Abstract
In this work, a series of thiosemicarbazones with phenol fragments were used as starting compounds for the synthesis of new effective antioxidants containing both a phenol substituent and a heterocyclic fragment: thiazole and thiazolidinone. To determine the most stable conformation of thiosemicarbazone, a potential energy scan was used, along with NOESY NMR spectroscopy data. A number of thiazole derivatives were obtained due the interaction of thiosemicarbazones with several bromoketones: bromoacetophenone, bromodimedone, and bromoacetylcoumarin. The product yields varied from 71 to 94%. Thiazolidinone derivatives were obtained through the reaction between thiosemicarbazones and chloroacetic acid or maleic anhydride with good yields of 82–95%. The antioxidant activities of all the products were determined in vitro: the radical cation scavenging activity was estimated using 2,2′-azino-bis(3-ethylbenzothiazoline-6-sulfonate), while the ferric reducing capacity was determined using the ferricyanide/Prussian blue method. It was found that the antioxidant activity of most synthesized substances in both tests exceeds the activity of 4-methyl-2,6-di-tert-butylphenol, while derivatives with a fragment of 2,6-di-tert-butylphenol have the highest activity.
1. Introduction
The formation of reactive oxygen species (ROS), including free radicals and peroxides of both inorganic and organic origin, is a result of normal cells functions. An overproduction of ROS causes redox imbalance of the cell’s homeostasis and triggers oxidative stress. This state is very harmful for the cell, since ROS are responsible for the oxidation of cellular macromolecules such as carbohydrates, lipids, proteins, and DNA []. Oxidative stress is the cause or an important component of many severe diseases, including hypertension [], atherosclerosis [], Alzheimer’s disease [], diabetes [], and infertility [], and is also one of the components of chronic fatigue syndrome [].
The endogenous antioxidant defense system of the cell controls the balance between produced and eliminated ROS through the use of different enzymes [,]. However, to complement endogenous antioxidant defense systems’ exogenous antioxidants, both natural and synthetic antioxidants are used. Natural antioxidants are represented mainly by vitamin C, vitamin E, carotenoids, and polyphenols []. Many classes of compounds have established themselves as synthetic antioxidants: arylamines [], alkylbenzotriazoles [], alkylaminothiadiazoles [], flavones and flavonoids [,], hydroxycoumarins [,], and phenols [,,,].
The mechanism of antioxidants’ action in different systems has been studied for several decades, but no universal approach for the development of new antioxidant molecules has been identified yet. The most up-to-date rational design approach for effective antioxidants is to combine in one molecule fragments that interfere with the action of various oxidizing agents. For example, phenols can be used for their ability to interrupt radical reactions. Likewise, S- and N-containing heterocycles can be useful to decompose hydroperoxides and chelate metals []. Thus, hydrazones [,] and thiocarbohydrazones [,] with phenol fragments exhibit strong antioxidant activity. Of note is that antioxidants containing heterocyclic fragments in their chemical structure are also of considerable interest. 1,2,4-Triazole-5-thione I (Figure 1) showed a higher inhibition effect of 2,2-diphenyl-1-picrylhydrazyl (DPPH) free radicals compared to standard antioxidant butylated hydroxytoluene (BHT), and demonstrated the in vitro inhibition of lipid peroxidation, decreasing the Fe2+ ion-induced lipid peroxidation of essential oils []. Pyrazole II showed activity in inhibiting the oxidation of DNA induced by 2,2′-azobis(2-amidinopropane) dihydrochloride (AAPH) []. Compound III was found to have high radical scavenging activity, reduced the ROS levels induced by H2O2, and was also found to exhibit strong activity against lung carcinoma and human promyelocytic leukemia [].

Figure 1.
Examples of substances exhibiting different types of antioxidant activity.
Very few systematic studies have been conducted on structure–antioxidant activity correlations in thiazoles with phenolic fragments [,], but the available data show the promising antioxidant activity of this class of compound. The key intermediate for the preparation of thiazoles and many other classes of heterocycle are thiosemicarbazones, which also exhibit antioxidant properties. The relationship between the ability of thiosemicarbazone to inhibit oxidation and the coplanarity of several conjugated fragments of the molecule is known; in addition, in the case of thiosemicarbazones with a phenolic substituent, the ability to intercept radicals is influenced by the possibility of forming a hydrogen bond between the phenolic OH and the azomethine group. To investigate the influence of these factors on the antioxidant properties of the substances, a conformational analysis can be performed [,,].
The aim of this study was to synthesize new antioxidants containing both phenols and a thiosemicarbazone group or thiazole and a thiazolidinone ring. The synthesized compounds were assayed for antioxidant activity to establish which substances are able to inhibit free radical processes and reduce Fe2+ ions.
2. Experimental
2.1. Measurement and Reagents
Starting reagents and solvents were purchased from Acros and Sigma–Aldrich. 3,5-Di-tert-butyl-4-hydroxybenzaldehyde [], formylresorcinol, and 4,6-di-tert-butyl-2,3-dihydroxybenzaldehyde [] were synthesized as described previously. A Stuart SMP30 instrument was used to determine melting points of substances. Agilent Carry 600 spectrometer was used to record the IR spectra. Spectra were obtained with attenuated total reflectance (ATR) device (ZnSe) with 32 scans. Bruker Avance II 300 spectrometer (1H, 300 MHz; 13C, 75 MHz) was used to record the 1H and 13C NMR spectra in DMSO D-6 with Me4Si as the internal reference. Spectra are presented in Supplementary Materials. Elemental analysis was carried out with a Vario MicroCube apparatus.
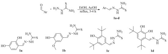
2.2. General Procedure for the Preparation of Thiosemicarbazones 1a–d
The solution of thiosemicarbazide (11 mmol) in 40 mL mixture of ethanol and acetic acid (1:1) was stirred under reflux for 3–4 h. Reaction mixture was cooled to room temperature and poured into ice water, and the precipitate formed was filtered off and recrystallized from isopropanol.
2,4-dihydroxybenzaldehyde thiosemicarbazone (1a) was prepared from thiosemicarbazide and 2,4-dihydroxybenzaldehyde (1.52 g).
White powder. Yield 87% (2.02 g), m.p. 235–236 °C (lit. 237–238 °C []). 1H NMR (DMSO-d6, δ, ppm, 3JHH, Hz): 9.98 s (1H, OH), 9.65 (br.s. 1H, NH), 7.99 s (1H, CH), 7.50 d (J = 9.0 Hz, 1H, Har), 6.26 s (1H, Har), 6.22 d (J = 9.0 Hz, 1H, Har). FT-IR, ν, cm−1: 3673 (O–H), 1618 (C=N), 1500, 1232, 1110 (C–O). Calc., %: C 45.49; H 4.29; N 19.89; S, 15.18. Found, %: C 45.62, H 4.43, N 19.87, S 15.15.
4-hydroxy-3-methoxybenzaldehyde thiosemicarbazone (1b) was prepared from thiosemicarbazide and vanillin (1.67 g).
White powder. Yield 91% (2.25 g), m.p. 196–198 °C (lit. 197 °C []). 1H NMR (DMSO-d6, δ, ppm, 3JHH, Hz): δ 11.20 s (1H, NH), 9.51 s (1H, OH), 8.04 s (1H, CH), 7.90 s (2H, NH2), 7.43 s (1H, Har), 7.03 d (J = 9.0 Hz, 1H, Har), 6.74 d (J = 9.0 Hz, 1H, Har), 4.01 s (3H, O-CH3). NMR13C (DMSO-d6, δ, ppm): 177.8 (NH2-C=S), 149.2 (Car-OH), 148.5 (Car-O-CH3), 143.5 (CH=N), 126.0, 122.8, 115.7, 109.7, 56.2 (O-CH3). FT-IR, ν, cm−1: 3528 (O–H), 3436 (N-H), 3274 (N-H), 1586 (C=N Ar), 1544 (C=C Ar), 1276 (C-N), 850, 836, 816 (C-H Ar). Calc., %: C 47.99; H 4.92; N 18.65; S, 14.23. Found, %: C 47.82, H 5.03, N 18.61, S 14.30.
