Effect of Frozen to Fresh Meat Ratio in Minced Pork on Its Quality
Abstract
:1. Introduction
2. Materials and Methods
2.1. Minced Meat Processing
2.2. Analyses of Proximate Composition
2.2.1. Fat
2.2.2. Protein
2.2.3. pH Values
2.2.4. Moisture
2.3. Determination of Drip Loss
2.4. Histological Analysis of Amount of Non-Intact Cells
2.5. Sensory Analyses
2.5.1. Instrumental
2.5.2. Trained Panel
2.6. Statistics
3. Results and Discussion
3.1. Temperature during Processing
3.2. Proximate Composition and Water Holding Capacity
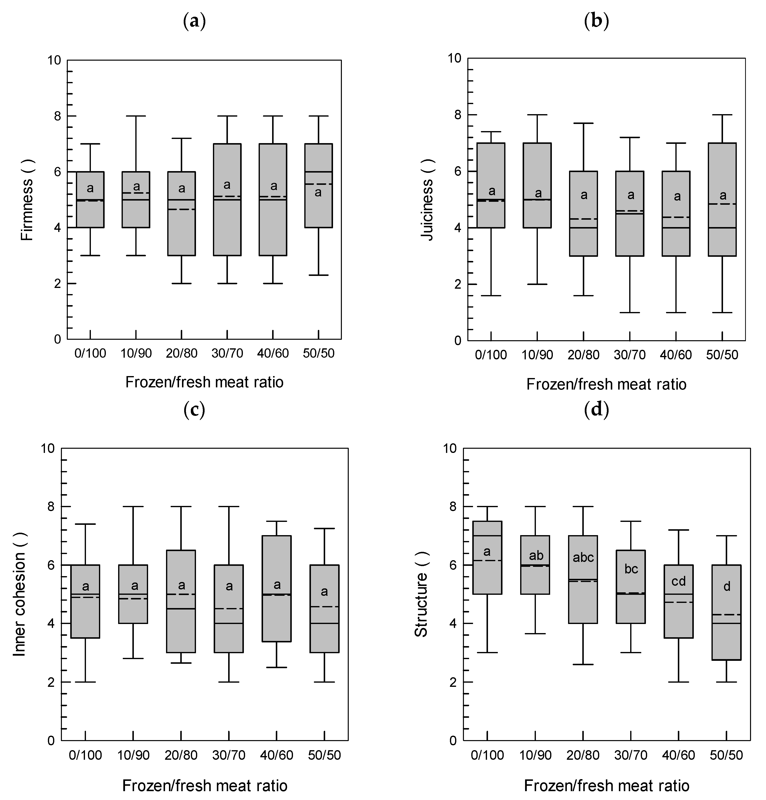
3.3. Sensory Analysis
3.4. Amount of Non-Intact Cells
4. Conclusions
Author Contributions
Funding
Institutional Review Board Statement
Informed Consent Statement
Data Availability Statement
Acknowledgments
Conflicts of Interest
References
- Anttila, T.; HÄRmÄ, M.; Oinas, T. Working hours—Tracking the current and future trends. Ind. Health 2021, 59, 285–292. [Google Scholar] [CrossRef] [PubMed]
- Wu, Z.; Ma, W.; Xian, Z.; Liu, Q.; Hui, A.; Zhang, W. The impact of quick-freezing methods on the quality, moisture distribution and microstructure of prepared ground pork during storage duration. Ultrason. Sonochem. 2021, 78, 105707. [Google Scholar] [CrossRef] [PubMed]
- Global Ground Meat Market. Available online: https://www.newstrail.com/ground-meat-market/ (accessed on 1 December 2022).
