Sign in to use this feature.

Years

Between: -

Subjects

remove_circle_outline
remove_circle_outline
remove_circle_outline
remove_circle_outline
remove_circle_outline
remove_circle_outline
remove_circle_outline
remove_circle_outline
remove_circle_outline

Journals

remove_circle_outline
remove_circle_outline
remove_circle_outline
remove_circle_outline
remove_circle_outline
remove_circle_outline
remove_circle_outline
remove_circle_outline
remove_circle_outline
remove_circle_outline
remove_circle_outline

Article Types

Countries / Regions

remove_circle_outline
remove_circle_outline
remove_circle_outline
remove_circle_outline
remove_circle_outline

Search Results (792)

Search Parameters:
Keywords = squeeze effect

Order results
Result details
Results per page
Select all
Export citation of selected articles as:
20 pages, 1882 KB  
Article
Quantum-Enhanced Imaging Model Based on Squeezed States
by Chunrong Peng, Yanxiang Xie and Kui Liu
Photonics 2026, 13(3), 244; https://doi.org/10.3390/photonics13030244 - 2 Mar 2026
Abstract
Aided by quantum sources, quantum metrology helps enhance measurement precision. Here, we construct a theoretical model for quantum imaging based on squeezed states and present the corresponding numerical results. Through discretization and quantum Fisher information theory, we investigate the two-point resolution and spatial [...] Read more.
Aided by quantum sources, quantum metrology helps enhance measurement precision. Here, we construct a theoretical model for quantum imaging based on squeezed states and present the corresponding numerical results. Through discretization and quantum Fisher information theory, we investigate the two-point resolution and spatial multi-parameter estimation of optical fields with unknown spatial distributions. We calculate and compare imaging results based on squeezed vacuum states, coherent states, and squeezed coherent states; our results show that squeezed coherent states yield greater quantum Fisher information, which can effectively improve imaging quality. In addition, we analyze the influence of imaging basis functions, degree of squeezing, quantum correlations, and other factors on imaging performance. The proposed quantum imaging model and computational method can be extended to more complex scenarios, such as multi-mode squeezed-state imaging schemes and incoherent imaging systems. In the future, this approach is expected to find applications in practical imaging systems, including Raman microscopy and stimulated Brillouin scattering imaging. Full article
(This article belongs to the Special Issue Advanced Research in Quantum Optics)
Show Figures

Figure 1

14 pages, 4241 KB  
Article
Dielectric-Dependent Wavelength Compression via Hybrid Plasmonic Modes in Nano-Hole Arrays
by Onse Jeong and Jong-Kwon Lee
Photonics 2026, 13(3), 235; https://doi.org/10.3390/photonics13030235 - 28 Feb 2026
Viewed by 111
Abstract
Dielectric-engineered plasmonic nano-hole arrays (NHAs) offer an effective approach for precisely controlling subwavelength light confinement. Here, we investigate wavelength compression in aluminum NHAs filled with three different dielectric materials such as Al2O3, MoO3, and TiO2 under [...] Read more.
Dielectric-engineered plasmonic nano-hole arrays (NHAs) offer an effective approach for precisely controlling subwavelength light confinement. Here, we investigate wavelength compression in aluminum NHAs filled with three different dielectric materials such as Al2O3, MoO3, and TiO2 under illumination by a 1.5 µm lightwave. The hole radius varies from 300 nm to 500 nm to analyze the combined effects of geometry and dielectric environment on the plasmonic response. The NHAs filled with Al2O3 exhibit a pronounced and monotonic increase of the compressed wavelength with decreasing hole radius, indicating strong geometric tunability of the dominant plasmonic mode. Meanwhile, the structures filled with MoO3 or TiO2 show weak wavelength variations over the same radius range. Spatially resolved analysis at these nano-holes reveals nearly position-independent wavelength squeezing for Al2O3, whereas noticeable spatial variations appear for MoO3 and TiO2 at hole radii of 450 nm and 400 nm, respectively. The observed wavelength compression is attributed to hybrid plasmonic modes originating from the interplay between in-hole-like compressed cavity modes and localized surface plasmon polaritons. Our findings demonstrate how dielectric composition tunes wavelength compression in plasmonic NHAs, offering practical guidelines for designing the near-infrared plasmonic devices. Full article
(This article belongs to the Section Optoelectronics and Optical Materials)
Show Figures

