State Observer Based Robust Backstepping Fault-Tolerant Control of the Free-Floating Flexible-Joint Space Manipulator
Abstract
1. Introduction
2. The System’s Dynamics Modeling
3. Singular Perturbation Decomposition and Control Law Design
3.1. The Fast Subsystem
3.2. The Slow Subsystem
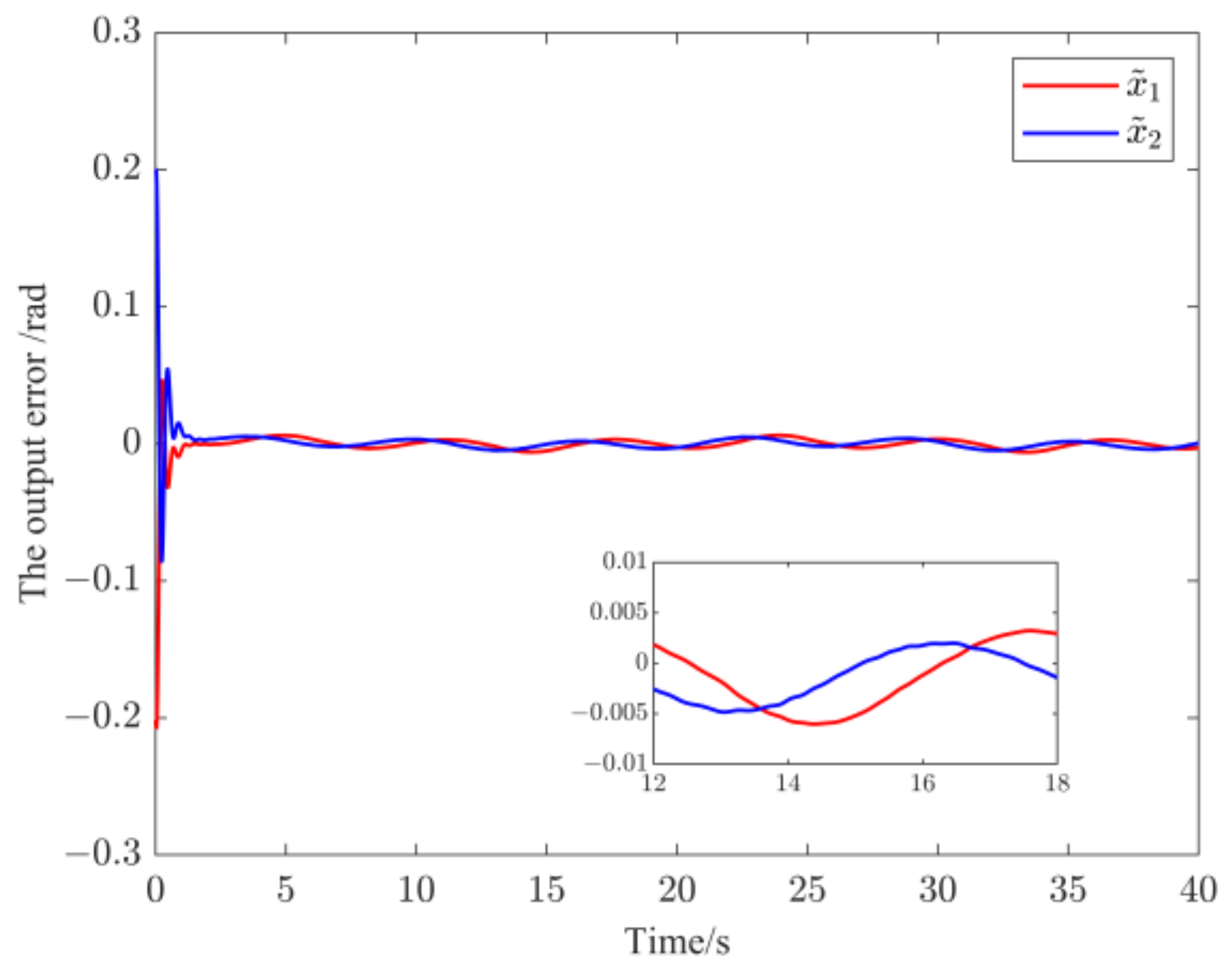
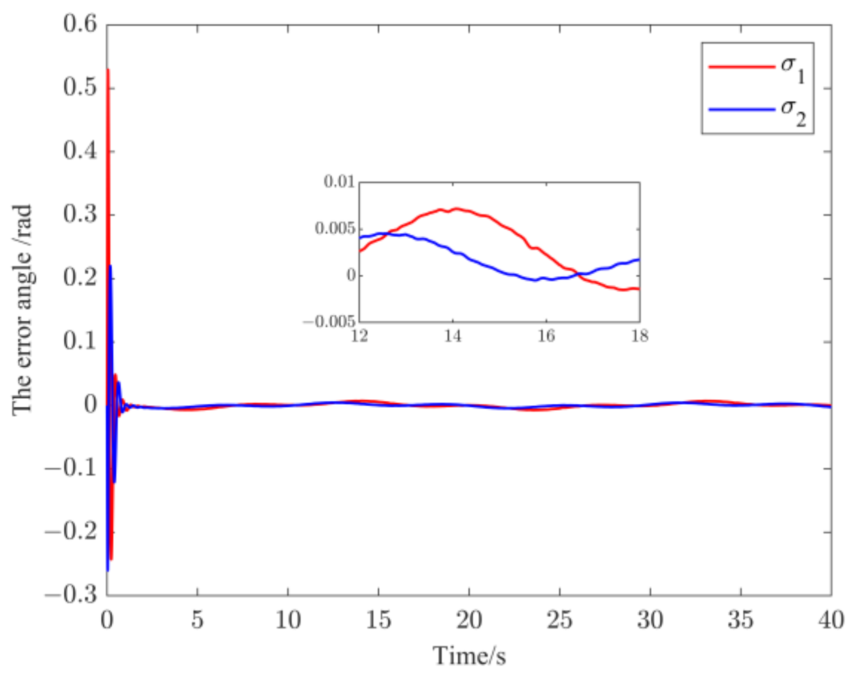
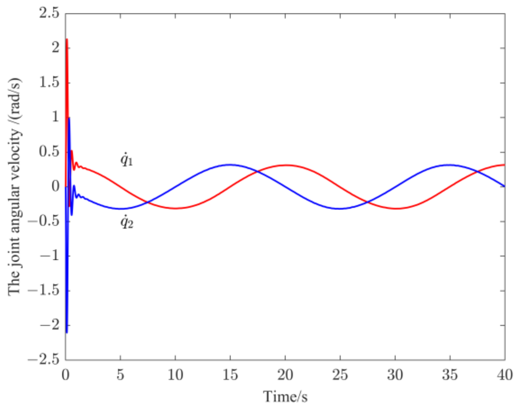
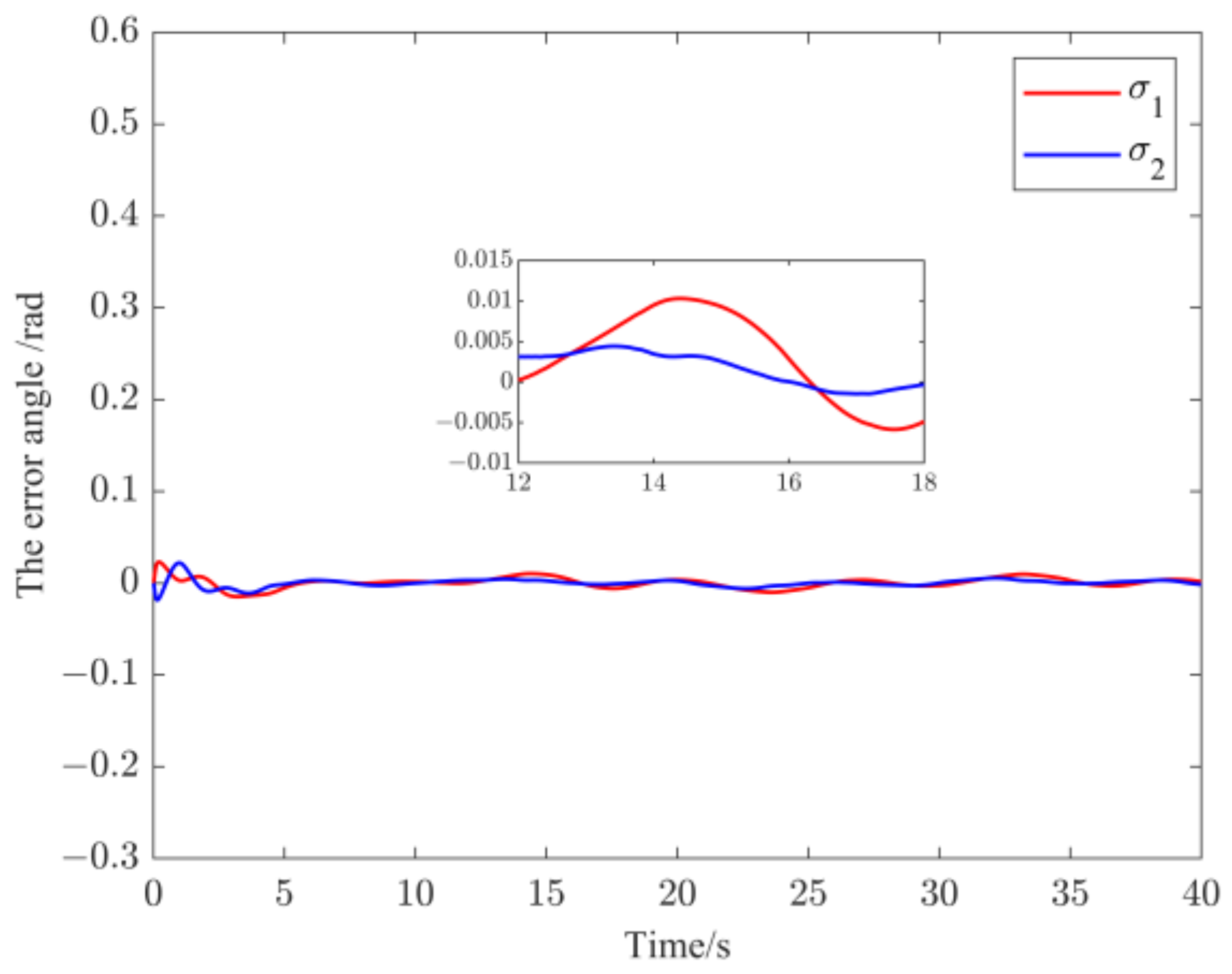
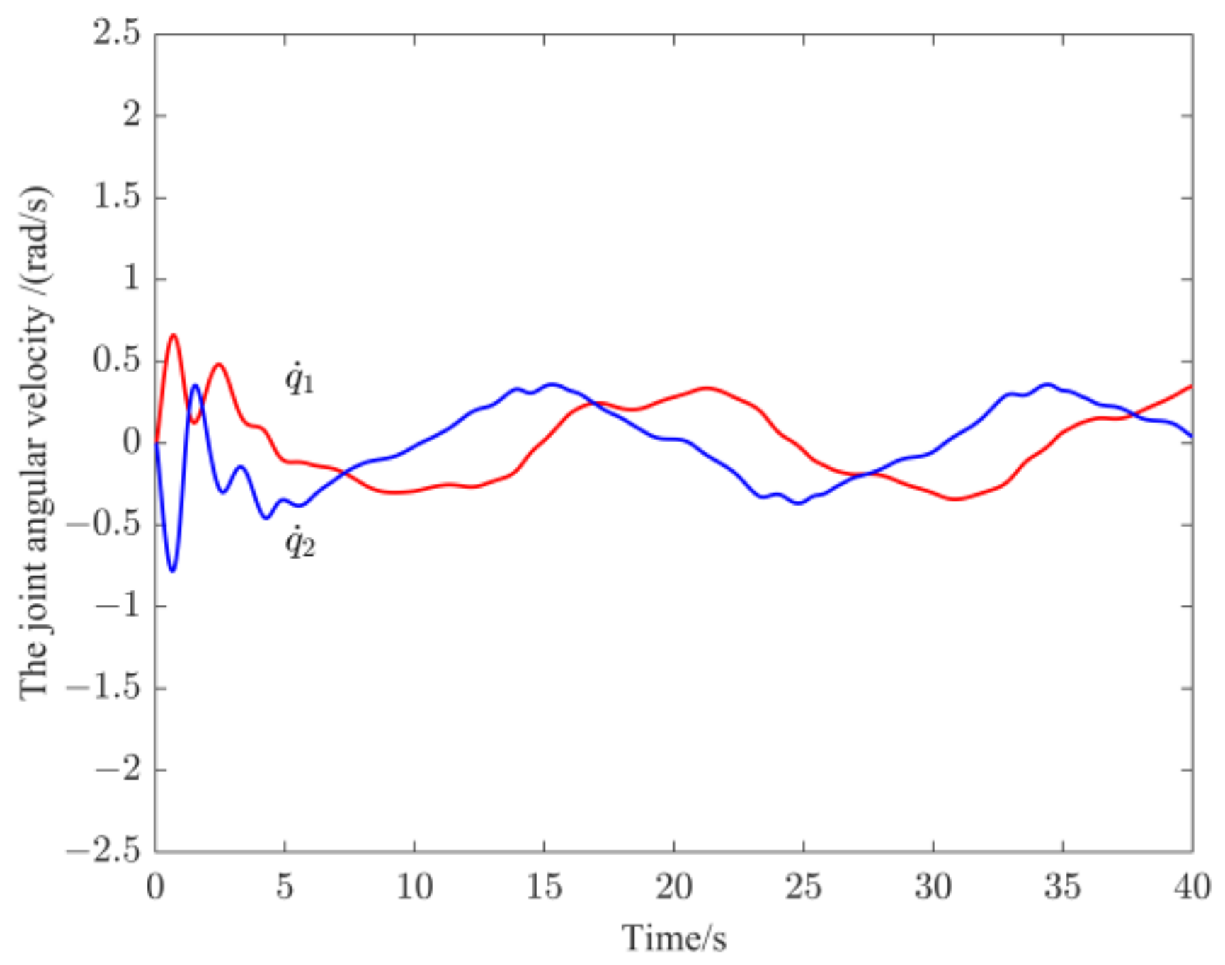
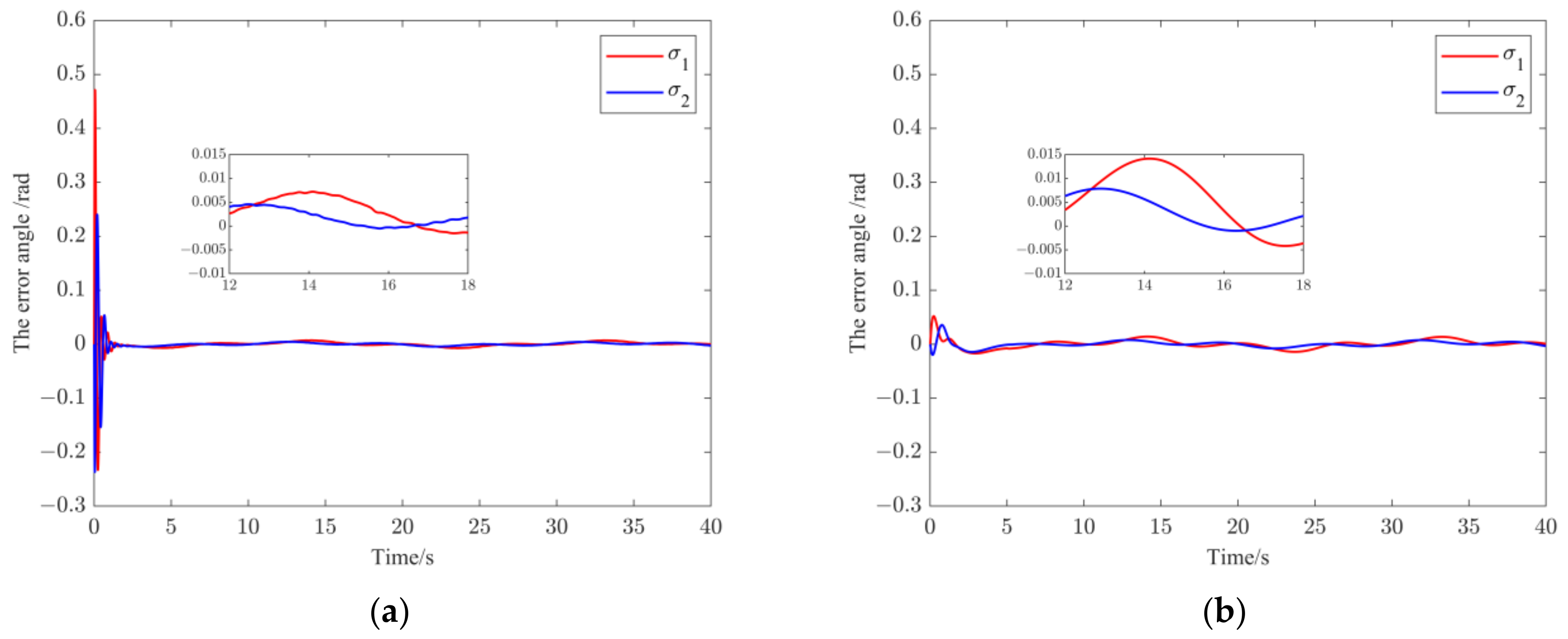
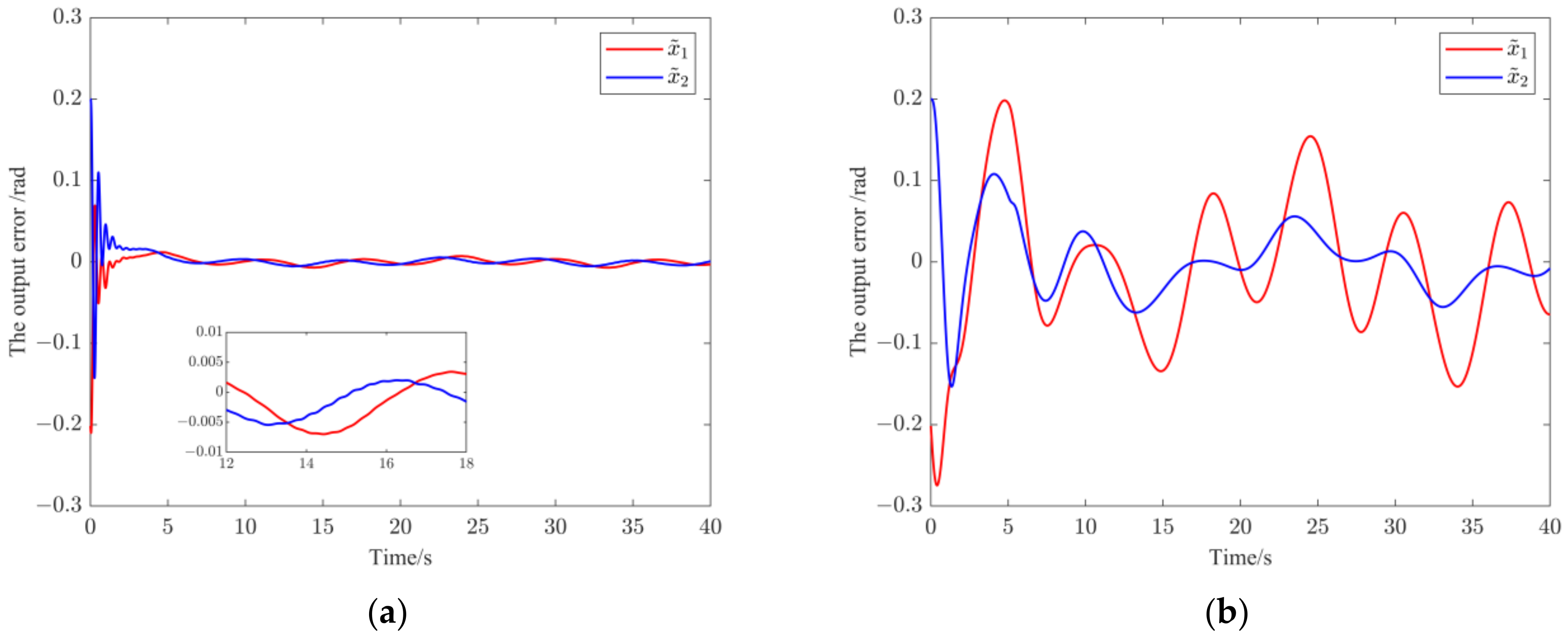
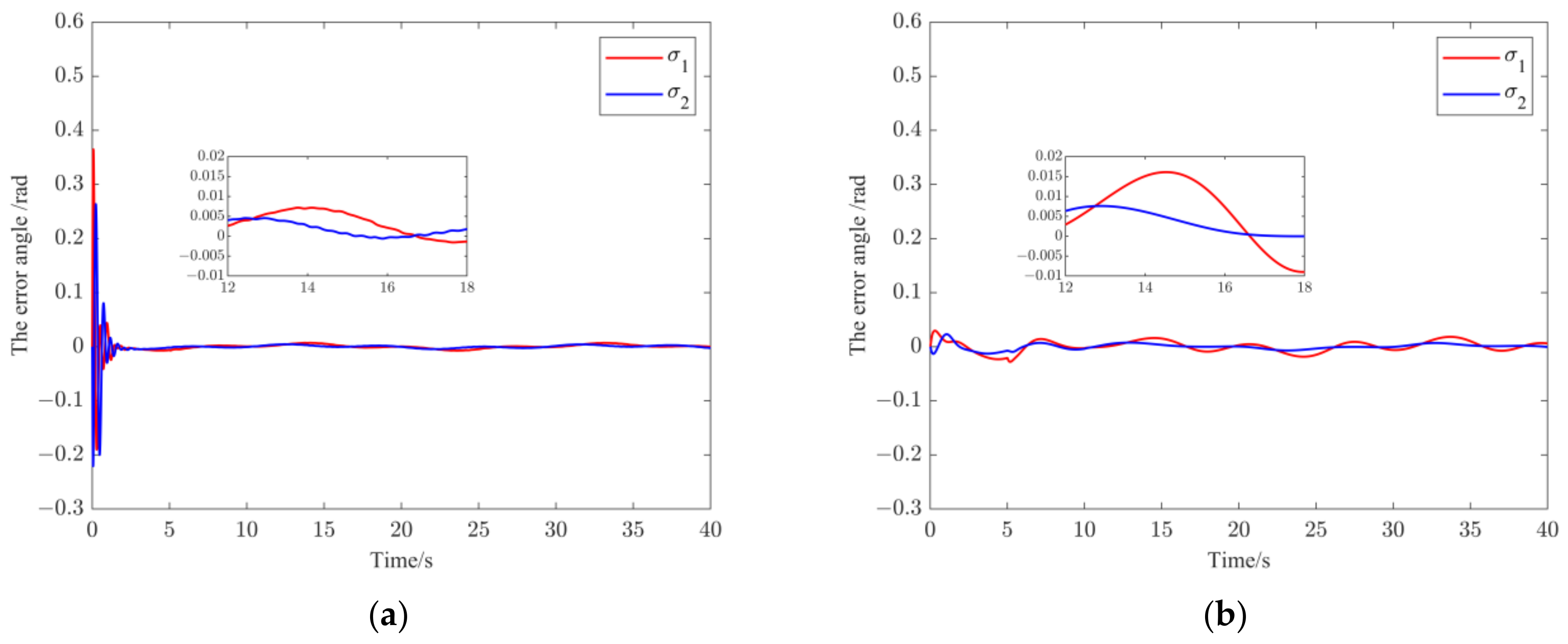
4. Simulation
5. Conclusions
Author Contributions
Funding
Institutional Review Board Statement
Informed Consent Statement
Data Availability Statement
Conflicts of Interest
References
- Shi, L.L.; Jayakoby, H.; Katupitiya, J.; Jin, X. Coordinated control of a dual-arm space robot. IEEE Robot. Autom. Mag. 2018, 25, 86–95. [Google Scholar] [CrossRef]
- Basmadji, F.L.; Seweryn, K.; Sasiadek, J.Z. Space robot motion planning in the presence of nonconserved linear and angular momenta. Multibody Syst. Dyn. 2020, 50, 71–96. [Google Scholar] [CrossRef]
- Zhou, Y.Q.; Luo, J.J.; Wang, M.M. Dynamic coupling analysis of multi-arm space robot. Acta Astronaut. 2019, 160, 583–593. [Google Scholar] [CrossRef]
- Kulakov, F.M. Methods of supervisory remote control over space robots. J. Comput. Syst. Sci. Int. 2018, 57, 822–839. [Google Scholar] [CrossRef]
