Abstract
The non-unique critical state represents the distance between the critical state line (CSL) and the isotropic consolidation line (ICL) that significantly varies with stress paths and particle size distribution of soils. A structural bounding surface plasticity model with spacing ratio r (SBSP-R model) was implemented using an explicit algorithm. However, the explicit algorithm did not well capture the non-unique critical state of soils with a large spacing ratio r, which prevented the soil mechanics research on non-unique critical state via finite element analysis. To overcome the limitation, the implicit algorithm of the SBSP-R model is formulated, and it mainly includes elastic prediction and plastic correction. The plastic correction is realized using the Newton–Simpson scheme with a controlling equation set related to consistency condition, plastic flow, hardening parameter, structural bounding surface, plastic modulus, and mapping rule. Case studies indicate that the implicit algorithm of the SBSP-R model is right and stable in predicting non-unique critical states. Comparisons between predicted and tested results indicate that the implicit algorithm of the SBSP-R model not only captures the critical state, stress-strain, and stress paths of various soils but also shows higher computational accuracy and efficiency compared with the previous explicit algorithm. These results indicate that the formulated implicit algorithm of the SBSP-R model is an alternative approach to the previous explicit algorithm.
1. Introduction
The mechanism and prediction of critical state is an important research topic in soil mechanics [1,2,3,4], especially the non-unique critical state of gap-graded soils that attracts many researchers’ attention [5,6]. The non-unique critical state is related to the distance between the critical state line (CSL) and the isotropic consolidation line (ICL), and the distance varies with stress paths or particle size distributions. So, predicting the non-unique critical state of soils is important for solving soil mechanics problems.
Over the past decades, considerable efforts have been devoted to the constitutive modeling of soils. A unified hardening model was proposed and improved to reflect the overconsolidation, anisotropy, and thermo-elasto-plastic behavior of clays [7,8,9]. A double-yield surface model was proposed and modified to investigate dilatancy, fabric anisotropy, and consolidation conditions of sands [10,11,12,13]. Several other types of constitutive models were formulated for predicting the effect of soil structure [14,15,16] and unsaturated characteristics [17,18,19]. Recently, the framework of the bounding surface plasticity model proposed by Dafalias et al. [20] has been widely developed, and it shows a robust capacity in predicting the overconsolidated soils under monotonic and cyclic loading, such as saturated clays [21,22,23], unsaturated clays [24,25], sands [26], and frozen soils [27]. The bounding surface plasticity model was also applied to solve multi-axial wave propagation problems [28] and boundary value problems [29].
However, predicting the non-unique critical state of soils is still a challenge, because the predicted distance between CSL and ICL using classical constitutive models does not vary with soil types. Lists of experimental results indicate that the distance varies with soil types, especially for gap-graded soils [5,6]. To solve the problem, a material parameter “spacing ratio r” was improved to reflect the distance between CSL and ACL (see Figure 1) [30], and a structural bounding surface plasticity model with spacing ratio r (SBSP-R model) was formulated [31]. The SBSP-R model well captures the non-unique critical state of soils because of the spacing ratio r (see Figure 1).
Figure 1.
Spacing ratio of soil in (a) v-lnp’ plane and (b) p’-q plane (ICL is the isotropic consolidation line, ACL is the anisotropic consolidation line, CSL is the critical state line, URL is the unloading-reloading line, v is the specific volume 1 + e). (Modified from Figure 3 in the literature [30]).
Furthermore, the algorithm of the SBSP-R model is essential in capturing the non-unique critical state of soils. The SBSP-R model was once implemented using an explicit algorithm to predict the non-unique critical state and strain-softening of clays, and the limitations of the explicit algorithm are obvious: (a) it even does not capture the non-unique critical state of soils with large spacing ratio r; (b) it consumes much computation time in predicting critical state at the intersection of the distorted bounding surface and CSL (see Figure 1b). So, it is necessary to formulate an algorithm for the SBSP-R model to predict the non-unique critical state of soils. Fortunately, the implicit algorithm has been proven to be an efficient method to eliminate the limitations [32]. The implicit algorithm of the SBSP-R model may be an alternative approach to the previous explicit algorithm.
