An Improved Marker Code Scheme Based on Nucleotide Bases for DNA Data Storage
Abstract
1. Introduction
- We propose an improved marker code scheme for DNA channels based on the embedded marker code scheme. In this scheme, a novel base-symbol-based synchronization algorithm is proposed to correct synchronization errors.
- In LDPC decoding, we propose an improved decoding algorithm to reduce decoding complexity.
2. DNA Channel Model
3. Related Works
3.1. Concatenated Watermark Code Scheme
3.2. Concatenated Marker Code Scheme
4. Improved Marker Code Scheme
5. Decoding Algorithm
5.1. Base-Symbol-Based Synchronization Algorithm
- if ,
- if ,
5.2. Low-Complexity INMS
5.2.1. INMS
| Algorithm 1 INMS for the binary LDPC code decoder. |
|
5.2.2. Algorithm Complexity
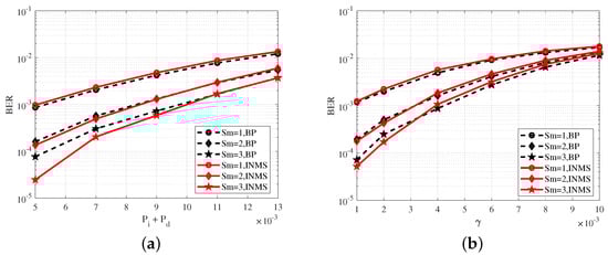
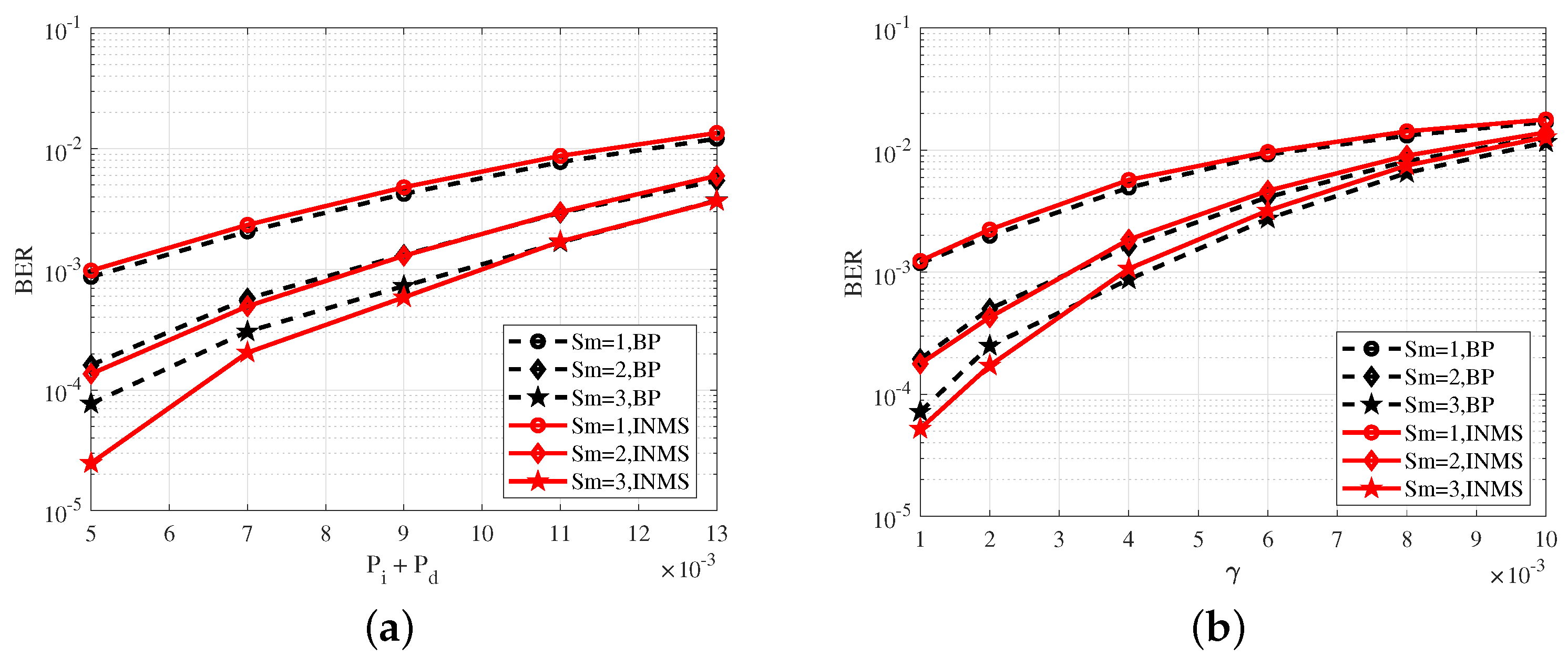
6. Simulation Results
7. Conclusions
Author Contributions
Funding
Institutional Review Board Statement
Informed Consent Statement
Data Availability Statement
Conflicts of Interest
References
- Siddiqa, A.; Karim, A.; Gani, A. Big data storage technologies: A survey. Front. Inf. Technol. Electron. Eng. 2017, 18, 1040–1070. [Google Scholar] [CrossRef]
- Tazeen, N.; Sandhya, K. A Survey on Some Big Data Applications Tools and Technologies. Int. J. Recent Technol. Eng. 2021, 9, 239–242. [Google Scholar] [CrossRef]
- Clelland, C.; Risca, V.; Bancroft, C. Hiding messages in DNA microdots. Nature 1999, 399, 533–534. [Google Scholar] [CrossRef] [PubMed]
- Taluja, S.; Bhupal, J.; Krishnan, S.R. A Survey Paper on DNA-Based Data Storage. In Proceedings of the 2020 International Conference on Emerging Trends in Information Technology and Engineering (ic-ETITE), Vellore, India, 24–25 February 2020; pp. 1–4. [Google Scholar]
- Bornholt, J.; Lopez, R.; Carmean, D.M.; Ceze, L.; Seelig, G.; Strauss, K. A DNA-based archival storage system. Comput. Archit. News 2016, 44, 637–649. [Google Scholar] [CrossRef]