3,5-di-tert-butyl-4-hydroxybenzaldehyde thiosemicarbazone (1c) was prepared from thiosemicarbazide and 3,5-di-tert-butyl-4-hydroxybenzaldehyde (2.57 g).
White powder. Yield 89% (3.01 g), m.p. 183–184 °C. 1H NMR (DMSO-d6, δ, ppm, 3JHH, Hz): 11.19 s (1H, NH), 7.94 s (1H, CH), 7.41 s (2H, Har), 7.33 s (1H, OH), 1.37 s (18H, t-Bu). 13C NMR (DMSO-d6, δ, ppm): δ 177.7 (NH2-C=S), 156.5, 144.6, 139.6, 139.1, 127.35, 125.7, 124.5, 35.0 ((CH3)3C), 30.7 ((CH3)3C). FT-IR, ν, cm−1: 3624 (O–H), 3453 (N-H), 3236 (N-H), 3155 (N-H),1604 (C=N Ar), 1533 (C=C Ar), 1294 (C-N), 889, 837 (C-H Ar). Calc., %: C, 62.51; H, 8.20; N, 13.67; S, 10.43. Found, %: C 62.37, H 8.31, N 13.62, S 10.45.
4,6-di-tert-butyl-2,3-dihydroxybenzaldehyde thiosemicarbazone (1d) was prepared from thiosemicarbazide and 3,5-di-tert-butyl-4-hydroxybenzaldehyde (2.75 g).
White powder. Yield 82% (2.91 g), m.p. 191–193 °C. 1H NMR (DMSO-d6, δ, ppm, 3JHH, Hz): 11.58 s (1H, NH), 10.27 s (1H, OH), 8.91 s (1H, CH), 8.18 s (2H, NH2), 7.91 s (1H, OH), 6.76 s (1H, Har), 1.34 s (9H, t-Bu), 1.33 s (9H, t-Bu). 13C NMR (DMSO-d6, δ, ppm): 197.9 (NH2-C=S), 172.5, 153.1, 146.7, 142.7, 139.3, 136.2, 35.6 ((CH3)3C), 35.3((CH3)3C), 32.8 ((CH3)3C), 29.6 ((CH3)3C). FT-IR, ν, cm−1: 3467 (N–H), 1610 (C=N), 1587 (C=C), 1293, 1080 (C–O). Calc., %: C 59.41; H 7.79; N 9.89; S 9.91. Found, %: C 59.30; H 7.75; N 9.83; S 9.88.
2.3. General Procedure for the Preparation of 2-Arylidenehydrazineyl-4-phenylthiazoles 2a–d
A solution of thiosemicarbazone 1 (3 mmol) with bromoacetophenone (3 mmol, 0.60 g) or bromoacetylcoumarin (3 mmol, 0.80 g) was stirred under reflux for 1.5 h in 15 mL of THF. Reaction mixture was cooled to room temperature and poured into ice water, and the precipitate formed was filtered off and recrystallized from the appropriate solvent.
4-((2-(4-phenylthiazol-2-yl)hydrazono)methyl)benzene-1,3-diol (2a) was prepared from bromoacetophenone and 1a (0.63 g).
White powder. Yield 74% (0.69 g), m.p. 223–225 °C (EtOH:H2O 3:1) (lit. 227–228 °C []). 1H NMR (DMSO-d6, δ, ppm, 3JHH, Hz): δ 8.34 s (1H, CH=N), 7.77 d (J = 9.0, 2H, Har), m 7.47–7.32 (4H, Har); 7.29 s (1H, CH, thiazole); 6.36–6.31 dd (3J = 8.0 Hz, 4J = 2.0 Hz), 6.35 d (4J = 2.0 Hz, 1H, Har). 13C NMR (DMSO-d6, δ, ppm): 191.5, 169.0, 165.6, 163.7, 133.4, 131.3, 129.9, 129.8, 129.1, 115.7, 110.7, 109.1, 107.6, 102.7. FT-IR, ν, cm−1: 3228 (O–H), 1615 (C=N), 1511, 1314, 1241, 1165 (C–O). Calc., %:. C, 61.72; H, 4.21; N, 13.50; S, 10.30. Found %: C 61.68, H 4.27, N 13.55, S 10.33.
2,6-di-tert-butyl-4-((2-(4-phenylthiazol-2-yl)hydrazineylidene)methyl)phenol (2b) prepared from bromoacetophenone and 1c (0.92 g).
Yellow solid. Yield 71% (0.87 g), m.p. 166–167 °C (EtOH: H2O 3:1). NMR 1H (DMSO-d6, δ, ppm, 3JHH, Hz): 11.91 s (1H, NH), 7.97 s (1H, CH=N), 7.87 d (2H, Har, J = 6.0), 7,46 s (2H, Har), 7, 44 t (2H, Har, J = 6.0), 7.30 s (1H, OH), 7.25 s (2H, Har), 1.42 (s, 18H, 2(CH3)3); NMR13C (DMSO-d6, δ, ppm): 169.0, 155.9, 142.9, 139.7, 135.3, 129.0, 128.4, 127.9, 126.4, 126.0 123.5, 103.7, 35.0, 30.6. FT-IR, ν, cm−1: 3673 (O–H), 1577 (C=N), 1365 (C-H Ar). Calc., %: C, 70.73; H, 7.17; N, 10.31; S, 7.87. Found %: C, 70.81; H, 7.28; N, 10.25; S, 7.92.
4,6-di-tert-butyl-3-((2-(4-phenylthiazol-2-yl)hydrazineylidene)methyl)benzene-1,2-diol (2c) prepared from bromoacetophenone and 1d (0.97 g).
Yellow solid. Yield 70% (0.89 g), m.p. 191–193 °C (EtOH: H2O 2:1). 1H NMR (DMSO-d6, δ, ppm, 3JHH, Hz): δ 11.44 s (1H, OH), 9.03 s (1H, CH), 7.82 d (2H, Ar, J = 9.0), 7.37 t (2H, Ar, J = 9.0), 7.33 s (1H, H-C-S), 7.27 m (1H, Har), 6.77 s (1H, Har), 1.38 s (9H, t-Bu), 1.33 s (9H, t-Bu). NMR13C (DMSO-d6, δ, ppm): 189.1, 166.5, 155.8, 147.1, 143.9, 142.4, 138.1, 135.6, 135.0, 132.3, 129.8, 126.4, 114.3, 113.8, 35.5, 35.2, 32.8, 29.6. FT-IR, ν, cm−1: 3375 (O–H), 1621 (C=C), 1588 (C=N), 1417 (=C-H), 1364 (C-H Ar). Calc., %: C, 68.06; H, 6.90; N, 9.92; S, 7.57. Found, %: C, 68.02; H, 7.02; N, 9.82; S, 7.53.
3-(2-(2-(2,4-dihydroxybenzylidene)hydrazineyl)thiazol-4-yl)-2H-chromen-2-one (2d) prepared from bromoacetylcoumarin and 1a (0.63 g).
Yellow solid. Yield 90% (1.02 g), m.p. 278–280 °C (EtOH). NMR 1H (DMSO-d6, δ, ppm, 3JHH, Hz): 11.96 s (1H, NH), 10.08 s (1H, OH), 9.81 s (1H, OH), 8.53 s (1H, CH-S), 8.24 s (1H, CH=N), 7.86 d (J = 9, 1H, Har rez), 7.73 s (1H, Har coumarin), 7.64 t (J = 9, 1H, Har), 7.46–7.35 m (3H, Har), 6.33 s (2H, Har). 13C NMR (DMSO-d6, δ, ppm): 167.9, 160.6, 159.2, 158.2, 152.8, 144.5, 141.8, 138.6, 132.1, 129.3, 128.6, 121.0, 119.7, 116.3, 112.0, 110.4, 108.4, 102.9, 56.5. FT-IR, ν, cm-1: 3601 (O–H), 3213 (N-H), 1716 (C=O), 1627 (C=C), 1504 (C=N), 1095 (C-O). Calc., %: C, 60.15; H, 3.45; N, 11.08; S, 8.45. Found, %: C, 60.01; H, 3.55; N, 11.12; S, 8.41.