- Witte, F.; Sawas, E.; Berger, L.M.; Gibis, M.; Weiss, J.; Röser, A.; Upmann, M.; Joeres, E.; Juadjur, A.; Bindrich, U.; et al. Influence of Finely Chopped Meat Addition on Quality Parameters of Minced Meat. Appl. Sci. 2022, 12, 10590. [Google Scholar] [CrossRef]
- Honikel, K.O. Minced meats. In Encyclopedia of Meat Sciences; Jensen, W.K., Ed.; Elsevier: Oxford, UK, 2004; pp. 854–856. [Google Scholar]
- Davey, C.L.; Gilbert, K.V. Temperature-dependent cooking toughness in beef. J. Sci. Food Agric. 1974, 25, 931–938. [Google Scholar] [CrossRef]
- Knipe, C. Types of sausages—Emulsion. In Encyclopedia of Meat Sciences; Jensen, W., Devine, C., Dikemann, M., Eds.; Elsevier: Amsterdam, The Netherlands, 2004; pp. 1126–1220. [Google Scholar]
- Tornberg, E. Effects of heat on meat proteins—Implications on structure and quality of meat products. Meat Sci. 2005, 70, 493–508. [Google Scholar] [CrossRef]
- Tornberg, E.; Andersson, K.; Josell, A. The rheological properties of whole and minced meat during cooking as related to sensory and structural characteristics. In Proceedings of the 1st International Symposium on Food Rheology and Structure, Zurich, Switzerland, 16–20 March 1997; pp. 16–20. [Google Scholar]
- Limbo, S.; Torri, L.; Sinelli, N.; Franzetti, L.; Casiraghi, E. Evaluation and predictive modeling of shelf life of minced beef stored in high-oxygen modified atmosphere packaging at different temperatures. Meat Sci. 2010, 84, 129–136. [Google Scholar] [CrossRef]
- Medić, H.; Djurkin Kušec, I.; Pleadin, J.; Kozačinski, L.; Njari, B.; Hengl, B.; Kušec, G. The impact of frozen storage duration on physical, chemical and microbiological properties of pork. Meat Sci. 2018, 140, 119–127. [Google Scholar] [CrossRef]
- Leygonie, C.; Britz, T.J.; Hoffman, L.C. Impact of freezing and thawing on the quality of meat: Review. Meat Sci. 2012, 91, 93–98. [Google Scholar] [CrossRef]
- Huff-Lonergan, E.; Lonergan, S.M. Mechanisms of water-holding capacity of meat: The role of postmortem biochemical and structural changes. Meat Sci. 2005, 71, 194–204. [Google Scholar] [CrossRef]
- Alonso, V.; Muela, E.; Tenas, J.; Calanche, J.B.; Roncalés, P.; Beltrán, J.A. Changes in physicochemical properties and fatty acid composition of pork following long-term frozen storage. Eur. Food Res. Technol. 2016, 242, 2119–2127. [Google Scholar] [CrossRef]
- Hansen, E.; Lauridsen, L.; Skibsted, L.H.; Moawad, R.K.; Andersen, M.L. Oxidative stability of frozen pork patties: Effect of fluctuating temperature on lipid oxidation. Meat Sci. 2004, 68, 185–191. [Google Scholar] [CrossRef]
- Beltrán, J.A.; Bellés, M. Effect of freezing on the quality of meat. In Encyclopedia of Food Security and Sustainability; Elsevier: Amsterdam, The Netherlands, 2018; pp. 493–497. [Google Scholar]
- Baune, M.-C.; Schroeder, S.; Witte, F.; Heinz, V.; Bindrich, U.; Weiss, J.; Terjung, N. Analysis of protein-network formation of different vegetable proteins during emulsification to produce solid fat substitutes. J. Food Meas. Charact. 2021, 15, 2399–2416. [Google Scholar] [CrossRef]
- Witte, F.; Smetana, S.; Heinz, V.; Terjung, N. High-pressure processing of usually discarded dry aged beef trimmings for subsequent processing. Meat Sci. 2020, 170, 108241. [Google Scholar] [CrossRef]
- Grau, R.; Hamm, R. Über das Wasserbindevermögen des Säugetiermuskels. Z. für Lebensm. Forsch. 1957, 105, 446. [Google Scholar] [CrossRef]
- Friedelsheimer, B.; Büchl-Zimmermann, S.; Welsch, U. Schnittpräparation für die Lichtmikroskopie. In Romeis Mikroskopische Technik; Mulisch, M., Welsch, U., Eds.; Springer: Berlin/Heidelberg, Germany, 2015. [Google Scholar]
- Djekic, I.; Lorenzo, J.M.; Munekata, P.E.S.; Gagaoua, M.; Tomasevic, I. Review on characteristics of trained sensory panels in food science. J. Texture Stud. 2021, 52, 501–509. [Google Scholar] [CrossRef]
- DIN 10969; Sensory Analysis—Descriptive Analysis with Following Quality Evaluation. DIN: Berlin, Germany, 2018.
