A New Effective Narrowband Active Noise Control System for Accommodating Frequency Mismatch
Abstract
:1. Introduction
2. Materials and Methods
2.1. The Conventional NANC System
2.2. The Limitations of Conventional NANC System
2.3. NANC System with AR Model
2.4. NANC System with MLMS
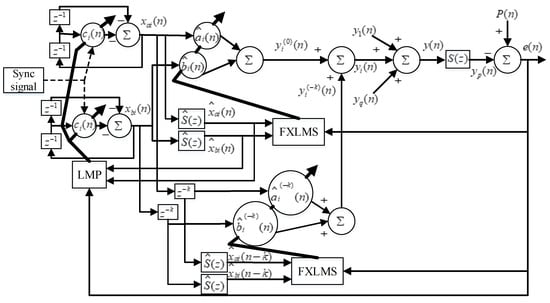
3. Proposed Algorithm
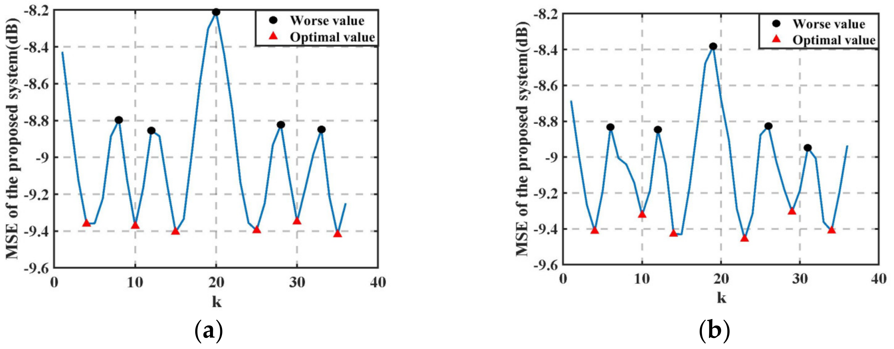
3.1. The Relationship between MSE and Delay Unit
3.2. Stability Analysis in the Mean Sense
4. Simulation Results and Discussion
4.1. Simulation 1: The MSE of All NANC System
4.2. Simulation 2: The Tracking Performance of NANC System
4.3. Simulation 3: Power Spectrum Density
5. Conclusions
Author Contributions
Funding
Institutional Review Board Statement
Informed Consent Statement
Data Availability Statement
Conflicts of Interest
References
- Wang, X.; Bian, H.; Dong, Y.; Kang, N.; Hu, W. Risk assessment of noise-induced hearing loss among workers in railway transportation equipment manufacturing enterprises. Wei Sheng Yan Jiu J. Hyg. Res. 2022, 51, 904–910. [Google Scholar] [CrossRef]
- Mohd, S.M.A.; Zinnirah, W.; Kamaliana, K.N. Effects of Noise Hazards towards Physiology Especially Heart Rate Performance among Worker in Manufacturing Industry and Their Prevention Strategies: A Systematic Review. Iran. J. Public Health 2022, 51, 1706–1717. [Google Scholar] [CrossRef]
- Al-Harthy, N.A.; Abugad, H.; Zabeeri, N.; Alghamdi, A.A.; Al Yousif, G.F.; Magdy, A. Darwish. Noise Mapping, Prevalence and Risk Factors of Noise-Induced Hearing Loss among Workers at Muscat International Airport. Int. J. Environ. Res. Public Health 2022, 19, 7952. [Google Scholar] [CrossRef]
- Levak, K.; Horvat, M.; Domitrovic, H. Effects of noise on humans. In Proceedings of the 2008 50th International Symposium ELMAR, Borik Zadar, Croatia, 10–12 September 2008; pp. 333–336. [Google Scholar]
- Ho, C.Y.; Shyu, K.K.; Chang, C.Y.; Kuo, S.M. Efficient narrowband noise cancellation system using adaptive line enhancer. IEEE/ACM Trans. Audio Speech Lang. Process. 2020, 28, 1094–1103. [Google Scholar] [CrossRef]
- Pedro, R.L.; Raúl, M.F.; Fernando, A.M.; Guillermo, P.-N. An Alternative Approach to Obtain a New Gain in Step-Size of LMS Filters Dealing with Periodic Signals. Appl. Sci. 2021, 11, 5618. [Google Scholar]
- Wen, L.; Huang, B.; Pedro, R.L.; Raúl, M.F.; Fernando, A.M.; Guillermo, P.N. Modified Filtered-X Hierarchical LMS Algorithm with Sequential Partial Updates for Active Noise Control. Appl. Sci. 2020, 11, 344. [Google Scholar]
- Gan, W.S.; Mitra, S.; Kuo, S.M. Adaptive feedback active noise control headset: Implementation, evaluation and its extensions. IEEE Trans. Consum. Electron. 2005, 51, 975–982. [Google Scholar] [CrossRef]
- Ho, C.Y.; Shyu, K.K.; Chang, C.Y.; Kuo, S.M. Integrated active noise control for open-fit hearing aids with customized filter. Appl. Acoust. 2018, 137, 1–8. [Google Scholar] [CrossRef]
- Samarasinghe, P.N.; Zhang, W.; Abhayapala, T.D. Recent advances in active noise control inside automobile cabins: Toward quieter cars. IEEE Signal Process. Mag. 2016, 33, 61–73. [Google Scholar] [CrossRef]
- Elliott, S.J. A Review of Active Noise and Vibration Control in Road Vehicles; University of Southampton: Southampton, UK, 2008. [Google Scholar]
- Shoureshi, R.; Knurek, T. Automotive applications of a hybrid active noise and vibration control. IEEE Control Syst. Mag. 1996, 16, 72–78. [Google Scholar]