- Chandak, S.; Tatwawadi, K.; Lau, B.; Mardia, J.; Kubit, M.; Neu, J.; Griffin, P.; Wootters, M.; Weissman, T.; Ji, H. Improved read/write cost tradeoff in DNA-based data storage using LDPC codes. In Proceedings of the 2019 57th Annual Allerton Conference on Communication, Control, and Computing (Allerton), Monticello, IL, USA, 24–27 September 2019; pp. 147–156. [Google Scholar]
- Shomorony, R.H. DNA-Based Storage: Models and Fundamental Limits. IEEE Trans. Inf. Theory 2021, 67, 3675–3689. [Google Scholar] [CrossRef]
- Davey, M.C.; Mackay, D.J.C. Reliable communication over channels with insertions, deletions, and substitutions. IEEE Trans. Inf. Theory 2001, 47, 687–698. [Google Scholar] [CrossRef]
- Ratzer, E.A. Marker codes for channels with insertions and deletions. Ann. Telecommun. 2005, 60, 29–44. [Google Scholar] [CrossRef]
- Weigang, C.; Mingzhe, H.; Jianting, Z.; Qi, G.; Panpan, W.; Xinchen, Z.; Siyu, Z.; Lifu, S.; Yingjin, Y. An artificial chromosome for data storage. Natl. Sci. Rev. 2021, 8, nwab028. [Google Scholar]
- Nakata, R.; Kaneko, H. Synchronization and Asymmetric Error Correction for Nanopore Sequencing. In Proceedings of the IEEE International Conference on Consumer Electronics-Taiwan (ICCE-TW), Penghu, Taiwan, 16–18 June 2021; pp. 1–2. [Google Scholar]
- Gallager, R. Low-density parity-check codes. IRE Trans. Inf. Theory 1962, 8, 21–28. [Google Scholar] [CrossRef]
- Han, G.; Guan, Y.L.; Cai, K.; Chan, K.S.; Kong, L. Embedded Marker Code for Channels Corrupted by Insertions, Deletions, and AWGN. IEEE Trans. Magn. 2013, 49, 2535–2538. [Google Scholar] [CrossRef]
- Ma, S.; Tang, N.; Tian, J. DNA synthesis, assembly and applications in synthetic biology. Curr. Opin. Chem. Biol. 2012, 16, 260–267. [Google Scholar] [CrossRef] [PubMed]
- Ross, M.G.; Russ, C.; Costello, M. Characterizing and measuring bias in sequence data. Genome Biol. 2013, 14, R51. [Google Scholar] [CrossRef] [PubMed]
- Organick, L.; Ang, S.D.; Chen, Y.J.; Lopez, R.; Yekhanin, S.; Makarychev, K.; Strauss, K.; Racz, M.Z.; Seelig, G.; Ceze, L.; et al. Random access in large-scale DNA data storage. Nat. Biotechnol. 2018, 36, 242–248. [Google Scholar] [CrossRef] [PubMed]
