Evaluation of Methods Based on CPTu Testing for Prediction of the Bearing Capacity of CFA Piles
Abstract
Featured Application
Abstract
1. Introduction
2. Materials and Methods
2.1. Pile Test Site
- Topsoil with humus with thickness of 0.3–0.5 m;
- Silt with intermediate plasticity and firm consistency with thickness of 0.3–0.7 m;
- Loess–eolian clay with low to intermediate plasticity and stiff to hard consistency with tubules with thickness of 7.6–10.1 m. Some positions are washed-out;
- Fluvial deposits–clayey sand, sand to gravel, clayey gravel and gravel with loose to medium density with the thickness of 0.9–3.1 m;
- Neogene deposits–clay with intermediate to high plasticity and firm to stiff consistency, sandy clay to clayey sand.
2.2. Continuous Flight Auger Piles (CFA)
2.2.1. Static Load Tests of Piles
2.2.2. Pile Load Test Evaluation
2.3. Cone Penetration Testing and Pile Bearing Capacity Prediction
2.3.1. UniCone Method
2.3.2. LCPC Method
2.3.3. Eurocode 7—2 Method
2.4. Statistical Analysis of Pile Bearing Capacity
- Best fit formula of predicted and measured bearing capacity function Qp/Qm and coefficient of determination R2;
- Mean µ and sample standard deviation σ for Qp/Qm;
- A value of 20% reliability level obtained from log-normal distribution of Qp/Qm;
- A value of 50% and 90% cumulative probability P50 and P90.
3. Results
3.1. Pile Load Test Output
3.2. Penetration Test Results
3.3. Prediction of Pile Bearing Capacity
3.4. Analysis of Predicted Pile Bearing Capacity
4. Discussion
5. Conclusions
Author Contributions
Funding
Institutional Review Board Statement
Informed Consent Statement
Data Availability Statement
Conflicts of Interest
References
- Basu, P.; Prezzi, M.; Basu, D. Drilled displacement piles—Current practice and design. DFI J. J. Deep. Found. Inst. 2010, 4, 3–20. [Google Scholar] [CrossRef]
- Moshfeghi, S.; Eslami, A. Reliability-based assessment of drilled displacement piles bearing capacity using CPT records. Mar. Georesources Geotechnol. 2019, 37, 67–80. [Google Scholar] [CrossRef]
- Stacho, J. The design of drilled displacement system piles using the cavity expansion theory. Acta Geotech. Slov. 2018, 15, 81–89. [Google Scholar] [CrossRef]
- Kocherzhenko, V.; Suleymanova, L.; Kolesnikov, M. Innovative structural and technological developments of pile foundation engineering. IOP Conf. Ser. Mater. Sci. Eng. 2020, 945, 012035. [Google Scholar] [CrossRef]
- Jančula, M.; Jošt, J.; Gocál, J. Influence of aggressive environmental actions on bridge structures. Transp. Res. Procedia 2021, 55, 1229–1235. [Google Scholar] [CrossRef]
- Kraľovanec, J.; Prokop, J. Indirect methods for determining the state of prestressing. Transp. Res. Procedia 2021, 55, 1236–1243. [Google Scholar] [CrossRef]
- Adamczak, A.; Lipiec, S.; Vavruš, M.; Koteš, P. Non-destructive methods and numerical analysis used for monitoring and analysis of fibre concrete deformations. Materials 2022, 15, 7268. [Google Scholar] [CrossRef] [PubMed]
- Bujnakova, P.; Kralovanec, J.; Perkowski, Z.; Bouchair, A. Verification of precast concrete girder bridge under static load. Civ. Environ. Eng. 2022, 18, 760–767. [Google Scholar] [CrossRef]
- Sadeghi, H.; Singh, R.M. Driven precast concrete geothermal energy piles: Current state of knowledge. Build Environ. 2023, 228, 109790. [Google Scholar] [CrossRef]
