New Contributions for Damping Assessment on Filler-Beam Railway Bridges Framed on In2Track EU Projects
Abstract
1. Introduction
- -
- To provide reliable estimates for the damping ratios of railway bridges, which typologies are not sufficiently covered by EN1991-2 [2] and previous studies of Committee D214 from ERRI [1], particularly the filler-beam type. For this purpose, a set of dedicated experimental campaigns were performed in a significant number of filler-beam bridges belonging to the Portuguese railway network. The information derived from this study, framed in the Shift2Rail EU Projects In2track2 [38] and In2track3 [39], can be certainly valuable for the future revisions of the norm EN1991-2 [2].
- -
- To propose a consistent methodology for estimation of the damping ratios envisaging the short/medium span filler-beam railway bridges, in which, mostly, exists coupling between the bending and torsion fundamental modes, and therefore, the classical LD method presents limitations.
- -
- Application of the Prony method as the reference method to efficiently estimate the damping ratios in filler-beam railway bridges with coupled and closely spaced fundamental modes of vibration. Since the precursors studies of the Committee ERRI D214, at the end of the 1990s, this method has been very rarely used in studies involving railway bridges. In most situations, the authors insistently remain using the LD method. Additionally, a numerical validation of the Prony method is performed based on a 3D Finite element (FE) model of a filler-beam bridge, in which a set of predefined damping ratio values were defined, and, posteriorly, based on the free vibration responses under traffic actions, the damping estimates were confirmed.
- -
- To propose a simple methodology to precisely estimate the exact time step when the last train axle no longer influences the dynamic response of the bridge, and therefore, it initiates the free vibration movement. This is particularly relevant for two reasons: First, the methodology proposed by ERRI D214/RP3 [1], based on the multiple-impulse method, is not very straightforward, which makes the computational implementation difficult; Second, the adequate removal of parts of the bridge vibration record that are still influenced by the train excitation will considerably enhance the ability to provide more robust damping estimates.
2. Methodology for Estimation of Damping on Bridges Based on Dynamic Tests under Railway Traffic
2.1. Initial Considerations
2.2. Methodology Overview
2.3. Prony Method Analysis for Damping Estimation
2.4. Energy-Sorting Technique for Dominant Frequencies Identification
3. Numerical Validation of the Damping Estimation Methodology
3.1. Initial Considerations
3.2. Sensitivity Analysis in Relation to the Free Vibration Period
3.2.1. Numerical Models
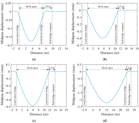
3.2.2. Influence Line of the Midspan Displacements
3.2.3. Receptance at the Midspan
3.3. Validation of the Application of the Prony Method
3.3.1. Cascalheira Bridge 3D Numerical Model
3.3.2. Dynamic Analyses with Train-Track-Bridge Interaction Methodology
3.3.3. Application of the Prony Method
4. Experimental Assessment of Damping Coefficients
4.1. Background
4.2. Bridge Description
4.3. Results of the Experimental Campaigns
4.3.1. Ambient Vibration Tests
4.3.2. Tests under Railway Traffic
5. Conclusions
Author Contributions
Funding
Institutional Review Board Statement
Informed Consent Statement
Data Availability Statement
Acknowledgments
Conflicts of Interest
References
- ERRI D214. ERRI D214/RP3; Railway Bridges for Speeds >200 km/h. Recommendations for Calculating Damping in Rail Bridge Decks. ERRI: Utrecht, The Netherlands, 1999.
- Eurocode EN 1991-2; Actions of Structures—Part 2: Traffic Loads on Bridges. CEN: Brussels, Belgium, 2003.