- Tornberg, E.; Persson, K. Fat holding properties of pork and beef fat as influenced by comminution and heating. In Proceedings of the 33rd International Congress of Meat Science and Technology—ICoMST, Helsinki, Finland, 2–7 August 1987; pp. 254–257. [Google Scholar]
- LaFrieda, P.; Carreño, C. Meat: Everything You Need to Know; Simon and Schuster: New York, NY, USA, 2014. [Google Scholar]
- Campañone, L.A.; Roche, L.A.; Salvadori, V.O.; Mascheroni, R.H. Monitoring of Weight Losses in Meat Products during Freezing and Frozen Storage. Food Sci. Technol. Int. 2002, 8, 229–238. [Google Scholar] [CrossRef]
- Bustabad, O.M. Weight loss during freezing and the storage of frozen meat. J. Food Eng. 1999, 41, 1–11. [Google Scholar] [CrossRef]
- Ngapo, T.M.; Babare, I.H.; Reynolds, J.; Mawson, R.F. Freezing and thawing rate effects on drip loss from samples of pork. Meat Sci. 1999, 53, 149–158. [Google Scholar] [CrossRef]
- Añón, M.C.; Calvelo, A. Freezing rate effects on the drip loss of frozen beef. Meat Sci. 1980, 4, 1–14. [Google Scholar] [CrossRef]
- Bejerholm, C.; Aaslyng, M.D. The influence of cooking technique and core temperature on results of a sensory analysis of pork—Depending on the raw meat quality. Food Qual. Prefer. 2004, 15, 19–30. [Google Scholar] [CrossRef]
- Warner, R.D. The eating quality of meat—IV water-holding capacity and juiciness. In Lawrie’s Meat Science; Elsevier: Amsterdam, The Netherlands, 2017; pp. 419–459. [Google Scholar]
- Raudsepp, P.; Brüggemann, D.A.; Henckel, P.; Vyberg, M.; Groves, K.; Oksbjerg, N.; Therkildsen, M. Performance of conventional histochemical methods relative to a novel immunolabeling technique in assessing degree of degradation in comminuted chicken meat. Food Control 2017, 73, 133–139. [Google Scholar] [CrossRef]
- Berger, L.M.; Witte, F.; Terjung, N.; Weiss, J.; Gibis, M. Influence of Processing Steps on Structural, Functional, and Quality Properties of Beef Hamburgers. Appl. Sci. 2022, 12, 7377. [Google Scholar] [CrossRef]
- Beneke, B. Technologie verändert die Muskelstruktur: Histologische Identifikation und Beurteilung bei Fleisch und Fleischerzeugnissen. Fleischwirtschaft 2018, 2018, 62–68. [Google Scholar]
- Berger, L.M.; Gibis, M.; Witte, F.; Terjung, N.; Weiss, J. Influence of meat batter addition in ground beef on structural properties and quality parameters. Eur. Food Res. Technol. 2022, 248, 2509–2520. [Google Scholar] [CrossRef]
- Otto-Kuhn, D.; Tichaczek-Dischinger, P. Hackfleisch aus handwerklicher Herstellung oder aus der Fertigpackung—Ein qualitativer Vergleich. Fleischwirtschaft 2015, 95, 104–107. [Google Scholar]
- Dang, D.S.; Bastarrachea, L.J.; Martini, S.; Matarneh, S.K. Crystallization Behavior and Quality of Frozen Meat. Foods 2021, 10, 2707. [Google Scholar] [CrossRef]
- Datta, A. Biological and Bioenvironmental Heat and Mass Transfer; CRC Press: Boca Raton, FL, USA, 2002; p. 424. [Google Scholar]
- Hildebrandt, G.; Jöckel, J. Die Nachweismöglichkeit von wie Brühwurstbrät fein zerkleinertem Fleisch in Modellversuchen. Fleischwirtschaft 1980, 60, 392–403. [Google Scholar]