- Niazi, F.S. Static Axial Pile Foundation Response Using Seismic Piezocone Data. Ph.D. Thesis, School of Civil and Environmental Engineering, Georgia Institute of Technology, Atlanta, GA, USA, 2014. [Google Scholar]
- Jamiolkowski, M.; Lo Presti, D.C.; Manaserrro, M. Evaluation of Relative Density and Shear Strength of Sands from CPT and DMT. In Proceedings of the Symposium on Soil Behavior and Soft Ground Construction Honoring Charles C. “Chuck” Ladd, Cambridge, MA, USA, 5–6 October 2001. [Google Scholar]
- Misra, A.; Roberts, L. Axial service limit state analysis of drilled shafts using probabilistic approach. Geotech. Geol. Eng. 2006, 24, 1561–1580. [Google Scholar] [CrossRef]
- Stacho, J.; Sulovska, M.; Slávik, I. Determining the shear strength properties of a soil-geogrid interface using a large-scale direct shear test apparatus. Period. Polytech. Civ. Eng. 2020, 64, 989–998. [Google Scholar] [CrossRef]
- Cherian, A. Static behavior of strain gauge instrumented continuous flight auger (CFA) piles. Jordan J. Civ. Eng. 2022, 16, 229–241. [Google Scholar]
- Stacho, J. Analysis of Static Load Tests of Bored Piles Using the Limit Load Curve Method. In Proceedings of the 16th International Multidisciplinary Scientific Geoconference (SGEM 2016), Albena, Bulgaria, 30 June–6 July 2016. [Google Scholar]
- Štefaňák, J.; Miča, L.; Chalmovský, J.; Leiter, A.; Tichý, P. Full-scale testing of ground anchors in Neogene clay. Procedia Eng. 2017, 172, 1129–1136. [Google Scholar] [CrossRef]
- NeSmith, W.M. Design and Installation of Pressure-Grouted, Drilled Displacement Piles. In Proceedings of the Ninth International Conference on Piling and Deep Foundation, Nice, France, 3–5 June 2002. [Google Scholar]
- Siegel, T.C.; Cargill, P.E.; NeSmith, W.M. CPT Measurements near Drilled Displacement Piles. In Proceedings of the 7th FMGM 2007, Boston, MA, USA, 21 September 2007. [Google Scholar]
- Zhang, Z.; Gong, W.; Dai, G.; Xu, J. Enhancement of load bearing of post-grouted drilled shafts based on in situ tests. Arab. J. Geosci. 2021, 14, 32. [Google Scholar] [CrossRef]
- Valletta, A.; Carri, A.; Segalini, A. Alert threshold assessment based on equivalent displacements for the identification of potentially critical landslide events. Nat. Hazards 2022, 115, 1549–1570. [Google Scholar] [CrossRef]
- Niazi, F.S.; Mayne, P.W. Cone penetration test based direct methods for evaluating static axial capacity of single piles. Geotech. Geol. Eng. 2013, 31, 979–1009. [Google Scholar] [CrossRef]
- Niazi, F.S.; Mayne, P.W. Enhanced UniCone Expressions for Axial Pile Capacity Evaluation from Piezocone Tests. In Proceedings of the IFCEE 2015, San Antonio, TX, USA, 17 March 2015. [Google Scholar]
- Robertson, P.K. Interpretation of cone penetration tests—A unified approach. Can. Geotech. J. 2009, 46, 1337–1355. [Google Scholar] [CrossRef]
- Titi, H.H.; Abu-Farsakh, M. Evaluation of Bearing Capacity of Driven Piles from CPT Data and Development of Design Software. In Proceedings of the Art of Foundation Engineering Practice, West Palm Beach, FL, USA, 18 February 2010. [Google Scholar]
- Alkroosh, I.; Nikraz, H. Predicting axial capacity of driven piles in cohesive soils using intelligent computing. Eng. Appl. Artif. Intell. 2012, 25, 618–627. [Google Scholar] [CrossRef]
