Dental Hydrogels with Essential Oils with Potential Activity in Periodontitis
Abstract
1. Introduction
2. Results and Discussion
GC-MS Analysis of Gels Containing Essential Oils
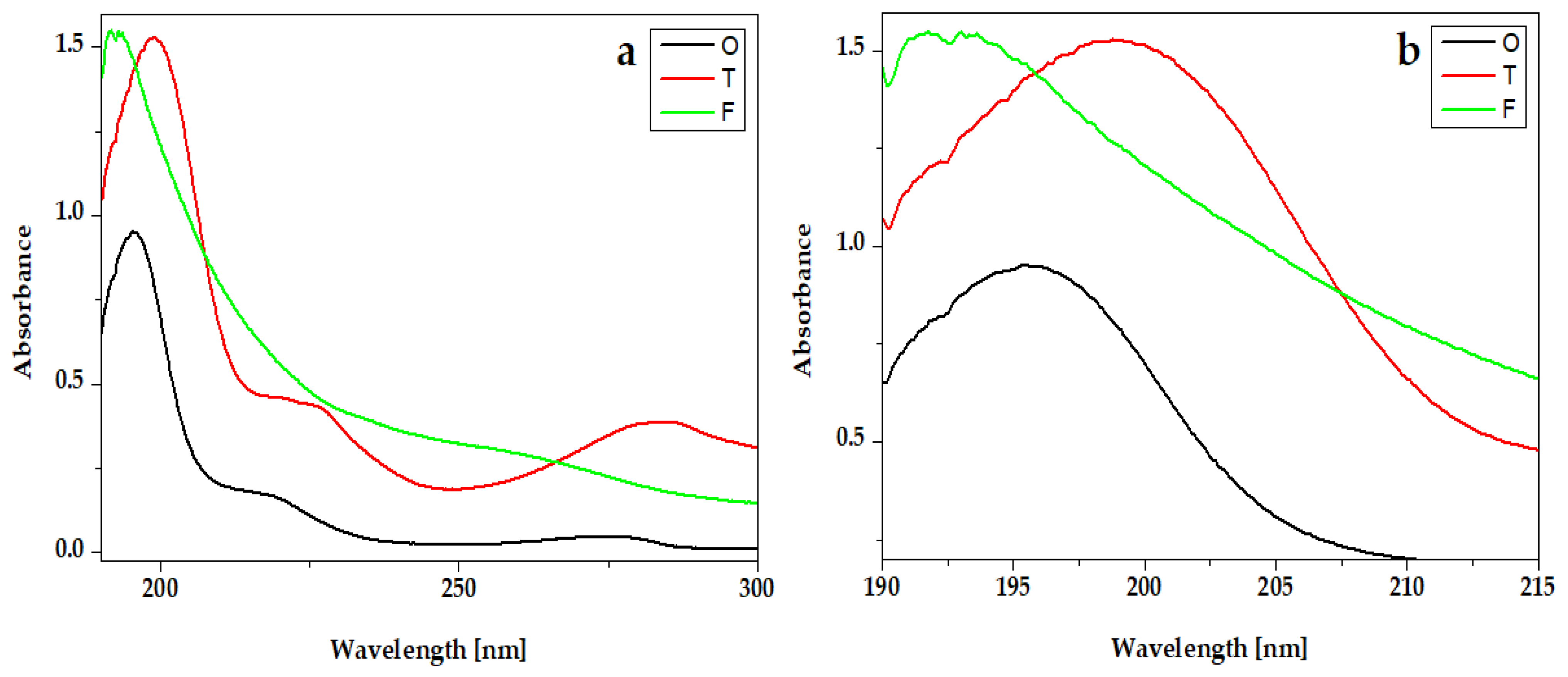
3. UV-Vis Absorption Spectroscopy of the Hydrogels
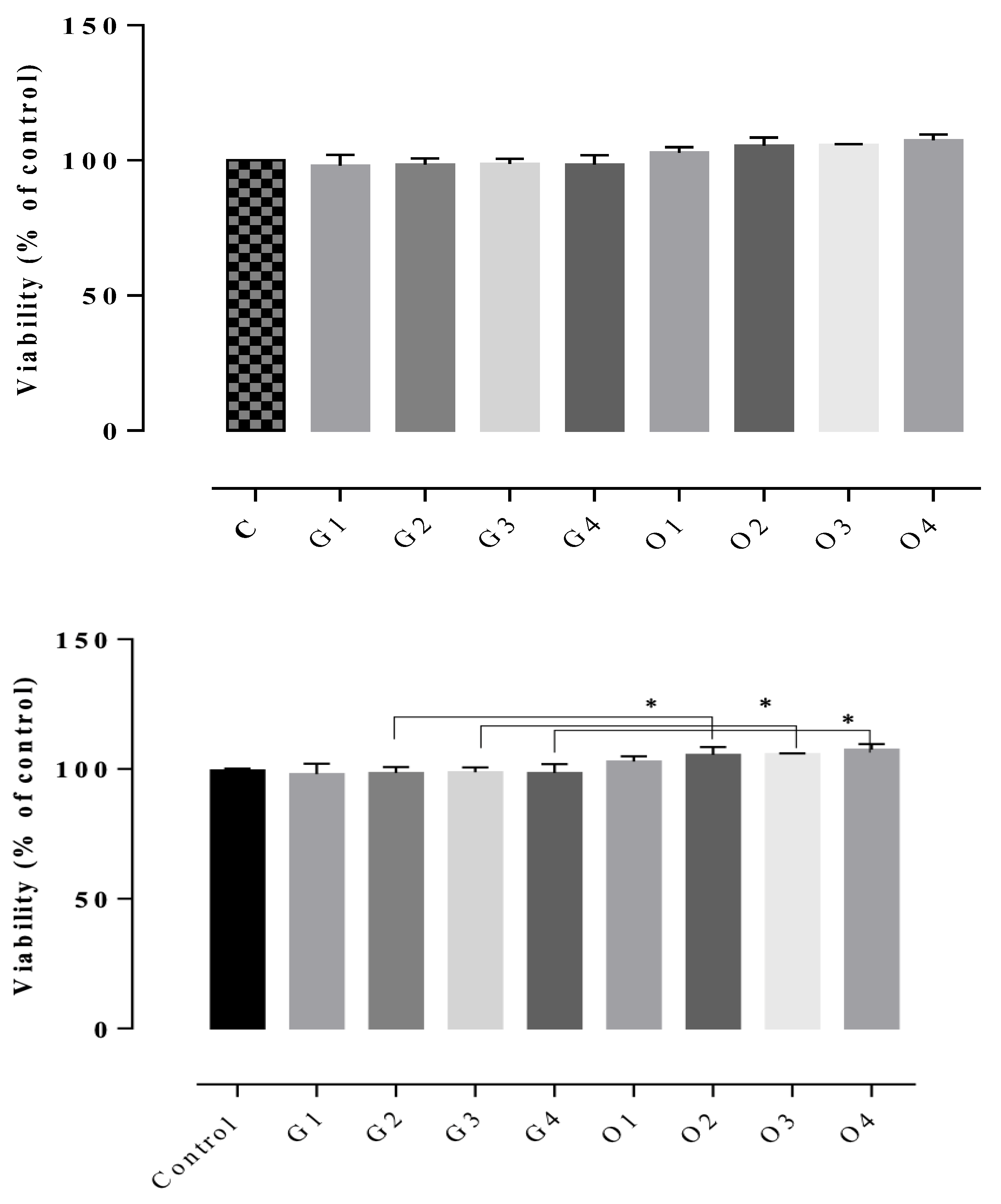
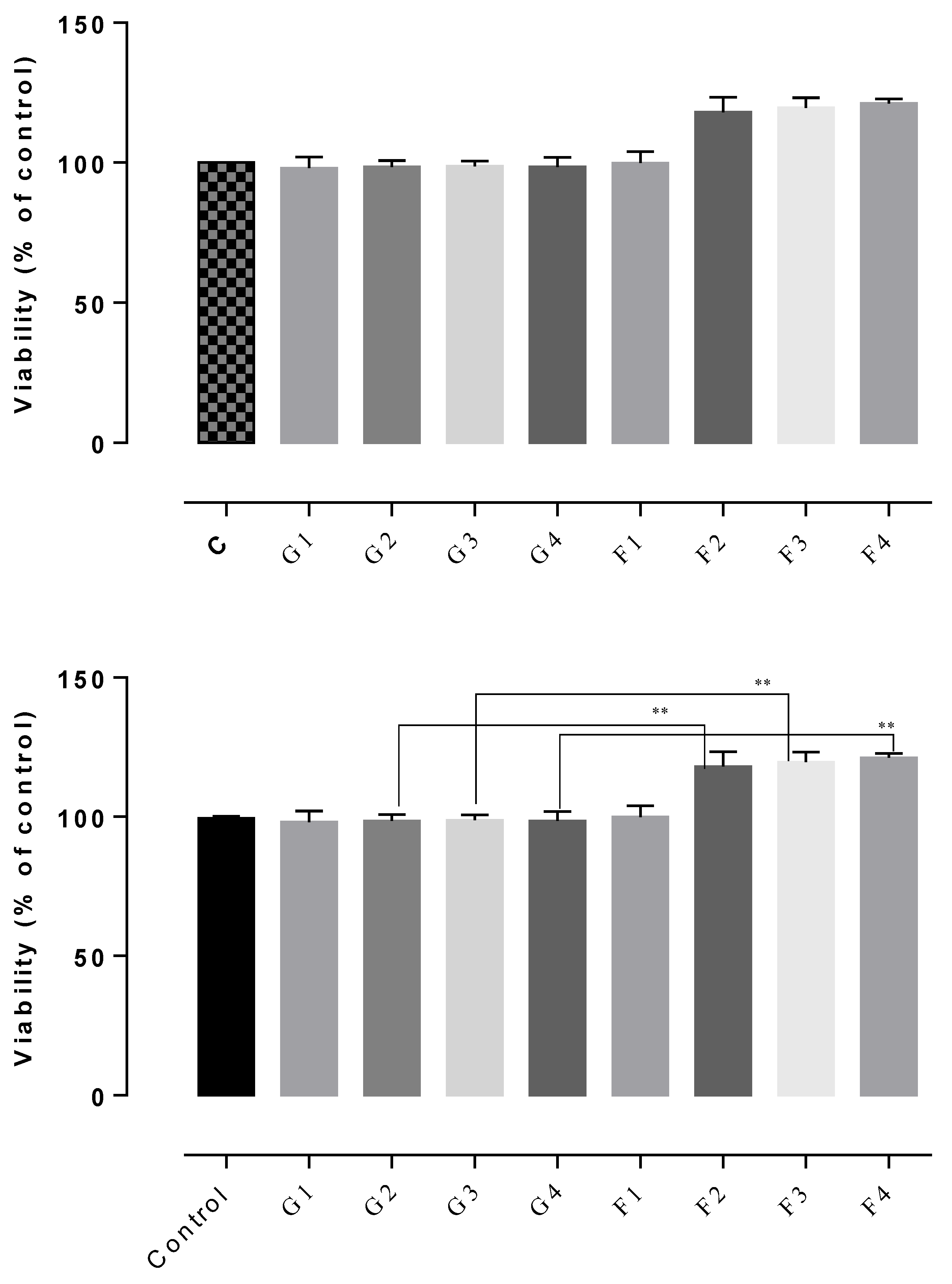
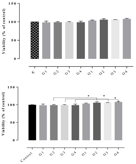
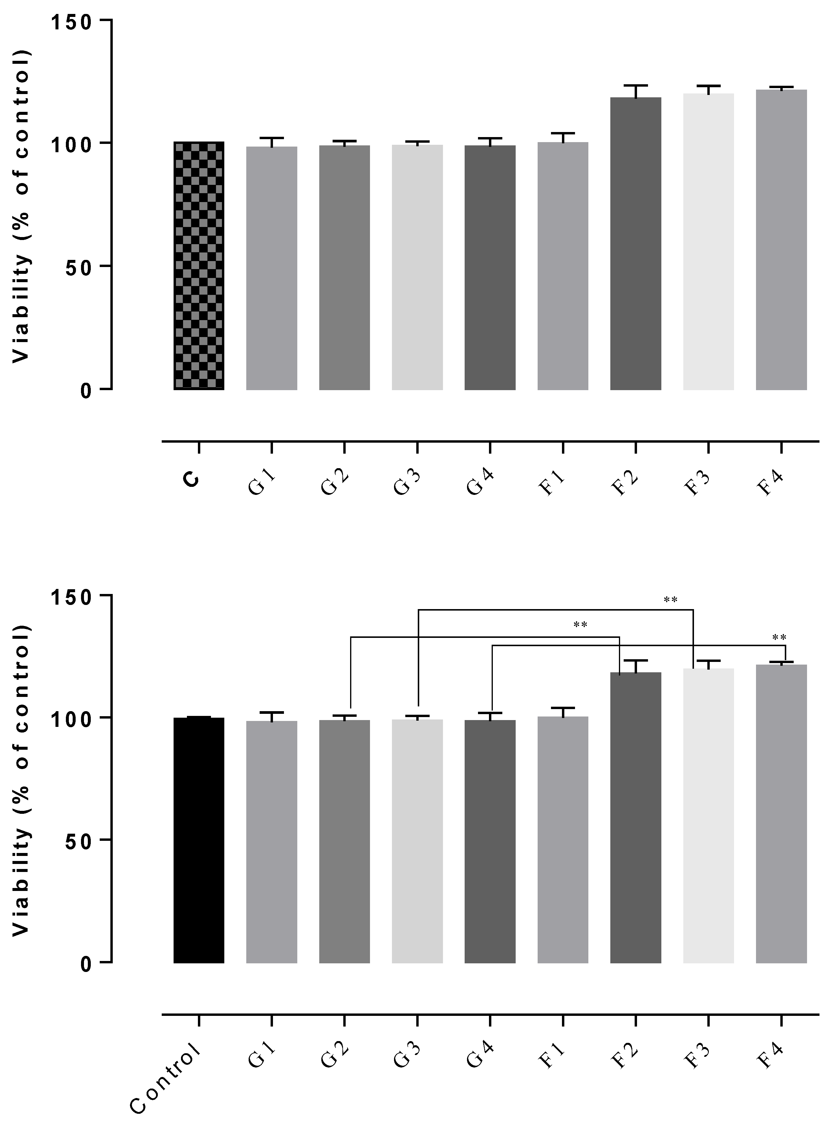
3.1. Viability and Cytotoxicity Assessment of the Experimental Gels
3.2. Antimicrobial Activity of the Experimental Gels Containing Natural Essential Oils
4. Materials and Methods
4.1. Chemical Composition of the Newly Developed Experimental Gels
Preparation of Hydrogels
4.2. Gas Chromatography-Mass Spectrometry (GC-MS)
4.3. UV-Vis Absorption Spectroscopy
4.4. Cytotoxicity Assay
4.5. The Antimicrobial Effect
4.6. Statistical Analysis
5. Conclusions
Author Contributions
Funding
Institutional Review Board Statement
Informed Consent Statement
Data Availability Statement
Acknowledgments
Conflicts of Interest
References
- Chandrasekaran, S. Antibacterial Activity of the Three Essential Oils on Oral Pathogens-An In-Vitro Study. Res. J. Pharm. Technol. 2014, 7, 1128. [Google Scholar]
- Kumari, S.; Pundhir, S.; Priya, P.; Jeena, G.; Punetha, A.; Chawla, K.; Jafaree, Z.F.; Mondal, S.; Yadav, G. EssOilDB: A Database of Essential Oils Reflecting Terpene Composition and Variability in the Plant Kingdom. Database 2014, 2014, bau120. [Google Scholar] [CrossRef]
- Tavares Bekner Correa, G.; Alves Costa Veranio, G.; Esmaeraldo Silva, L.; Hirata Junior, R.; Coil, J.M.; Zaccaro Scelza, M.F. Cytotoxicity Evaluation of Two Root Canal Sealers and a Commercial Calcium Hydroxide Paste on Thp1 Cell Line By Trypan Blue Assay. J. Appl. Oral Sci. 2009, 17, 457–461. [Google Scholar] [CrossRef] [PubMed]
- De Luca, I.; Pedram, P.; Moeini, A.; Cerruti, P.; Peluso, G.; di Salle, A.; Germann, N. Nanotechnology Development for Formulating Essential Oils in Wound Dressing Materials to Promote the Wound-Healing Process: A Review. Appl. Sci. 2021, 11, 1713. [Google Scholar] [CrossRef]
- Alvarez Echazú, M.I.; Olivetti, C.E.; Anesini, C.; Perez, C.J.; Alvarez, G.S.; Desimone, M.F. Development and Evaluation of Thymol-Chitosan Hydrogels with Antimicrobial-Antioxidant Activity for Oral Local Delivery. Mater. Sci. Eng. C 2017, 81, 588–596. [Google Scholar] [CrossRef]