This paper aims to formulate the implicit algorithm of the SBSP-R model to efficiently predict the non-unique critical state of soils with larger spacing ratios. The implicit algorithm mainly undergoes elastic prediction and plastic correction. The plastic correction is conducted using a Newton–Simpson scheme with a list of controlling equations related to consistency condition, plastic flow, hardening parameter, bounding surface equation, plastic modulus, and mapping rule. The implicit algorithm is analyzed via case studies and is further verified by comparisons between calculated results and experimental results of triaxial compression tests on soils including Sandy clay, Kaolin clay, and Intact clayey loess.
2. SBSP-R Model
The structural bounding surface plasticity model with spacing ratio (SBSP-R model) was formulated for both soils and soft rocks [30]. It mainly contains a structural bounding surface, loading surface, mapping rule, plastic potential, and hardening modulus.
2.1. Structural Bounding Surface
The bounding surface derived by Kang et al. (2020) [31] is adopted:
where (, ) is an image stress that is the stress state on the bounding surface, is a structure strength that reflects the bonding among soil particles, is a hardening parameter, and is a stress ratio related to the spacing ratio, structure strength, and hydrostatic pressure (see Figure 2).
Figure 2.
Bounding surface in (a) principal stress space and (b) - plane.
The original expression of shows corners in the deviatoric plane because the expression of unified strength criterion was adopted, and it will induce singularity at the non-derivable points if Lode’s angle equals a specific angle (see Appendix A). To overcome the limitation, the original expression of is modified as follows:
where is the slope of the critical state line that is determined by , is a parameter directly determined by the spacing ratio . The value of () is obtained by:
where the spacing ratio is related to the distance between CSL and ICL in the e-lnp′ plane. It is noteworthy that different soils show various spacing ratios [5], and one kind of soil shows various spacing ratios influenced by stress paths and particle size distribution [6,30].
2.2. Loading Surface and Mapping Rule
According to the bounding surface plasticity theory, the loading surface should be similar to the bounding surface [31]:
where (, ) is a current stress that is the stress state on the loading surface; charges the size of the loading surface. The current stress and the image stress follow a radial mapping rule (Figure 3).
Figure 3.
Loading surface and mapping rule in (a) principal stress space and (b) deviatoric plane.
The mapping rule is essential for bounding surface plasticity models [22,23]. A radial mapping rule is expressed as follows:
where ( ≥ 1) is a scaler factor. If = 1, the loading surface coincides with the structural bounding surface; if > 1, the loading surface locates inside the structural bounding surface.
2.3. Plastic Potential
Plastic potential function adopts the following expression [31]:
The incremental plastic strain is obtained by the non-associated flow rule:
The plastic multiplier is expressed as follows (Dafalias 1986 [20]):
2.4. Hardening Law
The structure strength decay is obtained by [31]:
where is a reference strain, is the incremental plastic deviatoric strain.
The isotropic hardening law reflecting the structural decay is obtained:
where is the incremental plastic volumetric strain, = , and is the slope of the isotropic consolidation line and the unloading-reloading line, respectively.
2.5. Hardening Modulus and Strain Increment
The hardening modulus equals to + , where relates to the image stress :
The plastic modulus relates to the mapping rule in Equation (5):
where is the initial value of , is the over-consolidation ratio.
The elastic strain increment is given by:
where is the tensor of the flexibility matrix. The elastic bulk modulus and elastic shear modulus are respectively calculated by:
where is specific volume, and μ is Poisson’s ratio.
The plastic strain increment is calculated by:
3. Implicit Algorithm of SBSP-R Model
Based on the implicit integration method [32], the implicit algorithm of the SBSP-R model is formulated through three steps: elastic prediction, state judgment, and plastic correction.
3.1. Elastic Prediction
Elastic prediction derived from generalized Hooke’s law is expressed as follows [32]:
where n and n + 1 represent the current time and the next time increment, and are the incremental volumetric strain and incremental deviatoric strain, respectively. and are current volumetric modulus and bulk modulus, respectively.
3.2. State Judgment
To judge the image stress state inside the bounding surface or not, it is necessary to calculate the . Submitting the radial mapping rule (Equation (5)) into Equation (1), the values of are obtained. If is smaller than 0.0, the structural bounding surface will shrink; If is larger than 0.0, the estimated stress must be corrected via plastic correction. In such a way, the image stress should locate on the bounding surface.
3.3. Plastic Correction
- (1)
- Controlling equation of plastic strain.