- Kodsy, A.; Iskander, M. Insights into plugging of pipe piles based on pile dimensions. Appl. Sci. 2022, 12, 2711. [Google Scholar] [CrossRef]
- Xu, D.; Liu, Z.; Chen, B.; Xu, X. Bearing capacity analysis of offshore pipe piles with CPTs by considering uncertainly. Comput. Geotech. 2020, 126, 103731. [Google Scholar] [CrossRef]
- Moshfeghi, S.; Eslami, A. Study on pile ultimate capacity criteria and CPT-based direct methods. Int. J. Geotech. Eng. 2018, 12, 28–39. [Google Scholar] [CrossRef]
- Obert, L. Trnava—Road I/51—North Bypass, 3rd Phase, Additional Geological Survey; Ageo: Bratislava, Slovakia, 2006. (In Slovak) [Google Scholar]
- Vaníček, I. Geotechnical Problems with Man-Made and Man Influenced Grounds. In Proceedings of the 13th European Conference on Soil Mechanics and Geotechnical Engineering, Prague, Czech Republic, 25–28 August 2003. [Google Scholar]
- Dobeš, P. Calibration of TDR test probe for measuring moisture in the body of the railway substructure and its subgrade. Civ. Environ. Eng. 2015, 11, 84–94. [Google Scholar] [CrossRef]
- Bulko, R.; Masarovičová, S. Effect of lime filling on the compactibility of clay soils. Civ. Environ. Eng. 2022, 18, 501–506. [Google Scholar] [CrossRef]
- Cviklovič, V.; Mojžiš, M.; Majdan, R.; Kollarová, K.; Tkáč, Z.; Abrahám, R.; Masarovičová, S. Data acquisition system for on-the–go soil resistance force sensor using soil cutting blades. Sensors 2022, 22, 5301. [Google Scholar] [CrossRef] [PubMed]
- Brna, M.; Cingel, M. Comparison of pavement surface roughness characteristics of different wearing courses evaluated using 3D scanning and pendulum. MATEC Web Conf. 2020, 313, 00013. [Google Scholar] [CrossRef]
- Seo, H. Monitoring of CFA pile test using three dimensional laser scanning and distributed fiber optic sensors. Opt. Lasers Eng. 2020, 130, 106089. [Google Scholar] [CrossRef]
- Chromčák, J.; Bačová, D.; Pecho, P.; Seidlová, A. The possibilities of orthophotos application for calculation of ecological stability coefficient purposes. Sustainability 2021, 13, 3017. [Google Scholar] [CrossRef]
- Chromčák, J.; Bačová, D.; Seidlová, A.; Danišovič, P.; Zuziaková, I. Terrestrial Laser Scanning Application for General Plane Position Estimation. In Proceedings of the XXX Russian-Polish-Slovak Seminar Theoretical Foundation of Civil Engineering (RSP 2021), Moscow, Russia, 13–18 September 2021. [Google Scholar] [CrossRef]
- Continuous Flight Auger (CFA). Available online: https://www.keller.com.kz/brochure/K_Brochure_Technique_CFA.pdf (accessed on 16 December 2022).
- Drusa, M.; Korenko, M. Project Documentation for Pile Load Test and Pile Load Test Evaluation for Piles SO 201—SO 204; University of Žilina: Žilina, Slovakia, 2010–2011. (In Slovak) [Google Scholar]
- Mazurkiewicz, B.K. Test Loading of Piles According to Polish Regulations, Royal Swedish Academy of Engineering Sciences Report No. 35; Commission on Pile Research: Stockholm, Sweden, 1972; pp. 1–20. [Google Scholar]
- Abdelrahman, G. Interpretation of Axial Pile Load Test Results for Continuous Flight Auger Piles. In Proceedings of the 9th Arab Structural Engineering Conference, Abu Dhabi, United Arab Emirates, 29 November–1 December 2003. [Google Scholar]