- Zagórska-Dziok, M.; Sobczak, M. Pharmaceutics Hydrogel-Based Active Substance Release Systems for Cosmetology and Dermatology Application: A Review. Pharmaceutics 2020, 12, 396. [Google Scholar] [CrossRef]
- Mandal, A.; Clegg, J.R.; Anselmo, A.C.; Mitragotri, S. Hydrogels in the Clinic. Bioeng. Transl. Med. 2020, 5, e10158. [Google Scholar] [CrossRef]
- Slaughter, B.V.; Khurshid, S.S.; Fisher, O.Z.; Khademhosseini, A.; Peppas, N.A. Hydrogels in Regenerative Medicine. Adv. Mater. 2009, 21, 3307–3329. [Google Scholar] [CrossRef]
- Kuang, X.; Chen, V.; Xu, X. Novel Approaches to the Control of Oral Microbial Biofilms. BioMed Res. Int. 2018, 2018, 6498932. [Google Scholar] [CrossRef]
- Ashrafi, B.; Rashidipour, M.; Marzban, A.; Soroush, S.; Azadpour, M.; Delfani, S.; Ramak, P. Mentha Piperita Essential Oils Loaded in a Chitosan Nanogel with Inhibitory Effect on Biofilm Formation against S. Mutans on the Dental Surface. Carbohydr. Polym. 2019, 212, 142–149. [Google Scholar] [CrossRef]
- Johari, S.; Pushpalatha, C.; Deveswaran, R. Formulation and Antimicrobial Assessment of Intracanal Medicament Containing Oregano Essential Oil. In AIP Conference Proceedings; American Institute of Physics Inc.: College Park, MD, USA, 2020; Volume 2274. [Google Scholar]
- Yanakiev, S. Effects of Cinnamon (Cinnamomum spp.) in Dentistry: A Review. Molecules 2020, 25, 4184. [Google Scholar] [CrossRef] [PubMed]
- Batiha, G.E.S.; Alkazmi, L.M.; Wasef, L.G.; Beshbishy, A.M.; Nadwa, E.H.; Rashwan, E.K. Syzygium aromaticum L. (Myrtaceae): Traditional Uses, Bioactive Chemical Constituents, Pharmacological and Toxicological Activities. Biomolecules 2020, 10, 202. [Google Scholar] [CrossRef] [PubMed]
- De Oliveira, J.R.; Camargo, S.E.A.; de Oliveira, L.D. Rosmarinus officinalis L. (Rosemary) as Therapeutic and Prophylactic Agent. J. Biomed. Sci. 2019, 26, 5. [Google Scholar] [CrossRef]
- Cao, Y.; Yang, W.; Canada, A.-F.; Zhang, G.; Li, Y.; Zhao, C.; Zhang, Z.; Nie, D. Protective Effect of Lemon Essential Oil and Its Major Active Component, D-Limonene, on Intestinal Injury and Inflammation of E. Coli-Challenged Mice. Front. Nutr. 2022, 1, 843096. [Google Scholar] [CrossRef]
