Analysis and Reduction of Nonlinear Effects in Optical Fiber Frequency Transfer
Abstract
:1. Introduction
2. Fundamental Principle
3. Simulation and Results
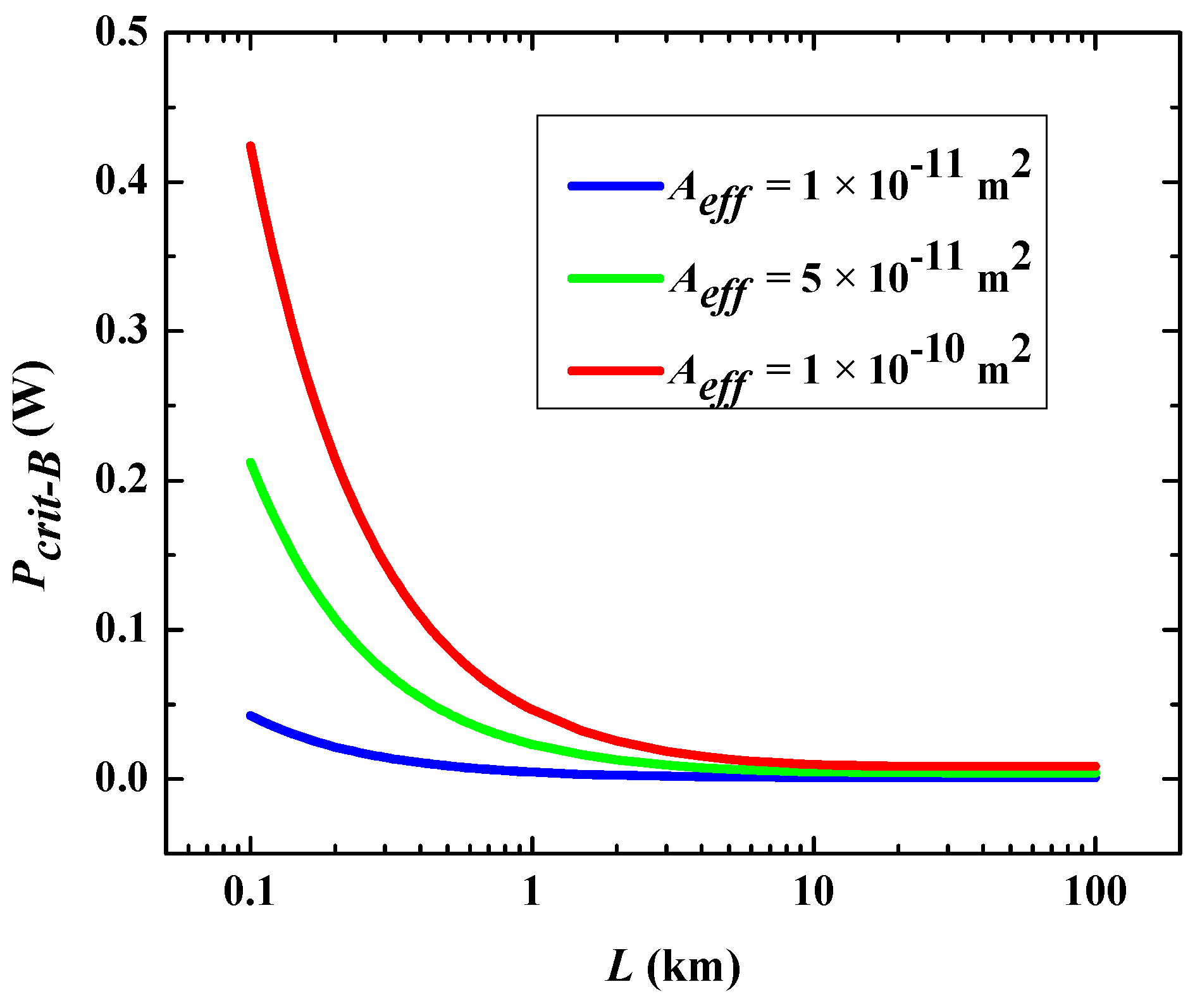
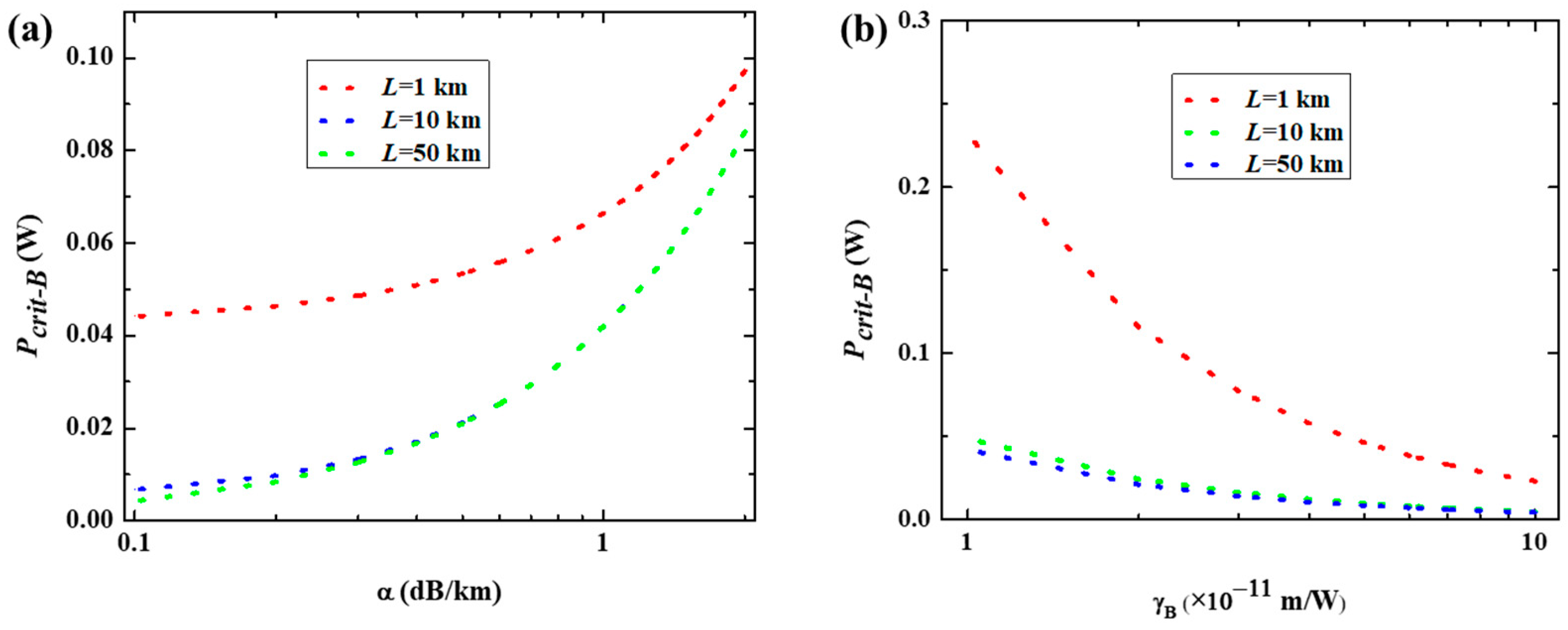
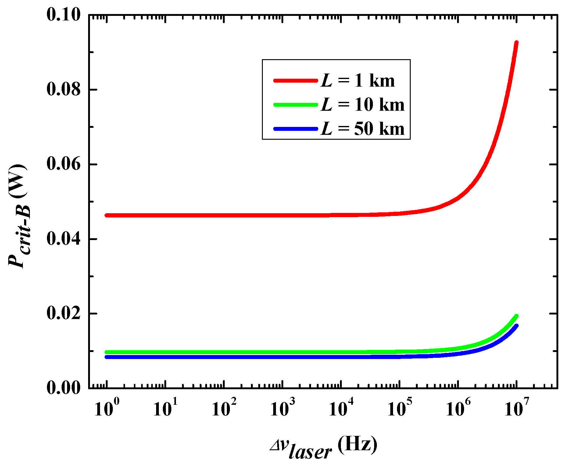
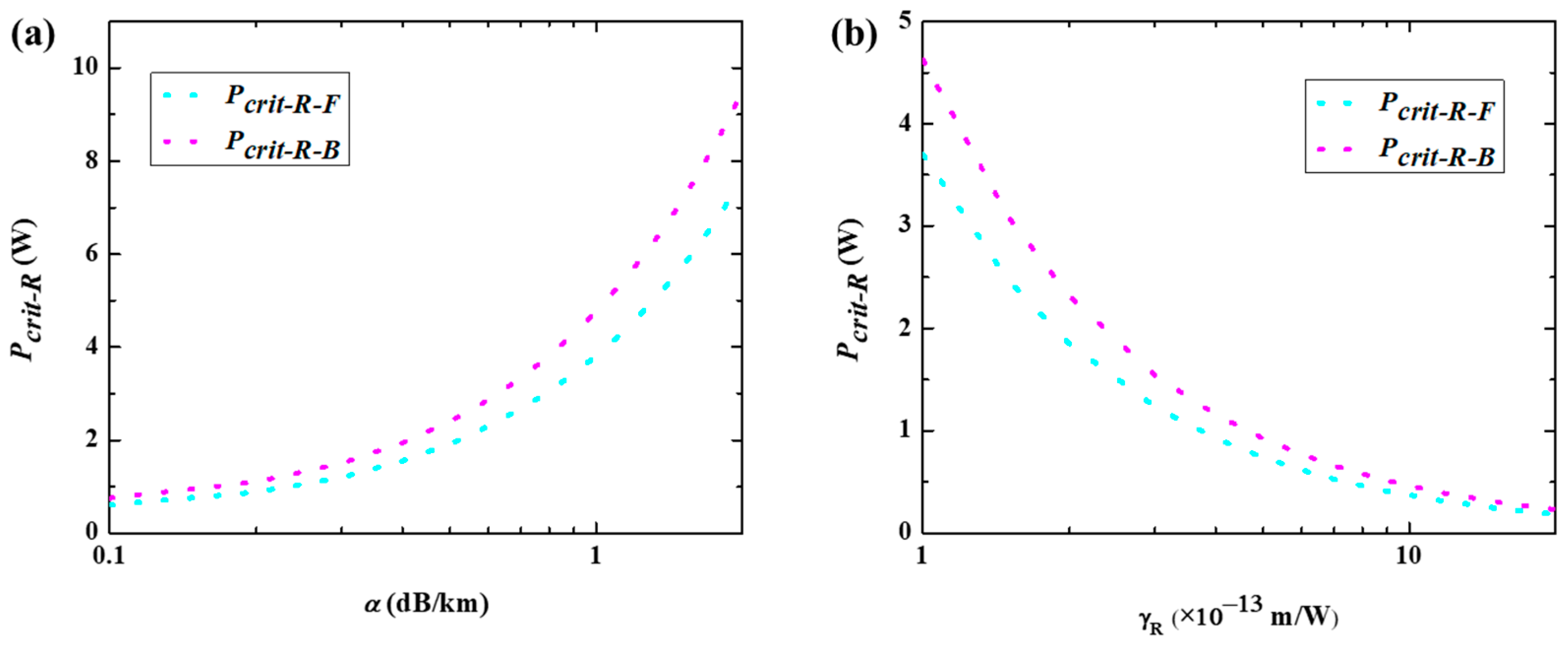
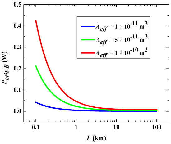
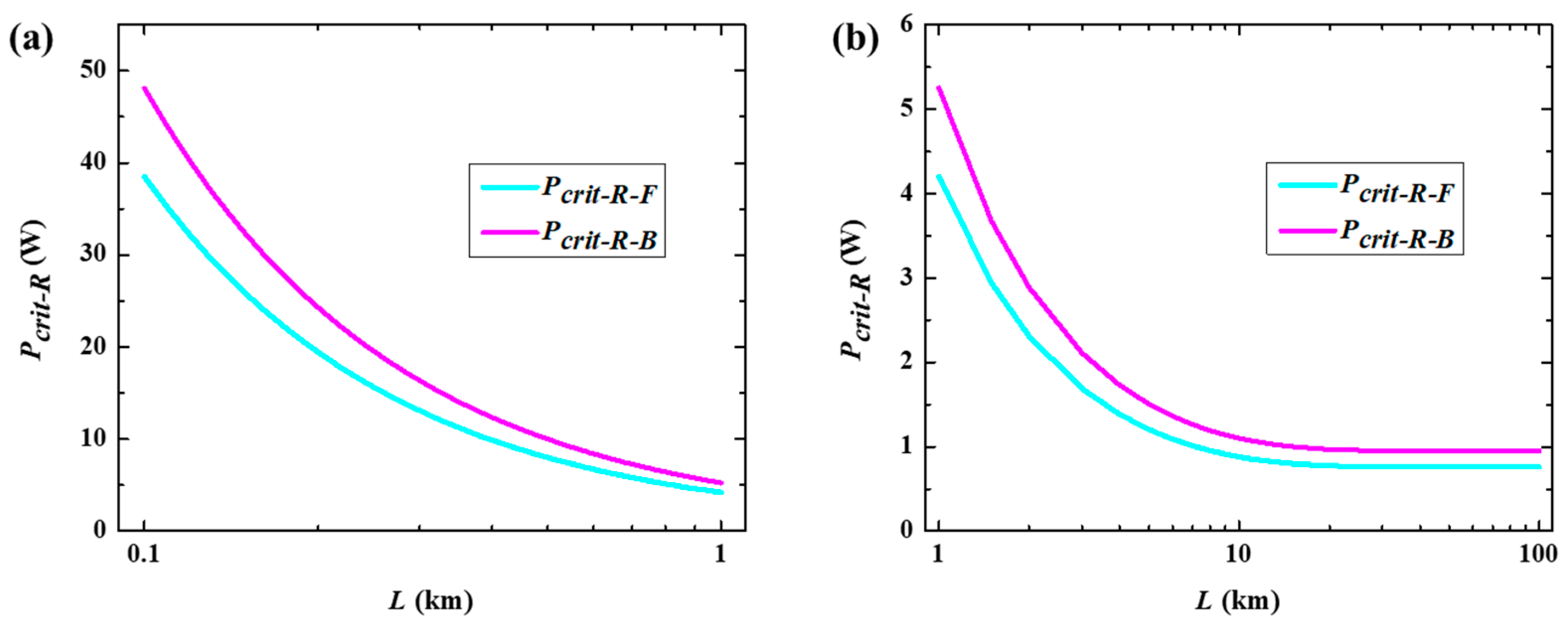
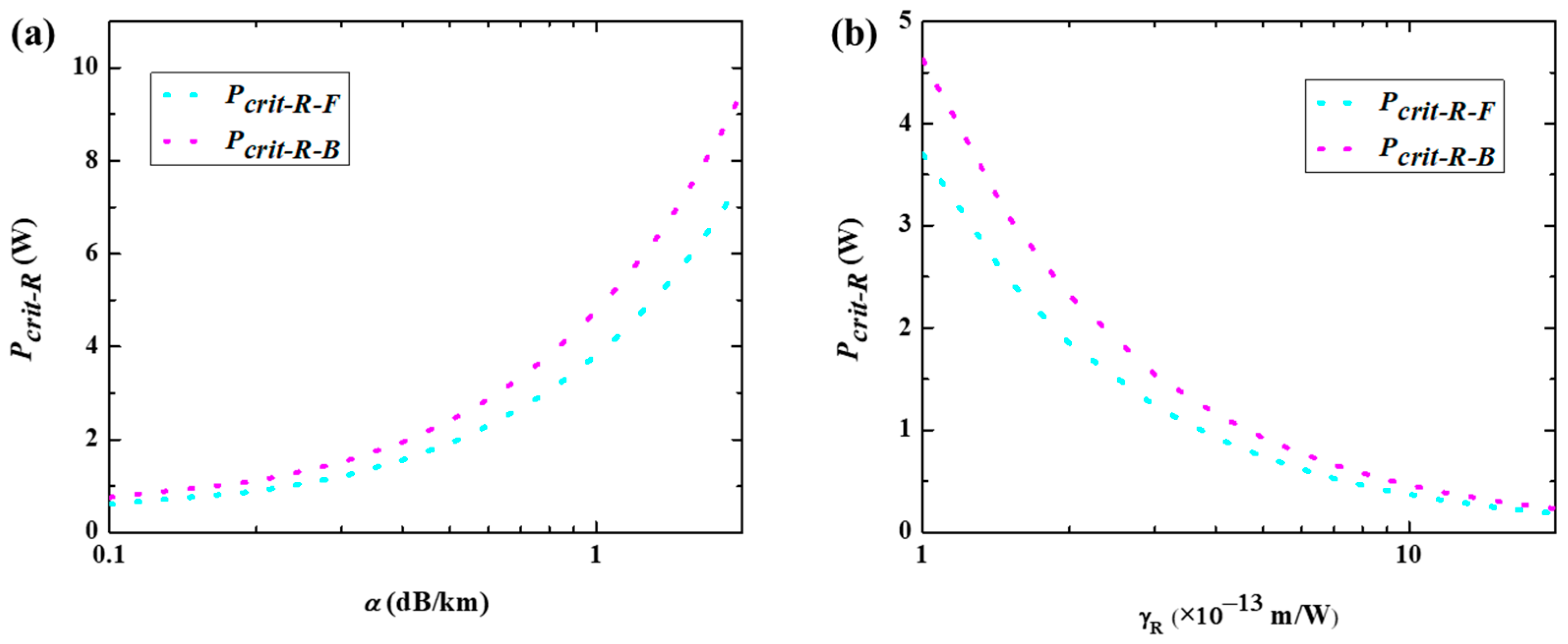
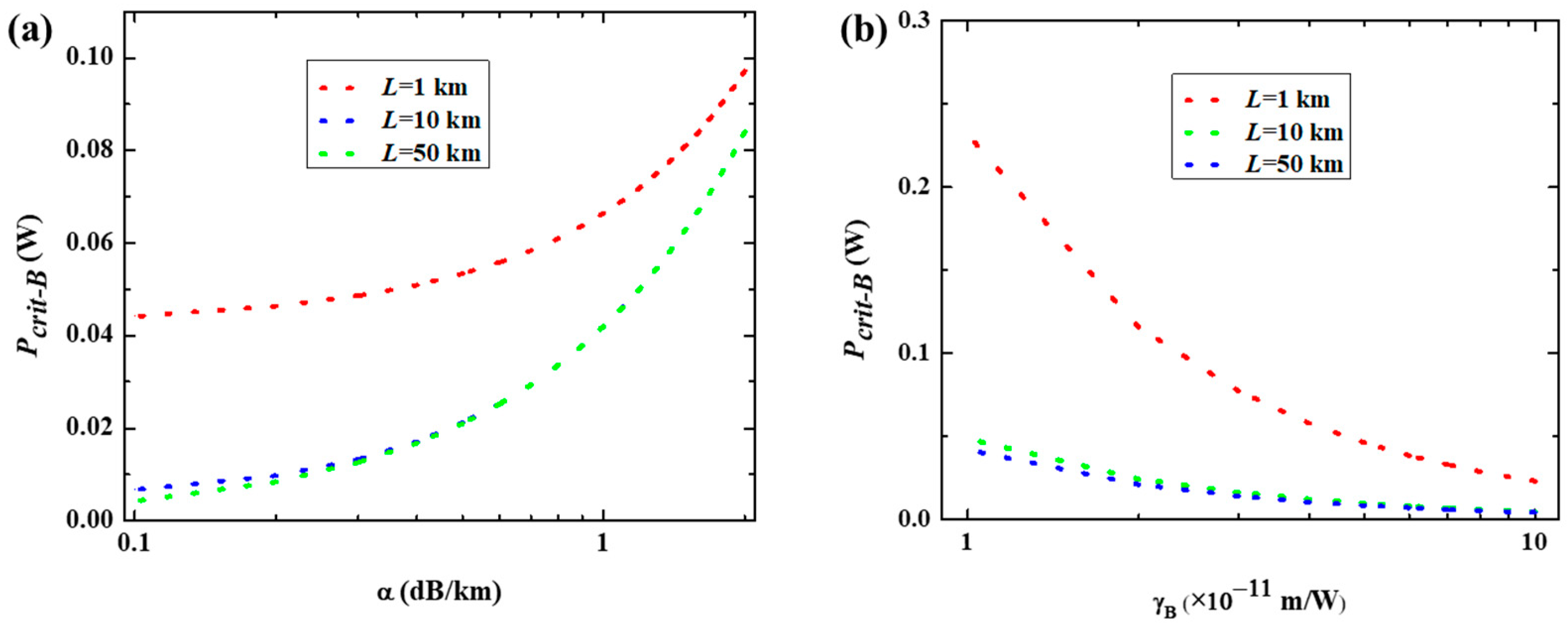
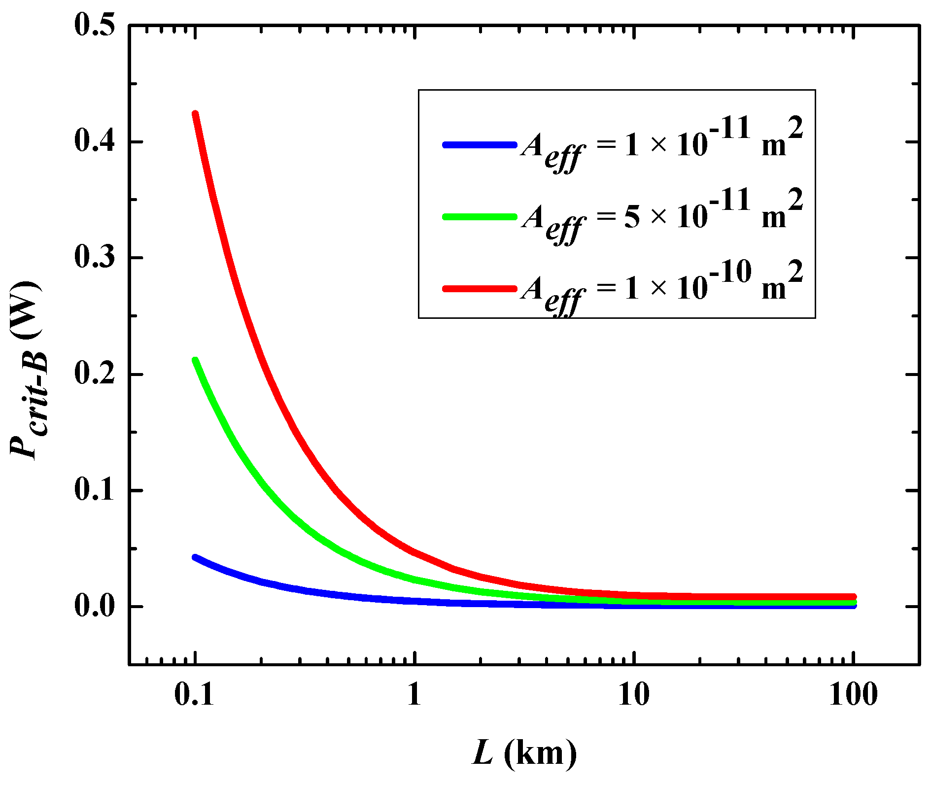
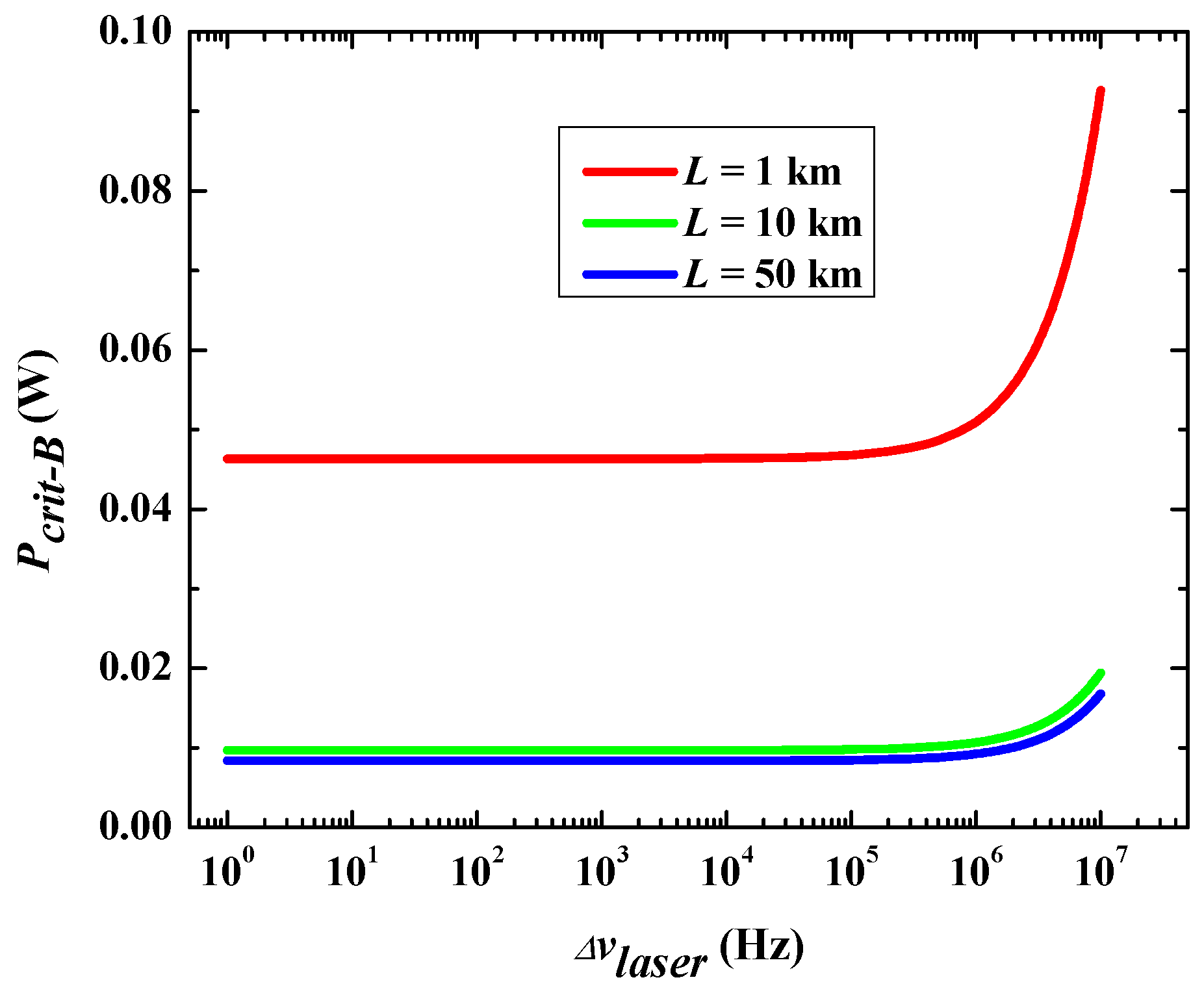
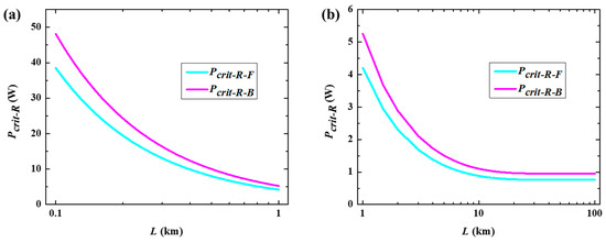
3.1. Stimulated Brillouin Scattering
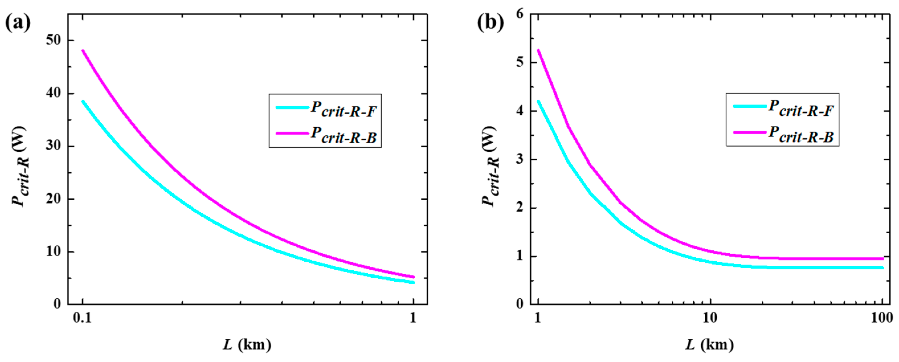
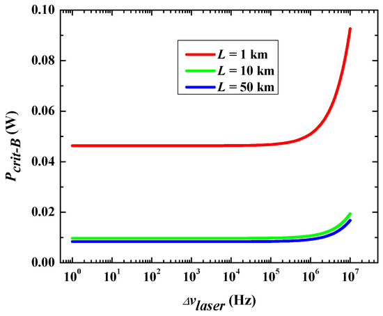
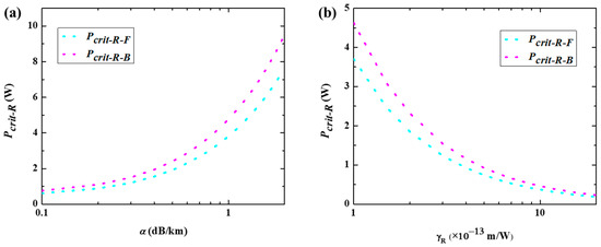
3.2. Raman Scattering
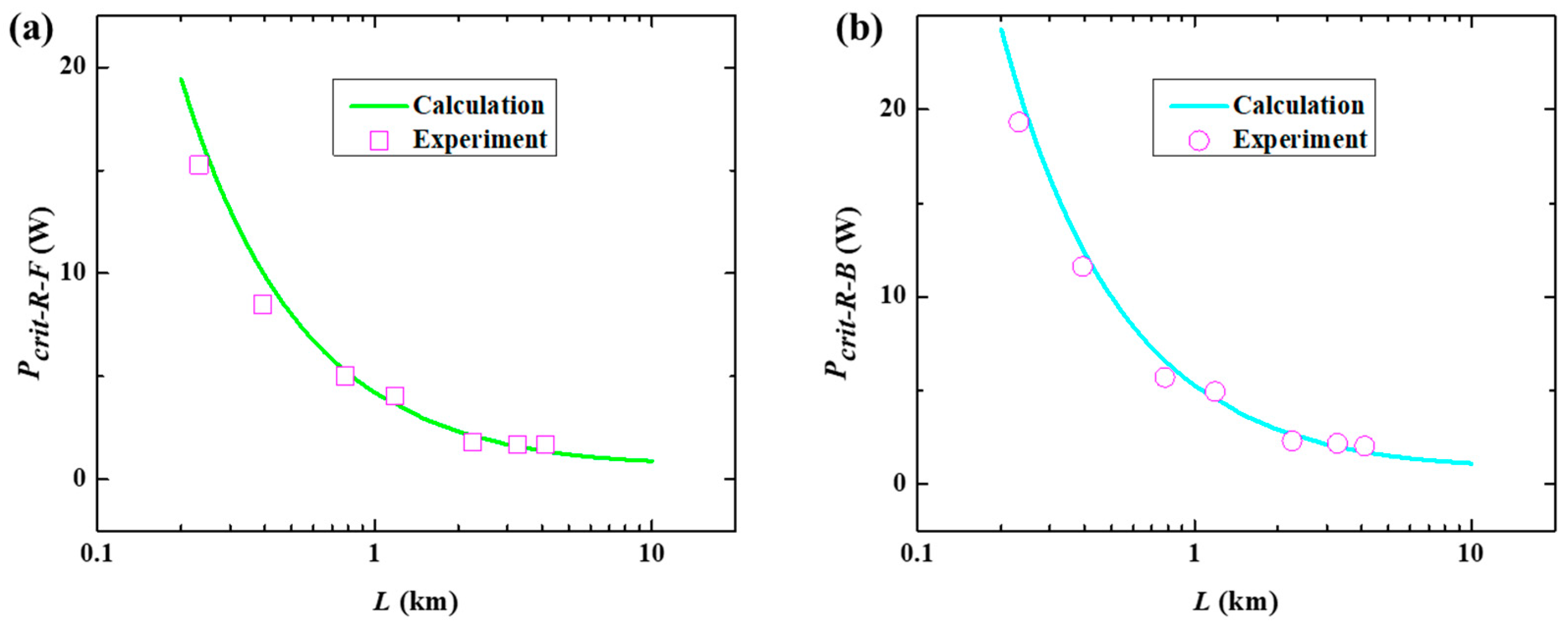
4. Experimental Verification
4.1. Stimulated Brillouin Scattering
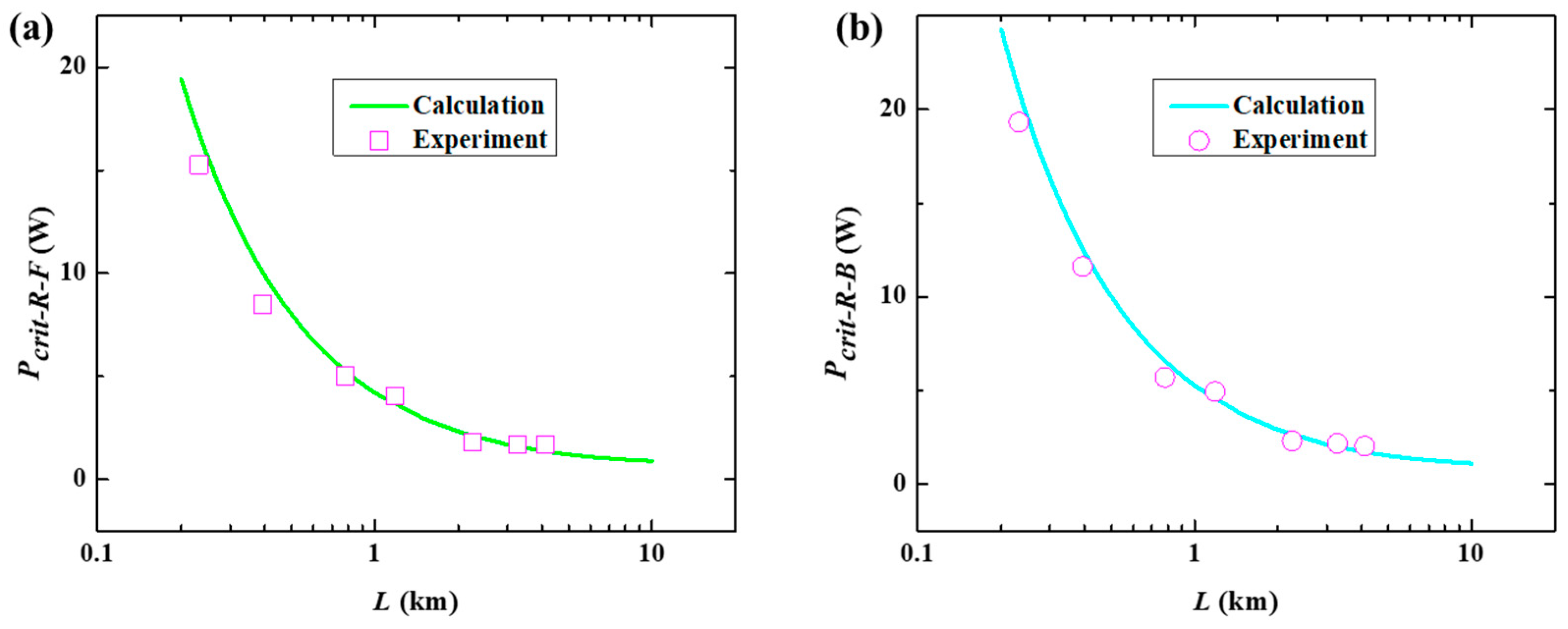
4.2. Raman Scattering
5. Conclusions
Author Contributions
Funding
Institutional Review Board Statement
Informed Consent Statement
Data Availability Statement
Conflicts of Interest
References
- Marti, G.E.; Hutson, R.B.; Goban, A.; Campbell, S.L.; Poli, N.; Ye, J. Imaging Optical Frequencies with 100 μHz Precision and 1.1 μm Resolution. Phys. Rev. Lett. 2018, 120, 103201. [Google Scholar] [CrossRef] [PubMed]