- Mulyono, T. Lesson Learn for Comparison of Single Pile Axial Capacity Based on Soil Parameter and Static Loading Test Result. In Proceedings of the UNJ ICTVET 2015, Jakarta, Indonesia, 27 October 2015. [Google Scholar]
- Olgun, M.; Yenginar, Y.; Hanati, A. Interpreting Load-Settlement Curves of Pile Foundations by Graphical Methods. Eurasian J. Civ. Eng. Archit. 2017, 1, 1–10. [Google Scholar]
- Olgun, M.; Hanati; Yenginar, Y. Prediction of Pile Capacity from Field Loading Test Results by Using Different Methods. In Proceedings of the Third International Soil-Structure Interaction Symposium, Izmir, Turkey, 18–19 October 2017. [Google Scholar]
- Nguyen, H.M.; Fellenius, B.H.; Puppala, A.J.; Nguyen, O.C.; Bheemasetti, T.V. Results of static loading tests on single piles and on pile-supported LPG tanks. Geotech. Geol. Eng. 2018, 36, 3811–3822. [Google Scholar] [CrossRef]
- Al-Soudani, W.; Albusoda, B. Evaluating End-Bearing and Skin-Friction Resistance of Test Pipe Pile in Sand Soil. In Proceedings of the Modern Applications of Geotechnical Engineering and Construction, Bagdad, Iraq, 19–20 February 2020. [Google Scholar]
- Rusland, R.O. An analysis of static load test on single square pile of 50 × 50 cm2 using finite element method in multi–storey building project, Pluit, North Jakarta. Simetrikal J. Eng. Technol. 2020, 2, 49–62. [Google Scholar] [CrossRef]
- Wei, Y.; Wang, D.; Li, J.; Jie, Y.; Ke, Z.; Li, J.; Wong, T. Evaluation of ultimate bearing capacity of pre-stressed high-strength concrete pipe pile embedded in saturated sandy soil based on in-situ test. Appl. Sci. 2020, 10, 6269. [Google Scholar] [CrossRef]
- Mihálik, J. The Use of Methods of Geotechnical Survey for Evaluation of Pile Foundations. Ph.D. Thesis, University of Žilina, Žilina, Slovakia, 2022. (In Slovak). [Google Scholar]
- Cai, G.; Liu, S.; Tong, L.; Du, G. Assessment of direct CPT and CPTu methods for predicting the ultimate bearing capacity of single piles. Eng. Geol. 2009, 104, 211–222. [Google Scholar] [CrossRef]
- Alsamman, O.M. The Use of CPT for Calculating Axial Capacity of Drilled Shafts. Ph.D. Thesis, University of Illinois at Urbana-Champaign, Champaign, IL, USA, 1995. [Google Scholar]
- Hu, Z.; McVay, M.; Bloomquist, D.; Horhota, D.; Lai, P. New ultimate pile capacity prediction method based on cone penetration test (CPT). Can. Geotech. J. 2012, 49, 961–967. [Google Scholar] [CrossRef]
- Mayne, P.; Saftner, D.; Dagger, R.; Dasenbrock, D. Cone Penetration Testing Manual for Highway Geotechnical Engineers; Georgia Institute of Technology: Atlanta, GA, USA, 2018. [Google Scholar]
- Ardalan, H.; Eslami, A.; Nariman-Zadeh, N. Piles shaft capacity from CPT and CPTu data by polynomial neural networks and genetic algorithms. Comput. Geotech. 2009, 36, 616–625. [Google Scholar] [CrossRef]
- Zwara, Ł.; Bałachowski, L. Prediction of pile shaft capacity in tension based on some direct CPT methods—Vistula marshland test site. Materials 2022, 15, 2426. [Google Scholar] [CrossRef]
- EN 1997–2: 2007; Eurocode 7—Geotechnical Design—Part 2: Ground Investigation and Testing. European Committee for Standardization (CEN): Brussels, Belgium, 2007.
- NEN 6743-1: 2006; Geotechniek—Berekeningsmethode voor Funderingen op Palen—Drukpalen. Nederlands Normalisatie Instituut (NEN): Delft, The Netherlands, 2006.