- Zhao, S.P.; Siiciliano, B.; Zhu, Z.X.; Gutierrez-Giles, A.; Luo, J.J. Multi-waypoint-based path planning for free-floating space robots. Int. J. Robot. Autom. 2019, 34, 461–467. [Google Scholar] [CrossRef]
- Liu, X.F.; Zhang, X.Y.; Cai, G.P.; Chen, W.J. Capturing a space target using a flexible space robot. Appl. Sci. 2022, 12, 984. [Google Scholar] [CrossRef]
- Oda, M. Attitude control experiments of a robot satellite. J. Spacecr. Rocket. 2000, 37, 788–793. [Google Scholar] [CrossRef]
- Yu, X.Y. Augmented robust control of a free-floating flexible space robot. Proc. Inst. Mech. Eng. Part G-J. Aerosp. Eng. 2015, 229, 947–957. [Google Scholar] [CrossRef]
- Wang, G.; Shi, Z.C.; Shang, Y.; Sun, X.L.; Zhang, W.L.; Yu, Q.F. Precise monocular vision-based pose measurement system for lunar surface sampling manipulator. Sci. China-Technol. Sci. 2020, 62, 1783–1794. [Google Scholar] [CrossRef]
- Wei, J.; Cao, D.; Wang, L.; Huang, H.; Huang, W. Dynamic modeling and simulation for flexible spacecraft with flexible jointed solar panels. Int. J. Mech. Sci. 2017, 130, 558–570. [Google Scholar] [CrossRef]
- Ahmadi, S.; Fateh, M.M. Control of flexible joint robot manipulators by compensating flexibility. Iran. J. Fuzzy Syst. 2018, 15, 57–71. [Google Scholar]
- Meng, D.; She, Y.; Xu, W.; Lu, W.; Liang, B. Dynamic modeling and vibration characteristics analysis of flexible-link and flexible-joint space manipulator. Multibody Syst. Dyn. 2018, 43, 321–347. [Google Scholar] [CrossRef]