3-(2-(2-(4,6-di-tert-butyl-2,3-dihydroxybenzylidene)hydrazineyl)thiazol-4-yl)-2H-chromen-2-one (2e) prepared from bromoacetylcoumarin and 1c (0.92 g).
White solid. Yield 94% (1.38 g), m.p. 299–301 °C (EtOH). NMR 1H (DMSO-d6, δ, ppm, 3JHH, Hz): 11.52 s (1H, NH), 9.05 s (1H, CH-S), 8.55 s (1H, CH=N), 7.87 d (J = 9, 1H, Har), 7.82 s (1H, Har coumarin), 7.65 t (J = 9, 1H, Har), 7.45–7.36 m (3H, Har), 6.80 s (1H, Har phenol), 1.40 s (9H, t-Bu), 1.35 s (9H, t-Bu). 13C NMR (DMSO-d6, δ, ppm): 166.4, 159.2, 152.8, 147.2, 146.2, 144.6, 142.5, 139.0, 138.5, 136.1, 132.3, 129.4, 125.2, 120.8, 119.6, 116.4, 110.6, 35.5, 35.3, 32.9, 29.6. FT-IR, ν, cm−1: 3416 (O–H), 1710 (C=O), 1608 (C=C), 1375 (C-H Ar). Calc., %: C, 65.97; H, 5.95; N, 8.55; S, 6.52. Found, %: C, 65.82; H, 6.02; N, 8.57; S, 6.46.
2.4. General Procedure for the Preparation of 2-(2-Arylidenehydrazineyl)-5,5-dimethyl-5,6-dihydrobenzo[d]thiazol-7(4H)-ones 3a–d
A solution of thiosemicarbazone 1a–d (3 mmol), bromodimedone (3 mmol, 0.42 g) and sodium acetate (9 mmol, 0.74 g) was stirred and refluxed for 4 h in 15 mL of EtOH with 1ml of acetic acid. Reaction mixture was cooled to room temperature and poured into ice water, and the precipitate formed was filtered off. The resulting crystals were recrystallized from the appropriate solvent.
(2-(2,4-dihydroxybenzylidene)hydrazinyl)-5,5-dimethyl-5,6-dihydrobenzo[d]thiazol-7(4H)-one (3a) prepared from bromodimedone and 1a (0.63 g).
Yellow solid. Yield 68% (0.68 g), m.p. 155–156 °C (EtOH) NMR 1H (DMSO-d6, δ, ppm, 3JHH, Hz): 12.39 s (1H, NH), 10.33 s (1H, OH), 9.94 s (1H, OH), 8.31 s (1H, CH), 7.40 d (1H, J = 9.0 Hz, Har), 6.31 s (2H, Har), 2.62 s (2H, CH2), 2.29 s (2H, CH2), 1.03 s (6H, 2CH3). 13C NMR (DMSO-d6, δ, ppm) δ 189.3, 189.0, 162.0, 161.3, 159.1, 129.7, 112.5, 111.6, 108.6, 107.7, 104.0, 102.9, 51.1, 34.9, 28.4. FT-IR, ν, cm−1: 3674 (O–H), 1621 (C=O), 1587 (C=N Ar), 1520, 1110 (C-O). Calc., %: C, 65.97; H, 5.95; N, 8.55; S, 6.52. Found, %: C, 65.82; H, 6.04; N, 8.49; S, 6.56.
2-(2-(4-hydroxy-3-methoxybenzylidene)hydrazinyl)-5,5-dimethyl-5,6-dihydrobenzo[d]thiazol-7(4H)-one (3b) prepared from bromodimedone and 1b (0.68 g).
Yellow solid. Yield 84% (0.87 g), m.p. 188–191 °C (EtOH). NMR 1H (DMSO-d6, δ, ppm, 3JHH, Hz): δ 9.62 s (1H, OH), 8.00 s (1H, CH), 7.23 s (1H, Har), 7.09 d (1H, J = 9.0 Hz, Har), 6.82 d (1H, J = 9.0 Hz, Har), 3.79 s (3H, CH3-O), 2.64 s (2H, CH2), 2.30 (2H, CH2), 1.02 s (6H, 2CH3). 13C NMR (DMSO-d6, δ, ppm) 190.5, 189.7, 172.7, 165.6, 149.5, 148.5, 146.5, 125.7, 121.9, 117.9, 116.1, 109.9, 56.0, 51.2, 34.9, 28.4. FT-IR, ν, cm−1: 3674 (O–H), 1620 (C=O), 1599 (C=C Ar), 1567 (C=N). Calc., %: C, 59.11; H, 5.54; N, 12.17; S, 9.28. Found, %: C, 59.18; H, 5.62; N, 12.14; S, 9.21.
2-(2-(3,5-di-tert-butyl-4-hydroxybenzylidene)hydrazineyl)-5,5-dimethyl-5,6-dihydrobenzo[d]thiazol-7(4H)-one (3c) prepared from bromodimedone and 1c (0.92 g).
White solid. Yield 71% (0.91 g). m.p. 166–167 °C (AcOH). NMR 1H (DMSO-d6, δ, ppm, 3JHH, Hz): 8.05 s (1H, CH); 7.43 s (2H, Ar); 2.60 s (2H, CH2); 2.25 s (2H, CH2); 1.37 s (18H, 2(CH3)3); 1.01 s (6H, 2(CH3)); NMR13C (DMSO-d6, δ, ppm): 189.0, 173.7, 172.8, 166.0, 156.5, 147.0, 139.7, 126.0, 124.0, 117.1, 51.2, 34.9, 34.9, 30.6, 28.5, 21.9. FT-IR, ν, cm−1: 3380 (O–H), 1620 (C=O), 1580 (C=N), 1577 (C=C Ar), 1045 (C-O). Calc, %: C, 67.41; H, 7.78; N, 9.83; S, 7.50. Found, %: C, 67.35; H, 7.82; N, 9.69; S, 7.52.
2-(2-(4,6-di-tert-butyl-2,3-dihydroxybenzylidene)hydrazineyl)-5,5-dimethyl-5,6-dihydrobenzo[d]thiazol-7(4H)-one (3d) prepared from bromodimedone and 1d (0.97 g).
Yellow solid. Yield 91% (1.21 g), m.p. 130–132 °C (EtOH: H2O 3:1). NMR 1H (DMSO-d6, δ, ppm, 3JHH, Hz): 12.77 s (1H, OH), 11.68 s (1H, NH), 9.08 s (1H, OH), 8.43 s (1H, CH), 6.78 s (1H, Har), 2.66 s (2H, CH2), 2.32 s (2H, CH2), 1.37 s (9H, t-Bu), 1.33 (9H, t-Bu), 1.04 s (6H, 2CH3). NMR13C (DMSO-d6, δ, ppm): 189.3, 148.2, 142.6, 139.0, 136.8, 115.0, 113.1, 50.9, 35.6, 35.4, 35.0, 33.0, 29.6, 28.3. FT-IR, ν, cm−1: 3458 (O–H), 1639 (C=O), 1598 (C=N Ar), 1573 (C=C Ar), 1369 (C-H Ar). Calc, %: C, 64.98; H, 7.50; N, 9.47; S, 7.23. Found, %: C, 64.90; H, 7.62; N, 9.45; S, 7.24.
2.5. General Procedure for the Preparation of 2-((2,4-Arylidene)hydrazineylidene)thiazolidin-4-one 4a–d
Thiosemicarbazone 1a–d (3 mmol), chloroacetic acid (3 mmol, 0.28 g), and sodium acetate (9 mmol, 0.74 g) were dissolved in acetic acid (20 mL). Reaction mixture was refluxed with stirring for 4–5 h, cooled to room temperature, poured into ice water, and the precipitate formed was filtered off and recrystallized from the appropriate solvent.