- Eslami, A.; Fellenius, B.H. Pile capacity by direct CPT and CPTu methods applied to 102 case histories. Can. Geotech. J. 1997, 34, 886–904. [Google Scholar] [CrossRef]
- Bustamante, M.; Gianeselli, L. Pile Bearing Capacity Predictions by Means of Static Penetrometer CPT. In Proceedings of the Second European Symposium on Penetration Testing, ESOPT-II, Amsterdam, The Netherlands, 24–27 May 1982. [Google Scholar]
- Bustamante, M.; Frank, R. Design of axially loaded pile–French practice. In Design of Axially Loaded Piles–European Practice, 1st ed.; De Cock, F., Legrand, C., Eds.; A.A. Balkema: Rotterdam, The Netherlands, 1997; pp. 161–176. [Google Scholar]
- Briaud, J.; Tucker, L.M. Measured and predicted axial response of 98 piles. J. Geotech. Eng. 1988, 114, 984–1001. [Google Scholar] [CrossRef]
- Long, J.H.; Wysockey, M.H. Accuracy of Methods for Predicting Axial Capacity of Deep Foundations. In Proceedings of the OTRC’99 Conference, Analysis, Design, Construction, and Testing of Deep Foundations, Austin, TX, USA, 29–30 April 1999. [Google Scholar]
- Amirmojahedi, M.; Abu-Farsakh, M. Evaluation of 18 direct CPT methods for estimating the ultimate pile capacity of driven piles. Transp. Res. Rec. 2019, 2673, 127–141. [Google Scholar] [CrossRef]
- Gavin, K.G.; Cadogan, D.; Casey, P. Shaft capacity of continuous flight auger piles in sand. J. Geotech. Geoenvironmental Eng. 2009, 135, 790–798. [Google Scholar] [CrossRef]
- Pardoski, K.V. Derivation of CFA Pile Capacity in A Silty Clay Soil Using CPTu. Available online: https://www.geoengineer.org/storage/publication/18438/publication_file/2677/3-39pardapc.pdf (accessed on 16 February 2023).
- Cruz, I.R.; Howie, J.A. An Evaluation of Pile Load Capacity Estimates Using CPTu and DMT Methods in Silty Clay in High Prairie, Alberta. In Proceedings of the 61st Canadian Geotechnical Conference and the 9th Joint CGS/IAH-CNC Groundwater Conference, Edmonton, AB, Canada, 21–24 September 2008. [Google Scholar]
- Gavin, K.; Kovacevic, M.S.; Igoe, D. A review of CPT based axial pile design in the Netherlands. Undergr. Space 2021, 6, 85–99. [Google Scholar] [CrossRef]
