A Primer on CFD-DEM for Polymer-Filled Suspensions
Abstract
:1. Introduction
2. Single-Phase Fluid Flows
2.1. Governing Equations
2.2. Analytical Torque Profiles
2.3. Numerical Procedure and Meshes
2.4. Single-Phase Fluid Model Assessment
3. Particle-Laden Flows
3.1. Governing Equations for the Dispersed Phase (DEM)
3.2. Governing Equations for the Continuum Phase (CFD)
4. Rheology of Filled Systems
5. Conclusions
- The numerically calculated torque for a Newtonian fluid and a fixed radius shows a linear profile, with the torque increasing with the increasing shear rate;
- The numerically calculated torque for a power law fluid and a fixed radius shows a non-linear profile, with the torque also increasing with the increasing shear rate. In this case, the torque depends on the shear rate to the power of n (power law constant), i.e., . For highly thinning fluids, the torque shows a slow increase;
- The torque depends on the radius (r) of the plates. It depends on for the Newtonian fluid and on for the power law fluid. This means that the torque suffers drastic changes when the fluid goes from shear thinning to shear thickening (or vice-versa).
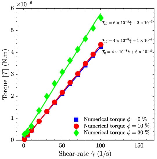
- The numerical results agree with those measured experimentally and show a yield stress phenomenon with the increase of the volume fraction of the particles;
- The torque increases with the number of solid particles in the suspension because the presence of particles leads to more flow resistance. This resistance is further increased by the interaction between the particles, the drag of the particles, and gravity;
- At higher shear rates, the influences of different particle percentages on the torque are more pronounced. For a shear rate of 100 , we see that the increase in torque (compared to the case of the fluid with no particles) is 5% for and 35% for .
Author Contributions
Funding
Institutional Review Board Statement
Informed Consent Statement
Data Availability Statement
Acknowledgments
Conflicts of Interest
Abbreviations
| CFD | computational fluid dynamics |
| DEM | discrete element method |
| LIGGGHTS | LAMMPS improved for general granular and granular heat transfer simulations |
| OpenFOAM | open-source field operation and manipulation |
References
- Sagis, L.M.; van der Linden, E. Viscoelastic materials with anisotropic rigid particles: Stress-deformation behavior. Phys. A Stat. Mech. Its Appl. 2001, 297, 303–320. [Google Scholar] [CrossRef]
- Wang, Z.; Wang, W.; Ni, J.; Sun, X.; Guo, J.; Su, X.; Luo, X. Particle erosion behavior in viscoelastic surfactant abrasive slurry jetting. Powder Technol. 2023, 416, 118230. [Google Scholar] [CrossRef]
- Rutgers, R. Relative viscosity of suspensions of rigid spheres in Newtonian liquids. Rheol. Acta 1962, 2, 202–210. [Google Scholar] [CrossRef]
- Rutgers, R. Relative viscosity and concentration. Rheol. Acta 1962, 2, 305–348. [Google Scholar] [CrossRef]