2-((2,4-dihydroxybenzylidene)hydrazineylidene)thiazolidin-4-one (4a) prepared from chloroacetic acid and 1a (0.63 g).
Yellow solid. Yield 45% (0.34 g), m.p. 339–340 °C (EtOH: H2O 2:1). NMR 1H (DMSO-d6, δ, ppm, 3JHH, Hz): 11.02 s (1H, OH), 10.06 s (1H, OH), 8.47 s (1H, CH), 7.34 d (J = 9.0 Hz, 1H, Har), 6.37 d (J = 9.0 Hz, 1H, Har), 6.31 s (1H, Har), 3.93 s (2H, CH-C=O). NMR13C (DMSO-d6, δ, ppm): 206.9, 174.2, 162.7, 161.9, 160.7, 158.8, 133.0, 110.9, 108.5, 102.9. FT-IR, ν, cm−1: 3471 (O–H), 1678 (C=O), 1611 (C=N), 1597 (C=C Ar). Calc, %: C, 47.80; H, 3.61; N, 16.72; S, 12.76. Found, %: C, 47.75; H, 3.80; N, 16.65; S, 12.68.
2-((4-hydroxy-3-methoxybenzylidene)hydrazineylidene)thiazolidin-4-one (4b) prepared from chloroacetic acid and 1b (0.68 g).
Yellow solid. Yield 95% (0.76 g), m.p. 257–259 °C (EtOH: H2O 3:1). NMR 1H (DMSO-d6, δ, ppm, 3JHH, Hz): 9.94 s (1H, OH), 8.23 s (1H, CH), 7.29 s (1H, Har), 7.15 d (J = 8.0 Hz, 1H, Har), 6.87 d (J = 8.0 Hz, 1H, Har), 3.83 s (2H, CH2), 3.77 s (3H, CH3). FT-IR, ν, cm−1: 3554 (O–H), 1684 (C=O), 1637 (C=N), 1585 (C=C Ar). Calc, %: C, 49.80; H, 4.18; N, 15.84; S, 12.09. Found, %: C, 49.76; H, 4.29; N, 15.82; S, 12.12.
2-((3,5-di-tert-butyl-4-hydroxybenzylidene)hydrazineylidene)thiazolidin-4-one (4c) prepared from chloroacetic acid and 1c (0.93 g).
Yellow solid. Yield 89% (0.93 g), m.p. 308–310 °C (EtOH: H2O 3:1). NMR 1H (DMSO-d6, δ, ppm, 3JHH, Hz): 11.91 s (1H, NH), 8.27 s (1H, CH), 7.53 s (2H, Har), 7.48 s (1H, OH), 3.82 s (2H, CH2), 1.37 s (18H, t-Bu). 13C NMR (DMSO-d6, δ, ppm): 177.7, 156.5, 144.6, 139.6, 127.4, 125.7, 124.5, 55.4, 35.0, 30.7. FT-IR, ν, cm−1: 3628 (O–H), 1720 (C=O), 1640 (C=N), 1599 (C=C Ar). Calc, %: C, 62.22; H, 7.25; N, 12.09; S, 9.23.Found, %: C, 62.36; H, 7.42; N, 12.05; S, 9.20.
2-((4,6-di-tert-butyl-2,3-dihydroxybenzylidene)hydrazineylidene)thiazolidin-4-one (4d) prepared from chloroacetic acid and 1d (0.97 g).
Yield 88% (0.96 g), m.p. 258–260 °C 1H NMR (DMSO-d6, δ, ppm, 3JHH, Hz): 12.26 (s, 1H, OH), 12.03 (s, 1H, NH), 9.18 (s, 1H, OH), 8.45 (s, 1H, CH), 6.81 (s, 1H, Har), 4.02 (s, 2H, CH2), 1.39 (s, 9H, t-Bu), 1.36 (s, 9H, t-Bu). 13C NMR (DMSO-d6, δ, ppm): 174.4, 172.4, 164.5, 149.3, 142.6, 139.6, 137.4, 112.8, 35.5, 35.4, 34.2. FT-IR, ν, cm−1: 3499 (O–H), 1677 (C=O), 1623 (C=N), 1599 (C=C Ar). Calc, %: C, 59.48; H, 6.93; N, 11.56; S, 8.82. Found, %: C, 59.31; H, 7.01; N, 11.59; S, 8.78.
2.6. General Procedure for the Preparation of 2-(2-Arylidene)hydrazineylidene)-4-oxothiazolidin-5-yl)acetic Acid 5a–d
Thiosemicarbazone 1a–d (1.63 mmol) and maleic anhydride (1.79 mmol, 0.18 g) were dissolved in acetic acid (15 mL). Reaction mixture was stirred and refluxed for 6 h, cooled to room temperature and poured into water, the precipitate was filtered off and recrystallized from the appropriate solvent.
2-(2-(-2,4-dihydroxybenzylidene)hydrazineylidene)-4-oxothiazolidin-5-yl)acetic acid (5a) prepared from maleic anhydride and 1a (0.35 g).
Yellow solid. Yield 91% (0.46 g), m.p. 295–297 °C (EtOAc). 1H NMR (DMSO-d6, δ, ppm, 3JHH, Hz): 12.25 bs (1H, COOH), 11.06 s (1H, OH), 10.11 s (1H, OH), 8.47 s (1H, CH=N), 7.34 d (J = 9.0 Hz, 1H, Har), 6.38 d (J = 9.0 Hz, 1H, Har), 6.29 s (1H, Har), 4.40 s (1H, CH), 3.06 m (2H, CH2-COOH). 13C NMR (DMSO-d6, δ, ppm): 175.4, 172.2, 161.8, 161.8, 160.6, 158.7, 133.0, 110.8, 108.4, 102.8, 44.4, 36.9. FT-IR, ν, cm−1: 3368 (O–H), 1728 (C=O), 1695 (S-C=O), 1625 (C=N Ar), 1274 (C-H). Calc, %: C, 46.60; H, 3.58; N, 13.59; S, 10.37. Found, %: C, 46.53; H, 3.64; N, 13.54; S, 10.32.
2-(2-(4-hydroxy-3-methoxybenzylidene)hydrazineylidene)-4-oxothiazolidin-5-yl)acetic acid (5b) prepared from maleic anhydride and 1b (0.37 g).
Yellow solid. Yield 87% (0.46), m.p. 265–267 °C (EtOAc). NMR 1H (DMSO-d6, δ, ppm, 3JHH, Hz): δ 12.27 bs (1H, COOH), 9.61 s (1H, OH), 8.24 s (1H, CH=N), 7.30 s (1H, Har), 7.18 d (J = 9.0 Hz, 1H, Har), 6.83 d (J = 9.0 Hz, 1H, Har), 4.30 t (J = 4.0 Hz, 1H, CH), 3.79 s (3H, O-CH3) 3.03 s (2H, CH2-COOH). 13C NMR (DMSO-d6, δ, ppm): δ 175.8, 172.2, 162.7, 156.8, 149.8, 148.2, 126.0, 122.6, 115.9, 110.7, 55.9, 43.8, 37.1. FT-IR, ν, cm−1: 3483 (O–H), 1724 (C=O), 1710 (S-C=O), 1602 (C=N), 1579 (C=C Ar), 1274 (C-H). Calc, %: C, 48.29; H, 4.05; N, 13.00; S, 9.92. Found, %: C, 48.37; H, 4.20; N, 13.01; S, 9.85.
2-(2-(3,5-di-tert-butyl-4-hydroxybenzylidene)hydrazineylidene)-4-oxothiazolidin-5-yl)acetic acid (5c) prepared from maleic anhydride and 1c (0.50 g).