- Rsetam, K.; Cao, Z.; Man, Z. Cascaded extended state observer based sliding mode control for underactuated flexible joint robot. IEEE Trans. Ind. Electron. 2020, 67, 10822–10832. [Google Scholar] [CrossRef]
- Sun, W.; Su, S.F.; Xia, W.; Nguyen, V.T. Adaptive fuzzy tracking control of flexible-joint robots with full-state constraints. IEEE Trans. Syst. Man Cybern. -Syst. 2019, 49, 2201–2209. [Google Scholar] [CrossRef]
- He, W.; Yan, Z.C.; Sun, Y.K.; Ou, Y.S.; Sun, C.Y. Neural-learning-based control for a constrained robotic manipulator with flexible joints. IEEE Trans. Neural Netw. Learn. Syst. 2018, 29, 5993–6003. [Google Scholar] [CrossRef]
- Ling, S.; Wang, H.Q.; Liu, P.X. Adaptive fuzzy dynamic surface control of flexible-joint robot systems with input saturation. IEEE-CAA J. Autom. Sin. 2019, 6, 97–106. [Google Scholar] [CrossRef]
- Kim, J.; Croft, E.A. Full-state tracking control for flexible joint robots with singular perturbation techniques. IEEE Trans. Control Syst. Technol. 2019, 27, 63–73. [Google Scholar] [CrossRef]
- Ma, H.; Zhou, Q.; Li, H.Y.; Lu, R.Q. Adaptive prescribed performance control of a flexible-joint robotic manipulator with dynamic uncertainties. IEEE Trans. Cybern. 2022, 52, 12905–12915. [Google Scholar] [CrossRef]
- Diao, S.Z.; Sun, W.; Su, S.F.; Xia, J.W. Adaptive fuzzy event-triggered control for single-link flexible-joint robots with actuator failures. IEEE Trans. Cybern. 2021, 52, 7231–7241. [Google Scholar] [CrossRef]