- Thomas, D. Transport characteristics of suspension: A note on the viscosity of Newtonian suspensions of uniform spherical particles. J. Colloid Sci. 1965, 20, 267–277. [Google Scholar] [CrossRef]
- Stickel, J.; Powell, R. Fluid mechanics and rheology of dense suspensions. Annu. Rev. Fluid Mech. 2005, 37, 129–149. [Google Scholar] [CrossRef]
- Chong, J.; Christiansen, E.; Baer, A. Rheology of concentrated suspensions. J. Appl. Polym. Sci. 1971, 15, 2007–2021. [Google Scholar] [CrossRef]
- Mueller, S.; Llewellin, E.; Mader, H. The rheology of suspensions of solid particles. Proc. R. Soc. A 2010, 466, 1201–1228. [Google Scholar] [CrossRef]
- Yu, A. Powder processing-models and simulation. In Encyclopedia of Condensed Matter Physics; Bassani, F., Liedl, G.L., Wyder, P., Eds.; Elsevier: Amsterdam, The Netherlands, 2005; pp. 401–414. [Google Scholar]
- Gidaspow, D. Multiphase Flow and Fluidisation: Continuum and Kinetic Theory Descriptions, 1st ed.; Academic Press: Boston, MA, USA, 1994. [Google Scholar]
- Tsuji, Y.; Kawaguchi, T.; Tanaka, T. Discrete particle simulation of 2- dimensional fluidised-bed. Powder Technol. 1993, 77, 79–87. [Google Scholar] [CrossRef]
- Di Renzo, A.; Di Maio, F. Homogeneous and bubbling fluidisation regimes in DEM-CFD simulations: Hydrodynamic stability of gas and liquid fluidised beds. Chem. Eng. Sci. 2007, 62, 116–130. [Google Scholar] [CrossRef]
- Goniva, C.; Kloss, C.; Hager, A.; Pirker, S. An Open Source CFD-DEM Perspective. In Proceedings of the 5th OpenFOAM Workshop, Göteborg, Sweden, 21–24 June 2010. [Google Scholar]
- Kloss, C.; Goniva, C.; Pirker, S. LIGGGHTS and CFDEM coupling—Modelling of macroscopic particle processes based on LAMMPS technology. In Proceedings of the DEM6 Conference, Golden, CO, USA, 5 August 2013. [Google Scholar]
- Poslinski, A.J.; Ryan, M.E.; Gupta, R.K.; Seshadri, S.G.; Frechette, F.J. Rheological Behavior of Filled Polymeric Systems I. Yield Stress and Shear Thinning Effects. J. Rheol. 1988, 32, 703–735. [Google Scholar] [CrossRef]
- Smuts, M.; Deglon, A.; Meyer, J. Methodology for CFD-DEM Modelling of Particulate Suspension Rheology. In Proceedings of the 9th International Conference on CFD in the Minerals and Process Industries, Melbourne, Australia, 10–12 December 2012. [Google Scholar]
- Bossis, G.; Brady, J.F. Dynamic simulation of sheared suspensions. I. General method. J. Chem. Phys. 1984, 80, 5141–5154. [Google Scholar] [CrossRef]
- Brady, J.F.; Bossis, G. The rheology of concentrated suspensions of spheres in simple shear flow by numerical simulation. J. Fluid Mech. 1985, 155, 105. [Google Scholar] [CrossRef]
- Doi, M.; Chen, D. Simulation of aggregating colloids in shear flow. J. Chem. Phys. 1989, 90, 5271–5279. [Google Scholar] [CrossRef]
- Brady, J.F. The rheological behavior of concentrated colloidal dispersions. J. Chem. Phys. 1993, 99, 567–581. [Google Scholar] [CrossRef]
- Yamamoto, S.; Matsuoka, T. Viscosity of dilute suspensions of rodlike particles: A numerical simulation method. J. Chem. Phys. 1994, 100, 3317–3324. [Google Scholar] [CrossRef]