- Zhai, W.; Han, Z.; Chen, Z.; Ling, L.; Zhu, S. Train–track–bridge dynamic interaction: A state-of-the-art review. Veh. Syst. Dyn. 2019, 57, 984–1027. [Google Scholar] [CrossRef]
- Zhai, W.; Wang, K.; Cai, C. Fundamentals of vehicle–track coupled dynamics. Veh. Syst. Dyn. 2009, 47, 1349–1376. [Google Scholar] [CrossRef]
- Iwnicki, S.; Spiryagin, M.; Cole, C.; McSweeney, T. Handbook of Railway Vehicle Dynamics; CRC Press: Boca Raton, FL, USA, 2019. [Google Scholar] [CrossRef]
- Mosleh, A.; Meixedo, A.; Ribeiro, D.; Montenegro, P.; Calçada, R. Early wheel flat detection: An automatic data-driven wavelet-based approach for railways. Veh. Syst. Dyn. 2022, 1–30. [Google Scholar] [CrossRef]
- Chen, S.; Wang, K.; Zhou, Z.; Yang, Y.; Chen, Z.; Zhai, W. Quantitative detection of locomotive wheel polygonization under non-stationary conditions by adaptive chirp mode decomposition. Railw. Eng. Sci. 2022, 30, 129–147. [Google Scholar] [CrossRef]
- Museros, P.; Moliner, E.; Martínez-Rodrigo, M.D. Free vibrations of simply-supported beam bridges under moving loads: Maximum resonance, cancellation and resonant vertical acceleration. J. Sound. Vib. 2013, 332, 326–345. [Google Scholar] [CrossRef]
- Stollwitzer, A.; Fink, J.; Malik, T. Experimental analysis of damping mechanisms in ballasted track on single-track railway bridges. Eng. Struct. 2020, 220, 110982. [Google Scholar] [CrossRef]
- Brunetti, M.; Ciambella, J.; Evangelista, L.; Lofrano, E.; Paolone, A.; Vittozzi, A. Experimental results in damping evaluation of a high-speed railway bridge. Procedia Eng. 2017, 199, 3015–3020. [Google Scholar] [CrossRef]
- Rebelo, C.; Simões da Silva, L.; Rigueiro, C.; Pircher, M. Dynamic behaviour of twin single-span ballasted railway viaducts—Field measurements and modal identification. Eng. Struct. 2008, 30, 2460–2469. [Google Scholar] [CrossRef]
- Martínez-Rodrigo, M.D.; Lavado, J.; Museros, P. Dynamic performance of existing high-speed railway bridges under resonant conditions retrofitted with fluid viscous dampers. Eng. Struct. 2010, 32, 808–828. [Google Scholar] [CrossRef]
- Chen, Z.; Fang, H.; Han, Z.; Sun, S. Influence of bridge-based designed TMD on running trains. J. Vib. Control 2019, 25, 182–193. [Google Scholar] [CrossRef]
- Tell, S.; Leander, J.; Andersson, A.; Ülker-Kaustell, M. Probability-based evaluation of the effect of fluid viscous dampers on a high-speed railway bridge. Struct. Infrastruct. Eng. 2021, 17, 1730–1742. [Google Scholar] [CrossRef]
- Ticona Melo, L.R.; Malveiro, J.; Ribeiro, D.; Calçada, R.; Bittencourt, T. Dynamic analysis of the train-bridge system considering the non-linear behaviour of the track-deck interface. Eng. Struct. 2020, 220, 110980. [Google Scholar] [CrossRef]
- Galvín, P.; Romero, A.; Moliner, E.; De Roeck, G.; Martínez-Rodrigo, M.D. On the dynamic characterisation of railway bridges through experimental testing. Eng. Struct. 2021, 226, 111261. [Google Scholar] [CrossRef]
- Gattulli, V.; Lofrano, E.; Paolone, A.; Potenza, F. Measured properties of structural damping in railway bridges. J Civ Struct Heal. Monit. 2019, 9, 639–653. [Google Scholar] [CrossRef]
- Reiterer, M.; Lachinger, S.; Fink, J.; Bruschetini-Ambro, S.-Z. In-Situ Experimental Modal Testing of Railway Bridges. Int. Conf. Exp. Mech. 2018, 2, 413. [Google Scholar] [CrossRef]
- Stollwitzer, A.; Bettinelli, L.; Fink, J. The longitudinal track-bridge interaction of ballasted track in railway bridges: Experimental determination of dynamic stiffness and damping characteristics. Eng. Struct. 2023, 274, 115115. [Google Scholar] [CrossRef]
- Ülker-Kaustell, M.; Karoumi, R. Influence of non-linear stiffness and damping on the train-bridge resonance of a simply supported railway bridge. Eng. Struct. 2012, 41, 350–355. [Google Scholar] [CrossRef]