- Schioppo, M.; Brown, R.C.; McGrew, W.F.; Hinkley, N.; Fasano, R.J.; Beloy, K.; Yoon, T.; Milani, G.; Nicolodi, D.; Sherman, J.A.; et al. Ultra-stable optical clock with two cold-atom ensembles. Nat. Photonics 2017, 11, 48. [Google Scholar] [CrossRef]
- McGrew, W.F.; Zhang, X.; Fasano, R.J.; Schaffer, S.A.; Beloy, K.; Nicolodi, D.; Brown, R.C.; Hinkley, N.; Milani, G.; Schioppo, M.; et al. Faraday-Shielded dc Stark-Shift-Free Optical Lattice Clock. Nature 2018, 564, 87. [Google Scholar] [CrossRef]
- Lisdat, C.; Grosche, G.; Quintin, N.; Shi, C.; Raupach, S.; Grebing, C.; Nicolodi, D.; Stefani, F.; Al-Masoudi, A.; Dorscher, S.; et al. A clock network for geodesy and fundamental science. Nat. Commun. 2016, 7, 12443. [Google Scholar] [CrossRef]
- Hu, L.; Poli, N.; Salvi, L.; Tino, G.M. Atom interferometry with the Sr optical clock transition. Phys. Rev. Lett. 2017, 119, 263601. [Google Scholar] [CrossRef]
- Grotti, J.; Koller, S.; Vogt, S.; Häfner, S.; Sterr, U.; Lisdat, C.; Denker, H.; Voigt, C.; Timmen, L.; Rolland, A.; et al. Geodesy and metrology with a transportable optical clock. Nat. Phys. 2018, 14, 437. [Google Scholar] [CrossRef]
- Droste, S.; Ozimek, F.; Udem, T.; Predehl, K.; Hänsch, T.W.; Schnatz, H.; Grosche, G.; Holzwarth, R. Optical Frequency Transfer over a single-span 1840 km Fiber Link. Phys. Rev. Lett. 2013, 111, 110801. [Google Scholar] [CrossRef]
- Chiodo, N.; Quintin, N.; Stefani, F.; Wiotte, F.; Camisard, E.; Chardonnet, C.; Santarelli, G.; Amy-Klein, A.; Pottie, P.E.; Lopez, O. Cascaded optical fiber link using the Internet network for remote clocks comparison. Opt. Express 2015, 23, 33927. [Google Scholar] [CrossRef]