- Huybrechts, N.; Maertens, J. Some New Insights with Regard to Load Distribution in Piles, based on a Detailed Interpretation of a Large Number of Instrumented Pile Load Tests. In Proceedings of the Fifth International Symposium on Deep Foundations on Bored and Auger Piles, BAP V, Ghent, Belgium, 8–10 September 2008. [Google Scholar]









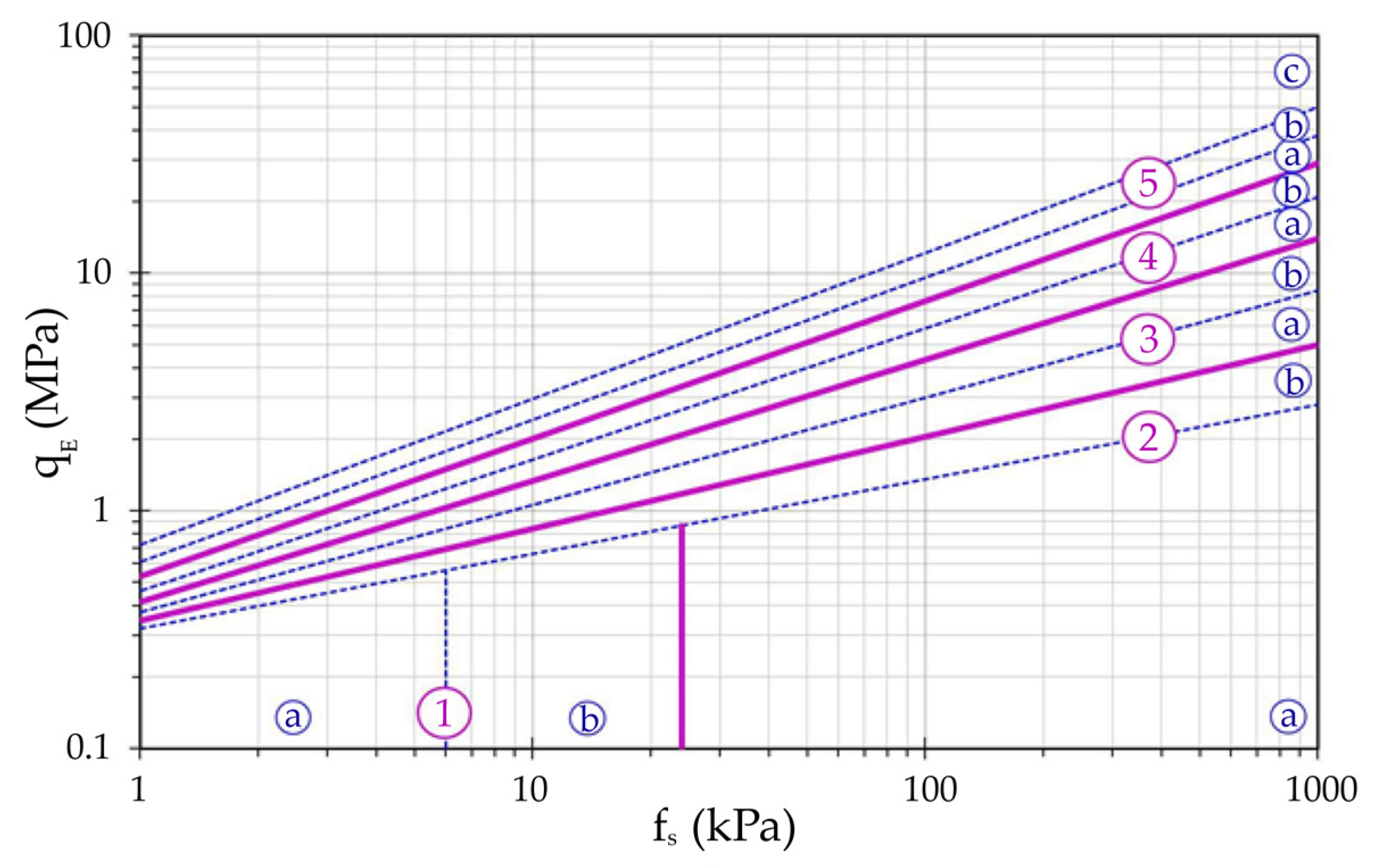
| No. of Zone | Soil Type | Average Cse (%) |
|---|---|---|
| 1a | very soft sensitive clay | 8.32 |
| 1b | soft clay and silt | 6.57 |
| 2a | silty marine and varved clays | 4.69 |
| 2b | stiff weathered clay, clay till | 3.63 |
| 3a | firm to medium soft silty clay | 3.10 |
| 3b | clayey silt, mudstone | 2.47 |
| 4a | sandy silt, medium dense silt | 1.58 |
| 4b | silty sand, very dense silt | 1.09 |
| 5a | uniform loose sand | 0.82 |
| 5b | medium dense sand | 0.61 |
| 5c | dense sand, gravel–sand mix | 0.34 |
| No. of Pile | Bridge Designation | CPTu Probe | Pile Diameter (m) | Pile Length (m) | Bearing Capacity Qm (kN) |
|---|---|---|---|---|---|
| 1 | SO—201 | CPT—1 | 1.0 | 8.6 | 2467 |
| 2 | SO—201 | CPT—2 | 1.0 | 8.6 | 2132 |
| 3 | SO—201 | CPT—3 | 1.0 | 8.6 | 2228 |
| 4 | SO—201 | CPT—4 | 1.0 | 8.6 | 2439 |
| 5 | SO—202 | CPT—5 | 1.0 | 8.8 | 2900 |
| 6 | SO—202 | CPT—6 | 1.0 | 8.8 | 1935 |
| 7 | SO—203 | CPT—7 | 1.0 | 6.2 | 1900 |
| 8 | SO—203 | CPT—8 | 1.0 | 5.4 | 1807 |
| 9 | SO—204 | CPT—9 | 1.0 | 6.2 | 1800 |
| Method | Qp,UniCone | Qp,LCPC | Qp,EC7—2 | ||||||
|---|---|---|---|---|---|---|---|---|---|
| Pile No. | Qs (kN) | Qb (kN) | Qp (kN) | Qs (kN) | Qb (kN) | Qp (kN) | Qs (kN) | Qb (kN) | Qp (kN) |
| 1 | 1665 | 671 | 2336 | 1059 | 894 | 1953 | 116 | 1650 | 1766 |
| 2 | 2016 | 859 | 2875 | 1346 | 1274 | 2621 | 339 | 1177 | 1516 |
| 3 | 1967 | 753 | 2721 | 1084 | 623 | 1707 | 169 | 1375 | 1545 |
| 4 | 1856 | 671 | 2527 | 1031 | 516 | 1547 | 129 | 1297 | 1426 |
| 5 | 1671 | 817 | 2488 | 1256 | 1292 | 2548 | 26 | 1720 | 1746 |
| 6 | 1783 | 671 | 2453 | 1021 | 803 | 1824 | 125 | 1821 | 1946 |
| 7 | 1330 | 849 | 2179 | 653 | 1294 | 1947 | 262 | 1836 | 2098 |
| 8 | 760 | 897 | 1657 | 573 | 2170 | 2743 | 28 | 3982 | 4000 |