- Lind Östlund, J.; Andersson, A.; Ülker-Kaustell, M.; Battini, J.-M. On the influence of shallow soil strata on the dynamic soil–structure interaction of simply supported high-speed railway bridges. Int. J. Rail. Transp. 2021, 9, 405–423. [Google Scholar] [CrossRef]
- Zangeneh, A.; Battini, J.-M.; Pacoste, C.; Karoumi, R. Fundamental modal properties of simply supported railway bridges considering soil-structure interaction effects. Soil. Dyn. Earthq. Eng. 2019, 121, 212–218. [Google Scholar] [CrossRef]
- Glatz, B.; Fink, J. A redesigned approach to the additional damping method in the dynamic analysis of simply supported railway bridges. Eng. Struct. 2021, 241, 112415. [Google Scholar] [CrossRef]
- Stoura, C.D.; Dimitrakopoulos, E.G. Additional damping effect on bridges because of vehicle-bridge interaction. J. Sound. Vib. 2020, 476, 115294. [Google Scholar] [CrossRef]
- Malveiro, J.; Ribeiro, D.; Calçada, R.; Delgado, R. Updating and validation of the dynamic model of a railway viaduct with precast deck. Struct. Infrastruct. Eng. 2014, 10, 1484–1509. [Google Scholar] [CrossRef]
- Malveiro, J.; Sousa, C.; Ribeiro, D.; Calçada, R. Impact of track irregularities and damping on the fatigue damage of a railway bridge deck slab. Struct. Infrastruct. Eng. 2018, 14, 1257–1268. [Google Scholar] [CrossRef]
- Zangeneh, A.; Svedholm, C.; Andersson, A.; Pacoste, C.; Karoumi, R. Identification of soil-structure interaction effect in a portal frame railway bridge through full-scale dynamic testing. Eng. Struct. 2018, 159, 299–309. [Google Scholar] [CrossRef]
- Saramago, G.; Montenegro, P.A.; Ribeiro, D.; Silva, A.; Santos, S.; Calçada, R. Experimental Validation of a Double-Deck Track-Bridge System under Railway Traffic. Sustainability 2022, 14, 5794. [Google Scholar] [CrossRef]
- Ticona Melo, L.R.; Ribeiro, D.; Calçada, R.; Bittencourt, T.N. Validation of a vertical train–track–bridge dynamic interaction model based on limited experimental data. Struct. Infrastruct. Eng. 2020, 16, 181–201. [Google Scholar] [CrossRef]
- Moliner, E.; Martínez-Rodrigo, M.D.; Galvín, P.; Chordà- Monsonís, J.; Romero, A. On the vertical coupling effect of ballasted tracks in multi–span simply–supported railway bridges under operating conditions. Struct. Infrastruct. Eng. 2022, 1–23. [Google Scholar] [CrossRef]
- Ribeiro, D.; Costa, B.; Cruz, L.; Oliveira, M.; Alves, V.; Montenegro, P.; Calçada, R. Simulation of the Dynamic Behavior of a Centenary Metallic Bridge under Metro Traffic Actions Based on Advanced Interaction Models. Int. J. Struct. Stab. Dyn. 2021, 21, 2150057. [Google Scholar] [CrossRef]
- Ülker-Kaustell, M.; Karoumi, R. Application of the continuous wavelet transform on the free vibrations of a steel–concrete composite railway bridge. Eng. Struct. 2011, 33, 911–919. [Google Scholar] [CrossRef]
- Ribeiro, D.; Calçada, R.; Brehm, M.; Zabel, V. Train–Track–Bridge Dynamic Interaction on a Bowstring-Arch Railway Bridge: Advanced Modeling and Experimental Validation. Sensors 2022, 23, 171. [Google Scholar] [CrossRef]
- Petsounis, K.A.; Fassois, S.D. Parametric time-domain methods for the identification of vibrating structures—A critical comparison and assessment. Mech. Syst. Signal Process 2001, 15, 1031–1060. [Google Scholar] [CrossRef]
- Al-hababi, T.; Cao, M.; Saleh, B.; Alkayem, N.F.; Xu, H. A Critical Review of Nonlinear Damping Identification in Structural Dynamics: Methods, Applications, and Challenges. Sensors 2020, 20, 7303. [Google Scholar] [CrossRef]
- Park, D.-U.; Kim, N.-S.; Kim, S.-I. Damping Estimation of Railway Bridges Using Extended Kalman Filter. Trans. Korean Soc. Noise Vib. Eng. 2009, 19, 294–300. [Google Scholar] [CrossRef]
- Feltrin, G.; Gsell, E.D. Guideline for Estimating Structural Damping of Railway Bridges. Backgr. Doc. 2007, D5, 2-S2. [Google Scholar]
- Shift2Rail. IN2TRACK2 n.d. Available online: https://projects.shift2rail.org/s2r_ip3_n.aspx?p=IN2TRACK2 (accessed on 3 January 2023).