- Deng, X.; Liu, J.; Jiao, D.D.; Gao, J.; Zang, Q.; Xu, G.J.; Dong, R.F.; Liu, T.; Zhang, S.G. Coherent Transfer of Optical Frequency over 112 km with Instability at the 10−20 Level. Chin. Phys. Lett. 2016, 33, 114202. [Google Scholar] [CrossRef]
- Husmann, D.; Bernier, L.G.; Bertrand, M.; Calonico, D.; Chaloulos, K.; Clausen, G.; Clivati, C.; Faist, J.; Heiri, E.; Hollenstein, U.; et al. SI-traceable frequency dissemination at 1572 nm in a stabilized fiber network with ring topology. Opt. Express 2021, 29, 24592. [Google Scholar] [CrossRef]
- Jiang, H. Development of Ultra-Narrow-Linewidth Laser Sources and Long-Distance Optical Link via Telecommunication Networks. Ph.D. Thesis, Université Paris, Paris, France, 2010. [Google Scholar]
- Zang, Q. Key Techniques Research on Long-Haul Optical Frequency Transfer via Fiber Link. Ph.D. Thesis, University of Chinese Academy of Sciences, Beijing, China, 2022. [Google Scholar]
- Deng, X. Research on High-Precision Optical Frequency Transfer via Fiber Link. Ph.D. Thesis, University of Chinese Academy of Sciences, Beijing, China, 2020. [Google Scholar]
- Terra, O.; Grosche, G.; Schnatz, H. Brillouin amplification in phase coherent transfer of optical frequencies over 480 km fiber. Opt. Express 2010, 18, 016102. [Google Scholar] [CrossRef]