- Zhang, D.G.; Angeles, J. Impact dynamics of flexible-joint robots. Comput. Struct. 2005, 83, 25–33. [Google Scholar] [CrossRef]
- Zhan, B.W.; Jin, M.H.; Liu, J. Extended-state-observer-based adaptive control of flexible-joint space manipulators with system uncertainties. Adv. Space Res. 2022, 69, 3088–3102. [Google Scholar] [CrossRef]
- Liu, L.X.; Hong, M.Q.; Gu, X.T.; Ding, M.; Guo, Y. Fixed-time anti-saturation compensators based impedance control with finite-time convergence for a free-flying flexible-joint space robot. Nonlinear Dyn. 2022, 109, 1671–1691. [Google Scholar] [CrossRef]
- Xie, L.M.; Yu, X.Y.; Chen, L. Robust fuzzy sliding mode control and vibration suppression of free-floating flexible-link and flexible-joints space manipulator with external interference and uncertain parameter. Robotica 2022, 40, 997–1019. [Google Scholar] [CrossRef]
- Liu, L.X.; Yao, W.; Guo, Y. Prescribed performance tracking control of a free-flying flexible-joint space robot with disturbances under input saturation. J. Frankl. Inst. -Eng. Appl. Math. 2021, 358, 4571–4601. [Google Scholar] [CrossRef]
- Chen, Z.; Li, Z. Dual-adaptive control of flexible-base flexible-joint space robot. J. Huazhong Univ. Sci. Technol. (Nat. Sci. Ed.) 2019, 47, 32–38. [Google Scholar]
- Le, Q.D.; Kang, H.J. Implementation of fault-tolerant control for a robot manipulator based on synchronous sliding mode control. Appl. Sci. 2020, 10, 2534. [Google Scholar] [CrossRef]
