see Figure 12). In addition, it is divided into 11 layers. The soil parameters of each layer are shown in Table 2. The siphon drainage holes are drilled at a depth of 18 m. When draining water, the surrounding eight siphon pipes are working. The central well is a groundwater level monitoring hole. The surface settlement monitoring point is located between two siphon drainage holes, which is consistent with the field test. The rest of the condition settings are the same as above.
Figure 12.
Mesh schematic of the numerical model.
Table 2.
Soil physical properties of numerical model.
4.3. Changes of Groundwater Level during the Siphon Drainage
As shown in Figure 11, there are six monitoring holes in total. Expect for monitoring holes #5 and #6, the other holes are also the siphon drainage holes.
4.3.1. Changes of Groundwater Level in Siphon Drainage Holes
As shown in Figure 13, the groundwater level drawdown in drainage holes reaches more than 9 m, which is close to the limit lift of the siphon. The fluctuation range of the drawdown is within 0.6 m, indicating that the siphon drainage process is stable.
Figure 13.
Depth drop of water level in siphon drainage holes.
4.3.2. Changes of Groundwater Level in Normal Holes
There was no drainage in monitoring holes #5 and #6. The groundwater level in them reflected the influence of other drainage holes around them. The drawdown of the groundwater level was about 2–3 m, which is relatively small, even though the drawdown process is stable, as shown in Figure 14.
Figure 14.
Water level decrease in groundwater level monitoring holes.
It can be seen that the groundwater level in the groundwater level monitoring hole had a hysteresis, and it began to drop slowly about 5 days after the start of the siphon drainage, which is consistent with the results obtained in the field test results. Since the groundwater level at the site is not completely located on the soil surface, the drawdown obtained by the initial numerical solution is smaller than the measured data. The change in groundwater level in the later stage shows a relatively stable decline, which is consistent with the trend of the field test results. However, due to the influence of evaporative discharge and other factors in the field test, there is a certain degree of volatility, and the precipitation rate in the field test is slightly lower than the numerical solution. After about 25 days of precipitation, the water level in the observed well points dropped to about 3 m from the surface, which was about 3.7% different from the field test results, showing that the numerical solution can effectively simulate the change of groundwater level in the soil. The numerical solution is consistent with the field test results in the overall trend.
4.4. Subsidence of Soil during Siphon Drainage
4.4.1. Subsidence on Soil Surface
To monitor the subsidence and deformation of soft soils during siphon drainage, there are six monitoring points on the surface and one monitoring hole to monitor the vertical settlement. The details can be seen in Figure 11.
The subsidence on the soil surface is shown in Figure 15. The deformation rate is relatively fast in the initial stage, and then becomes stable in a constant velocity. In terms of settlement, the numerical solution and the field test results show a relatively consistent trend. In the initial stage of settlement, the two rates are basically the same. In the middle term, the subsidence rate fluctuated to a certain extent due to the difference in formation compressibility coefficient, and then stabilized. The subsidence rate is basically consistent with the precipitation rate, and the rapid fluctuation of the on-site water level in a short period of time leads to a certain difference between the subsidence results of the field test and the numerical solution in the later stage. After 25 days of drainage and consolidation, the settlement obtained by the numerical solution was about 200 mm, which is relatively close to the measured values, showing that the numerical solution can effectively simulate the deformation of the soil during the drainage and consolidation process.
Figure 15.
The surface settlement in the siphon drainage test area.
4.4.2. Subsidence in the Vertical
To evaluate the subsidence of soils vertically, a vertical monitor hole equipped with a layered settlement rod is set in the center of the field test area. The total length of the layered settlement rod is 16m. There are 7 magnetic rings arranged on the rod, and the interval between each other is 2 m. Before the test started, the magnetic rings #1-7 are 2, 4, 6, 8, 10, 12, and 14 m below the ground, respectively. The monitoring results during the test are listed in Table 3. The deformation at different depths in the vertical monitor hole generally shows a gradual decrease from the surface to the bottom. The siphon drainage not only produces compressive deformation in the groundwater level drop area, but also produces compressive deformation below the groundwater level. There are two main reasons to explain the above phenomenon: (a) Siphon drainage lowers the groundwater level. Thus, the weight of soils changed from buoyant weight to natural weight, which increases the additional stress; and (b) pore pressure of soils below the groundwater level decreases. In a word, siphon drainage can produce a good consolidation effect by lowering the groundwater level of soft soils.
Table 3.
Layer sedimentation monitoring results (unit: mm).
5. Conclusions
The drainage consolidation method is widely applied to strengthen the soft soil foundation. However, with respect to the thick foundation, the traditional drainage consolidation method tends to be less effective for the soils in the deep. It would be beneficial for the drainage consolidation method to combine with methods lowering the groundwater.
The siphon drainage method is a power-free and easy-operated method to lower the groundwater level at a certain depth below the soil surface. By artificially setting the height difference in the groundwater level, this method utilizes the principle of siphon without power to achieve efficient drainage of large areas of low-permeability soft soil. As a result, the buoyant weight of soils over the flow profile is changed to natural weight, which makes the preloading of the drainage consolidation method more efficient.