- Grosche, G.; Terra, O.; Predehl, K.; Holzwarth, R.; Lipphardt, B.; Vogt, F.; Sterr, U.; Schnatz, H. Optical frequency transfer via 146 km fiber link with 10−19 relative accuracy. Opt. Lett. 2009, 34, 2270. [Google Scholar] [CrossRef] [PubMed]
- Predehl, K.; Grosche, G.; Raupach, S.M.F.; Droste, S.; Terra, O.; Alnis, J.; Legero, T.; Hänsch, T.W.; Udem, T.; Holzwarth, R.; et al. A 920-Kilometer Optical Fiber Link for Frequency Metrology at the 19th Decimal Place. Science 2012, 336, 441–444. [Google Scholar] [CrossRef] [PubMed]
- Predehl, K. A 920 km Optical Fiber Link for Frequency Metrology at the 19th Decimal Place. Ph.D. Thesis, Max-Planck-Institut für Quantenoptik, München, Germany, 2012. [Google Scholar]
- Williams, P.A.; Swann, W.C.; Newbury, N.R. High-stability transfer of an optical frequency over long fiber-optic links. J. Opt. Soc. Am. B 2008, 25, 1284–1293. [Google Scholar] [CrossRef]
- Koyamada, Y.; Sato, S.; Nakamura, S.; Sotobayashi, H.; Chujo, W. Simulating and designing Brillouin gain spectrum in single mode fibers. J. Light. Technol. 2004, 22, 631. [Google Scholar] [CrossRef]
- McCurdy, A.H. Modeling of stimulated Brillouin scattering in optical fibers with arbitrary radial index profile. J. Light. Technol. 2005, 23, 3509. [Google Scholar] [CrossRef]
- Okawachi, Y. Tunable all-optical delays via Brillouin slow light in an optical fiber. Phys. Rev. Lett. 2005, 94, 153902. [Google Scholar] [CrossRef]