- Tan, N.; Zhong, Z.H.; Yu, P.; Li, Z.; Ni, F.L. A discrete model-free scheme for fault-tolerant tracking control of redundant manipulators. IEEE Trans. Ind. Inform. 2022, 18, 8595–8606. [Google Scholar] [CrossRef]
- Van, M.; Ceglarek, D. Robust fault tolerant control of robot manipulators with global fixed-time convergence. J. Frankl. Inst. -Eng. Appl. Math. 2021, 358, 699–722. [Google Scholar] [CrossRef]
- Lu, Z.P.; Li, Y.; Fan, X.R.; Li, Y.C. Decentralized fault tolerant control for modular robot manipulators via integral terminal sliding mode and disturbance observer. Int. J. Control Autom. Syst. 2022, 20, 3274–3284. [Google Scholar] [CrossRef]
- Liu, L.Z.; Zhang, L.Y.; Wang, Y.M.; Hou, Y.L. A novel robust fixed-time fault-tolerant tracking control of uncertain robot manipulators. IET Control Theory Appl. 2021, 15, 195–208. [Google Scholar] [CrossRef]
- Meng, Y.J.; Yang, H.; Jiang, B. Multi-model switching-based fault tolerant control for planar robot manipulators. IET Control Theory Appl. 2020, 14, 1–11. [Google Scholar] [CrossRef]
- Zhang, S.; Li, Y.Y.; Liu, S.; Shi, X.R.; Chai, H.; Cui, Y.G. A review on fault-tolerant control for robots. In Proceedings of the IEEE 2020 35th Youth Academic Annual Conference of Chinese Association of Automation (YAC), Zhanjiang, China, 16–18 October 2020; pp. 423–427. [Google Scholar]
- Wu, C.; Liu, J.; Xiong, Y.; Wu, L. Observer-based adaptive fault-tolerant tracking control of nonlinear nonstrict-feedback systems. IEEE Trans. Neural Netw. Learn. Syst. 2018, 29, 3022–3033. [Google Scholar] [CrossRef]