Figure 1

19 pages, 2646 KB  
Article
Study on Mechanism of Soil Displacement Effect in Large-Diameter PHC Pipe Piles
by Chenghu Yin, Jianqing Bu and Chuanyi Sui
Appl. Sci. 2026, 16(5), 2197; https://doi.org/10.3390/app16052197 - 25 Feb 2026
Viewed by 108
Abstract
In order to investigate the soil displacement effects and penetration resistance mechanisms of large-diameter PHC pipe piles (1200 mm) in complex railway geology, a tripartite framework combining field tests, theoretical analysis, and numerical simulations was established based on the Xiong’an–BDA Express Line project. [...] Read more.
In order to investigate the soil displacement effects and penetration resistance mechanisms of large-diameter PHC pipe piles (1200 mm) in complex railway geology, a tripartite framework combining field tests, theoretical analysis, and numerical simulations was established based on the Xiong’an–BDA Express Line project. A coupled discrete–continuum analysis using the Coupled Eulerian–Lagrangian (CEL) method was conducted to model the large-deformation process of pile driving in soft clay and stratified layers. The results indicate that the installation process induces a “squeezing effect” that critically enhances pile–soil interfacial friction. The theoretical analysis incorporating the extended Lade–Duncan yield criterion significantly improved prediction accuracy, reducing the relative error of side friction from 22% (using the Mohr–Coulomb model) to 5%. Furthermore, the CEL simulation demonstrated high reliability in predicting deep-depth friction and pile tip resistance, effectively capturing the stress redistribution in complex strata. Therefore, the combined application of pre-drilling and large-diameter piles is recommended for deformation-sensitive infrastructure, and the proposed validated framework offers practical guidance for design optimization and parameter selection in similar geological conditions. Full article
(This article belongs to the Special Issue Recent Advances in Pile Foundation Engineering)
Show Figures

Figure 1

23 pages, 16353 KB  
Article
RepACNet: A Lightweight Reparameterized Asymmetric Convolution Network for Monocular Depth Estimation
by Wanting Jiang, Jun Li, Yaoqian Niu, Hao Chen and Shuang Peng
Sensors 2026, 26(4), 1199; https://doi.org/10.3390/s26041199 - 12 Feb 2026
Viewed by 225
Abstract
Monocular depth estimation (MDE) is a cornerstone task in 2D/3D scene reconstruction and recognition with widespread applications in autonomous driving, robotics, and augmented reality. However, existing state-of-the-art methods face a fundamental trade-off between computational efficiency and estimation accuracy, limiting their deployment in resource-constrained [...] Read more.
Monocular depth estimation (MDE) is a cornerstone task in 2D/3D scene reconstruction and recognition with widespread applications in autonomous driving, robotics, and augmented reality. However, existing state-of-the-art methods face a fundamental trade-off between computational efficiency and estimation accuracy, limiting their deployment in resource-constrained real-world scenarios. It is of high interest to design lightweight but effective models to enable potential deployment on resource-constrained mobile devices. To address this problem, we present RepACNet, a novel lightweight network that addresses this challenge through reparameterized asymmetric convolution designs and CNN-based architecture that integrates MLP-Mixer components. First, we propose Reparameterized Token Mixer with Asymmetric Convolution (RepTMAC), an efficient block that captures long-range dependencies while maintaining linear computational complexity. Unlike Transformer-based methods, our approach achieves global feature interaction with tiny overhead. Second, we introduce Squeeze-and-Excitation Consecutive Dilated Convolutions (SECDCs), which integrates adaptive channel attention with dilated convolutions to capture depth-specific features across multiple scales. We validate the effectiveness of our approach through extensive experiments on two widely recognized benchmarks, NYU Depth v2 and KITTI Eigen. The experimental results demonstrate that our model achieves competitive performance while maintaining significantly fewer parameters compared to state-of-the-art models. Full article
(This article belongs to the Section Sensing and Imaging)
Show Figures