- Woodcock, L.V. Origins of shear dilatancy and shear thickening phenomena. Chem. Phys. Lett. 1984, 111, 455–461. [Google Scholar] [CrossRef]
- Starr, F.W.; Douglas, J.F.; Glotzer, S.C. Origin of Particle Clustering in a Simulated Polymer Nanocomposite and Its Impact on Rheology. J. Chem. Phys. 2003, 119, 1777–1788. [Google Scholar] [CrossRef]
- Koelman, J.M.V.A.; Hoogerbrugge, P.J. Dynamic Simulations of Hard-Sphere Suspensions Under Steady Shear. Europhys. Lett. 1993, 21, 363–368. [Google Scholar] [CrossRef]
- Boek, E.S.; Coveney, P.V.; Lekkerkerker, H.N.W.; van der Schoot, P. Simulating the rheology of dense colloidal suspensions using dissipative particle dynamics. Phys. Rev. E. 1997, 55, 3124–3133. [Google Scholar] [CrossRef]
- Mari, R.; Seto, R.; Morris, J.F.; Denn, M.M. Shear thickening, frictionless and frictional rheologies in non-Brownian suspensions. J. Rheol. 2014, 58, 1693–1724. [Google Scholar] [CrossRef]
- Seto, R.; Mari, R.; Morris, J.F.; Denn, M.M. Discontinuous shear thickening of frictional hard-sphere suspensions. Phys. Rev. Lett. 2013, 111, 218301. [Google Scholar] [CrossRef]
- Ness, C.; Sun, J. Flow regime transitions in dense non-Brownian suspensions: Rheology, microstructural characterization, and constitutive modeling. Phys. Rev. E Stat. Nonlinear Soft Matter Phys. 2015, 91, 012201. [Google Scholar] [CrossRef] [PubMed]
- Ness, C.; Sun, J. Shear thickening regimes of dense non-Brownian suspensions. Soft Matter. 2016, 12, 914–924. [Google Scholar] [CrossRef]
- Pähtz, T.; Durán, O.; de Klerk, D.N.; Govender, I.; Trulsson, M. Local Rheology Relation with Variable Yield Stress Ratio across Dry, Wet, Dense, and Dilute Granular Flows. Phys. Rev. Lett. 2019, 123, 048001. [Google Scholar] [CrossRef] [PubMed]
- Shimosaka, A.; Shirakawa, Y.; Hidaka, J. Prediction of Viscosity of Slurry Suspended Fine Particles Using Coupled DEM-DNS Simulation. Chem. Eng. Trans. 2013, 2013, 2089–2094. [Google Scholar]
- Smuts, E.M. A Methodology for Coupled CFD-DEM Modelling of Particulate Suspension Rheology. Ph.D. Thesis, University of Cape Town, Cape Town, South Africa, 2015. [Google Scholar]
- Batchelor, G.K. The stress system in a suspension of force-free particles. J. Fluid Mech. 1970, 41, 545. [Google Scholar] [CrossRef]
- Finke, B.; Kwade, A.; Schilde, C. Numerical Simulation of the Rheological Behavior of Nanoparticulate Suspensions. Materials 2020, 13, 4288. [Google Scholar] [CrossRef]
- Morrison, F. An Introduction to Fluid Dynamics, 1st ed.; Cambridge University Press: New York, NY, USA, 2013. [Google Scholar]
- Issa, R.I. Solution of the implicitly discretised fluid flow equations by operator-splitting. J. Comput. Phys. 1986, 62, 40–65. [Google Scholar] [CrossRef]
- CFD Direct: The Architects of OpenFOAM. Available online: Https://doc.cfd.direct/openfoam/user-guide-v6/post-processing-cli (accessed on 5 January 2023).