- Li, Y.X. Finite time command filtered adaptive fault tolerant control for a class of uncertain nonlinear systems. Automatica 2019, 106, 117–123. [Google Scholar] [CrossRef]
- Lei, R.H.; Chen, L. Adaptive fault-tolerant control based on boundary estimation for space robot under joint actuator faults and uncertain parameters. Def. Technol. 2019, 15, 964–971. [Google Scholar] [CrossRef]
- Yu, Z.W.; Cai, G.P. Dynamics modelling and fault tolerant control of 6-DOF space robot with flexible panels. Int. J. Robot. Autom. 2018, 33, 662–671. [Google Scholar]
- Lei, R.H.; Chen, L. Decentralized fault-tolerant control and vibration suppression for the elastic-base space robot with actuator faults and uncertain dynamics. J. Vib. Eng. Technol. 2021, 9, 2121–2131. [Google Scholar] [CrossRef]
- Lei, R.H.; Chen, L. Observer-based adaptive sliding mode fault-tolerant control for the underactuated space robot with joint actuator gain faults. Kybernetika 2021, 57, 160–173. [Google Scholar] [CrossRef]
- Spong M, W. Robot Dynamics and Control; John Wiley and Sons: New York, NY, USA, 1989. [Google Scholar]
- Lu, K.F.; Xia, Y.Q. Adaptive attitude tracking control for rigid spacecraft with finite-time convergence. Automatica 2013, 49, 3591–3599. [Google Scholar] [CrossRef]
- Chen, T.; Shan, J.; Wen, H. Distributed adaptive attitude control for networked underactuated flexible spacecraft. IEEE Trans. Aerosp. Electron. Syst. 2019, 55, 215–225. [Google Scholar] [CrossRef]