- Kim, H.-S.; Hong, J.-S.; Oh, J.-E. Active noise control with the active muffler in automotive exhaust systems. JSME Int. J. Ser. C Mech. Syst. Mach. Elem. Manuf. 1998, 41, 178–183. [Google Scholar]
- Lupo, F.C.; Jordan, C.; Mario, M. Investigation of an engine order noise cancellation system in a super sports car. Acta Acust. 2023, 7, 1. [Google Scholar] [CrossRef]
- Zhang, S.; Zhang, L.; Meng, D.; Pi, X. Active control of vehicle interior engine noise using a multi-channel delayed adaptive notch algorithm based on FxLMS structure. Mech. Syst. Signal Process. 2023, 186, 109831. [Google Scholar] [CrossRef]
- Cao, Y.; Deng, Z.; Zhang, Y.; Chen, D. Analysis and active control of low frequency booming noise in car. High Technol. Lett. 2015, 21, 414–421. [Google Scholar]
- Bagha, S.; Das, D.P.; Behera, S.K. An Efficient Narrowband Active Noise Control System for Accommodating Frequency Mismatch. IEEE/ACM Trans. Audio Speech Lang. Process. 2020, 28, 2084–2094. [Google Scholar] [CrossRef]
- Shi, D.; Gan, W.S.; Lam, B.; Wen, S. Feedforward Selective Fixed-Filter Active Noise Control: Algorithm and Implementation. IEEE/ACM Trans. Audio Speech Lang. Process. 2020, 28, 1479–1492. [Google Scholar] [CrossRef]
- Xiao, Y.; Ma, L.; Khorasani, K.; Ikuta, A.; Xu, L. A fILTERED-X RLS based narrowband active noise control system in the presence of frequency mismatch. In Proceedings of the IEEE International Symposium on Circuits and Systems, Kobe, Japan, 23–26 May 2005; pp. 260–263. [Google Scholar] [CrossRef]
- Jeon, H.J.; Kim, S.W.; Park, M.W.; Lee, W.G.; Chang, T.G.; Kuo, S.M. Frequency mismatch in narrowband active noise control. In Proceedings of the ICASSP, IEEE International Conference on Acoustics, Speech and Signal Processing, Dallas, TX, USA, 14–19 March 2010; pp. 345–348. [Google Scholar] [CrossRef]
- Kuo, S.; Morgan, D. Active Noise Control Systems: Algorithms and DSP Implementations; Wiley-Interscience: Hoboken, NJ, USA, 1996. [Google Scholar]
- Xiao, Y.; Ma, L.; Khorasani, K.; Ikuta, A. A new robust narrowband active noise control system in the presence of frequency mismatch. IEEE Trans. Audio Speech Lang. Process. 2006, 14, 2189–2200. [Google Scholar] [CrossRef]
- Liu, J.; Sun, J.; Xiao, Y. Mean-sense behavior of filtered-X LMS algorithm in the presence of frequency mismatch. In Proceedings of the ISPACS 2012—IEEE International Symposium on Intelligent Signal Processing and Communications Systems, Tamsui, Taiwan, 4–7 November 2012; pp. 374–379. [Google Scholar] [CrossRef]
- Xiao, Y.; Ikuta, A.; Ma, L.; Khorasani, K. Stochastic analysis of the FXLMS-based narrowband active noise control system. IEEE Trans. Audio Speech Lang. Process. 2008, 16, 1000–1014. [Google Scholar] [CrossRef]
- Kuo, S.M.; Nallabolu, S.P. Analysis and correction of frequency error in electronic mufflers using narrowband active noise control. In Proceedings of the 2007 IEEE International Conference on Control Applications, Singapore, 1–3 October 2007; pp. 1353–1358. [Google Scholar] [CrossRef]
- Sun, J.; Ma, F.; Huang, B.; Wen, L. A narrowband active noise control system with frequency mismatch compensation. In Proceedings of the 2014 Asia-Pacific Signal Information Processing Association Annual Summit and Conference APSIPA 2014, Siem Reap, Cambodia, 9–12 December 2014; Volume 19, pp. 990–1002. [Google Scholar] [CrossRef]