Figure 1

24 pages, 4307 KB  
Article
Stochastic Neuromorphic Computing Architecture Based on Voltage-Controlled Probabilistic Switching Magnetic Tunnel Junction (MTJ) Devices
by Liang Gao, Chenxi Wang and Yanfeng Jiang
Micromachines 2026, 17(2), 216; https://doi.org/10.3390/mi17020216 - 5 Feb 2026
Viewed by 277
Abstract
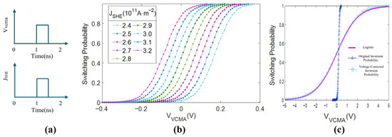
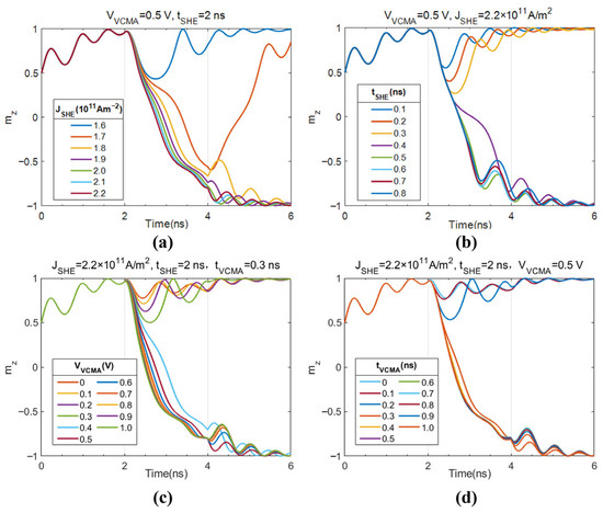
As integrated circuits face increasingly stringent demands regarding power consumption, area, and stability, integrating novel spintronic devices with computing architectures has become a crucial direction for breaking through traditional computing paradigms. In the paper, switching mechanism of Magnetic Tunnel Junctions (MTJs) under the [...] Read more.
As integrated circuits face increasingly stringent demands regarding power consumption, area, and stability, integrating novel spintronic devices with computing architectures has become a crucial direction for breaking through traditional computing paradigms. In the paper, switching mechanism of Magnetic Tunnel Junctions (MTJs) under the synergistic effect of Voltage-Controlled Magnetic Anisotropy (VCMA) and the Spin Hall Effect (SHE) is investigated. VCMA-assisted switching SHE-MTJ device is adopted, and a macrospin approximation model is established based on the Landau-Lifshitz-Gilbert (LLG) equation to systematically analyze its dynamic characteristics. The research demonstrates that applying VCMA voltage pulses with appropriate amplitude and width can significantly reduce the required spin Hall current density and pulse width for switching, thereby effectively minimizing ohmic losses and Joule heating. Furthermore, by incorporating a thermal fluctuation field, voltage-controlled SHE-MTJ device with stochastic switching behavior can be constructed, obtaining an approximately sigmoidal voltage-probability response curve. This provides an ideal physical foundation for stochastic computing and neuromorphic computing. Based on the above established fundamental discovery, an in-memory computing architecture supporting binarized Convolutional Neural Networks (CNNs) is proposed and designed in the paper. Combined with the lightweight network SqueezeNet, this architecture achieves a Top-1 recognition accuracy of 72.49% on the CIFAR-10 dataset, with a parameter count of only 1.25 × 106. This work offers a feasible spintronic implementation scheme for low-power, high-energy-efficiency edge-side intelligent chips. Full article
Show Figures