Numerical simulations were conducted and validated the feasibility of the siphon drainage method in the soft soil treatment. In addition, its rationality was verified by comparing with the field test results. Moreover, the influence of soil permeability and drain hole spacing is studied. The results show that: (a) When the drain hole spacing is the same, the larger the soil permeability is, the faster the drop rate of pore pressure is. (b) When the soil permeability is the same, the smaller the drain hole spacing is, the faster the drop rate of pore pressure is. (c) The process of drainage has a lag time in the bottom of the soil. (d) By comparing with the test results, the trend reflected by the numerical model has a high degree of fitting with the actual situation, and it can be applied to the prediction in actual engineering.
The field test was conducted in Zhoushan. The test results show that: (a) The groundwater level drawdown in drainage holes reached more than 9 m, which was close to the limit lift of the siphon. (b) The deformation rate of the subsidence on the soil surface was relatively fast in the initial stage, and then became stable in a constant velocity during siphon drainage. (c) From surface to bottom, the deformation decreased. The siphon drainage not only produced compressive deformation in the groundwater level drop area, but also produced compressive deformation below the groundwater level.
Author Contributions
Conceptualization, methodology, J.Z.; software, validation, S.Y.; formal analysis, investigation, Q.S.; resources, data curation X.W.; writing—original draft preparation, J.W.; writing—review and editing, H.S.; visualization, supervision, J.S. All authors have read and agreed to the published version of the manuscript.
Funding
This research was funded by the National Natural Science Foundation of China Key Project (No.42230702).
Institutional Review Board Statement
Not applicable.
Informed Consent Statement
Not applicable.
Data Availability Statement
Not applicable.
Conflicts of Interest
The authors declare no conflict of interest.
References
- Al-Bared, M.A.M.; Marto, A. A review on the geotechnical and engineering characteristics of marine clay and the modern methods of improvements. Malays. J. Fundam. Appl. Sci. 2017, 13, 825–831. [Google Scholar] [CrossRef]
- Consoli, N.C.; Winter, D.; Rilho, A.S.; Festugato, L.; Teixeira, B.D.S. A testing procedure for predicting strength in artificially cemented soft soils. Eng. Geol. 2015, 195, 327–334. [Google Scholar] [CrossRef]
- Leung, Y.; Klar, A.; Soga, K.; Hoult, N. Superstructure–foundation interaction in multi-objective pile group optimization considering settlement response. Can. Geotech. J. 2017, 54, 1408–1420. [Google Scholar] [CrossRef]
- Mangushev, R.A.; Usmanov, R.A. Artificial beds with the installation of highly compacted cushions on weak saturated loess soils. Soil Mech. Found. Eng. 2009, 46, 45–52. [Google Scholar] [CrossRef]
- Lee, D.; An, Y.; Kwak, T.; Lee, H.; Choi, H. Nonlinear Finite-Strain Self-Weight Consolidation of Dredged Material with Radial Drainage Using Carrillo’s Formula. J. Waterw. Port. Coastal Ocean Eng. 2016, 142, 06016002. [Google Scholar] [CrossRef]
- Mafra, V.; Dienstmann, G. Cavity expansion solutions applied to help assess the partial drainage behavior characterization of the pie-zocone test. Comput. Geotech. 2023, 152, 105017. [Google Scholar] [CrossRef]
- Liu, J.; Li, J.; Lei, H.; Zheng, G.; Jin, Y. Ground Improvement of Dredged Fills with Two Improved Vacuum Preloading Methods: Case Study. J. Geotech. Geoenviron. Eng. 2022, 148, 05022008. [Google Scholar] [CrossRef]
- Heo, Y.; Bae, W. A Statistical Evaluation of Consolidation Properties of Marine Clay in South Korea. Mar. Georesour. Geotechnol. 2013, 31, 209–224. [Google Scholar] [CrossRef]
- Kim, H.-J.; Lee, K.-H.; Jamin, J.C.; Mission, J.L.C. Stochastic cost optimization of ground improvement with prefabricated vertical drains and surcharge preloading. Géoméch. Eng. 2015, 7, 525–537. [Google Scholar] [CrossRef]
- Kim, Y.T.; Nguyen, B.-P.; Yun, D.-H. Analysis of consolidation behavior of PVD-improved ground considering a varied discharge capacity. Eng. Comput. 2018, 35, 1183–1202. [Google Scholar] [CrossRef]
- Bhosle, S.; Deshmukh, V. Experimental studies on soft marine clay under combined vacuum and surcharge preloading with PVD. Int. J. Geotech. Eng. 2021, 15, 461–470. [Google Scholar] [CrossRef]