Yellow solid. Yield 93% (0.61 g), m.p. 208–209 °C (EtOH:H2O 1.5:1). NMR 1H (DMSO-d6, δ, ppm, 3JHH, Hz): 12.12 bs (1H, COOH) δ 9.80 s (1H, NH), 8.27 s (1H, CH=N), 7.53 s (2H, Har), 7.44 s (1H, OH), 4.31 m (, 1H, CH), 3.03 m (2H, CH2COOH), 1.39 s (18H, t-Bu). 13C NMR (DMSO-d6, δ, ppm): 192.5, 175.8, 172.1, 157.0, 139.4, 127.3, 126.0, 125.0, 43.8, 37.0, 34.9, 30.5. FT-IR, ν, cm−1: 3628 (O–H), 1721 (C=O), 1667 (S-C=O), 1634 (C=N), 1601 (C=C Ar). Calc, %: C, 59.24; H, 6.71; N, 10.36; S, 7.91. Found, %: C, 59.22; H, 6.87; N, 10.41; S, 7.87.
2-(2-(4,6-di-tert-butyl-2,3-dihydroxybenzylidene)hydrazineylidene)-4-oxothiazolidin-5-yl)acetic acid (5d) prepared from maleic anhydride and 1d (0.53 g).
Yellow solid. Yield 82% (0.56 g), m.p. 302–304 °C (EtOH:H2O 10:1). NMR 1H (DMSO-d6, δ, ppm, 3JHH, Hz): 12.36 s (1H, COOH), 9.17 s 1H (1H, CH=N), 8.54 s (1H, OH), 6.78 s (1H, Har), 4.52 m (1H, CH), 3.11 m (2H, CH2COOH), 1.36 s (9H, t-Bu), 1.33 s (9H, t-Bu). 13C NMR (DMSO-d6, δ, ppm): 175.4, 172.4, 163.5, 159.2, 149.4, 142.7, 139.5, 137.4, 115.0, 112.7, 44.9, 37.0, 35.5, 35.4, 33.1, 29.5. FT-IR, ν, cm−1: 1677 (C=O), 1599 (C=N), 1415 (C-H), 1243 (C-C). Calc, %: C, 56.99; H, 6.46; N, 9.97; S, 7.61. Found, %: C, 57.03; H, 6.55; N, 9.88; S, 7.68.
2.7. Computational Details
Gaussian programs package was used for quantum–chemical calculations [] in combination with GaussView 6.0.16 [], which was applied for the visualization of the obtained results. For the conformational analysis, the B3LYP functional with the 6–311+G (d,p) basis set was used, as it was previously shown [] that it allows the most accurate results to be obtained. Vibrational analysis was performed with B3LYP DFT method in 6–311+G (2d,p) basis set for the free molecules in vacuum. Obtained theoretical values were scaled with 0.9613 factor in order to improve the agreement with the experimental data [].
2.8. Antioxidant Activity
Antioxidant activity was studied using a SOLAR UV-Vis spectrophotometer PB 2201.
2.8.1. ABTS Assay
To produce radical cation (ABTS+), 7 mM ABTS (2,2′-Azinobis(3-ethylbenzothiazoline-6-sulfonic acid) ammonium water solution was mixed with 2.45 mM potassium persulfate. Resulting solution was allowed to stand in the dark at room temperature for 12–16 h. A dark blue color appeared. To prepare the working solution, previous solution was diluted in ethanol until its absorbance was 0.70 ± 0.02 at 734 nm. To 2.7 mL of working solutions, 300 μL of 1 mmol solution of prepared compounds in DMSO (250 µmol) was added. After 10 min, the absorbance at 734 nm was measured using a spectrofotometer. ABTS radical scavenging activity was calculated as follows:
where Dcontrol is the absorbance of ABTS radical in ethanol; Dsample is the absorbance of ABTS radical solution with sample/standard.
ABTS activity = (Dcontrol − Dsample)/Dcontrol
2.8.2. Ferric Ion-Reducing Capacity Assay
To prepare a solution of potassium ferricyanide 1%, 1.0 g of K3[Fe(CN)6] was dissolved in 1 mL of 1 M HCl and a small amount of water, and the volume was adjusted to 100 mL with water. To prepare a solution of ferric chloride (0.2%), 0.2 g of FeCl3∙6H2O was dissolved in 1 mL of 1 M HCl and a small amount of water, and the volume was adjusted to 100 mL with water. Sodium dodecyl sulfate (SDS) solution (1%) was prepared by dissolving 1.0 g of SDS in 100 mL of water. To 100 µL of an antioxidant solution (500 µmol) was added 400 µL of EtOH (96%), 2.5 mL of H2O, 750 µL of 1 M HCl, 750 µL of ferricyanide solution (1%), 250 µL of SDS (1%) and 250 µL of FeCl3∙6H2O (0.2%). The mixture was kept at 50 °C in a water bath for 20 min, allowed to cool to room temperature, and the absorbance was measured at 750 nm relative to the reagent without the test substance.
3. Results and Discussion
The target compounds 1–5 were prepared as it is shown on Scheme 1 and Scheme 2. Initially, the number of thiosemicarbazones was synthesized by the condensation of thiosemicarbazide and series of aldehydes: formylresorcinol—1a; vanillin—1b; 2,3-dihydroxy-4,6-di-tert-butylbenzaldehyde—1c; and 4-hydroxy-3,5-di-tert-butylbenzaldehyde—1d. The IR spectra of compounds 1a–d contain absorption at 1587–1625 cm−1, corresponding to the C=N stretching frequency, and signals near 3450–3200 cm−1, which correspond to N-H symmetric and asymmetric stretching vibrations, which correlates with calculated and literature data []. In the 1H NMR spectrum of compounds 1a–d, the protons of the formyl group of the starting compounds were not presented, and in the region 7.94–8.91 ppm protons of CH=N moiety were observed.

Scheme 1.
Preparation of thiosemicarbazones.

Scheme 2.
Preparation of thiazoles and thiazolidinones 2–5.
To ascertain the prevalence of one particular conformer, a potential energy surface (PES) scan was applied using the B3LYP/6–311+G (d,p) approximation. The configurations of synthetic compounds, corresponding to energy minimum, were explored through the consideration of the torsion angle H5-C5-C6-C7 and torsion angle H3-N3-N4-C5. The torsion angles were rotated between 0° and 360°, and the step was 10°. The structures corresponding to the energy minimum isomers are shown in Figure 2, and the results of the PES scan are shown in Figure 3.

Figure 2.
Structures of the low-energy conformers of thiosemicarbazones 1a,b,d.

Figure 3.
PES analysis of compounds 1a, 1b, and 1d.
It was observed that for φ1, the E configurations reduce the stereochemical repulsions in relation to the Z, and E-isomers are more stable for 1a and 1b. For 1d, a strong spatial interaction of thiosemicarbazide fragment is observed with both OH and tert-butyl groups, forming the most stable rotamer, with a value of φ1 = 106.5. For φ2, Z-isomers were found to be more stable because of the mutual repulsion of sulfur and oxygen atoms of the phenolic group.
In order to consider the predicted energy values with the structure of the compound 1d, the 2D-NOESY spectrum was recorded (Figure 4). In the spectrum, a correlation between the CH proton (8.94) and the protons of the tert-butyl group (1.34) is observed, as well as the absence of correlation between CH and OH protons, which reveals the structure of 1d conformer, as shown in Figure 2.

Figure 4.
2D-NOESY spectrum of 1d.
The reaction of thiosemicarbazones with bromoacetophenone and bromoacetylcoumarin by reflux in ethanol led to the formation of the corresponding thiazoles 2a–e (Scheme 2). The IR spectra of compounds 2a–e show C=N stretching vibrations in the thiazole ring at 1504–1577 cm−1 (according to potential energy distribution (PED)), and there is no absorption band corresponding to the vibrations of N-H bond at between 3150 and 3200 cm−1. The 1H NMR spectra of compounds 2a–c contain signals of the phenyl ring in the region of 7.5 ppm, as well as a singlet in the region of 8 ppm corresponding to the proton of the thiazole ring. In the 1H NMR spectra of substances 2d,e, the singlet near 8.5 ppm corresponding to the CH proton of the thiazole ring group appears, and a series of peaks from 7.73 to 6.33 ppm which correspond to the protons of the coumarin scaffold are observed. Additionally, there are absorption bands of C=O vibrations in coumarin fragments between 1710 and 1716 cm−1 in the IR spectra of these compounds.
