Reducing the Power Consumption of VR Displays with a Field Sequential Color LCD
Abstract
1. Introduction
2. Experiment
2.1. Temperature-Dependent Physical Properties
2.2. Wavelength-Dependent Birefringence
3. Simulation Results
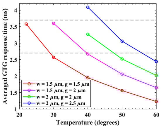
4. Power Consumption
5. Discussions
6. Conclusions
Author Contributions
Funding
Institutional Review Board Statement
Informed Consent Statement
Data Availability Statement
Acknowledgments
Conflicts of Interest
References
- Hsiang, E.L.; Yang, Z.; Yang, Q.; Lai, P.C.; Lin, C.L.; Wu, S.T. AR/VR light engines: Perspectives and challenges. Adv. Opt. Photonics 2022, 14, 783–861. [Google Scholar] [CrossRef]
- Yin, K.; Hsiang, E.L.; Zou, J.; Li, Y.; Yang, Z.; Yang, Q.; Lai, P.C.; Lin, C.L.; Wu, S.T. Advanced liquid crystal devices for augmented reality and virtual reality displays: Principles and applications. Light Sci. Appl. 2022, 11, 161. [Google Scholar] [CrossRef]
- Hsiang, E.L.; Yang, Z.; Zhan, T.; Zou, J.; Akimoto, H.; Wu, S.T. Optimizing the display performance for virtual reality systems. OSA Contin. 2021, 4, 3052–3067. [Google Scholar] [CrossRef]
- Matsushima, T.; Kimura, S.; Komura, S. Fast response in-plane switching liquid crystal display mode optimized for high-resolution virtual-reality head-mounted display. J. Soc. Inf. Disp. 2021, 29, 221–229. [Google Scholar] [CrossRef]
- Yoshihara, T.; Makino, T.; Inoue, H. 52.1: Invited Paper: A 254-ppi Full-color Video Rate TFT-LCD Based on Field Sequential Color and FLC Display. SID Symp. Dig. Tech. Pap. 2000, 31, 1176–1179. [Google Scholar] [CrossRef]
- Guo, Q.; Yan, K.; Chigrinov, V.; Zhao, H.; Tribelsky, M. Ferroelectric liquid crystals: Physics and applications. Crystals 2019, 9, 470. [Google Scholar] [CrossRef]
- Shi, L.; Srivastava, A.K.; Cheung, A.; Hsieh, C.T.; Hung, C.L.; Lin, C.H.; Lin, C.H.; Sugiura, N.; Kuo, C.W.; Chigrinov, V.G.; et al. Active matrix field sequential color electrically suppressed helix ferroelectric liquid crystal for high resolution displays. J. Soc. Inf. Disp. 2018, 26, 325–332. [Google Scholar] [CrossRef]
- Huang, Y.; Chen, H.; Tan, G.; Tobata, H.; Yamamoto, S.I.; Okabe, E.; Lan, Y.-F.; Tsai, C.-Y.; Wu, S.T. Optimized blue-phase liquid crystal for field-sequential-color displays. Opt. Mater. Express 2017, 7, 641–650. [Google Scholar] [CrossRef]
- Singh, G. Recent advances on cadmium free quantum dots-liquid crystal nanocomposites. Appl. Mater. Today 2020, 21, 100840. [Google Scholar]
- Kumar, A.; Singh, D.P.; Singh, G. Recent progress and future perspectives on carbon-nanomaterial-dispersed liquid crystal composites. J. Phys. D Appl. Phys. 2021, 55, 083002. [Google Scholar] [CrossRef]
- Lee, S.H.; Lee, S.L.; Kim, H.Y. Electro-optic characteristics and switching principle of a nematic liquid crystal cell controlled by fringe-field switching. Appl. Phys. Lett. 1998, 73, 2881–2883. [Google Scholar] [CrossRef]
- Kim, D.H.; Lim, Y.J.; Kim, D.E.; Ren, H.; Ahn, S.H.; Lee, S.H. Past, present, and future of fringe-field switching-liquid crystal display. J. Inf. Disp. 2014, 15, 99–106. [Google Scholar] [CrossRef]
- Wu, S.T. A nematic liquid crystal modulator with response time less than 100 µs at room temperature. Appl. Phys. Lett. 1990, 57, 986–988. [Google Scholar] [CrossRef]
- HDR, VR. Available online: https://research.facebook.com/file/397914259053513/HDR-VR.pdf (accessed on 30 August 2022).