- Elaissi, A.; Rouis, Z.; Abid Ben Salem, N.; Mabrouk, S.; ben Salem, Y.; Bel Haj Salah, K.; Aouni, M.; Farhat, F.; Chemli, R.; Harzallah-Skhiri, F.; et al. Chemical Composition of 8 Eucalyptus Species’ Essential Oils and the Evaluation of Their Antibacterial, Antifungal and Antiviral Activities. BMC Complement. Altern. Med. 2012, 12, 81. [Google Scholar] [CrossRef] [PubMed]
- Kodadová, A.; Vitková, Z.; Herdová, P.; Ťažký, A.; Oremusová, J.; Grančai, D.; Mikuš, P. Formulation of Sage Essential Oil (Salvia officinalis, L.) Monoterpenes into Chitosan Hydrogels and Permeation Study with GC-MS Analysis. Drug Dev. Ind. Pharm. 2015, 41, 1080–1088. [Google Scholar] [CrossRef] [PubMed]
- Rusu, L.C.; Kaya, D.A.; Ghica, M.V.; Albu, M.G.; Popa, L.; Butu, A.; Dinu-Pirvu, C.E. Eucalyptus-collagen composite gels for dentistry applications. Biology 2014, 9, 317–323. [Google Scholar] [CrossRef]
- Horváth, B.; Balázs, V.L.; Varga, A.; Böszörményi, A.; Kocsis, B.; Horváth, G.; Széchenyi, A. Preparation, Characterisation and Microbiological Examination of Pickering Nano-Emulsions Containing Essential Oils, and Their Effect on Streptococcus mutans Biofilm Treatment. Sci. Rep. 2019, 9, 16611. [Google Scholar] [CrossRef]
- Li, J.; Mooney, D.J.; Paulson, J.A. Designing Hydrogels for Controlled Drug Delivery. Nat. Rev. Mater. 2016, 1, 16071. [Google Scholar] [CrossRef]
- García-Salinas, S.; Elizondo-Castillo, H.; Arruebo, M.; Mendoza, G.; Irusta, S. Evaluation of the Antimicrobial Activity and Cytotoxicity of Different Components of Natural Origin Present in Essential Oils. Molecules 2018, 23, 1399. [Google Scholar] [CrossRef]
- Gościniak, A.; Paczkowska-Walendowska, M.; Skotnicka, A.; Ruchała, M.A.; Cielecka-Piontek, J. Can Plant Materials Be Valuable in the Treatment of Periodontal Diseases? Practical Review. Pharmaceutics 2021, 13, 2185. [Google Scholar] [CrossRef] [PubMed]
- Barzegar, P.E.F.; Ranjbar, R.; Yazdanian, M.; Tahmasebi, E.; Alam, M.; Abbasi, K.; Tebyaniyan, H. The Current Natural/Chemical Materials and Innovative Technologies in Periodontal Diseases Therapy and Regeneration: A Narrative Review. Mater. Today Commun. 2022, 32, 104099. [Google Scholar] [CrossRef]
- Marchese, A.; Barbieri, R.; Coppo, E.; Orhan, I.E.; Daglia, M.; Nabavi, S.F.; Izadi, M.; Abdollahi, M.; Nabavi, S.M.; Ajami, M. Antimicrobial Activity of Eugenol and Essential Oils Containing Eugenol: A Mechanistic Viewpoint. Crit. Rev. Microbiol. 2017, 43, 668–689. [Google Scholar] [CrossRef] [PubMed]