| Frozen | pH Value | Fat | Protein | Soluble Protein (%) | Moisture (g/100 g) | Drip Loss | ||||||||||||||||||
|---|---|---|---|---|---|---|---|---|---|---|---|---|---|---|---|---|---|---|---|---|---|---|---|---|
| /Fresh | (g/100 g) | (g/100 g) | (%) | |||||||||||||||||||||
| 0/100 | 5.83 | a | ± | 0.10 | 13.48 | a | ± | 1.69 | 18.07 | a | ± | 0.62 | 34.94 | ab | ± | 1.04 | 68.12 | a | ± | 2.50 | 15.18 | a | ± | 1.83 |
| 10/90 | 5.76 | a | ± | 0.17 | 13.11 | a | ± | 0.37 | 18.23 | a | ± | 0.67 | 35.83 | ab | ± | 1.06 | 68.94 | a | ± | 1.86 | 15.94 | ab | ± | 2.05 |
| 20/80 | 5.73 | a | ± | 0.18 | 13.20 | a | ± | 0.22 | 18.19 | a | ± | 0.61 | 34.69 | a | ± | 1.53 | 69.10 | a | ± | 1.38 | 17.39 | ab | ± | 1.26 |
| 30/70 | 5.84 | a | ± | 0.16 | 13.30 | a | ± | 0.68 | 18.15 | a | ± | 0.58 | 35.83 | ab | ± | 1.55 | 68.78 | a | ± | 1.62 | 18.30 | bc | ± | 0.90 |
| 40/60 | 5.85 | a | ± | 0.14 | 13.39 | a | ± | 1.18 | 18.11 | a | ± | 0.58 | 36.17 | b | ± | 1.50 | 68.70 | a | ± | 1.52 | 19.93 | cd | ± | 1.61 |
| 50/50 | 5.87 | a | ± | 0.16 | 13.02 | a | ± | 0.86 | 18.27 | a | ± | 0.75 | 36.09 | ab | ± | 1.87 | 69.01 | a | ± | 1.49 | 21.63 | d | ± | 1.75 |
Disclaimer/Publisher’s Note: The statements, opinions and data contained in all publications are solely those of the individual author(s) and contributor(s) and not of MDPI and/or the editor(s). MDPI and/or the editor(s) disclaim responsibility for any injury to people or property resulting from any ideas, methods, instructions or products referred to in the content. |
© 2023 by the authors. Licensee MDPI, Basel, Switzerland. This article is an open access article distributed under the terms and conditions of the Creative Commons Attribution (CC BY) license (https://creativecommons.org/licenses/by/4.0/).
Share and Cite
Tomasevic, I.; Witte, F.; Kühling, R.E.; Berger, L.M.; Gibis, M.; Weiss, J.; Röser, A.; Upmann, M.; Joeres, E.; Juadjur, A.; et al. Effect of Frozen to Fresh Meat Ratio in Minced Pork on Its Quality. Appl. Sci. 2023, 13, 2323. https://doi.org/10.3390/app13042323
Tomasevic I, Witte F, Kühling RE, Berger LM, Gibis M, Weiss J, Röser A, Upmann M, Joeres E, Juadjur A, et al. Effect of Frozen to Fresh Meat Ratio in Minced Pork on Its Quality. Applied Sciences. 2023; 13(4):2323. https://doi.org/10.3390/app13042323
Chicago/Turabian StyleTomasevic, Igor, Franziska Witte, Rike Elisabeth Kühling, Lisa M. Berger, Monika Gibis, Jochen Weiss, Anja Röser, Matthias Upmann, Eike Joeres, Andreas Juadjur, and et al. 2023. "Effect of Frozen to Fresh Meat Ratio in Minced Pork on Its Quality" Applied Sciences 13, no. 4: 2323. https://doi.org/10.3390/app13042323
APA StyleTomasevic, I., Witte, F., Kühling, R. E., Berger, L. M., Gibis, M., Weiss, J., Röser, A., Upmann, M., Joeres, E., Juadjur, A., Bindrich, U., Heinz, V., & Terjung, N. (2023). Effect of Frozen to Fresh Meat Ratio in Minced Pork on Its Quality. Applied Sciences, 13(4), 2323. https://doi.org/10.3390/app13042323