- Ward, B.; Spring, J. Finite element analysis of Brillouin gain in SBS-suppressing optical fibers with non-uniform acoustic velocity profiles. Opt. Express 2009, 17, 15685. [Google Scholar] [CrossRef]
- Kovalev, V.I.; Harrison, R.G. Suppression of stimulated Brillouin scattering in high-power single-frequency fiber amplifiers. Opt. Lett. 2006, 31, 161. [Google Scholar] [CrossRef]
- Agrawal, G.P. Nonlinear Fiber Optics, 4th ed.; Academic Press: New York, NY, USA, 2007. [Google Scholar]
- Kovalev, V.I.; Harrison, R.G. Abnormally low threshold gain of stimulated Brillouin scattering in long optical fiber with feedback. Opt. Express 2008, 16, 12272. [Google Scholar] [CrossRef]
- Cao, M.; Li, H.; Tang, M.; Mi, Y.; Ren, G. Forward stimulated Brillouin scattering in optical nanofibers. J. Opt. Soc. Am. B 2019, 36, 2079. [Google Scholar] [CrossRef]
- Serena, P.; Meseguer, A.C.; Poli, F.; Bononi, A.; Antona, J.C. Scaling properties of guided acoustic-wave Brillouin scattering in single-mode fibers. Opt. Express 2021, 29, 15528. [Google Scholar] [CrossRef] [PubMed]
- Wolff, C.; Smith, M.; Stiller, B.; Poulton, C. Brillouin scattering—Theory and experiment: Tutorial. J. Opt. Soc. Am. B 2021, 38, 1243. [Google Scholar] [CrossRef]
- Nieves, O.A.; Arnold, M.D.; Steel, M.J.; Schmidt, M.K.; Poulton, C.G. Numerical simulation of noise in pulsed Brillouin scattering. J. Opt. Soc. Am. B 2021, 38, 2343. [Google Scholar] [CrossRef]