- Huang, B.Y.; Chang, L.; Ma, Y.P.; Sun, J.W.; Wei, G. A new narrowband ANC system against nonstationary frequency mismatch. Zidonghua Xuebao/Acta Autom. Sin. 2015, 41, 186–193. [Google Scholar] [CrossRef]
- Xia, G.-F. A Method for Accommodating Frequency Mismatch in Narrowband Active Noise Control. Master’s Thesis, Nanjing University of Aeronautics and Astronautics, Nanjing, China, 2016. [Google Scholar]
- Mao, M.-F.; Liu, J. Real-time Simulation for Methods of Accommodating Frequency Mismatch in Narrowband Active Noise Control. Sci. Technol. Eng. 2016, 16, 38–44. [Google Scholar]
- Shadaydeh, M.; Kawamata, M. Performance analysis of adaptive IIR notch filters based on least mean P-power error criterion. In Proceedings of the 2003 IEEE International Symposium on Circuits and Systems, Bangkok, Thailand, 25–28 May 2003; pp. 377–380. [Google Scholar] [CrossRef]
- Huang, B.; Sun, J.; Wei, G.; Xiao, Y. An active noise control system for the frequency mismatch problem in fan noise. In Proceedings of the ISPACS 2018—2018 International Symposium on Intelligent Signal Processing and Communication Systems, Ishigaki, Japan, 27–30 November 2018; pp. 264–267. [Google Scholar] [CrossRef]
- Kukde, R.; Manikandan, M.S.; Panda, G. Development of a novel narrowband active noise controller in presence of sensor error. In Proceedings of the 2014 International Conference on Advances in Computing, Communications and Informatics, ICACCI, Delhi, India, 24–27 September 2014; pp. 2735–2739. [Google Scholar] [CrossRef]
- Cheng, Y.; Li, C.; Chen, S.; Ge, P.; Cao, Y. Active control of impulsive noise based on a modified convex combination algorithm. Appl. Acoust. 2022, 186, 108438. [Google Scholar] [CrossRef]












| Parameters | K = 8 | K = 14 | K = 20 | K = 32 |
|---|---|---|---|---|
| FM = 10% | −8.4999 | −9.43 | −9.012 | −9.424 |
| FM = 5% | −9.041 | −9.428 | −8.677 | −9.007 |
| Without FM | −8.796 | −9.159 | −8.212 | −8.972 |
| Parameters | Value |
|---|---|
| 1 kHz | |
| 0.1 | |
| FM C% (C is a random constant) | |
| S(z) |
Disclaimer/Publisher’s Note: The statements, opinions and data contained in all publications are solely those of the individual author(s) and contributor(s) and not of MDPI and/or the editor(s). MDPI and/or the editor(s) disclaim responsibility for any injury to people or property resulting from any ideas, methods, instructions or products referred to in the content. |
© 2023 by the authors. Licensee MDPI, Basel, Switzerland. This article is an open access article distributed under the terms and conditions of the Creative Commons Attribution (CC BY) license (https://creativecommons.org/licenses/by/4.0/).
Share and Cite
Yao, T.; Li, C.; Yu, P.; Ji, J.; Wang, J. A New Effective Narrowband Active Noise Control System for Accommodating Frequency Mismatch. Appl. Sci. 2023, 13, 2416. https://doi.org/10.3390/app13042416
Yao T, Li C, Yu P, Ji J, Wang J. A New Effective Narrowband Active Noise Control System for Accommodating Frequency Mismatch. Applied Sciences. 2023; 13(4):2416. https://doi.org/10.3390/app13042416
Chicago/Turabian StyleYao, Tiannan, Chen Li, Ping Yu, Jiacheng Ji, and Jing Wang. 2023. "A New Effective Narrowband Active Noise Control System for Accommodating Frequency Mismatch" Applied Sciences 13, no. 4: 2416. https://doi.org/10.3390/app13042416
APA StyleYao, T., Li, C., Yu, P., Ji, J., & Wang, J. (2023). A New Effective Narrowband Active Noise Control System for Accommodating Frequency Mismatch. Applied Sciences, 13(4), 2416. https://doi.org/10.3390/app13042416