Figure 1

10 pages, 628 KB  
Article
Intra-Rater Reliability and Construct Validity of Hand-Held Dynamometry to Evaluate the Hip Adductor Squeeze Test in Elite Youth Football Players
by Alexandros Stefanakis, Shane Gore, Christopher Hicks, Michael Mansfield and Matthew Willett
Sports 2026, 14(2), 53; https://doi.org/10.3390/sports14020053 - 3 Feb 2026
Viewed by 340
Abstract
Hip and groin injuries are common in elite football, and reduced isometric adductor strength has been identified as a key risk factor. Therefore, reliable and valid field-based methods for assessing hip adduction strength are essential for effective monitoring and injury prevention. This study [...] Read more.
Hip and groin injuries are common in elite football, and reduced isometric adductor strength has been identified as a key risk factor. Therefore, reliable and valid field-based methods for assessing hip adduction strength are essential for effective monitoring and injury prevention. This study aimed to evaluate the intra-rater reliability and construct validity of a hand-held dynamometer (HHD) compared with the ForceFrame (FFS) during the adductor squeeze test in elite youth football players. Thirty-eight male academy athletes completed two testing sessions four weeks apart, performing maximal isometric adductor squeezes using both devices. Relative reliability was assessed using intraclass correlation coefficients (ICC), and construct validity was evaluated using paired t-tests, Bland–Altman analysis, and linear regression. The HHD demonstrated excellent intra-rater reliability (ICC = 0.90, 95% CI: 0.82–0.95) and the FFS showed good reliability (ICC = 0.85, 95% CI: 0.71–0.92). Paired t-tests revealed no significant differences between devices, and regression analysis confirmed no proportional bias, indicating strong agreement and construct validity. These findings demonstrate that the HHD provides valid and reliable measurements of isometric hip adduction strength and may serve as a practical, portable, and cost-effective alternative to fixed dynamometry for field-based strength assessment, rehabilitation monitoring, and injury-prevention screening in elite football environments. Full article
Show Figures

Figure 1

8 pages, 2335 KB  
Proceeding Paper
Evaluation of Impact of Convolutional Neural Network-Based Feature Extractors on Deep Reinforcement Learning for Autonomous Driving
by Che-Cheng Chang, Po-Ting Wu and Yee-Ming Ooi
Eng. Proc. 2025, 120(1), 27; https://doi.org/10.3390/engproc2025120027 - 2 Feb 2026
Viewed by 225
Abstract
Reinforcement Learning (RL) enables learning optimal decision-making strategies by maximizing cumulative rewards. Deep reinforcement learning (DRL) enhances this process by integrating deep neural networks (DNNs) for effective feature extraction from high-dimensional input data. Unlike prior studies focusing on algorithm design, we investigated the [...] Read more.
Reinforcement Learning (RL) enables learning optimal decision-making strategies by maximizing cumulative rewards. Deep reinforcement learning (DRL) enhances this process by integrating deep neural networks (DNNs) for effective feature extraction from high-dimensional input data. Unlike prior studies focusing on algorithm design, we investigated the impact of different feature extractors, DNNs, on DRL performance. We propose an enhanced feature extraction model to improve control effectiveness based on the proximal policy optimization (PPO) framework in autonomous driving scenarios. Through a comparative analysis of well-known convolutional neural networks (CNNs), MobileNet, SqueezeNet, and ResNet, the experimental results demonstrate that our model achieves higher cumulative rewards and better control stability, providing valuable insights for DRL applications in autonomous systems. Full article
(This article belongs to the Proceedings of 8th International Conference on Knowledge Innovation and Invention)
Show Figures