- Shams, M.A.; Shahin, M.A.; Ismail, M.A. Numerical analysis of slab foundations on reactive soils incorporating sand cushions. Comput. Geotech. 2019, 112, 218–229. [Google Scholar] [CrossRef]
- Ponomarev, A.B.; Tat’yannikov, D.A. Analysis of the Performance of Sand Cushions Reinforced with Horizontal Geosynthetic Ele-ments. Soil Mech. Found. Eng. 2020, 56, 371–377. [Google Scholar] [CrossRef]
- Fattah, M.Y.; Zabar, B.S.; Hassan, H.A. Soil arching analysis in embankments on soft clays reinforced by stone columns. Struct. Eng. Mech. 2015, 56, 507–534. [Google Scholar] [CrossRef]
- Nguyen, B.-P.; Yun, D.-H.; Kim, Y.-T. An equivalent plane strain model of PVD-improved soft deposit. Comput. Geotech. 2018, 103, 32–42. [Google Scholar] [CrossRef]
- Mamat, R.C.; Ramli, A.; Khahro, S.H.; Yusoff, N.I.M. Numerical Simulation and Field Measurement Validation of Road Embank-ment on Soft Ground Improved by Prefabricated Vertical Drains: A Comparative Study. Appl. Sci. 2022, 12, 8097. [Google Scholar] [CrossRef]
- Preene, M.; Roberts, T.O.L. Construction dewatering in Chalk. Proc. Inst. Civ. Eng.-Geotech. Eng. 2017, 170, 367–390. [Google Scholar] [CrossRef]
- William, C.; Harry, B.; Nightingale, I. Fresno, California, Subsurface Drain Collector-Deep Well Recharge System. J. Am. Water Work. Assoc. 1978, 70, 427–435. [Google Scholar]
- Huang, F.; Lyu, J.; Wang, G.; Liu, H. One-Dimensional Vacuum Steady Seepage Model of Unsaturated Soil and Finite Difference Solution. Math. Probl. Eng. 2017, 2017, 9589638. [Google Scholar] [CrossRef]
- Boatwright, A.; Hughes, S.; Barry, J. The height limit of a siphon. Sci. Rep. 2015, 5, 46792. [Google Scholar] [CrossRef]
- Lv, C.; Wang, D.; Shuai, F.; Sun, H.; Shang, Y.; Ackers, J.C.; Ervine, D.; Oliver, G.; Perkins, J.; Kenn, M.; et al. A three-dimensional numerical method for siphon drainage process simulation. Proc. Inst. Civ. Eng.-Geotech. Eng. 2021, 175, 631–646. [Google Scholar] [CrossRef]
- Yu, Y.; Lv, C.; Wang, D.; Ge, Q.; Sun, H.; Shang, Y. A siphon drainage method for stabilizing bank slopes under water drawdown condition. Nat. Hazards 2021, 105, 2263–2282. [Google Scholar] [CrossRef]
- Gress, J.C. Device for Draining Soils in Depth. U.S. Patent US4717284A, 5 January 1988. [Google Scholar]
- Gress, J.C. Device for Regulating the Flow in a Drainage Siphon Tube. U.S. Patent US5035535A, 30 July 1991. [Google Scholar]
- Sun, H.-Y.; Ge, Q.; Yu, Y.; Shuai, F.-X.; Lü, C.-C. A new self-starting drainage method for slope stabilization and its application. Bull. Eng. Geol. Environ. 2020, 80, 251–265. [Google Scholar] [CrossRef]
- Sun, H.-Y.; Shuai, F.-X.; Wang, D.-F.; Lv, C.-C.; Shang, Y.-Q. Vacuum formation and negative pressure transmission under a self-starting drainage process. Q. J. Eng. Geol. Hydrogeol. 2021, 54, qjegh2019-129. [Google Scholar] [CrossRef]
- Sun, H.; Wu, G.; Liang, X.; Yan, X.; Wang, D.; Wei, Z. Laboratory modeling of siphon drainage combined with surcharge loading consolidation for soft ground treatment. Mar. Georesour. Geotechnol. 2018, 36, 940–949. [Google Scholar] [CrossRef]
- Wu, G.; Xie, W.; Sun, H.; Yan, X.; Tang, B. Consolidation behaviour with and without siphon drainage. Proc. Inst. Civ. Eng.-Geotech. Eng. 2018, 171, 377–378. [Google Scholar] [CrossRef]
- Sun, H.-Y.; Wang, D.-F.; Shang, Y.-Q.; Cai, Y.-L.; Wei, Z.-L. An improved siphon drainage method for slope stabilization. J. Mt. Sci. 2019, 16, 701–713. [Google Scholar] [CrossRef]
- Sun, H.-Y.; Wu, X.; Wang, D.-F.; Xu, H.-D.; Liang, X.; Shang, Y.-Q. Analysis of deformation mechanism of landslide in complex geological conditions. Bull. Eng. Geol. Environ. 2019, 78, 4311–4323. [Google Scholar] [CrossRef]
Disclaimer/Publisher’s Note: The statements, opinions and data contained in all publications are solely those of the individual author(s) and contributor(s) and not of MDPI and/or the editor(s). MDPI and/or the editor(s) disclaim responsibility for any injury to people or property resulting from any ideas, methods, instructions or products referred to in the content. |
© 2023 by the authors. Licensee MDPI, Basel, Switzerland. This article is an open access article distributed under the terms and conditions of the Creative Commons Attribution (CC BY) license (https://creativecommons.org/licenses/by/4.0/).