The best yields of thiazoles 3a–d were achieved by refluxing the starting thiosemicarbazones and bromodimedone in acetic acid in the presence of sodium acetate. The IR spectra of the obtained compounds show strong absorption bands of C=O stretching vibrations near 1630 cm−1 and signals of C-O stretching vibrations near 1050 cm−1. In the NMR spectra of the obtained substances 3a–d, there are singlets near 12 ppm corresponding to the NH proton, a singlet at 2.6 and 2.2 ppm indicating the presence of two CH2-group protons, and signals near 1–1.05 ppm corresponding to six protons of two methyl groups.
In order to expand the range of heterocycles with phenol fragments obtained from thiosemicarbazones, compounds 1a–d were reacted with chloroacetic acid and maleic anhydride, resulting in the corresponding thiazolidinones 4a–d and 5a–d [,]. In the IR spectra of compounds 4a–d, there is a strong absorption of C=O stretching vibrations at between 1690 and 1720 cm−1. In the 1H NMR spectra of these compounds, no peaks of the NH2 group were observed; instead, there was a singlet of the CH2 group near 3.8 ppm. In the IR spectra of thiazolidinones 5, two absorption bands corresponding to C=O vibrations are observed, one for the carboxylic group (1690–1710 cm−1) and another one for the thiazolidinone ring (1720–1730 cm−1); assignments were made in accordance with PED. The 1H NMR spectra show peaks that are characteristic of the protons of the carboxyl group in the region of 11–13 ppm, as well as a triplet corresponding to the proton of the CH group in the ring and a multiplet in the region of 2.4 ppm, which appears due to the chirality of the carbon atom in the thiazolidinone ring.
Antioxidant Activity
For synthesized compounds, antioxidant activity assessment was performed via the ABTS radical removal method. In the assay, ABTS radical cations are generated from the ammonium ABTS salt using a strong oxidizing agent. The radical cation has an intense absorption band at 734 nm; when an antioxidant is added, the concentration of radical cations decreases, which is determined photometrically [,,]. The results are given in Figure 5 in terms of inhibition percentages calculated against concentration using BHT as the standard. Most of the compounds showed better results compared to the standard. The exceptions were samples 2c, 3b, 3c, 4a, 4d, and 5d. Compounds 1c, 4c, and 5a–c exhibited the best results.

Figure 5.
ABTS+ (2,2′-azino-bis(3-ethylbenzothiazoline-6-sulfonic acid cation radical) scavenging activity of the compounds prepared.
In the series of obtained thiosemicarbazones 1a–d, the best results were shown by the 2,6-di-tert-butylphenol derivative 1c, which can be explained by the formation of a stable di-tert-butylphenoxyl radical. Vanillin’s thiosemicarbazone 1b showed the poorest result. The antioxidant activity of diatomic phenol derivatives 1a and 1d turned out to be intermediate. This can be explained by the interaction of the phenolic hydroxyl group and the CH=N fragment at the ortho-position. Formylresorcinol’s thiosemicarbazone 1a showed slightly higher activity compared to the butylated pyrocatechol derivative 1d due to the coplanarity of the 1a molecule.
Among thiazoles with phenyl and coumaryl substitutes, the same pattern was observed as for thiosemicarbazones: compound 2b, based on 2,6-di-tert-butylpnenol exhibited the highest activity, and the effectiveness of thiazole 2a based on phenylresorcinol was higher than for butylated pyrocatechol derivative. In general, the activity of derivatives of this series was lower than that of the corresponding thiosemicarbazones. In the case of thiazoles with a coumarin fragment, the resorcinol derivative 2d also turned out to be more active than the pyrocatechol derivative 2e. The introduction of the coumarin fragment increased the antioxidant activity compared to thiazoles containing a phenyl substituent.
For thiazoles prepared from bromodimedone, completely different results were observed: compounds based on diatomic phenols 3a and 3d showed the highest efficiency, but just as in previous cases, the resorcinol derivative 3a turned out to be more active.
In case of thiazolidinones 4 and 5, compounds with 2,6-di-tert-buthylphenol showed the best results, while vanillin derivatives 4b and 5b exhibited intermediate activity, formylresorcinol derivatives 4a and 5a demonstrated comparable activity, and the pyrocatechol derivative 4d and 5d again showed the lowest results.
In general, compounds with thiazolidinone moieties and carboxyl group 5 have higher antioxidant activity compared to other derivatives.
To assess the electron-donating capacity of prepared compounds, PFRAP assay was used. In this assay, ferricyanide reduces to ferrocyanide, and a green-blue color of the solution appears because of the Perl’s Prussian blue formation [,]. The resulted compound has an absorption peak at λ = 700 nm. The results are presented in Figure 6.

Figure 6.
Ferric ion-reducing capacity of the compounds prepared.
The results of the PFRAP assay displayed a stronger electron-donating capacity for thiosemicarbazone 1b, thiazoles 2d, 2e, and 3c, and thiazolidinones 4d and 5d compared to BHT. An intermediate activity was found for thiazoles 2a and thiazolidinones 4b, 4c, 5a, and 5b. The rest of the synthesized compounds displayed moderate or low antioxidant capacity compared to that of BHT. Among thiazoles 2a–c with a phenyl fragment, the best antioxidant activity was observed for 2a, which contained a resorcinol fragment. At the same time, compounds 2d and 2e, with coumaryl fragments, have exhibit higher activity than other thiazoles. Among all the compounds, 3d obtained from bromodimedone and compound 3c with a 2,6-di-tert-butylphenol fragment showed the best activity, and the pyrocatechol derivative exhibited the lowest activity. Thiazolidinones 4 and 5 exhibited better antioxidant activity than thiazoles, and among compounds of this class 2,6-di-tert-buthyl phenol and butylated catechol derivatives were more active compounds in terms of their electron-donating capacity.
The resulting compounds are capable of inhibiting radical processes and exhibit iron-reducing activity, which makes them promising antioxidants, including in the development of drugs that reduce oxidative stress.
4. Conclusions
In conclusion, a series of thiazoles and thiazolines were synthesized from four thiosemicarbazones with phenol scaffold. In terms of the ability to react with the ABTS radical cation, in the case of thiosemicarbazones, thiazoles with phenyl and coumarin substituents and thiazolidinones, derivatives of 2,6-di-tert-butylphenol showed the best activity; derivatives of formylresorcinol and vanillin occupied an intermediate position; and the lowest results were shown by derivatives of alkylated pyrocatechol. Resorcinol derivatives showed a high iron-reducing activity among thiazoles, and alkylated catechol derivatives showed a high iron-reducing activity among thiazolidinones. Thiazolidinones 5, containing a carboxyl group, showed the greatest activity in both tests. In addition, both types of activity increase with the introduction of the coumarin moiety.
Supplementary Materials
The following supporting information can be downloaded at: https://www.mdpi.com/article/10.3390/app132413112/s1.
Author Contributions
Conceptualization, O.V.P. and V.N.K.; methodology, O.V.P.; software, S.V.V.; validation, S.V.V. and L.V.I.; formal analysis, V.N.K.; investigation, O.V.P. and A.S.S.; resources, L.V.I.; writing—review and editing, O.V.P. and V.N.K.; visualization, L.V.I. and A.S.S.; supervision, V.N.K. All authors have read and agreed to the published version of the manuscript.
Funding
This research received no external funding.
Institutional Review Board Statement
Not applicable.
Informed Consent Statement
Not applicable.
Data Availability Statement
The data presented in this study are available in the article.
Conflicts of Interest
The authors declare no conflict of interest.