Figure 1

31 pages, 4720 KB  
Article
SE-MTCAELoc: SE-Aided Multi-Task Convolutional Autoencoder for Indoor Localization with Wi-Fi
by Yongfeng Li, Juan Huang, Yuan Yao and Binghua Su
Sensors 2026, 26(3), 945; https://doi.org/10.3390/s26030945 - 2 Feb 2026
Viewed by 271
Abstract
Indoor localization finds wide-ranging applications in user navigation and intelligent building systems. Nevertheless, signal interference within complex indoor environments and challenges regarding localization generalization in multi-building and multi-floor scenarios have restricted the performance of traditional localization methods based on Wi-Fi fingerprinting. To tackle [...] Read more.
Indoor localization finds wide-ranging applications in user navigation and intelligent building systems. Nevertheless, signal interference within complex indoor environments and challenges regarding localization generalization in multi-building and multi-floor scenarios have restricted the performance of traditional localization methods based on Wi-Fi fingerprinting. To tackle these issues, this paper presents the SE-MTCAELoc model, a multi-task convolutional autoencoder approach that integrates a squeeze-excitation (SE) attention mechanism for indoor positioning. Firstly, the method preprocesses Wi-Fi Received Signal Strength (RSSI) data. In the UJIIndoorLoc dataset, the 520-dimensional RSSI features are extended to 576 dimensions and reshaped into a 24 × 24 matrix. Meanwhile, Gaussian noise is introduced to enhance the robustness of the data. Subsequently, an integrated SE module combined with a convolutional autoencoder (CAE) is constructed. This module aggregates channel spatial information through squeezing operations and learns channel weights via excitation operations. It dynamically enhances key positioning features and suppresses noise. Finally, a multi-task learning architecture based on the SE-CAE encoder is established to jointly optimize building classification, floor classification, and coordinate regression tasks. Priority balancing is achieved using weighted losses (0.1 for building classification, 0.2 for floor classification, and 0.7 for coordinate regression). Experimental results on the UJIIndoorLoc dataset indicate that the accuracy of building classification reaches 99.57%, the accuracy of floor classification is 98.57%, and the mean absolute error (MAE) for coordinate regression is 5.23 m. Furthermore, the model demonstrates exceptional time efficiency. The cumulative training duration (including SE-CAE pre-training) is merely 9.83 min, with single-sample inference taking only 0.347 milliseconds, fully meeting the requirements of real-time indoor localization applications. On the TUT2018 dataset, the floor classification accuracy attains 98.13%, with an MAE of 6.16 m. These results suggest that the SE-MTCAELoc model can effectively enhance the localization accuracy and generalization ability in complex indoor scenarios and meet the localization requirements of multiple scenarios. Full article
(This article belongs to the Section Communications)
Show Figures

Figure 1

27 pages, 7007 KB  
Article
A Developed YOLOv8 Model for the Rapid Detection of Surface Defects in Underground Structures
by Chao Ma, Xingyu Nie, Ping Fan and Guosheng Wang
Buildings 2026, 16(3), 610; https://doi.org/10.3390/buildings16030610 - 2 Feb 2026
Viewed by 333
Abstract
The YOLOv8 model has been shown to offer several advantages in detecting defects on concrete surfaces. However, it is ineffective at achieving multiscale feature extraction and accurate detection of underground structures under complex background conditions. Therefore, this study developed a YOLOv8-PSN model to [...] Read more.
The YOLOv8 model has been shown to offer several advantages in detecting defects on concrete surfaces. However, it is ineffective at achieving multiscale feature extraction and accurate detection of underground structures under complex background conditions. Therefore, this study developed a YOLOv8-PSN model to detect surface defects in underground structures more rapidly and accurately. The model uses PSA (Pyramid Squeeze Attention) and Slim-neck to improve the original YOLOv8. The PSA module is adopted in the backbone and neck network to improve the model’s perception of multiscale features. Meanwhile, a Slim-neck structure is introduced into the Neck part to improve computational efficiency and feature fusion. Then, a dataset comprising six concrete surface defect categories, including cracks and spalling, is built and used to evaluate the performance of the developed YOLOv8-PSN. Experimental results show that, compared with the original YOLOv8, YOLOv10, YOLOv11, SSD, and faster R-CNN, the mAP@50 of YOLOV8-PSN increases by 4.48%, 5.32%, 3.47%,20.03%, and 20.93%, respectively, while still maintaining a high-speed, real-time detection speed of up to 99 FPS. Therefore, the developed model has good robustness and practicality in a complex environment and can effectively and rapidly detect surface defects in underground structures. Full article
(This article belongs to the Topic Nondestructive Testing and Evaluation)
Show Figures