- Nicosia, S.; Tomei, P. Robot control by using only joint position measurements. IEEE Trans. Autom. Control 1990, 35, 1058–1061. [Google Scholar] [CrossRef]
- Cao, L.; Li, H.; Wang, N.; Zhou, Q. Observer-based event-triggered adaptive decentralized fuzzy control for nonlinear large-scale systems. IEEE Trans. Fuzzy Syst. 2019, 27, 1201–1214. [Google Scholar] [CrossRef]
- Li, Y.X.; Yang, G.H. Observer-based fuzzy adaptive event-triggered control co-design for a class of uncertain nonlinear systems. IEEE Trans. Fuzzy Syst. 2018, 26, 1589–1599. [Google Scholar] [CrossRef]
- Angel, L.; Viala, J. Tracking control for robotic manipulators using fractional order controllers with computed torque control. IEEE Lat. Am. Trans. 2018, 16, 1884–1891. [Google Scholar]























| Body | Mass (kg) | Length (m) | Moment of Inertia | Stiffness Coefficient |
|---|---|---|---|---|
| base | 40 | 1.5 | 34.17 | |
| Link | 2 | 3 | 1.5 | |
| Link | 1 | 3 | 0.75 | |
| Motor rotor | 0 | 0 | 0.5 | 100 |
| load | uncertain | uncertain |
| The control parameters | |
|---|---|
| The desired trajectories | , |
| The system initial values | , |
| The external disturbance | |
| The simulation time |
| RBFTHC | −4.6~5.1 | −4.6~5.8 |
| is off | −100~80 | −10~10 |
| is off |
| RBFTHC | −6~3 | −1.5~7 |
| CTC | −46~63 | −4~14 |
| RBFTHC | −7~3 | −1.5~7 |
| CTC | −153~198 | −9~16 |