References
- Pisoschi, A.M.; Pop, A. The role of antioxidants in the chemistry of oxidative stress: A review. Eur. J. Med. Chem. 2015, 97, 55–74. [Google Scholar] [CrossRef] [PubMed]
- Briones, A.M.; Touyz, R.M. Oxidative stress and hypertension: Current concepts. Curr. Hypertens. Rep. 2010, 12, 135–142. [Google Scholar] [CrossRef] [PubMed]
- Harrison, D.; Griendling, K.K.; Landmesser, U.; Hornig, B.; Drexler, H. Role of oxidative stress in atherosclerosis. Am. J. Cardiol. 2003, 91, 7–11. [Google Scholar] [CrossRef] [PubMed]
- Cheignon, C.; Tomas, M.; Bonnefont-Rousselot, D.; Faller, P.; Hureau, C.; Collin, F. Oxidative stress and the amyloid beta peptide in Alzheimer’s disease. Redox Biol. 2018, 14, 450–464. [Google Scholar] [CrossRef] [PubMed]
- Newsholme, P.; Cruzat, V.F.; Keane, K.N.; Carlessi, R.; de Bittencourt, P.I.H., Jr. Molecular mechanisms of ROS production and oxidative stress in diabetes. Biochem. J. 2016, 473, 4527–4550. [Google Scholar] [CrossRef] [PubMed]
- Adeoye, O.; Olawumi, J.; Opeyemi, A.; Christiania, O. Review on the role of glutathione on oxidative stress and infertility. JBRA Assist. Reprod. 2018, 22, 61. [Google Scholar] [CrossRef] [PubMed]
- Armstrong, C.W.; McGregor, N.R.; Lewis, D.P.; Butt, H.L.; Gooley, P.R. Metabolic profiling reveals anomalous energy metabolism and oxidative stress pathways in chronic fatigue syndrome patients. Metabolomics 2015, 11, 1626–1639. [Google Scholar] [CrossRef]
- Bouayed, J.; Bohn, T. Exogenous antioxidants—Double-edged swords in cellular redox state: Health beneficial effects at physiologic doses versus deleterious effects at high doses. Oxidative Med. Cell. Longev. 2010, 3, 228–237. [Google Scholar] [CrossRef]
- Kahl, R. Synthetic antioxidants: Biochemical actions and interference with radiation, toxic compounds, chemical mutagens and chemical carcinogens. Toxicology 1984, 33, 185–228. [Google Scholar] [CrossRef]
- Birben, E.; Sahiner, U.; Sackesen, C.; Erzurum, S.; Kalayci, O. Oxidative stress and antioxidant defense. World Allergy Organ. J. 2012, 5, 9–19. [Google Scholar] [CrossRef]
- Dhahad, H.A.; Fayad, M.A. Role of different antioxidants additions to renewable fuels on NOX emissions reduction and smoke number in direct injection diesel engine. Fuel 2020, 279, 118384. [Google Scholar] [CrossRef]
- El-Ashry, E.S.; El-Rafey, M.; El-Nagdi, M.; Abou-Elnaga, H.; Bakry, W.; Boghdady, Y. Synthesis of benzotriazole derivatives as antioxidants for industrial lubricating oils. Lubr. Sci. 2006, 18, 109–118. [Google Scholar] [CrossRef]
- Cressier, D.; Prouillac, C.; Hernandez, P.; Amourette, C.; Diserbo, M.; Lion, C.; Rima, G. Synthesis, antioxidant properties and radioprotective effects of new benzothiazoles and thiadiazoles. Bioorg. Med. Chem. 2009, 17, 5275–5284. [Google Scholar] [CrossRef] [PubMed]
- Vavříková, E.; Křen, V.; Jezova-Kalachova, L.; Biler, M.; Chantemargue, B.; Pyszkova, M.; Riva, S.; Kuzma, M.; Valentová, K.; Ulrichova, J. Novel flavonolignan hybrid antioxidants: From enzymatic preparation to molecular rationalization. Eur. J. Med. Chem. 2017, 127, 263–274. [Google Scholar] [CrossRef] [PubMed]
- Williams, R.J.; Spencer, J.P.; Rice-Evans, C. Flavonoids: Antioxidants or signalling molecules? Free Radic. Biol. Med. 2004, 36, 838–849. [Google Scholar] [CrossRef] [PubMed]
- Osipova, V.; Polovinkina, M.; Telekova, L.; Velikorodov, A.; Stepkina, N.; Berberova, N. Synthesis and antioxidant activity of new hydroxy derivatives of chalcones. Russ. Chem. Bull. 2020, 69, 504–509. [Google Scholar] [CrossRef]
- Pojero, F.; Poma, P.; Spanò, V.; Montalbano, A.; Barraja, P.; Notarbartolo, M. Targeting multiple myeloma with natural polyphenols. Eur. J. Med. Chem. 2019, 180, 465–485. [Google Scholar] [CrossRef]
- Koshelev, V.; Kelarev, V.; Belov, N. Effect of azoles and sym-triazines with hindered phenol fragments on protective properties of turbine oils. Chem. Technol. Fuels Oils 1995, 31, 26–29. [Google Scholar] [CrossRef]
- Latyuk, V.; Kelarev, V.; Koshelev, V.; Korenev, K. Sulfides of the sym—Triazine series as oil—Soluble corrosion inhibitors. Chem. Technol. Fuels Oils 2002, 38, 312–315. [Google Scholar] [CrossRef]
- Primerova, O.; Koshelev, V.; Sabitov, E. Synthesis and antioxidant properties of novel 1,2,4-triazoles with 2,6-di-tert-butylphenol fragments. In Proceedings of the IOP Conference Series: Earth and Environmental Science, Surakarta, Indonesia, 24–25 August 2021; p. 012030. [Google Scholar]
- Koshelev, V.N.; Primerova, O.V.; Stupnikova, A.S. Nitrogen and sulfur-containing heterocycles–potential antioxidant additives in mineral and synthetic lubricating oils. Butlerov Commun. A 2021, 2, 47–58. [Google Scholar] [CrossRef]
- Zhang, H.-Y. Structure-activity relationships and rational design strategies for radical-scavenging antioxidants. Curr. Comput.-Aided Drug Des. 2005, 1, 257–273. [Google Scholar] [CrossRef]
- Belkheiri, N.; Bouguerne, B.; Bedos-Belval, F.; Duran, H.; Bernis, C.; Salvayre, R.; Nègre-Salvayre, A.; Baltas, M. Synthesis and antioxidant activity evaluation of a syringic hydrazones family. Eur. J. Med. Chem. 2010, 45, 3019–3026. [Google Scholar] [CrossRef] [PubMed]
- Vanucci-Bacqué, C.; Carayon, C.; Bernis, C.; Camare, C.; Nègre-Salvayre, A.; Bedos-Belval, F.; Baltas, M. Synthesis, antioxidant and cytoprotective evaluation of potential antiatherogenic phenolic hydrazones. A structure–activity relationship insight. Bioorg. Med. Chem. 2014, 22, 4269–4276. [Google Scholar] [CrossRef] [PubMed]
- Bakır, T.K.; Lawag, J.B. Preparation, characterization, antioxidant properties of novel Schiff bases including 5-chloroisatin-thiocarbohydrazone. Res. Chem. Intermed. 2020, 46, 2541–2557. [Google Scholar] [CrossRef]
- Yakan, H.; Bakır, T.K.; Çavuş, M.S.; Muğlu, H. New β-isatin aldehyde-N, N′-thiocarbohydrazones: Preparation, spectroscopic studies and DFT approach to antioxidant characteristics. Res. Chem. Intermed. 2020, 46, 5417–5440. [Google Scholar] [CrossRef]
- Ariffin, A.; Rahman, N.A.; Yehye, W.A.; Alhadi, A.A.; Kadir, F.A. PASS-assisted design, synthesis and antioxidant evaluation of new butylated hydroxytoluene derivatives. Eur. J. Med. Chem. 2014, 87, 564–577. [Google Scholar] [CrossRef] [PubMed]
