Field Test Study of Performance of Bored Piles in Collapsible Loess
Abstract
:1. Introduction
2. Testing Program
2.1. Test Site
2.2. Perimental Design of Bored Piles
- Test pile parameter design
- 2.
- Compaction effect test of soil between piles
- 3.
- Vertical ultimate bearing capacity test of single pile
- 4.
- Test of side friction under unsoaked conditions
- 5.
- Test of side friction underwater immersion
3. Analysis
3.1. Analysis of Dry Density Variation with Depth of Soil between Piles
3.2. Analysis of Collapse Coefficient Variation with Depth of Soil between Piles
3.3. Calculation of Single Pile Effective Compaction Range
3.4. Analysis of Vertical Bearing Characteristics of Bored Piles
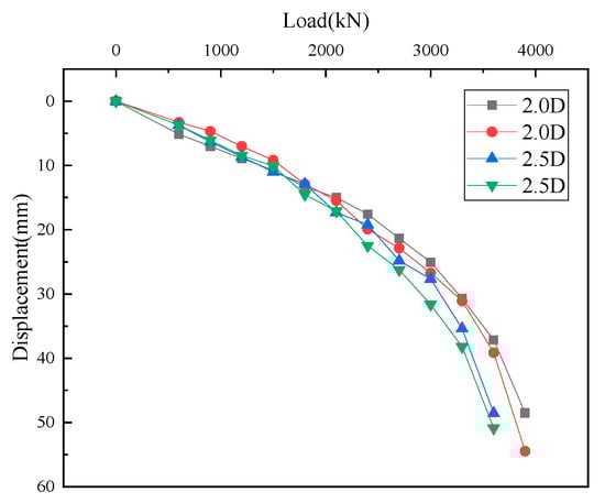
3.4.1. Test Analysis of Pile Side Friction
3.4.2. Test Analysis of the Vertical Ultimate Bearing Capacity
3.4.3. Test Analysis of the Negative Friction on the Pile Side
4. Conclusions
- With a reduction in the center distance of the pile, the dry density of the soil between the piles increased dramatically, but the self-weight collapsing coefficient and collapsing coefficient decreased significantly. When the center distances of the pile were 1.0, 1.25, and 1.5 m, the average dry soil densities in the depth range raised by 23.8%, 18.5%, and 3.1%, respectively, compared to a natural foundation. When the center distance of the pile was smaller than or equal to 2.5D, there was no possibility of soil collapse between piles. When bored piles are used to treat a considerable thickness of the collapsing loess foundation, a center distance of a pile of 2.5D is recommended to eliminate collapse.
- Based on the hole expansion theory, a technique is presented for estimating the effective squeezing range of a single pile, which can offer theoretical support for selecting a suitable center distance of the pile when bored piles are used with a collapsible loess foundation.
- Bored piles utilize the extrusion and expansion effects of the drill bit and the positive compaction effect during pile formation, substantially increasing the pile–soil interface stress and side friction. The compaction impact and side friction increased with decreasing pile separation. The average ultimate friction resistance of the bored piles improved by 63.5% and 48.5% when the center distance of the pile was 2.0D and 2.5D, respectively, compared to that of a non-extruded pouring pile.
- With the extension of immersion time, the depth of water penetration and collapse deformation increased, and the negative friction of the pile side went through three stages: a gradual increase, a fast increase, and a steady fluctuation. In addition, the negative friction of the pile side exhibited two peaks during the steady phase of immersion and consolidation of the soil around the pile following immersion. When the pile diameters were 500 and 800 mm, the average negative friction of bored piles was 27.9 and 26.43 kPa, respectively. Compared with a non-extruded pouring pile, the average negative friction of bored piles with a pile diameter of 800 mm was 14% higher. Therefore, to maximize the technical benefits of bored piles in a loess foundation with large thicknesses and high collapsibility, the collapsibility of the loess foundation must be completely or partially eradicated beforehand.