Disclaimer/Publisher’s Note: The statements, opinions and data contained in all publications are solely those of the individual author(s) and contributor(s) and not of MDPI and/or the editor(s). MDPI and/or the editor(s) disclaim responsibility for any injury to people or property resulting from any ideas, methods, instructions or products referred to in the content. |
© 2023 by the authors. Licensee MDPI, Basel, Switzerland. This article is an open access article distributed under the terms and conditions of the Creative Commons Attribution (CC BY) license (https://creativecommons.org/licenses/by/4.0/).
Share and Cite
Xie, L.; Yu, X. State Observer Based Robust Backstepping Fault-Tolerant Control of the Free-Floating Flexible-Joint Space Manipulator. Appl. Sci. 2023, 13, 2634. https://doi.org/10.3390/app13042634
Xie L, Yu X. State Observer Based Robust Backstepping Fault-Tolerant Control of the Free-Floating Flexible-Joint Space Manipulator. Applied Sciences. 2023; 13(4):2634. https://doi.org/10.3390/app13042634
Chicago/Turabian StyleXie, Limin, and Xiaoyan Yu. 2023. "State Observer Based Robust Backstepping Fault-Tolerant Control of the Free-Floating Flexible-Joint Space Manipulator" Applied Sciences 13, no. 4: 2634. https://doi.org/10.3390/app13042634
APA StyleXie, L., & Yu, X. (2023). State Observer Based Robust Backstepping Fault-Tolerant Control of the Free-Floating Flexible-Joint Space Manipulator. Applied Sciences, 13(4), 2634. https://doi.org/10.3390/app13042634