- Li, Y.-F.; Liu, Z.-Q. Dendritic antioxidants with pyrazole as the core: Ability to scavenge radicals and to protect DNA. Free Radic. Biol. Med. 2012, 52, 103–108. [Google Scholar] [CrossRef]
- Jakovljević, K.; Matić, I.Z.; Stanojković, T.; Krivokuća, A.; Marković, V.; Joksović, M.D.; Mihailović, N.; Nićiforović, M.; Joksović, L. Synthesis, antioxidant and antiproliferative activities of 1, 3, 4-thiadiazoles derived from phenolic acids. Bioorg. Med. Chem. Lett. 2017, 27, 3709–3715. [Google Scholar] [CrossRef]
- Djukic, M.; Fesatidou, M.; Xenikakis, I.; Geronikaki, A.; Angelova, V.T.; Savic, V.; Pasic, M.; Krilovic, B.; Djukic, D.; Gobeljic, B. In vitro antioxidant activity of thiazolidinone derivatives of 1,3-thiazole and 1,3,4-thiadiazole. Chem.-Biol. Interact. 2018, 286, 119–131. [Google Scholar] [CrossRef]
- Harnett, J.J.; Roubert, V.; Dolo, C.; Charnet, C.; Spinnewyn, B.; Cornet, S.; Rolland, A.; Marin, J.-G.; Bigg, D.; Chabrier, P.-E. Phenolic thiazoles as novel orally-active neuroprotective agents. Bioorg. Med. Chem. Lett. 2004, 14, 157–160. [Google Scholar] [CrossRef]
- Gomaa, M.A.M.; Hassan, A.A.; Shehatta, H.S. Synthesis of novel thiazole and pyrrolothiadiazine derivatives from aldehyde thiosemicarbazones. Heteroat. Chem. Int. J. Main Group Elem. 2006, 17, 261–266. [Google Scholar] [CrossRef]
- Prajapati, N.P.; Patel, K.D.; Vekariya, R.H.; Patel, H.D.; Rajani, D.P. Thiazole fused thiosemicarbazones: Microwave-assisted synthesis, biological evaluation and molecular docking study. J. Mol. Struct. 2019, 1179, 401–410. [Google Scholar] [CrossRef]
- Georgiou, N.; Katsogiannou, A.; Skourtis, D.; Iatrou, H.; Tzeli, D.; Vassiliou, S.; Javornik, U.; Plavec, J.; Mavromoustakos, T. Conformational Properties of New Thiosemicarbazone and Thiocarbohydrazone Derivatives and Their Possible Targets. Molecules 2022, 27, 2537. [Google Scholar] [CrossRef] [PubMed]
- Parker, D.K. Process for Preparing Hindered Alkenyl Phenols. U.S. Patent 4,072,724, 7 February 1978. [Google Scholar]
- Khomenko, T.; Salomatina, O.; Kurbakova, S.Y.; Il’Ina, I.; Volcho, K.; Komarova, N.; Korchagina, D.; Salakhutdinov, N.; Tolstikov, A. New chiral ligands from myrtenal and caryophyllene for asymmetric oxydation of sulfides catalyzed by metal complexes. Russ. J. Org. Chem. 2006, 42, 1666–1673. [Google Scholar] [CrossRef]
- Alam, M.S.; Ahmed, J.U.; Lee, D.-U. Synthesis, antibacterial, antioxidant activity and QSAR studies of novel 2-arylidenehydrazinyl-4-arylthiazole analogues. Chem. Pharm. Bull. 2014, 62, 1259–1268. [Google Scholar] [CrossRef] [PubMed]
- de Aquino, T.M.; França, P.H.; Rodrigues, É.E.; Nascimento, I.; Santos-Júnior, P.F.; Aquino, P.G.; Santos, M.S.; Queiroz, A.C.; Araújo, M.V.; Alexandre-Moreira, M.S. Synthesis, Antileishmanial Activity and in silico Studies of Aminoguanidine Hydrazones (AGH) and Thiosemicarbazones (TSC) Against Leishmania chagasi Amastigotes. Med. Chem. 2022, 18, 151–169. [Google Scholar] [CrossRef] [PubMed]
- Frisch, M.; Clemente, F. Gaussian 09, Revision a. 01; Gaussian, Inc.: Wallingford, CT, USA, 2009; pp. 20–44. [Google Scholar]
- Dennington, R.; Keith, T.; Millam, J. Shawnee Mission KS, GaussView, Version; Semichem Inc.: Shawnee, KS, USA, 2009; Volume 5. [Google Scholar]
- Venkatachalam, T.; Pierens, G.K.; Reutens, D.C. Synthesis, NMR structural characterization and molecular modeling of substituted thiosemicarbazones and semicarbazones using DFT calculations to prove the syn/anti isomer formation. Magn. Reson. Chem. 2014, 52, 98–105. [Google Scholar] [CrossRef]
- Pretsch, E.; Bühlmann, P.; Affolter, C.; Pretsch, E.; Bhuhlmann, P.; Affolter, C. Structure Determination of Organic Compounds; Springer: Berlin/Heidelberg, Germany, 2000. [Google Scholar]
- Razak, I.A.; Arshad, S.; Thanigaimani, K.; Yusof, M.S.M.; Abdullah, S.S.; Rahman, A.A. Synthesis, Characterization, and Structural Investigations of 1-(3-morpholinopropyl)-3-(4-chlorobenzoyl) thiourea monohydrate and 1-(3-morpholinopropyl)-3-(4-methylbenzoyl) thiourea monohydrate. Mol. Cryst. Liq. Cryst. 2015, 616, 151–175. [Google Scholar] [CrossRef]
- Smolanka, I.; Man’o, N.; Krasnitskaya, T. Synthesis of some 4-thiazolidone derivatives from 4-(cyclo-3-alkenyl) thiosemicarbazones. Chem. Heterocycl. Compd. 1981, 17, 457–458. [Google Scholar] [CrossRef]
- Haroon, M.; Akhtar, T.; Santos, A.C.d.S.; Pereira, V.R.; Ferreira, L.F.; Hernandes, M.Z.; Rocha, R.E.; Ferreira, R.S.; Gomes, P.A.T.d.M.; de Sousa, F.A. Design, Synthesis and In Vitro Trypanocidal and Leishmanicidal Activities of 2-(2-Arylidene) hydrazono-4-oxothiazolidine-5-acetic Acid Derivatives. ChemistrySelect 2019, 4, 13163–13172. [Google Scholar] [CrossRef]
- Ilyasov, I.R.; Beloborodov, V.L.; Selivanova, I.A.; Terekhov, R.P. ABTS/PP decolorization assay of antioxidant capacity reaction pathways. Int. J. Mol. Sci. 2020, 21, 1131. [Google Scholar] [CrossRef]
- Cano, A.; Maestre, A.B.; Hernández-Ruiz, J.; Arnao, M.B. ABTS/TAC Methodology: Main Milestones and Recent Applications. Processes 2023, 11, 185. [Google Scholar] [CrossRef]
- Kut, K.; Cieniek, B.; Stefaniuk, I.; Bartosz, G.; Sadowska-Bartosz, I. A Modification of the ABTS• Decolorization Method and an Insight into Its Mechanism. Processes 2022, 10, 1288. [Google Scholar] [CrossRef]
- Xiao, F.; Xu, T.; Lu, B.; Liu, R. Guidelines for antioxidant assays for food components. Food Front. 2020, 1, 60–69. [Google Scholar] [CrossRef]
- Bibi Sadeer, N.; Montesano, D.; Albrizio, S.; Zengin, G.; Mahomoodally, M.F. The versatility of antioxidant assays in food science and safety—Chemistry, applications, strengths, and limitations. Antioxidants 2020, 9, 709. [Google Scholar] [CrossRef] [PubMed]
Disclaimer/Publisher’s Note: The statements, opinions and data contained in all publications are solely those of the individual author(s) and contributor(s) and not of MDPI and/or the editor(s). MDPI and/or the editor(s) disclaim responsibility for any injury to people or property resulting from any ideas, methods, instructions or products referred to in the content. |
© 2023 by the authors. Licensee MDPI, Basel, Switzerland. This article is an open access article distributed under the terms and conditions of the Creative Commons Attribution (CC BY) license (https://creativecommons.org/licenses/by/4.0/).