- Loza-Tavera, H. Monoterpenes in Essential Oils. Biosynthesis and Properties. Adv. Exp. Med. Biol. 1999, 464, 49–62. [Google Scholar] [CrossRef] [PubMed]
- Juven, B.J.; Kanner, J.; Schved, F.; Weisslowicz, H.; Schved, A.N.F.; Weisslowicz, D.H. Factors That Interact with the Antibacterial Action of Thyme Essential Oil and Its Active Constituents. J. Appl. Bacteriol. 1994, 76, 626–631. [Google Scholar] [CrossRef]
- Banjari, I.; Balkić, J.; Yashasvi Waisundara, V. Analgesic Potential of Monoterpenes from Citrus Essential Oils. In Pain Management—Practices, Novel Therapies and Bioactives; IntechOpen: London, UK, 2021. [Google Scholar]
- Anandakumar, P.; Kamaraj, S.; Vanitha, M.K. D-Limonene: A Multifunctional Compound with Potent Therapeutic Effects. J. Food Biochem. 2020, 45, e13566. [Google Scholar] [CrossRef]
- Salehi, B.; Ata, A.; Kumar, N.V.A.; Sharopov, F.; Ramírez-Alarcón, K.; Ruiz-Ortega, A.; Ayatollahi, S.A.; Fokou, P.V.T.; Kobarfard, F.; Zakaria, Z.A.; et al. Antidiabetic Potential of Medicinal Plants and Their Active Components. Biomolecules 2019, 9, 551. [Google Scholar] [CrossRef]
- Costa, M.F.; Durço, A.O.; Rabelo, T.K.; Barreto, R.d.S.S.; Guimarães, A.G. Effects of Carvacrol, Thymol and Essential Oils Containing Such Monoterpenes on Wound Healing: A Systematic Review. J. Pharm. Pharmacol. 2019, 71, 141–155. [Google Scholar] [CrossRef]
- Dascalu, L.M.; Moldovan, M.; Prodan, D.; Ciotlaus, I.; Popescu, V.; Baldea, I.; Carpa, R.; Sava, S.; Chifor, R.; Badea, M.E. Materials Assessment and Characterization of Some New Photosensitizers for Antimicrobial Photodynamic Therapy (APDT). Materials 2020, 13, 3012. [Google Scholar] [CrossRef]
- Huerta, R.R.; Silva, E.K.; El-Bialy, T.; Saldaña, M.D.A. Clove Essential Oil Emulsion-Filled Cellulose Nanofiber Hydrogel Produced by High-Intensity Ultrasound Technology for Tissue Engineering Applications. Ultrason. Sonochem. 2019, 64, 104845. [Google Scholar] [CrossRef]
- Melo, R.S.; Azevedo, M.A.; Pereira, A.M.G.; Rocha, R.R.; Cavalcante, R.M.B.; Matos, M.N.C.; Lopes, P.H.R.; Gomes, G.A.; Rodrigues, T.H.S.; dos Santos, H.S.; et al. Molecules Chemical Composition and Antimicrobial Effectiveness of Ocimum gratissimum L. Essential Oil Against Multidrug-Resistant Isolates of Staphylococcus aureus and Escherichia coli. Molecules 2019, 24, 3864. [Google Scholar] [CrossRef]