| 9 | 1338 | 1052 | 2390 | 767 | 1528 | 2295 | 48 | 3131 | 3180 |
| Best Fit Calculation and Regression | Statistic Characteristics of Qp/Qm Ratio | Cumulative Probability | Log-Normal Distribution | Overall Rank | |||||||||
|---|---|---|---|---|---|---|---|---|---|---|---|---|---|
| Method | Qfit/Qm | R2 | R1 | µ | σ | R2 | P50 | P90 | R3 | RL (%) | R4 | RI | R |
| UniCone | 1.08 | 0.78 | 2 | 1.07 | 0.20 | 1 | 1.09 | 1.34 | 1 | 66.65 | 1 | 5 | 1 |
| LCPC | 0.95 | 0.89 | 1 | 1.08 | 0.30 | 2 | 1.05 | 1.60 | 2 | 53.20 | 2 | 7 | 2 |
| EC 7—2 | 0.94 | 0.65 | 3 | 1.09 | 0.53 | 3 | 0.90 | 2.08 | 3 | 33.70 | 3 | 12 | 3 |
Disclaimer/Publisher’s Note: The statements, opinions and data contained in all publications are solely those of the individual author(s) and contributor(s) and not of MDPI and/or the editor(s). MDPI and/or the editor(s) disclaim responsibility for any injury to people or property resulting from any ideas, methods, instructions or products referred to in the content. |
© 2023 by the authors. Licensee MDPI, Basel, Switzerland. This article is an open access article distributed under the terms and conditions of the Creative Commons Attribution (CC BY) license (https://creativecommons.org/licenses/by/4.0/).
Share and Cite
Mihálik, J.; Gago, F.; Vlček, J.; Drusa, M. Evaluation of Methods Based on CPTu Testing for Prediction of the Bearing Capacity of CFA Piles. Appl. Sci. 2023, 13, 2931. https://doi.org/10.3390/app13052931
Mihálik J, Gago F, Vlček J, Drusa M. Evaluation of Methods Based on CPTu Testing for Prediction of the Bearing Capacity of CFA Piles. Applied Sciences. 2023; 13(5):2931. https://doi.org/10.3390/app13052931
Chicago/Turabian StyleMihálik, Ján, Filip Gago, Jozef Vlček, and Marián Drusa. 2023. "Evaluation of Methods Based on CPTu Testing for Prediction of the Bearing Capacity of CFA Piles" Applied Sciences 13, no. 5: 2931. https://doi.org/10.3390/app13052931
APA StyleMihálik, J., Gago, F., Vlček, J., & Drusa, M. (2023). Evaluation of Methods Based on CPTu Testing for Prediction of the Bearing Capacity of CFA Piles. Applied Sciences, 13(5), 2931. https://doi.org/10.3390/app13052931