According to Equations (6) and (7), the current incremental plastic strain is obtained by:
- (2)
- Controlling equation of hardening parameter.
According to Equations (9) and (10), the current hardening parameters are obtained by:
- (3)
- Controlling equation of the bounding surface.
According to the consistency condition, the corrected image stress should locate on the bounding surface. Submitting Equation (5) into Equation (1), the following controlling equation is obtained:
- (4)
- Controlling equation of stress correction.
Based on Equations (17), (18), (21) and (22), Current stress can be corrected by:
.
- (5)
- Controlling equation for .
Submitting and into Equation (1):
where , , and are expressed as follows:
- (6)
- Controlling equation for .
In Equation (28), is expressed as follows:
where the partial derivative in Equations (33) and (34) are shown as follows:
It is noteworthy that the controlling Equation (32) is essential for plastic correction because calculated stress paths will not pass the critical state line if the controlling equation is not suitable. If the plastic hardening modulus related to current stress is replaced with a function A multiplies , the expression of in Equation (32) is . This should be avoided because it will cause the calculated deviatoric stress increment to be zero if the stress state comes to the CSL.
3.4. Detailed Algorithm
The detailed algorithm of the SBSP-R model is further derived and rearranged, and the procedure of the algorithm is shown in Table 1.
Table 1.
Procedure of the algorithm.
- (i)
- Plastic correction using a Newton–Simpson scheme:
- (ii)
- In the formula set, is considered as unknown, and its Jacobian determinant J is expressed as follows:where its elements are shown in Appendix B.
- (iii)
- Initial vector
Set a residual error vector
- (iv)
- Calculatewhere, if , exit iteration; if , continue iteration until .
- (v)
- Parameters and stress update
4. Influence of Material Parameters
4.1. Model Parameters
Seven material parameters need to be determined in the SBSP-R model including M, λ, κ, μ, cb, εr, and r. M, λ, κ, μ, and c are the same as in classical constitutive models [18]. M is the slope of CSL in the p′-q plane, λ is the slope of the ICL in the e-lnp′ plane, κ is the slope of the unloading-reloading line in the e-lnp′ plane, μ is Poisson’s ratio, cb is the cohesive force. r is the spacing ratio, and εr is a reference strain [31]. The value of M is determined by a drained or undrained triaxial shearing test. The values of λ and κ are determined via an isotropic consolidation test with a loading-unloading-reloading path. μ generally takes 0.3. The cohesive force cb is obtained via a direct shearing or triaxial shearing test. The reference strain εr is determined according to the evolution of structural strength. The spacing ratio r is determined via triaxial compression tests of samples under different confining pressures.
4.2. Case Studies
A list of case studies is conducted to show the influence of the parameters (see Table 2), and the accuracy of the implicit algorithm of the SBSP-R model is analyzed.
Table 2.
Material parameters for case studies.
- (a)
- Influence of structure strength .
The implicit algorithm of the SBSP-R model reflects the influences of the structure strength on stress-strain and strength of normally consolidated samples (see Figure 4). The residual strength decreases as increases when OCR = 1, while the peak strength is not obviously influenced by . The sample with a larger (cb = 20 kPa) shows strain-softening behavior, and the sample with a smaller (cb = 0 kPa) shows strain-hardening behavior. This observation is in accordance with experimental tests on intact soil with bonding [33]. Reconstituted soils without bonding prefer to show strain-hardening [6]. Note, that the strain increment in the implicit algorithm does not influence the calculated results while the results from the explicit algorithm are affected by strain increment.
Figure 4.
Influence of the structure strength on (a) stress paths and (b) stress-strain relationships.
- (b)
- Influence of reference strain εr.
The reference strain εr does not influence the residual strength but the peak strength (see Figure 5). For normally consolidated samples, the peak strength increases with increasing the reference strain εr. The peak strength and the residual strength of overconsolidated samples are merely influenced by the reference strain εr. This is because the reference strain εr controls the decay rate of the structure strength , according to Equation (9). A larger εr leads to a smaller structure decay rate, otherwise, a smaller εrcauses a faster decay rate (see Figure 6). These simulations indicate that it is necessary to consider the structure strength decay in the constitutive model of a structured soil.
Figure 5.
Influence of the reference strain εr on (a) stress paths and (b) stress-strain relationships.
Figure 6.
Structure strength decay influencing by the reference strain εr.