- Nostro, A.; Papalia, T. Antimicrobial Activity of Carvacrol: Current Progress and Future Prospectives. Recent Pat. Antiinfect. Drug Discov. 2012, 7, 28–35. [Google Scholar] [CrossRef] [PubMed]
- Hyldgaard, M.; Mygind, T.; Meyer, R.L.; Hayashi, M.A.F.; Knapp, C. Essential Oils in Food Preservation: Mode of Action, Synergies, and Interactions with Food Matrix Components. Front. Microbiol. 2012, 3, 12. [Google Scholar] [CrossRef]
- Langeveld, W.T.; Veldhuizen, E.J.A.; Burt, S.A. Synergy between Essential Oil Components and Antibiotics: A Review. Crit. Rev. Microbiol. 2013, 40, 76–94. [Google Scholar] [CrossRef] [PubMed]
- Özkan, G.; Saǧdiç, O.; Özcan, M. Note: Inhibition of Pathogenic Bacteria by Essential Oils at Different Concentrations. Food Sci. Technol. Int. 2003, 9, 85–88. [Google Scholar] [CrossRef]
- Kokkini, S.; Karousou, R.; Dardioti, A.; Krigas, N.; Lanaras, T. Autumn Essential Oils of Greek Oregano. Phytochemistry 1997, 44, 883–886. [Google Scholar] [CrossRef]
- Burt, S. Essential Oils: Their Antibacterial Properties and Potential Applications in Foods—A Review. Int. J. Food Microbiol. 2004, 94, 223–253. [Google Scholar] [CrossRef] [PubMed]
- Fournomiti, M.; Kimbaris, A.; Mantzourani, I.; Plessas, S.; Theodoridou, I.; Papaemmanouil, V.; Kapsiotis, I.; Panopoulou, M.; Stavropoulou, E.; Bezirtzoglou, E.E.; et al. Antimicrobial Activity of Essential Oils of Cultivated Oregano (Origanum vulgare), Sage (Salvia officinalis), and Thyme (Thymus vulgaris) against Clinical Isolates of Escherichia Coli, Klebsiella Oxytoca and Klebsiella Pneumoniae. Microb. Ecol. Health Dis. 2015, 26, 23289. [Google Scholar] [CrossRef]
- Jepson, A.K.; Schwarz-Linek, J.; Ryan, L.; Ryadnov, M.G.; Poon, W.C.K. What Is the ‘Minimum Inhibitory Concentration’ (MIC) of Pexiganan Acting on Escherichia coli?—A Cautionary Case Study. Adv. Exp. Med. Biol. 2016, 915, 33–48. [Google Scholar] [CrossRef] [PubMed]
- Michael, A.; Kelman, T.; Pitesky, M. Overview of Quantitative Methodologies to Understand Antimicrobial Resistance via Minimum Inhibitory Concentration. Animals 2020, 10, 1405. [Google Scholar] [CrossRef]
- Wiegand, I.; Hilpert, K.; Hancock, R.E.W. Agar and Broth Dilution Methods to Determine the Minimal Inhibitory Concentration (MIC) of Antimicrobial Substances. Nat. Protoc. 2008, 3, 163–175. [Google Scholar] [CrossRef] [PubMed]









| Compounds | RT | LRI | O % | T % | F % |
|---|---|---|---|---|---|
| Mean/SD | Mean/SD | Mean/SD | |||