- Celik, B.; Ghia, U.; Roache, P.J.; Freitas, C.J.; Coleman, H.; Raad, P.E. Procedure for Estimation and Reporting of Uncertainty Due to Discretization in CFD Applications. J. Fluids Eng. 2008, 130, 1–4. [Google Scholar]
- Fernandes, C.; Semyonov, D.; Ferrás, L.L.; Nóbrega, J.M. Validation of the CFD-DPM solver DPMFoam in OpenFOAM through analytical, numerical and experimental comparisons. Granul. Matter 2018, 20, 64. [Google Scholar] [CrossRef]
- Fernandes, C.; Faroughi, S.A.; Ribeiro, R.; Isabel, A.; McKinley, G.H. Finite volume simulations of particle-laden viscoelastic fluid flows: Application to hydraulic fracture processes. Eng. Comput. 2022, 38, 5395–5421. [Google Scholar] [CrossRef]
- Fernandes, C.; Faroughi, S.A.; Carneiro, O.S.; Nóbrega, J.M.; McKinley, G.H. Fully-resolved simulations of particle-laden viscoelastic fluids using an immersed boundary method. J. Non-Newton. Fluid. Mech. 2019, 266, 80–94. [Google Scholar] [CrossRef]
- Cundall, P.A.; Strack, O. A discrete numerical model for granular assemblies. Géotechnique 1979, 29, 47–65. [Google Scholar] [CrossRef]
- Tsuji, Y.; Tanaka, T.; Ishida, T. Lagrangian numerical simulation of plug flow of cohesionless particles in a horizontal pipe. Powder Technol. 1992, 71, 239–250. [Google Scholar] [CrossRef]
- Deen, N.G.; Van Sint Annaland, M.; Van der Hoef, M.A.; Kuipers, J.A.M. Review of discrete particle modeling of fluidized beds. Chem. Eng. Sci. 2007, 62, 28–44. [Google Scholar] [CrossRef]
- Hertz, H. Über die Berührung fester elastischer Körper (On the contact of elastic solids.). J. Fur Die Reine Und Angew. Math. 1882, 92, 156–171. [Google Scholar] [CrossRef]
- Zhu, H.P.; Zhou, Z.Y.; Yang, R.Y.; Yu, A.B. Discrete particle simulation of particulate systems: Theoretical developments. Chem. Engng. Sci. 2007, 62, 3378–3396. [Google Scholar] [CrossRef]
- Zhou, Z.; Kuang, S.; Chu, K.; Yu, A. Discrete particle simulation of particle-fluid flow: Model formulations and their applicability. J. Fluid Mech. 2010, 661, 482–510. [Google Scholar] [CrossRef]
- Di Felice, R. The voidage function for fluid-particle interaction systems. Int. J. Multiph. Flow 1994, 20, 153–159. [Google Scholar] [CrossRef]
- Crowe, C.; Schwartzkopf, J.D.; Sommerfeld, M.; Tsuji, Y. Multiphase Flows with Droplets and Particles Flows, 2nd ed.; CRC Press: Boca Raton, FL, USA, 2011. [Google Scholar]
- Blais, B.; Lassaigne, M.; Goniva, C.; Fradette, L.; Bertrand, F. Development of an unresolved CFD–DEM model for the flow of viscous suspensions and its application to solid–liquid mixing. J. Comput. Phys. 2016, 318, 201–221. [Google Scholar] [CrossRef]








Disclaimer/Publisher’s Note: The statements, opinions and data contained in all publications are solely those of the individual author(s) and contributor(s) and not of MDPI and/or the editor(s). MDPI and/or the editor(s) disclaim responsibility for any injury to people or property resulting from any ideas, methods, instructions or products referred to in the content. |
© 2023 by the authors. Licensee MDPI, Basel, Switzerland. This article is an open access article distributed under the terms and conditions of the Creative Commons Attribution (CC BY) license (https://creativecommons.org/licenses/by/4.0/).
Share and Cite
Fernandes, C.; Ferrás, L.L.; Afonso, A. A Primer on CFD-DEM for Polymer-Filled Suspensions. Appl. Sci. 2023, 13, 2466. https://doi.org/10.3390/app13042466
Fernandes C, Ferrás LL, Afonso A. A Primer on CFD-DEM for Polymer-Filled Suspensions. Applied Sciences. 2023; 13(4):2466. https://doi.org/10.3390/app13042466
Chicago/Turabian StyleFernandes, Célio, Luís L. Ferrás, and Alexandre Afonso. 2023. "A Primer on CFD-DEM for Polymer-Filled Suspensions" Applied Sciences 13, no. 4: 2466. https://doi.org/10.3390/app13042466
APA StyleFernandes, C., Ferrás, L. L., & Afonso, A. (2023). A Primer on CFD-DEM for Polymer-Filled Suspensions. Applied Sciences, 13(4), 2466. https://doi.org/10.3390/app13042466