Author Contributions
Funding
Institutional Review Board Statement
Informed Consent Statement
Data Availability Statement
Conflicts of Interest
References
- Huang, X.; Chen, Z.; Fang, X.; Zhang, J. Study on foundation treatment thickness and treatment method for collapse loess with large thickness. Rock Soil Mech. 2007, 26, 4332–4338. [Google Scholar]
- Chen, T.; Niu, M.; Xie, S. Design parameters of SDS-pile composite foundation in self-weight collapsible loess foundation. Ind. Constr. 2020, 50, 16–21. [Google Scholar]
- Huang, X.; Yang, X.; Liu, H.; Liu, Z.; Zhou, J. Study of relationship between maximum collapsing depth and neutral point position of pile foundation in collapsible loess ground. Rock Soil Mech. 2015, 36, 296–302. [Google Scholar] [CrossRef]
- Brown, D.A. Practical considerations in the selection and use of continuous flight auger and drilled displacement piles. Adv. Des. Test. Deep. Found. 2005, 251–261. [Google Scholar] [CrossRef]
- Shen, S.L.; Han, J.; Du, Y.J. Deep mixing induced property changes in surrounding sensitive marine clays. J. Geotech. Geoenviron. 2018, 134, 845–854. [Google Scholar] [CrossRef]
- Brown, D.; Drew, C. Axial Capacity of Augered Displacement Piles at Auburn University; Proc, Ceo-Denver 2000; New Technological and Design Developments in Deep Foundations, ASCE: Reston, VA, USA, 2000; pp. 397–403. [Google Scholar] [CrossRef]
- Van Impe, W.F.; Peiffer, H. Influence of screw pile installation on the stress state in the soil. In Proceedings of the ERTC3 Seminar, Design of Axially LoadedPiles European Practice, Brussels, Belgium, 17–18 April 1997; pp. 3–19. [Google Scholar]
- Meng, Z.; Chen, J.J.; Zhang, L.; Wang, J.H.; Yao, J.M. Field tests to investigate the installation effects of drilled displacement piles with screw-shaped shaft in clay. J. Geotech. Geoenviron. 2016, 141, 06015010. [Google Scholar] [CrossRef]
- Basu, P.; Prezzi, M.; Salgado, R. Modeling of installation and quantification of shaft resistance of drilled-displacement piles in sand. Int. J. Geomech. 2014, 14, 214–229. [Google Scholar] [CrossRef]
- Liu, Z.; Lu, J.; Zhang, Y.; Li, Z.; Jia, Y. Model test study of load deformation behavior of soil displacement screw pile in sand. Chin. J. Rock Mech. Eng. 2011, 30, 616–624. [Google Scholar]
- Liu, Z.; Yang, S.; Lu, J.; Li, Z. Full scale field load tests on bearing capacity of SDS pile and CFA pile. Chin. J. Geotech. Eng. 2010, 32, 127–131. [Google Scholar]
- NeSmith, W.M. Design and Installation of Pressure-Grouted Drilled Displacement Piles. In Proceedings of the Ninth International Conference on Piling and Deep Foundations, Nice, France, 3–5 June 2002; Available online: https://www.semanticscholar.org/paper/Design-and-Installation-of-Pressure-Grouted%2C-Piles-NeSmith/f072dc13304bd5a582351e13c8c6a363e99d2853 (accessed on 4 January 2023).
- De cock, R.F. Atlas screw pile: A vibration-free, full displacement, cast-in-place pile. Transp. Res. Rec. 1994, 1447, 49–62. [Google Scholar]
- Brown, M.J.; Jeffrey, J.R.; Knappett, J.A.; Ball, J.D.; Caucis, K.; Suryasentana, S.K.; Lehane, B.M. CHD pile performance: Part I–physical modelling. Geotech. Eng. 2016, 169, 421–435. [Google Scholar] [CrossRef]
- Albuquerque, P.J.R.; de Freitas Neto, O.; Garcia, J.R. Behavior of instrumented omega pile in porous soil. Adv. Mater. Res. 2014, 1030–1032, 732–735. [Google Scholar] [CrossRef]
- Larisch, M.D. Behaviour of stiff, fine-grained soil during the installation of screw auger displacement piles. Auger Mech. 2014. [Google Scholar] [CrossRef]
- Brettmann, T.; Nesmith, W. Advances in auger pressure grouted piles: Design, construction and testing. Geo-Front. Congr. 2005, 12, 262–274. [Google Scholar] [CrossRef]
- Marinucci, A.; Wilson, S.E. Steel drilled displacement piles (M-Piles) overview and case history. In Proceedings of the GeoShanghai 2018 International Conference: Ground Improvement and Geosynthetics, Shanghai, China, 27–30 May 2018; pp. 48–58. [Google Scholar] [CrossRef]
- Misra, A.; Roberts, L.A.; Park, S. Design methodology for axially loaded auger cast-in-place and drilled displacement piles. J. Geotech. Geoenvironmental 2013, 139, 2231–2232. [Google Scholar] [CrossRef]
- GB50007-2011; Code for Design of Building Foundation. China Architecture and Building Press: Beijing, China, 2011.