- Shift2Rail. IN2TRACK3 n.d. Available online: https://projects.shift2rail.org/s2r_ip3_n.aspx?p=IN2TRACK3%0A (accessed on 3 January 2023).
- de Prony, G. Essai expérimental et analytique. J. E Polytech 1795, 1, 24–76. [Google Scholar]
- Hildebrand, F.B. Introduction to Numerical Analysis; Courier Corporation: North Chelmsford, MA, USA, 1987. [Google Scholar]
- Marple, S.L., Jr.; Carey, W.M. Digital Spectral Analysis with Applications; Prentice-Hall: Hoboken, NJ, USA, 1989; Volume 86, p. 2043. [Google Scholar] [CrossRef]
- Singh, S. Application of Prony Analysis to Characterize Pulsed Corona Reactor Measurements; University of Wyoming: Laramie, WY, USA, 2003. [Google Scholar]
- Qi, L.; Qian, L.; Woodruff, S.; Cartes, D. Prony Analysis for Power System Transient Harmonics. EURASIP J. Adv. Signal Process 2007, 2007, 048406. [Google Scholar] [CrossRef]
- Johnson, M.A.; Zarafonitis, I.P.; Calligaris, M. Prony analysis and power system stability-some recent theoretical and applications research. In Proceedings of the 2000 Power Engineering Society Summer Meeting (Cat. No. 00CH37134), Seattle, WA, USA, 16–20 July 2000; Volume 3, pp. 1918–1923. [Google Scholar] [CrossRef]
- MATLAB®; The MathWorks Inc.: Natick, MA, USA, 2020.
- Parks, T.W.; Burrus, C.S. Digital Filter Design; Wiley-Interscience: Hoboken, NJ, USA, 1987. [Google Scholar]
- Patel, V.S.; Bhil, S.K.; Kazi, F.S.; Wagh, S.R. Energy-sorted Prony analysis for identification of dominant low frequency oscillations. In Proceedings of the 2013 Australian Control Conference, Fremantle, WA, Australia, 4–5 November 2013; pp. 85–90. [Google Scholar] [CrossRef]
- Montenegro, P.A.; Neves, S.G.M.; Calçada, R.; Tanabe, M.; Sogabe, M. Wheel–rail contact formulation for analyzing the lateral train–structure dynamic interaction. Comput. Struct. 2015, 152, 200–214. [Google Scholar] [CrossRef]
- ANSYS®; ANSYS Inc.: Canonsburg, PA, USA, 2018.
- European Union. Europe’s Rail 2018. Available online: https://rail-research.europa.eu/%0A (accessed on 3 January 2023).