- Jin, D.; Bai, Z.; Lu, Z.; Fan, R.; Zhao, Z.; Yang, X.; Wang, Y.; Mildren, R.P. 22.5-W narrow-linewidth diamond Brillouin laser at 1064 nm. Opt. Lett. 2022, 47, 5360–5363. [Google Scholar] [CrossRef] [PubMed]
- Miah, K.; Potter, D.K. A Review of Hybrid Fiber-Optic Distributed Simultaneous Vibration and Temperature Sensing Technology and Its Geophysical Applications. Sensors 2017, 17, 2511. [Google Scholar] [CrossRef]
- Ippen, E.P.; Stolen, R.H. Stimulated Brillouin scattering in optical fibers. Appl. Phys. Lett. 1972, 21, 539. [Google Scholar] [CrossRef]
- Smith, R.G. Optical power handling capacity of low loss optical fibers as determined by stimulated Raman and Brillouin scattering. Appl. Opt. 1972, 11, 2489. [Google Scholar] [CrossRef]
- Al-Asadi, H.A.; Al-Mansoori, M.H.; Hitam, S.; Saripan, M.I.; Mahdi, M.A. Particle swarm optimization on threshold exponential gain of stimulated Brillouin scattering in single mode fibers. Opt. Express 2011, 19, 1842–1853. [Google Scholar] [CrossRef]
- Al-Asadi, H.A.; Al-Mansoori, M.H.; Ajiya, M.; Hitam, S.; Saripan, M.I.; Mahdi, M.A. Effects of pump recycling technique on stimulated Brillouin scattering threshold: A theoretical model. Opt. Express 2010, 18, 22339–22347. [Google Scholar] [CrossRef]
- Yang, Y.; Yang, W.; Jiang, T.; Yang, M. Investigation characteristics of stimulated Raman Threshold in a Single Mode Fiber. Acta Opt. Sin. 2014, 34, 129001. [Google Scholar] [CrossRef]