- (c)
- Influence of spacing ratio r.
The values of r reflect the “distance” between CSL and ICL. That is, the critical state (point A1) is close to the initial state (point A0) if the spacing ratio r = 1.5, while it is far away from the initial state (point A3 and A0) if the spacing ratio r = 2.5 (see Figure 7). When the spacing ratio r > 2.5, the implicit algorithm of the SBSP-R model has advantages in computation time and accuracy as it shows higher accuracy and consumes less computation time. The consumed computation time decreases with the increase in strain increment (see Figure 8a), and the stress-strain and stress paths are stable (see Figure 8b). The previous explicit algorithm is obviously influenced by the strain increment. The previous explicit algorithm will consume much computation time if the strain increment is small, and its results are not right if the strain increment is 1.0 × 10−5, such as point A in Figure 8a and point B in Figure 8b. Compared with the previous explicit algorithm, the implicit algorithm runs well, even the strain increment is as large as 2.0 × 10−3.
Figure 7.
Influence of spacing ratio r on (a) stress paths and (b) critical states.
Figure 8.
Comparisons between implicit algorithm and explicit algorithm (a) computation time (b) accuracy.
5. Validation of the Implicit Algorithm of the SBSP-R Model
5.1. Sandy Clay
Triaxial compression tests on the sandy clay are adopted to validate the accuracy and efficiency of the implicit algorithm of the SBSP-R model with the parameters shown in Table 3. The values of M, λ, κ, and μ are taken from the thesis by Gens [34]. The values of εr, cb, and r are determined according to the reference [31].
Table 3.
Material parameters for Sandy clay.
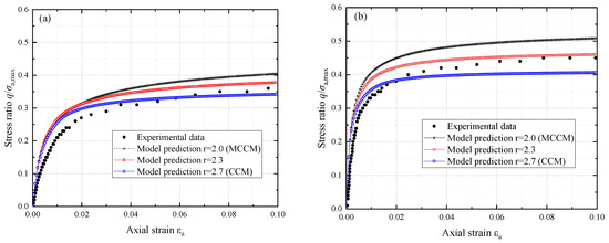
As shown in Figure 9, the critical state, stress-strain and strength of the sandy clay are not captured if r = 2.0 (MCCM) or r = 2.7 (CCM). These behaviors are well captured by the implicit algorithm of the SBSP-R model with r = 2.3, which reflects the real “distance” between CSL and ICL (see Figure 1). Besides, the implicit algorithm requires less computation time and shows higher accuracy than the explicit algorithm.

Figure 9.
Comparisons between model prediction and test results (a) OCR = 10, (b) OCR = 4, (c) OCR = 2, (d) OCR = 1.5, (e) OCR = 1, (f) stress paths corresponding to different OCR.
5.2. Kaolin Clay
Triaxial compression tests on Kaolin Clay are adopted for verifying the implicit algorithm of the SBSP-R model with parameters shown in Table 4, the values of M, λ, κ, and μ are set according to the thesis [35], and the values of εr, cb, and r are determined according to Section 4.1 and the test results from the thesis.
Table 4.
Material parameters for Kaolin clay.