| α-Thujene (MH) | 12.398 | 936 | 0.21 ± 0.02 | 0.00 ± 0.00 | 5.53 ± 0.55 |
| α-Pinene (MH) | 12.658 | 943 | 0.24 ± 0.02 | 1.35 ± 0.01 | 49.79 ± 0.00 |
| Camphene | 13.308 | 960 | 0.00 ± 0.00 | 0.22 ± 0.00 | 0.81 ± 0.04 |
| β-Phellandrene (MH) | 14.106 | 981 | 0.00 ± 0.00 | 0.00 ± 0.00 | 4.03 ± 0.30 |
| β-Pinene (MH) | 14.240 | 985 | 0.25 ± 0.02 | 0.26 ± 0.00 | 1.30 ± 0.02 |
| β-Myrcene (MH) | 14.470 | 991 | 0.29 ± 0.05 | 2.20 ± 0.04 | 3.88 ± 0.12 |
| α-Phellandrene (MH) | 15.211 | 1024 | 0.00 ± 0.00 | 0.00 ± 0.00 | 2.44 ± 0.03 |
| D-Limonene | 15.987 | 1070 | 0.00 ± 0.00 | 16.85 ± 0.29 | 20.55 ± 0.29 |
| p-Cymene (MH) | 16.013 | 1071 | 4.22 ± 0.65 | 0.00 ± 0.00 | 0.00 ± 0.00 |
| Eucalyptol (OM) | 16.161 | 1080 | 0.70 ± 0.10 | 13.80 ± 0.36 | 0.54 ± 0.02 |
| γ-Terpinene (MH) | 16.885 | 1124 | 1.53 ± 0.20 | 1.30 ± 0.04 | 0.00 ± 0.00 |
| Linalool (OM) | 18.308 | 1204 | 1.15 ± 0.07 | 0.41 ± 0.02 | 0.00 ± 0.00 |
| Trans-Verbenol | 20.132 | 1246 | 0.00 ± 0.00 | 0.00 ± 0.00 | 0.35 ± 0.04 |
| Camphor (OM) | 20.245 | 1249 | 0.26 ± 0.00 | 0.54 ± 0.02 | 0.00 ± 0.00 |
| endo-Borneol (OM) | 20.851 | 1263 | 0.26 ± 0.04 | 0.00 ± 0.00 | 0.00 ± 0.00 |
| Terpinen-4-ol (OM) | 21.077 | 1268 | 0.29 ± 0.03 | 0.08± 0.06 | 0.33 ± 0.12 |
| Methoxydecane (Et) | 21.467 | 1277 | 0.00 ± 0.00 | 0.00 ± 0.00 | 0.00 ± 0.00 |
| α-Terpineol (OM) | 21.588 | 1280 | 0.38 ± 0.03 | 0.74 ± 0.03 | 0.24 ± 0.03 |
| Methyl carvacrol (OM) | 22.482 | 1301 | 0.08 ± 0.06 | 0.00 ± 0.00 | 0.00 ± 0.00 |
| Citral (OM) | 23.583 | 1348 | 0.00 ± 0.00 | 0.23 ± 0.03 | 0.00 ± 0.00 |
| Bornyl acetate | 23.674 | 1351 | 0.00 ± 0.00 | 0.00 ± 0.00 | 0.28 ± 0.01 |
| Thymol (OM) | 24.272 | 1377 | 1.21 ± 0.10 | 0.00 ± 0.00 | 0.00 ± 0.00 |
| Cinnamaldehyde (Ald) | 24.636 | 1392 | 0.00 ± 0.00 | 8.99 ± 0.26 | 0.00 ± 0.00 |
| Carvacrol (OM) | 24.710 | 1395 | 86.65 ± 1.74 | 0.00 ± 0.00 | 0.00 ± 0.00 |
| α-Copaene (SH) | 25.294 | 1398 | 0.00 ± 0.00 | 0.00 ± 0.00 | 0.00 ± 0.00 |
| β-Bourbonene | 26.175 | 1399 | 0.00 ± 0.00 | 0.00 ± 0.00 | 0.07 ± 0.10 |
| Eugenol (Ol) | 26.253 | 1403 | 0.04 ± 0.05 | 42.30 ± 0.49 | 0.00 ± 0.00 |
| β-Elemene (SH) | 26.366 | 1409 | 0.00 ± 0.00 | 0.00 ± 0.00 | 0.72 ± 0.02 |
| Caryophyllene (SH) | 27.255 | 1456 | 1.32± 0.15 | 4.00 ± 0.17 | 3.12 ± 0.08 |
| Humulene (SH) | 28.247 | 1509 | 0.23 ± 0.02 | 0.38 ± 0.01 | 0.49 ± 0.01 |
| γ-Muurolene (SH) | 28.642 | 1512 | 0.00 ± 0.00 | 0.00 ± 0.00 | 0.29 ± 0.02 |