- Khudyakov, M.M.; Likhachev, M.E.; Bubnov, M.M.; Lipatov, D.S.; Lobanov, A.S.; Guryanov, A.N. Three layer fiber with high stimulated Brillouin scattering threshold. In Proceedings of the Fiber Lasers XIV: Technology and Systems, San Francisco, CA, USA, 28 January–2 February 2017; Volume 10083. [Google Scholar]
- Parvizi, R.; Harun, S.W.; Ali, N.M.; Arof, H.; Ahmad, H. Investigation on threshold power of stimulated Brillouin scattering in photonic crystal fiber. Optik 2012, 123, 1149–1152. [Google Scholar] [CrossRef]
- Mejía, E.B.; De la Cruz May, L.; Talavera, D.V. Shortening of a Raman fiber laser by inserting ytterbium doped fiber. IOSR J. Eng. 2013, 3, 38–43. [Google Scholar] [CrossRef]
- Liu, A.; Chen, X.; Li, M.J.; Wang, J.; Walton, D.T.; Zenteno, L.A. Comprehensive Modeling of Single Frequency Fiber Amplifiers for Mitigating Stimulated Brillouin Scattering. J. Light. Technol. 2009, 27, 2189–2198. [Google Scholar]









| Item | Research Team | Brillouin Scattering Threshold Power | Raman Scattering Threshold Power | |||
|---|---|---|---|---|---|---|
| L | ||||||
| 1 | Ref. [11] | Yes | No | No | No | No |
| 2 | Ref. [18] | No | No | |||
| 3 | Refs. [14,15] | Yes | Yes | |||
| 4 | Refs. [16,17] | Yes | No | |||
| 5 | Refs. [12,13] | No | Yes | Yes | ||
| 6 | This work | Yes | Yes | Yes | Yes | Yes |
Disclaimer/Publisher’s Note: The statements, opinions and data contained in all publications are solely those of the individual author(s) and contributor(s) and not of MDPI and/or the editor(s). MDPI and/or the editor(s) disclaim responsibility for any injury to people or property resulting from any ideas, methods, instructions or products referred to in the content. |