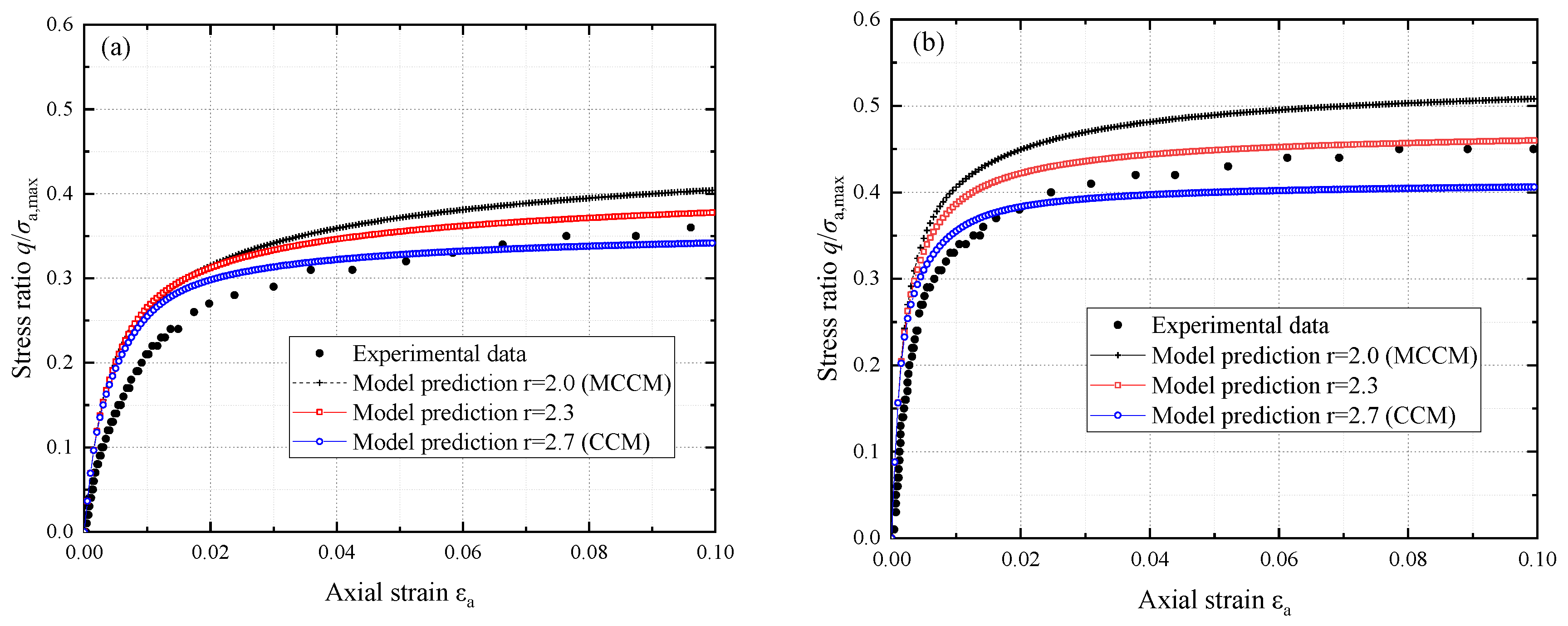
As shown in Figure 10, the critical state of Kaolin Clay is well captured by the implicit algorithm of the SBSP-R model with r = 2.9, compared with r = 2.0 (MCCM) or r = 2.7 (CCM). That is, point A′ corresponding to r = 2.9 is close to the final stress state of Kaolin clay, while point A″ corresponding to r =2.0 is far away from the final stress state (see Figure 10f). This is because r = 2.9 is determined by the triaxial compression test reflecting the real “distance” between CSL and ICL. While r = 2.0 and r = 2.7 are, respectively, taken from MCCM and CCM they cannot reflect the real “distance” between CSL and ICL of Kaolin Clay. Besides, the implicit algorithm requires less time and shows high accuracy in capturing the critical state of Kaolin clay, especially when the spacing ratio r is large than 2.5.
Figure 10.
Comparisons between model prediction and test results (a) OCR = 1.2, (b) OCR = 2, (c) OCR = 5, (d) OCR = 8, (e) OCR = 12, (f) stress paths corresponding to different OCR.
5.3. Intact Clayey Loess
Intact clayey loess is hard to be predicted because of the bonding and particle size distribution [33]. Particle size distribution influences the non-unique critical state, and bonding damage affects the strain-softening of intact clayey loess. The critical state and strain-softening of intact clayey loess are predicted using the implicit algorithm of the SBSP-R model (see Table 5).
Table 5.
Material parameters for Intact clayey loess.
The critical state and stress-strain are well captured by the present model with r = 3.43 and = 47.5 kPa (see Figure 11), because the spacing ratio r = 3.43 is obtained from the triaxial compression test. r = 3.43 reflects the real location of the critical state in the v-lnp’ plane. The behaviors are not captured in the case of r = 2.0 and = 47.5 kPa, because r = 2.0 is just suitable for Cam-clay soils.
Figure 11.
Comparisons between model prediction and test results: (a) stress-strain and pore pressure σ’3 = 200 kPa, (b) stress-strain and pore pressure σ’3 = 300 kPa, (c) stress-strain and pore pressure σ’3 = 400 kPa, (d) stress paths.