- Deng, L.; Wang, Y.; Noor-A-Rahim, M.D.; Guan, Y.L.; Shi, Z.; Gunawan, E.; Poh, C.L. Optimized Code Design for Constrained DNA Data Storage With Asymmetric Errors. IEEE Access 2019, 7, 84107–84121. [Google Scholar] [CrossRef]
- Roberts, M.K.; Sunny, E. Investigations on performance analysis of various soft decision based LDPC decoding algorithms. In Proceedings of the 2017 International Conference on Inventive Computing and Informatics (ICICI), Coimbatore, India, 23–24 November 2017; pp. 175–179. [Google Scholar]
- Jinghu, C.; Dholakia, A.; Eleftheriou, E.; Fossorier, M.P.C.; Hu, X.-Y. Reduced-Complexity Decoding of LDPC Codes. IEEE Trans. Commun. 2005, 53, 1288–1299. [Google Scholar]






| BP | NMS | INMS | |
|---|---|---|---|
| Syndrome calculation | |||
| Check node update | |||
| Variable node update | |||
| Verdict LLR update |
Disclaimer/Publisher’s Note: The statements, opinions and data contained in all publications are solely those of the individual author(s) and contributor(s) and not of MDPI and/or the editor(s). MDPI and/or the editor(s) disclaim responsibility for any injury to people or property resulting from any ideas, methods, instructions or products referred to in the content. |
© 2023 by the authors. Licensee MDPI, Basel, Switzerland. This article is an open access article distributed under the terms and conditions of the Creative Commons Attribution (CC BY) license (https://creativecommons.org/licenses/by/4.0/).
Share and Cite
Tong, J.; Han, G.; Sun, Y. An Improved Marker Code Scheme Based on Nucleotide Bases for DNA Data Storage. Appl. Sci. 2023, 13, 3632. https://doi.org/10.3390/app13063632
Tong J, Han G, Sun Y. An Improved Marker Code Scheme Based on Nucleotide Bases for DNA Data Storage. Applied Sciences. 2023; 13(6):3632. https://doi.org/10.3390/app13063632
Chicago/Turabian StyleTong, Jian, Guojun Han, and Yi Sun. 2023. "An Improved Marker Code Scheme Based on Nucleotide Bases for DNA Data Storage" Applied Sciences 13, no. 6: 3632. https://doi.org/10.3390/app13063632
APA StyleTong, J., Han, G., & Sun, Y. (2023). An Improved Marker Code Scheme Based on Nucleotide Bases for DNA Data Storage. Applied Sciences, 13(6), 3632. https://doi.org/10.3390/app13063632