Figure 1

23 pages, 8188 KB  
Article
Enhanced Pix2pixGAN with Spatial-Channel Attention for Underground Medium Inversion from GPR
by Sicheng Yang, Liangshuai Guo, Yahan Yang and Hongxia Ye
Remote Sens. 2026, 18(3), 448; https://doi.org/10.3390/rs18030448 - 1 Feb 2026
Viewed by 283
Abstract
Ground penetrating radar (GPR) data inversion, especially in parallel-layered homogeneous media with multiple subsurface targets, still faces challenges in accurately reconstructing geometric structures due to weak reflections and complex target–medium interactions. To address these limitations, this paper proposes a novel multi-scale inversion framework [...] Read more.
Ground penetrating radar (GPR) data inversion, especially in parallel-layered homogeneous media with multiple subsurface targets, still faces challenges in accurately reconstructing geometric structures due to weak reflections and complex target–medium interactions. To address these limitations, this paper proposes a novel multi-scale inversion framework named GPRGAN-SCSE (Ground Penetrating Radar Generative Adversarial Network with Spatial-Channel Squeeze and Excitation). Built upon the Pix2Pix Generative Adversarial Network (Pix2PixGAN), the proposed model incorporates a Spatial-Channel Squeeze and Excitation (SCSE) module into a residual U-Net generator to adaptively enhance target features embedded in layered media. Furthermore, a tri-scale discriminator ensemble is designed to enforce structural consistency and suppress layer-induced artifacts. The network is optimized using a composite loss integrating adversarial loss, L1 loss, and gradient difference loss to jointly improve structural continuity and boundary sharpness. Experiments conducted on a simulation dataset of parallel-layered homogeneous media with multiple targets demonstrate that GPRGAN-SCSE substantially outperforms existing inversion networks. The proposed method reduces the MAE by 63.8% and achieves a Structural Similarity Index (SSIM) of 99.96%, effectively improving the clarity of subsurface edges and the fidelity of geometric contours. These results confirm that the proposed framework provides a robust and high-precision solution for non-destructive subsurface imaging under layered media conditions. Full article
Show Figures

Graphical abstract

19 pages, 5603 KB  
Article
MFF-Net: A Study on Soil Moisture Content Inversion in a Summer Maize Field Based on Multi-Feature Fusion of Leaf Images
by Jianqin Ma, Jiaqi Han, Bifeng Cui, Xiuping Hao, Zhengxiong Bai, Yijian Chen, Yan Zhao and Yu Ding
Agriculture 2026, 16(3), 298; https://doi.org/10.3390/agriculture16030298 - 23 Jan 2026
Viewed by 409
Abstract
Current agricultural irrigation management practices are often extensive, and traditional soil moisture content (SMC) monitoring methods are inefficient, so there is a pressing need for innovative approaches in precision irrigation. This study proposes a Multi-Feature Fusion Network (MFF-Net) for SMC inversion. The model [...] Read more.
Current agricultural irrigation management practices are often extensive, and traditional soil moisture content (SMC) monitoring methods are inefficient, so there is a pressing need for innovative approaches in precision irrigation. This study proposes a Multi-Feature Fusion Network (MFF-Net) for SMC inversion. The model uses a designed Channel-Changeable Residual Block (ResBlockCC) to construct a multi-branch feature extraction and fusion architecture. Integrating the Channel Squeeze and Spatial Excitation (sSE) attention module with U-Net-like skip connections, MFF-Net inverts root-zone SMC from summer maize leaf images. Field experiments were conducted in Zhengzhou, Henan Province, China, from 2024 to 2025, under three irrigation treatments: 60–70% θfc, 70–90% θfc, and 60–90% θfc (θfc denotes field capacity). This study shows that (1) MFF-Net achieved its smallest inversion error under the 60–70% θfc treatment, suggesting the inversion was most effective when SMC variation was small and relatively low; (2) MFF-Net demonstrated superior performance to several benchmark models, achieving an R2 of 0.84; and (3) the ablation study confirmed that each feature branch and the sSE attention module contributed positively to model performance. MFF-Net thus offers a technological reference for real-time precision irrigation and shows promise for field SMC inversion in summer maize. Full article
(This article belongs to the Section Agricultural Soils)
Show Figures