When r = 2.0 and = 0 kPa, the present model degenerates to the modified Cam-clay model. When r = 2.7 and = 0 kPa, the present model degenerates into the Cam-clay model. They are further compared in Figure 12. The experimental data are better predicted by the present model as the real spacing ratio of intact loess (r = 3.43). This indicates that the structural strength and spacing ratio should be both considered in a constitutive model to capture the critical state, stress-strain, and stress paths of soils with a bonding structure. Besides, the implicit algorithm requires less time and shows high accuracy in predicting the mechanical behaviors of Intact clayey loess, especially when the spacing ratio r is larger than 3.0.
Figure 12.
Comparisons among experimental results and constitutive model with different r (the hydrostatic pressure at critical state pcr, the derivative stress at critical state qcr, and the pore pressure at critical state ucr).
6. Summary and Conclusions
To overcome the limitation of the explicit algorithm in predicting the critical state of soils, the implicit algorithm of the bounding surface plasticity model with the spacing ratio (SBSP-R model) is formulated and verified. The main conclusions are shown as follows:
The implicit algorithm of the SBSP-R model is formulated through three steps: elastic prediction, state judgment, and plastic correction which is the most important step. The plastic correction is conducted using the Newton–Simpson scheme with controlling equations derived from consistency condition, plastic flow, hardening parameter, structural bounding surface, plastic modulus, and mapping rule. The implicit algorithm of the SBSP-R model is right and stable in predicting the non-unique critical state of soils. In the implicit algorithm, the controlling equation of the plastic hardening modulus is essential for plastic correction in overconsolidated conditions, since the calculated stress paths will not pass the critical state line if it is not suitable. Especially, the plastic hardening modulus related to the current stress cannot be a homogeneous linear function with an independent variable that is the plastic hardening modulus related to image stress.
The implicit algorithm of the SBSP-R model is further verified by comparing simulated results with experimental data on soils with different spacing ratios. On one hand, the implicit algorithm of the SBSP-R model is not obviously influenced by strain increment in predicting non-unique critical states, especially when the spacing ratio is large. On the other hand, the implicit algorithm can reproduce the non-unique critical state and stress-strain of various soils, as well as show higher computational accuracy and efficiency. These results indicate that the formulated implicit algorithm of the SBSP-R model is an alternative approach to the previous explicit algorithm.
Author Contributions
Methodology, X.K.; Supervision, H.L.; Validation, Q.D. and Y.H.; Writing—original draft, X.K.; Writing—review and editing, Q.D. All authors have read and agreed to the published version of the manuscript.
Funding
The authors wish to acknowledge the financial support provided by National Natural Science Foundation of China (42102317; 42041006), and scientific research project of Education Department of Shaanxi Provincial Government (22JK0445).
Institutional Review Board Statement
Not applicable.
Informed Consent Statement
Not applicable.
Data Availability Statement
Some or all data, models, or code that support the findings of this study are available from the corresponding author upon reasonable request.
Conflicts of Interest
The authors declare no conflict of interest.
Appendix A
The original expression of is expressed as follows [36]:
If , then:
If , then:
where , , , .
Figure A1.
Bounding surface on the deviatoric plane (from reference [36]).
Figure A1.
Bounding surface on the deviatoric plane (from reference [36]).