| Cinnamyl acetate (Ac) | 28.655 | 1513 | 0.00 ± 0.00 | 0.35 ± 0.02 | 0.00 ± 0.00 |
| Germacrene D | 28.907 | 1526 | 0.00 ± 0.00 | 0.00 ± 0.00 | 0.41 ± 0.01 |
| α-Selinene (SH) | 29.148 | 1530 | 0.00 ± 0.00 | 0.00 ± 0.00 | 0.25 ± 0.16 |
| Bicyclosesquiphellandrene | 29.206 | 1532 | 0.00 ± 0.00 | 0.00 ± 0.00 | 0.27 ± 0.07 |
| β-Bisabolene (SH) | 29.236 | 1533 | 0.00 ± 0.00 | 0.20 ± 0.09 | 0.00 ± 0.00 |
| β-Cadinene (SH) | 29.633 | 1540 | 0.00 ± 0.00 | 0.00 ± 0.00 | 1.39 ± 0.11 |
| Trans-isoeugenol (Ol) | 30.294 | 1588 | 0.00 ± 0.00 | 4.72 ± 0.12 | 0.00 ± 0.00 |
| Caryophyllene oxide (OS) | 31.789 | 1598 | 0.22 ± 0.04 | 0.32 ± 0.01 | 0.44 ± 0.15 |
| Monoterpene hydrocarbons (MH) | 6.74± 0.95 | 22.52 ± 0.39 | 89.63 ± 0.29 | ||
| Oxygenated monoterpenes (OM) | 90.98 ± 1.45 | 15.79 ± 0.49 | 1.74 ± 0.12 | ||
| Sesquiterpene hydrocarbons (SH) | 1.55± 0.18 | 4.58 ± 0.25 | 7.65 ± 0.35 | ||
| Oxygenated sesquiterpenes (OS) | 0.22 ± 0.04 | 0.32 ± 0.01 | 0.44 ± 0.15 | ||
| Other compounds (aldehyde-Ald), (alcohol -Ol), (acetate-Ac), ether (Et) | 0.04 ± 0.05 | 56.37± 0.76 | 0.41 ± 0.01 | ||
| Total identification % | 99.49 ± 0.32 | 99.58 ± 0.18 | 99.87 ± 0.09 |
| Total Amount of Gel (µL) | Dilution | Quantity/Concentration of Essential Oil (v/v%) | Gel without Essential Oil | Gel with Oregano® | Gel with Thieves® | Gel with Frankincense® |
|---|---|---|---|---|---|---|
| 50 | D1:1 | 2.2 | n.a | |||
| D1:2 | 0.11 | n.a | + | |||
| D1:3 | 0.072 | n.a | + | + | ||
| D1:4 | 0.055 | n.a | ||||
| D1:5 | 0.044 | n.a |
| Type of Gels | S. aureus (mg) | B. cereus (mg) | E. fecalis (mg) | E. coli (mg) |
|---|---|---|---|---|
| Gel without oil | n.a | n.a | n.a | n.a |
| Gel with Oregano® | 16.8/16 1 | 11.15/8.4 1.3 | 8.4/8.4 1 | 8.4/8.4 1 |
| Gel with Thieves | 11.15/11.15 1 | 11.15/11.15 1 | n.a | n.a |
| Gel with Frankincense® | 11.15/11.15 1 | 11.15/11.15 1 | 8.4/8.4 1 | 8.4/8.4 1 |
| Ingredients (%) | Formulation Code of Experimental Hydrogels | |||||||
|---|---|---|---|---|---|---|---|---|
| G1 | G1O | G1T | G1F | G2 | G2O | G2T | G2F | |
| Xanthan gum | 0.86 | 0.86 | 0.86 | 0.86 | 0.86 | 0.86 | 0.86 | 0.86 |
| Glycerin | 17.19 | 17.19 | 17.19 | 17.19 | 17.19 | 17.19 | 17.19 | 17.19 |
| Lyophilized Whey | 0.58 | 0.58 | 0.58 | 0.58 | 0.58 | 0.58 | 0.58 | 0.58 |
| Polyvinylpyrrolidone | 0.58 | 0.58 | 0.58 | 0.58 | 0.58 | 0.58 | 0.58 | 0.58 |