Figure 1

24 pages, 1452 KB  
Article
Nonreciprocal Flow of Fluctuations, Populations and Correlations Between Doubly Coupled Bosonic Modes
by Zbigniew Ficek
Symmetry 2026, 18(2), 214; https://doi.org/10.3390/sym18020214 - 23 Jan 2026
Viewed by 354
Abstract
Interesting new correlations and unidirectional properties of two bosonic modes under the influence of the environment appear when the modes are mutually coupled through the simultaneously applied linear mode-hopping and nonlinear squeezing interactions. Under such double coupling, it is found that while the [...] Read more.
Interesting new correlations and unidirectional properties of two bosonic modes under the influence of the environment appear when the modes are mutually coupled through the simultaneously applied linear mode-hopping and nonlinear squeezing interactions. Under such double coupling, it is found that while the Hamiltonian of the system is clearly Hermitian, the dynamics of the quadrature components of the field operators can be attributed to the non-Hermicity of the system. This manifests through an asymmetric coupling between the quadrature components, which then leads to a variety of remarkable features. In particular, we identify how the emerging exceptional point controls the conversion of thermal states of the modes into single-mode classically or quantum-squeezed states. Furthermore, for reservoirs in squeezed states, we find that the two-photon correlations present in these reservoirs are responsible for unidirectional flow of populations and correlations among the modes and the flow can be controlled by appropriate tuning of the mutual orientation of the squeezed noise ellipses. In the course of analyzing these effects, we find that the flow of the population creates the first-order coherence between the modes which, on the other hand, rules out an enhancement of the two photon correlations responsible for entanglement between the modes. These results suggest new alternatives for the creation of single-mode squeezed fields and the potential applications for the controlled unidirectional transfer of population and correlations in bosonic chains. Full article
(This article belongs to the Special Issue Symmetry and Nonlinearity in Optics)
Show Figures

Figure 1

18 pages, 5390 KB  
Article
Multilevel Modeling and Validation of Thermo-Mechanical Nonlinear Dynamics in Flexible Supports
by Xiangyu Meng, Qingyu Zhu, Qingkai Han and Junzhe Lin
Machines 2026, 14(1), 131; https://doi.org/10.3390/machines14010131 - 22 Jan 2026
Viewed by 210
Abstract
Prediction accuracy for complex flexible support systems is often limited by insufficiently characterized thermo-mechanical couplings and nonlinearities. To address this, we propose a multilevel hybrid parallel–serial model that integrates the thermo-viscous effects of a Squeeze Film Damper (SFD) via a coupled Reynolds–Walther equation, [...] Read more.
Prediction accuracy for complex flexible support systems is often limited by insufficiently characterized thermo-mechanical couplings and nonlinearities. To address this, we propose a multilevel hybrid parallel–serial model that integrates the thermo-viscous effects of a Squeeze Film Damper (SFD) via a coupled Reynolds–Walther equation, the structural flexibility of a squirrel-cage support using Finite Element analysis, and the load-dependent stiffness of a four-point contact ball bearing based on Hertzian theory. The resulting state-dependent system is solved using a force-controlled iterative numerical algorithm. For validation, a dedicated bidirectional excitation test rig was constructed to decouple and characterize the support’s dynamics via frequency-domain impedance identification. Experimental results indicate that equivalent damping is temperature-sensitive, decreasing by approximately 50% as the lubricant temperature rises from 30 °C to 100 °C. In contrast, the system exhibits pronounced stiffness hardening under increasing loads. Theoretical analysis attributes this nonlinearity primarily to the bearing’s Hertzian contact mechanics, which accounts for a stiffness increase of nearly 240%. This coupled model offers a distinct advancement over traditional linear approaches, providing a validated framework for the design and vibration control of aero-engine flexible supports. Full article
Show Figures