Appendix B. Jacobian Determinant J in Equation (38)
The elements of the first row:
The elements of the second row:
The elements of the third row:
The elements of the fourth row:
The elements of the fifth row:
The elements of the sixth row:
The elements of the seventh row:
The elements of the eighth row:
The elements of the ninth row:
The expression of and in the elements of the first row are:
The expression of , , and in the elements of the eighth row are:
The expressions in the elements of the eighth row are:
The expressions in the elements of the ninth row are:
References
- Li, X.S.; Dafalias, Y.F. Dissipation consistent fabric tensor definition from DEM to continuum for granular media. J. Mech. Phys. Solids 2015, 78, 41–153. [Google Scholar] [CrossRef]
- Theocharis, A.I.; Vairaktaris, E.; Dafalias, Y.F.; Papadimitriou, A.G. Proof of Incompleteness of Critical State Theory in Granular Mechanics and Its Remedy. J. Eng. Mech. 2017, 143, 04016117. [Google Scholar] [CrossRef]
- Wang, R.; Dafalias, Y.F.; Fu, P.; Zhang, J.-M. Fabric evolution and dilatancy within anisotropic critical state theory guided and validated by DEM. Int. J. Solids Struct. 2020, 188, 210–222. [Google Scholar] [CrossRef]
- Nie, J.Y.; Zhao, J.; Cui, Y.F.; Li, D.Q. Correlation between grain shape and critical state characteristics of uniformly graded sands: A 3D D.E.M study. Acta Geotech. 2021, 17, 2783–2798. [Google Scholar] [CrossRef]
- Ponzoni, E.; Nocilla, A.; Coop, M.R. Identification and quantification of transitional modes of behaviour in sediments of Venice lagoon. Géotechnique 2014, 64, 694–708. [Google Scholar] [CrossRef]
- Xu, L.; Coop, M.R. The mechanics of a saturated silty loess with a transitional mode. Géotechnique 2017, 67, 581–596. [Google Scholar] [CrossRef]
- Yao, Y.P.; Gao, Z.; Zhao, J.; Wan, Z. Modified UH Model: Constitutive modeling of overconsolidated clays based on a parabolic hvorslev envelope. J. Geotech. Geoenvironmental Eng. 2012, 138, 860–868. [Google Scholar] [CrossRef]
- Yao, Y.P.; Kong, Y.X. Extended UH Model: Three-dimensional unified hardening model for anisotropic clays. J. Eng. Mech. 2012, 138, 53–866. [Google Scholar] [CrossRef]
- Yao, Y.P.; Zhou, A.N. Non-isothermal unified hardening model: A thermo-elastoplastic model for clays. Géotechnique 2013, 63, 328–345. [Google Scholar] [CrossRef]
- Li, X.S.; Dafalias, Y.F. Dilatancy for cohesionless soils. Géotechnique 2000, 50, 449–460. [Google Scholar] [CrossRef]
- Li, X.S.; Dafalias, Y.F. Anisotropic critical state theory: Role of fabric. J. Eng. Mech. 2012, 138, 263–275. [Google Scholar] [CrossRef]
- Gao, Z.W.; Zhao, J.D. A non-coaxial critical-state model for sand accounting for fabric anisotropy and fabric evolution. Int. J. Solids Struct. 2017, 106, 200–212. [Google Scholar] [CrossRef]
- Yang, Z.X.; Xu, T.T.; Chen, Y.N. Unified modeling of the influence of consolidation conditions on monotonic soil response considering fabric evolution. J. Eng. Mech. 2018, 144, 4018073. [Google Scholar] [CrossRef]
- Liu, M.D.; Carter, J.P. A structured Cam Clay model. Can. Geotech. J. 2002, 39, 313–332. [Google Scholar] [CrossRef]
- Suebsuk, J.; Horpibulsuk, S.; Liu, M.D. Modified Structured Cam Clay: A generalised critical state model for destructured, naturally structured and artificially structured clays. Comput. Geotech. 2010, 37, 56–68. [Google Scholar] [CrossRef]
- Rotisciani, G.M.; Desideri, A.; Amorosi, A. Unsaturated structured soils: Constitutive modelling and stability analyses. Acta Geotech. 2021, 16, 3355–3380. [Google Scholar] [CrossRef]
- Li, J.; Yin, Z.Y.; Cui, Y.J.; Liu, K.; Yin, J.H. An elasto-plastic model of unsaturated soil with an explicit degree of saturation-dependent CSL. Eng. Geol. 2019, 260, 105240. [Google Scholar] [CrossRef]
- Yao, Z.; Chen, Z.; Fang, X.; Wang, W.; Li, W.; Su, L. Elastoplastic damage seepage–consolidation coupled model of unsaturated undisturbed loess and its application. Acta Geotech. 2020, 15, 1637–1653. [Google Scholar] [CrossRef]
- Liu, Y.; Cai, G.Q.; Zhou, A.N. A fully coupled constitutive model for thermo-hydro-mechanical behavior. Comput. Geotech. 2021, 133, 104032. [Google Scholar] [CrossRef]