- Narasimhan, B.A. Ultra-Compact pancake optics based on ThinEyes super-resolution technology for virtual reality headsets. Proc. SPIE 2018, 10676, 359–366. [Google Scholar]
- Maimone, A.; Wang, J.R. Holographic optics for thin and lightweight virtual reality. ACM Trans. Graph. 2020, 39, 67. [Google Scholar] [CrossRef]
- Li, Y.; Zhan, T.; Yang, Z.; Xu, C.; LiKamWa, P.L.; Li, K.; Wu, S.T. Broadband cholesteric liquid crystal lens for chromatic aberration correction in catadioptric virtual reality optics. Opt. Express 2021, 29, 6011–6020. [Google Scholar] [CrossRef]
- Haller, I. Thermodynamic and static properties of liquid crystals. Prog. Solid State Chem. 1975, 10, 103–118. [Google Scholar] [CrossRef]
- Wu, S.T.; Wu, C.S. Rotational viscosity of nematic liquid crystals A critical examination of existing models. Liq. Cryst. 1990, 8, 171–182. [Google Scholar] [CrossRef]
- Wu, S.T.; Lackner, A.M.; Efron, U. Optimal operation temperature of liquid crystal modulators. Appl. Opt. 1987, 26, 3441–3445. [Google Scholar] [CrossRef]
- Talukder, J.R.; Huang, Y.; Wu, S.T. High performance LCD for augmented reality and virtual reality displays. Liq. Cryst. 2019, 46, 920–929. [Google Scholar] [CrossRef]
- Chen, H.; Peng, F.; Luo, Z.; Xu, D.; Wu, S.T.; Li, M.C.; Lee, S.L.; Tsai, W.C. High performance liquid crystal displays with a low dielectric constant material. Opt. Mater. Express 2014, 4, 2262–2273. [Google Scholar] [CrossRef]
- Wu, S.T. Birefringence dispersions of liquid crystals. Phys. Rev. A 1986, 33, 1270–1274. [Google Scholar] [CrossRef]
- Choi, T.H.; Oh, S.W.; Park, Y.J.; Choi, Y.; Yoon, T.H. Fast fringe-field switching of a liquid crystal cell by two-dimensional confinement with virtual walls. Sci. Rep. 2016, 6, 27936. [Google Scholar] [CrossRef] [PubMed]
- Choi, T.H.; Woo, J.H.; Choi, Y.; Yoon, T.H. Interdigitated pixel electrodes with alternating tilts for fast fringe-field switching of liquid crystals. Opt. Express 2016, 24, 27569–27576. [Google Scholar] [CrossRef] [PubMed]
- Yang, C.L.; Wu, Y.H.; Yao, I.A.; Tsou, Y.S.; Tsai, C.H.; Lin, J.S. 47-1: Invited Paper: High Resolution HDR VR display using Mini-LED. SID Symp. Dig. Tech. Pap. 2021, 52, 636–639. [Google Scholar] [CrossRef]
- Yamada, F.; Nakamura, H.; Sakaguchi, Y.; Taira, Y. Sequential-color LCD based on OCB with an LED backlight. J. Soc. Inf. Disp. 2002, 10, 81–85. [Google Scholar] [CrossRef]
- Zhu, X.; Ge, Z.; Wu, S.T. Analytical solutions for uniaxial-film-compensated wide-view liquid crystal displays. J. Disp. Technol. 2006, 2, 2–20. [Google Scholar] [CrossRef]
- Harbers, G.; Hoelen, C. LP-2: High Performance LCD Backlighting using High Intensity Red, Green and Blue Light Emitting Diodes. SID Symp. Dig. Tech. Pap. 2001, 32, 702–705. [Google Scholar] [CrossRef]
- Hsiang, E.L.; Yang, Z.; Yang, Q.; Lan, Y.F.; Wu, S.T. Prospects and challenges of mini-LED, OLED, and micro-LED displays. J. Soc. Inf. Disp. 2021, 29, 446–465. [Google Scholar] [CrossRef]
- Ma, L.; Li, C.; Sun, L.; Song, Z.; Lu, Y.; Li, B. Submicrosecond electro-optical switching of one-dimensional soft photonic crystals. Photonics Res. 2022, 10, 786–792. [Google Scholar] [CrossRef]
- Bulashevich, K.A.; Kulik, A.V.; Karpov, S.Y. Optimal ways of colour mixing for high-quality white-light LED sources. Phys. Status Solidi A 2015, 212, 914–919. [Google Scholar] [CrossRef]
- Chen, H.; Zhu, R.; He, J.; Duan, W.; Hu, W.; Lu, Y.Q.; Li, M.C.; Lee, S.L.; Dong, Y.; Wu, S.T. Going beyond the limit of an LCD’s color gamut. Light Sci. Appl. 2017, 6, e17043. [Google Scholar] [CrossRef] [PubMed]