- ARTeMIS. ARTeMIS Extractor Pro—Academic License, User’s Manual, SVS. ARTeMIS: Aalborg, Denmark, 2009. [Google Scholar]





















| Span length L (m) | 7.0 | 11.0 | 11.5 | 23.5 |
| Mass of the bridge mL (t/m) | 16.51 | 17.62 | 16.86 | 17.99 |
| Concrete elasticity modulus Ec (GPa) | 36.10 | 36.10 | 36.10 | 36.10 |
| Moment of inertia I (m4) | 0.196 | 0.294 | 0.280 | 0.499 |
| Span length L (m) | 7.0 | 11.0 | 11.5 | 23.5 |
| First frequency f1 (Hz) | 20.03 | 9.49 | 8.61 | 2.19 |
| Second frequency f1 (Hz) | 53.42 | 31.76 | 29.34 | 8.22 |
| Third frequency f1 (Hz) | 84.33 | 56.60 | 53.35 | 17.58 |
| v (km/h) | Irregularity | f1 (Hz) | ξ1 (%) | f2 (Hz) | ξ2 (%) |
|---|---|---|---|---|---|
| 135 | February 2018 | 10.66 | 2.14 | 11.98 | 2.12 |
| 135 | September 2019 | 10.66 | 2.14 | 11.98 | 2.12 |
| 135 | July 2020 | - | - | 11.98 | 2.13 |
| 135 | October 2020 | - | - | 11.98 | 2.12 |
| 165 | February 2018 | - | - | 11.98 | 2.13 |
| 165 | September 2019 | 10.66 | 2.12 | 11.98 | 2.13 |
| 165 | July 2020 | 10.66 | 2.13 | 11.98 | 2.11 |
| 165 | October 2020 | 10.66 | 2.13 | 11.98 | 2.12 |
| No. | Name | No. of Spans | L (m) | No. of Tracks | Max. Speed (km/h) |
|---|---|---|---|---|---|
| 1 | Braço do Cortiço underpass | 1 | 7.02 | 2 | 160 |
| 2 | Vale da Negra underpass | 1 | 7.10 | 2 | 140 |
| 3 | Cascalheira underpass | 1 | 10.92 | 2 | 160 |
| 4 | Canelas bridge | 6 | 6 × 12.00 | 2 | 170 |
| Bridge | First Mode | Second Mode | Third Mode |
|---|---|---|---|
| Braço do Cortiço (L = 7.02 m) | ![]() f = 18.01 Hz ξ = 1.13% | ![]() f = 23.65 Hz ξ = 0.75% | ![]() f = 41.65 Hz ξ = 1.36% |
| Vale da Negra (L = 7.10 m) | f = 15.24 Hz ξ = 2.12% | f = 18.56 Hz ξ = 1.26% | |
| Cascalheira (L = 11.10 m) | ![]() f = 9.50 Hz ξ = 1.02% | ![]() f = 11.82 Hz ξ = 0.60% | |
| Canelas (L = 6 × 12 m) | ![]() f = 8.70 Hz ξ = 1.90% | ![]() f = 9.80 Hz ξ = 1.80% | ![]() f = 14.90 Hz ξ = 1.90% |
Disclaimer/Publisher’s Note: The statements, opinions and data contained in all publications are solely those of the individual author(s) and contributor(s) and not of MDPI and/or the editor(s). MDPI and/or the editor(s) disclaim responsibility for any injury to people or property resulting from any ideas, methods, instructions or products referred to in the content. |
© 2023 by the authors. Licensee MDPI, Basel, Switzerland. This article is an open access article distributed under the terms and conditions of the Creative Commons Attribution (CC BY) license (https://creativecommons.org/licenses/by/4.0/).
Share and Cite
Silva, A.; Ribeiro, D.; Montenegro, P.A.; Ferreira, G.; Andersson, A.; Zangeneh, A.; Karoumi, R.; Calçada, R. New Contributions for Damping Assessment on Filler-Beam Railway Bridges Framed on In2Track EU Projects. Appl. Sci. 2023, 13, 2636. https://doi.org/10.3390/app13042636
Silva A, Ribeiro D, Montenegro PA, Ferreira G, Andersson A, Zangeneh A, Karoumi R, Calçada R. New Contributions for Damping Assessment on Filler-Beam Railway Bridges Framed on In2Track EU Projects. Applied Sciences. 2023; 13(4):2636. https://doi.org/10.3390/app13042636
Chicago/Turabian StyleSilva, Artur, Diogo Ribeiro, Pedro Aires Montenegro, Gonçalo Ferreira, Andreas Andersson, Abbas Zangeneh, Raied Karoumi, and Rui Calçada. 2023. "New Contributions for Damping Assessment on Filler-Beam Railway Bridges Framed on In2Track EU Projects" Applied Sciences 13, no. 4: 2636. https://doi.org/10.3390/app13042636
APA StyleSilva, A., Ribeiro, D., Montenegro, P. A., Ferreira, G., Andersson, A., Zangeneh, A., Karoumi, R., & Calçada, R. (2023). New Contributions for Damping Assessment on Filler-Beam Railway Bridges Framed on In2Track EU Projects. Applied Sciences, 13(4), 2636. https://doi.org/10.3390/app13042636