- Dafalias, Y.F. Bounding surface plasticity. I: Mathematical foundation and hypoplasticity. J. Eng. Mech 1986, 112, 66–87. [Google Scholar] [CrossRef]
- Seidalinov, G.; Taiebat, M. Bounding surface SANICLAY plasticity model for cyclic clay behavior. Int. J. Numer. Anal. Methods Geomech. 2014, 38, 02–724. [Google Scholar] [CrossRef]
- Jiang, J.; Ling, H.I.; Kaliakin, V.N.; Zeng, X.; Hung, C. Evaluation of an anisotropic elastoplastic–viscoplastic bounding surface model for clays. Acta Geotech. 2017, 12, 35–348. [Google Scholar] [CrossRef]
- Chen, Y.N.; Yang, Z.X. A bounding surface model for anisotropically overconsolidated clay incorporating thermodynamics admissible rotational hardening rule. Int. J. Numer. Anal. Methods Geomech. 2020, 44, 668–690. [Google Scholar] [CrossRef]
- Han, B.; Cai, G.; Zhou, A.; Li, J.; Zhao, C. A bounding surface model for unsaturated soils considering the microscopic pore structure and interparticle bonding effect due to water menisci. Acta Geotech. 2021, 16, 331–1354. [Google Scholar] [CrossRef]
- Moghaddasi, H.; Shahbodagh, B.; Khalili, N. A bounding surface plasticity model for unsaturated structured soils. Comput. Geotech. 2021, 138, 104313. [Google Scholar] [CrossRef]
- Woo, S.I.; Salgado, R. Bounding surface modeling of sand with consideration of fabric and its evolution during monotonic shearing. Int. J. Solids Struct. 2015, 63, 277–288. [Google Scholar] [CrossRef]
- Wang, P.; Liu, E.L.; Zhi, B. An elastic-plastic model for frozen soil from micro to macro scale. Appl. Math. Model. 2021, 91, 125–148. [Google Scholar] [CrossRef]
- Zhang, W.Y.; Lim, K.W.; Ghahari, S.F.; Arduino, P.; Taciroglu, E. On the implementation and validation of a three-dimensional pressure-dependent bounding surface plasticity model for soil nonlinear wave propagation and soil-structure interaction analyses. Int. J. Numer. Anal. Methods Geomech. 2021, 45, 1091–1119. [Google Scholar] [CrossRef]
- Roy, A.; Chow, S.; O’Loughlin, C.; Randolph, M.; Whyte, S. Use of a bounding surface model in predicting element tests and capacity in boundary value problems. Can. Geotech. J. 2020, 58, 782–799. [Google Scholar] [CrossRef]
- Kang, X.; Liao, H.; Huang, Q.; Dai, Q. Enhanced anisotropic bounding surface plasticity model considering modified spacing ratio of anisotropically consolidated clay. Acta Geotech. 2022, 17, 2213–2233. [Google Scholar] [CrossRef]
- Kang, X.S.; Liao, H.J. A bounding surface plasticity model considering spacing ratio for overconsolidated jointed soft rocks. Rock Mech. Rock Eng. 2020, 53, 59–69. [Google Scholar] [CrossRef]
- Jian, L.; Chen, S.X.; Jiang, L.F. On implicit integration of the bounding surface model based on swell–shrink rules. Appl. Math. Model. 2016, 40, 671–8684. [Google Scholar]
- Xu, L.; Gao, C.Y.; Wei, X. Anisotropic behaviour of a saturated clayey loess. Géotechnique Lett. 2019, 9, 28–34. [Google Scholar] [CrossRef]
- Gens, A. Stress-Strain and Strength Characteristics of a Low Plasticity Clay. Ph.D. Thesis, University of London, London, UK, 1982. [Google Scholar]
- Stipho, A.S. Experimental and Theoretical Investigation of the Behavior of Anisotropically Consolidated Kaolin. Ph.D. Thesis, University College, Cardiff, UK, 1978. [Google Scholar]
- Kang, X.S.; Liao, H.J. Bounding surface plasticity model for jointed soft rocks considering overconsolidation and structural decay. Comput. Geotech. 2019, 108, 295–307. [Google Scholar] [CrossRef]
Disclaimer/Publisher’s Note: The statements, opinions and data contained in all publications are solely those of the individual author(s) and contributor(s) and not of MDPI and/or the editor(s). MDPI and/or the editor(s) disclaim responsibility for any injury to people or property resulting from any ideas, methods, instructions or products referred to in the content. |
© 2023 by the authors. Licensee MDPI, Basel, Switzerland. This article is an open access article distributed under the terms and conditions of the Creative Commons Attribution (CC BY) license (https://creativecommons.org/licenses/by/4.0/).