- Wang, X.; Chen, T.; Wang, X.; Li, J.; Liu, D.; Zhang, Y.; Jiang, D. Performance of screw piles in thick collapsible loess. Case Stud. Constr. Mater. 2023, 19, e02263. [Google Scholar] [CrossRef]








| Serial Number | Thickness (m) | Description |
|---|---|---|
| (1) | 0.5 | Cultivated soil |
| (2) | 38.0 | Loess soil, the collapsible grade is IV, the collapsible degree is very serious |
| (3) | 2.5 | Breccia (the maximum exploration depth is 41 m) |
| Serial Number | Layer Thickness /(m) | Internal Friction /° | Cohesion/kPa | Moisture Content w/% | Dry Density (g/cm3) | Void Ratio | Compression Coefficient/ (MPa−1) | Collapsibility Coefficient |
|---|---|---|---|---|---|---|---|---|
| (2)-1 | 10 | 32.80 | 34.30 | 9.73 | 1.29 | 1.10 | 0.32 | 0.040 |
| (2)-2 | 10 | 30.64 | 24.61 | 13.52 | 1.31 | 1.07 | 0.21 | 0.056 |
| (2)-3 | 13 | 28.93 | 22.33 | 17.35 | 1.40 | 0.93 | 0.12 | 0.025 |
| Center Distance of Piles | 1.0 m | 1.25 m | 1.5 m | T1 |
|---|---|---|---|---|
| Range value | 1.51–1.75 | 1.40–1.69 | 1.29–1.41 | 1.24–1.35 |
| Average value | 1.61 | 1.50 | 1.34 | 1.30 |
| Center Distance of Piles | 1.0 m | 1.25 m | 1.5 m | T2 |
|---|---|---|---|---|
| Range value | 0–0.013 | 0–0.014 | 0.041–0.098 | 0.057–0.084 |
| Average value | 0.04 | 0.07 | 0.062 | 0.072 |
| Center Distance of Piles | 1.0 m | 1.25 m | 1.5 m | T3 |
|---|---|---|---|---|
| Range value | 0–0.004 | 0–0.007 | 0.07–0.075 | 0.009–0.074 |
| Average value | 0.002 | 0.003 | 0.035 | 0.048 |
| Test Pile Number | Pile Diameter/mm | Downward Load/kN | Negative Friction/kPa | Average Negative Friction/kPa |
|---|---|---|---|---|
| BP 1 | 500 | 447 | 29.43 | 27.90 |
| BP 3 | 500 | 414 | 26.38 | |
| BP 2 | 800 | 672 | 26.75 | 26.43 |
| BP 4 | 800 | 656 | 26.11 | |
| NP 1 | 800 | 540 | 21.50 | 23.15 |
| NP 2 | 800 | 623 | 24.80 |
Disclaimer/Publisher’s Note: The statements, opinions and data contained in all publications are solely those of the individual author(s) and contributor(s) and not of MDPI and/or the editor(s). MDPI and/or the editor(s) disclaim responsibility for any injury to people or property resulting from any ideas, methods, instructions or products referred to in the content. |
© 2023 by the authors. Licensee MDPI, Basel, Switzerland. This article is an open access article distributed under the terms and conditions of the Creative Commons Attribution (CC BY) license (https://creativecommons.org/licenses/by/4.0/).
Share and Cite
Wang, X.; Wang, X.; Li, J.; Liu, D.; Zhang, Y.; Jiang, D. Field Test Study of Performance of Bored Piles in Collapsible Loess. Appl. Sci. 2023, 13, 13113. https://doi.org/10.3390/app132413113
Wang X, Wang X, Li J, Liu D, Zhang Y, Jiang D. Field Test Study of Performance of Bored Piles in Collapsible Loess. Applied Sciences. 2023; 13(24):13113. https://doi.org/10.3390/app132413113
Chicago/Turabian StyleWang, Xingwei, Xu Wang, Jiandong Li, Deren Liu, Yanjie Zhang, and Daijun Jiang. 2023. "Field Test Study of Performance of Bored Piles in Collapsible Loess" Applied Sciences 13, no. 24: 13113. https://doi.org/10.3390/app132413113
APA StyleWang, X., Wang, X., Li, J., Liu, D., Zhang, Y., & Jiang, D. (2023). Field Test Study of Performance of Bored Piles in Collapsible Loess. Applied Sciences, 13(24), 13113. https://doi.org/10.3390/app132413113