© 2023 by the authors. Licensee MDPI, Basel, Switzerland. This article is an open access article distributed under the terms and conditions of the Creative Commons Attribution (CC BY) license (https://creativecommons.org/licenses/by/4.0/).
Share and Cite
Gao, J.; Zhang, L.; Jiao, D.; Xu, G.; Bu, J.; Wu, M.; Zang, Q.; Zhang, X.; Dong, R.; Liu, T.; et al. Analysis and Reduction of Nonlinear Effects in Optical Fiber Frequency Transfer. Appl. Sci. 2023, 13, 12762. https://doi.org/10.3390/app132312762
Gao J, Zhang L, Jiao D, Xu G, Bu J, Wu M, Zang Q, Zhang X, Dong R, Liu T, et al. Analysis and Reduction of Nonlinear Effects in Optical Fiber Frequency Transfer. Applied Sciences. 2023; 13(23):12762. https://doi.org/10.3390/app132312762
Chicago/Turabian StyleGao, Jing, Linbo Zhang, Dongdong Jiao, Guanjun Xu, Jiayu Bu, Mengfan Wu, Qi Zang, Xiang Zhang, Ruifang Dong, Tao Liu, and et al. 2023. "Analysis and Reduction of Nonlinear Effects in Optical Fiber Frequency Transfer" Applied Sciences 13, no. 23: 12762. https://doi.org/10.3390/app132312762
APA StyleGao, J., Zhang, L., Jiao, D., Xu, G., Bu, J., Wu, M., Zang, Q., Zhang, X., Dong, R., Liu, T., & Zhang, S. (2023). Analysis and Reduction of Nonlinear Effects in Optical Fiber Frequency Transfer. Applied Sciences, 13(23), 12762. https://doi.org/10.3390/app132312762