- Chen, H.; Gou, F.; Wu, S.T. Submillisecond-response nematic liquid crystals for augmented reality displays. Opt. Mater. Express 2017, 7, 195–201. [Google Scholar] [CrossRef]
- Wu, C.Y.; Wu, T.F.; Tsai, J.R.; Chen, Y.M.; Chen, C.C. Multistring LED backlight driving system for LCD panels with color sequential display and area control. IEEE Trans. Ind. Electron. 2008, 55, 3791–3800. [Google Scholar]
- Hsiang, E.L.; Yang, Q.; He, Z.; Zou, J.; Wu, S.T. Halo effect in high-dynamic-range mini-LED backlit LCDs. Opt. Express 2020, 28, 36822–36837. [Google Scholar] [CrossRef] [PubMed]
- Yang, Z.; Hsiang, E.L.; Qian, Y.; Wu, S.T. Performance comparison between mini-LED backlit LCD and OLED display for 15.6-inch notebook computers. Appl. Sci. 2022, 12, 1239. [Google Scholar] [CrossRef]
- Chen, Y.; Peng, F.; Wu, S.T. Submillisecond-response vertical-aligned liquid crystal for color sequential projection displays. J. Disp. Technol. 2013, 9, 78–81. [Google Scholar] [CrossRef]
- Iwata, Y.; Murata, M.; Tanaka, K.; Ohtake, T.; Yoshida, H.; Miyachi, K. Novel super fast response vertical alignment-liquid crystal display with extremely wide temperature range. J. Soc. Inf. Disp. 2014, 22, 35–42. [Google Scholar] [CrossRef]
- Palto, S.P.; Barnik, M.I.; Geivandov, A.R.; Kasyanova, I.V.; Palto, V.S. Submillisecond inverse TN bidirectional field switching mode. J. Disp. Technol. 2016, 12, 992–999. [Google Scholar] [CrossRef]









| Rise Time (ms) | ||||||
|---|---|---|---|---|---|---|
| Decay time (ms) | Gray level | 0 | 64 | 128 | 192 | 255 |
| 0 | \ | 2.17 | 1.97 | 1.77 | 1.74 | |
| 64 | 0.62 | \ | 1.75 | 1.64 | 1.84 | |
| 128 | 0.65 | 1.65 | \ | 1.60 | 2.07 | |
| 192 | 0.69 | 1.58 | 1.61 | \ | 2.50 | |
| 255 | 0.75 | 1.51 | 1.57 | 1.60 | \ | |
| Rise Time (ms) | ||||||
|---|---|---|---|---|---|---|
| Decay time (ms) | Gray level | 0 | 64 | 128 | 192 | 255 |
| 0 | \ | 10.18 | 6.66 | 4.62 | 1.50 | |
| 64 | 1.79 | \ | 5.23 | 3.81 | 1.15 | |
| 128 | 1.93 | 5.51 | \ | 3.65 | 1.02 | |
| 192 | 2.08 | 5.36 | 4.65 | \ | 0.96 | |
| 255 | 2.35 | 5.37 | 4.88 | 4.14 | \ | |
Disclaimer/Publisher’s Note: The statements, opinions and data contained in all publications are solely those of the individual author(s) and contributor(s) and not of MDPI and/or the editor(s). MDPI and/or the editor(s) disclaim responsibility for any injury to people or property resulting from any ideas, methods, instructions or products referred to in the content. |
© 2023 by the authors. Licensee MDPI, Basel, Switzerland. This article is an open access article distributed under the terms and conditions of the Creative Commons Attribution (CC BY) license (https://creativecommons.org/licenses/by/4.0/).
Share and Cite
Yang, Z.; Qian, Y.; Zou, J.; Lee, C.-L.; Lin, C.-L.; Wu, S.-T. Reducing the Power Consumption of VR Displays with a Field Sequential Color LCD. Appl. Sci. 2023, 13, 2635. https://doi.org/10.3390/app13042635
Yang Z, Qian Y, Zou J, Lee C-L, Lin C-L, Wu S-T. Reducing the Power Consumption of VR Displays with a Field Sequential Color LCD. Applied Sciences. 2023; 13(4):2635. https://doi.org/10.3390/app13042635
Chicago/Turabian StyleYang, Zhiyong, Yizhou Qian, Junyu Zou, Chia-Lun Lee, Chih-Lung Lin, and Shin-Tson Wu. 2023. "Reducing the Power Consumption of VR Displays with a Field Sequential Color LCD" Applied Sciences 13, no. 4: 2635. https://doi.org/10.3390/app13042635
APA StyleYang, Z., Qian, Y., Zou, J., Lee, C.-L., Lin, C.-L., & Wu, S.-T. (2023). Reducing the Power Consumption of VR Displays with a Field Sequential Color LCD. Applied Sciences, 13(4), 2635. https://doi.org/10.3390/app13042635