Figure 1

16 pages, 1206 KB  
Article
HASwinNet: A Swin Transformer-Based Denoising Framework with Hybrid Attention for mmWave MIMO Systems
by Xi Han, Houya Tu, Jiaxi Ying, Junqiao Chen and Zhiqiang Xing
Entropy 2026, 28(1), 124; https://doi.org/10.3390/e28010124 - 20 Jan 2026
Viewed by 317
Abstract
Millimeter-wave (mmWave) massive multiple-input, multiple-output (MIMO) systems are a cornerstone technology for integrated sensing and communication (ISAC) in sixth-generation (6G) mobile networks. These systems provide high-capacity backhaul while simultaneously enabling high-resolution environmental sensing. However, accurate channel estimation remains highly challenging due to intrinsic [...] Read more.
Millimeter-wave (mmWave) massive multiple-input, multiple-output (MIMO) systems are a cornerstone technology for integrated sensing and communication (ISAC) in sixth-generation (6G) mobile networks. These systems provide high-capacity backhaul while simultaneously enabling high-resolution environmental sensing. However, accurate channel estimation remains highly challenging due to intrinsic noise sensitivity and clustered sparse multipath structures. These challenges are particularly severe under limited pilot resources and low signal-to-noise ratio (SNR) conditions. To address these difficulties, this paper proposes HASwinNet, a deep learning (DL) framework designed for mmWave channel denoising. The framework integrates a hierarchical Swin Transformer encoder for structured representation learning. It further incorporates two complementary branches. The first branch performs sparse token extraction guided by angular-domain significance. The second branch focuses on angular-domain refinement by applying discrete Fourier transform (DFT), squeeze-and-excitation (SE), and inverse DFT (IDFT) operations. This generates a mask that highlights angularly coherent features. A decoder combines the outputs of both branches with a residual projection from the input to yield refined channel estimates. Additionally, we introduce an angular-domain perceptual loss during training. This enforces spectral consistency and preserves clustered multipath structures. Simulation results based on the Saleh–Valenzuela (S–V) channel model demonstrate that HASwinNet achieves significant improvements in normalized mean squared error (NMSE) and bit error rate (BER). It consistently outperforms convolutional neural network (CNN), long short-term memory (LSTM), and U-Net baselines. Furthermore, experiments with reduced pilot symbols confirm that HASwinNet effectively exploits angular sparsity. The model retains a consistent advantage over baselines even under pilot-limited conditions. These findings validate the scalability of HASwinNet for practical 6G mmWave backhaul applications. They also highlight its potential in ISAC scenarios where accurate channel recovery supports both communication and sensing. Full article
Show Figures

Figure 1

19 pages, 4130 KB  
Article
Performance Evaluation of the Sizing of Cotton Warp Yarns Using Low-Cost Carboxymethyl Cellulose Derived from Saudi Wheat Straw
by Samah Maatoug and Elham Abu Nab
Polymers 2026, 18(2), 226; https://doi.org/10.3390/polym18020226 - 15 Jan 2026
Viewed by 288
Abstract
Sizing is a critical operation in woven fabric production, as it enhances weaving efficiency by improving warp yarn performance. Conventional sizing agents include maize starch, polyvinyl alcohol (PVA), and commercial carboxymethyl cellulose (CMC). In this study, a low-cost and biodegradable carboxymethyl cellulose derived [...] Read more.
Sizing is a critical operation in woven fabric production, as it enhances weaving efficiency by improving warp yarn performance. Conventional sizing agents include maize starch, polyvinyl alcohol (PVA), and commercial carboxymethyl cellulose (CMC). In this study, a low-cost and biodegradable carboxymethyl cellulose derived from wheat straw (CMCws) was investigated as an alternative sizing agent for cotton open-end yarns with a count of Nm 12.2. The high degree of substitution (DS = 1.23) of CMCws indicates extensive carboxymethylation, which enhances the polymer’s hydrophilicity and solubility in water. This, in turn, contributes to a higher apparent viscosity (η = 903.03 cP at 300 s−1), reflecting stronger molecular chain interactions and better film-forming ability. CMCws was applied using a high-pressure squeezing technique, and its effect on yarn performance was evaluated in terms of tensile properties, film characteristics, and yarn surface morphology. The results showed that CMCws provided a tenacity gain of 28.57%, a hairiness reduction of 54.34%, and an abrasion resistance gain of 37.14%. These values fall within acceptable industrial ranges and are comparable to those obtained using conventional sizing agents. Furthermore, the optimized CMCws formulation, containing plasticizer and lubricant additives, exhibited good desizing efficiency, with effective removal achieved in hot water. The findings indicate that wheat-straw-derived CMCws is a viable, sustainable alternative to traditional sizing agents for woven fabric production. Full article
(This article belongs to the Special Issue Advanced Study on Polymer-Based Textiles)
Show Figures

Figure 1

Back to TopTop