| PEG 400 | 0.58 | 0.58 | 0.58 | 0.58 | 0.58 | 0.58 | 0.58 | 0.58 |
| Distilled water | 80.20 | 79.99 | 79.99 | 79.99 | - | - | - | - |
| Kaqun® water | - | - | - | - | 80.20 | 79.99 | 79.99 | 79.99 |
| 2-Hydroxyethyl salicylate | 0.015 | 0.015 | 0.015 | 0.015 | 0.015 | 0.015 | 0.015 | 0.015 |
| * Oregano® | - | 0.21 | - | - | - | 0.21 | - | - |
| * Thieves® | - | - | 0.21 | - | - | - | 0.21 | - |
| * Frankincense® | - | - | - | 0.21 | - | - | - | 0.21 |
| pH of hydorgels | 6.5 | 6.5 | 6.5 | 6. | 6.5 | 6.5 | 7 | 7 |
Disclaimer/Publisher’s Note: The statements, opinions and data contained in all publications are solely those of the individual author(s) and contributor(s) and not of MDPI and/or the editor(s). MDPI and/or the editor(s) disclaim responsibility for any injury to people or property resulting from any ideas, methods, instructions or products referred to in the content. |
© 2023 by the authors. Licensee MDPI, Basel, Switzerland. This article is an open access article distributed under the terms and conditions of the Creative Commons Attribution (CC BY) license (https://creativecommons.org/licenses/by/4.0/).
Share and Cite
Muresan, S.M.C.; Dreanca, A.; Repciuc, C.; Dejescu, C.; Rotar, O.; Pop, R.A.; Pantea, S.; Pall, E.; Ciotlaus, I.; Sarosi, C.; et al. Dental Hydrogels with Essential Oils with Potential Activity in Periodontitis. Appl. Sci. 2023, 13, 1787. https://doi.org/10.3390/app13031787
Muresan SMC, Dreanca A, Repciuc C, Dejescu C, Rotar O, Pop RA, Pantea S, Pall E, Ciotlaus I, Sarosi C, et al. Dental Hydrogels with Essential Oils with Potential Activity in Periodontitis. Applied Sciences. 2023; 13(3):1787. https://doi.org/10.3390/app13031787
Chicago/Turabian StyleMuresan, Stefana Maria Cristina, Alexandra Dreanca, Calin Repciuc, Cosmina Dejescu, Oana Rotar, Raul Alexandru Pop, Stelian Pantea, Emoke Pall, Irina Ciotlaus, Codruta Sarosi, and et al. 2023. "Dental Hydrogels with Essential Oils with Potential Activity in Periodontitis" Applied Sciences 13, no. 3: 1787. https://doi.org/10.3390/app13031787
APA StyleMuresan, S. M. C., Dreanca, A., Repciuc, C., Dejescu, C., Rotar, O., Pop, R. A., Pantea, S., Pall, E., Ciotlaus, I., Sarosi, C., Mohan, A. G., Moldovan, M., & Oana, L. (2023). Dental Hydrogels with Essential Oils with Potential Activity in Periodontitis. Applied Sciences, 13(3), 1787. https://doi.org/10.3390/app13031787

