Research on a Grading Evaluation System for Water Inflow in Three-Hole Parallel Subsea Tunnels Considering Inter-Tunnel Influence
Abstract
:1. Introduction
2. Verification of Calculation Models and Methods
2.1. Calculation Model
2.2. Numerical Method Validation
3. Analysis of Factors Affecting Water Inflow
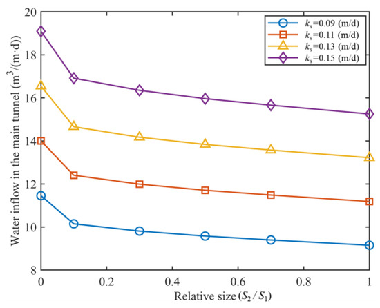
3.1. Permeability Coefficient
3.2. Seawater Depth
3.3. Depth of the Tunnel
3.4. Tunnel Spacing
3.5. Relative Size
3.6. Analysis of Seepage Field
4. Fuzzy Comprehensive Evaluation System for Tunnel Water Inflow
4.1. Establishment of Evaluation Set and Evaluation Factor Set
4.2. Evaluation Index System of Water Inflow
4.3. Establishment of Index Weights
- (a)
- Establishing Hierarchical Structure: This entails defining the target problem clearly, identifying relevant influencing factors, constructing a hierarchical framework for these factors, and subsequently developing an evaluation system that encompasses the entire problem.
- (b)
- Using Scale Values for Relative Significance: To assess the relative significance of factors at the same level, it is advisable to utilize scale values. These values aid in constructing a correlation judgment matrix, with the scale values and their explanations shown in Table 4.
- (c)
- Calculating Eigenvalues and Eigenvectors: Perform calculations for the eigenvalues and eigenvectors of the matrix. After normalization, obtain the weight values corresponding to each factor.
- (d)
- Conducting Consistency Check: Check for consistency by calculating the consistency index (CI) using Equation (3). Determine the average random consistency index from Table 5 and calculate the consistency ratio (CR) using Equation (4). If the calculated CR < 0.1, the judgment matrix is considered consistent.
- (1)
- Weight analysis of indicator layer
- (2)
- Weight analysis of criteria layer
4.4. Membership Function
4.5. Multi-Factor Fuzzy Evaluation
5. Engineering Application of the Graded Evaluation of Water Inflow
- (1)
- Considering the mutual influence between tunnels
- (2)
- Not considering the mutual influence between tunnels
6. Conclusions
- (1)
- Under the condition of three parallel tunnels, the water inflow increases linearly with the rise in permeability coefficient and seawater depth. As the burial depth increases, it exhibits a trend of initially decreasing and then increasing. The water inflow rises with an increase in tunnel spacing, approaching the water inflow of a single-hole tunnel. Conversely, it decreases with an increase in the relative size between the service tunnel and the main tunnel.
- (2)
- Under the condition of three parallel holes, there is mutual influence of the seepage field between subsea tunnels, which leads to a decrease in pore water pressure and a decrease in seepage velocity between tunnels. Using a single-hole tunnel model can lead to a higher predicted value of tunnel water inflow.
- (3)
- The water inflow evaluation system, constructed based on the fuzzy comprehensive evaluation method, can quantitatively process various influencing factors and classify water inflow grades. Engineering cases have demonstrated that neglecting the mutual influence between tunnels in a single-hole tunnel model can result in an increased water inflow grade. Therefore, in the grading evaluation system for three-hole parallel subsea tunnels, the mutual influence between tunnels should be considered.
Author Contributions
Funding
Institutional Review Board Statement
Informed Consent Statement
Data Availability Statement
Conflicts of Interest
References
- Hawley, C.J.; Gräbe, P.J. Water leakage mapping in concrete railway tunnels using LiDAR generated point clouds. Constr. Build. Mater. 2022, 361, 129644. [Google Scholar] [CrossRef]
- Sun, Z.; Zhang, D.; Fang, Q. Technologies for large cross-section subsea tunnel construction using drilling and blasting method. Tunn. Undergr. Space Technol. 2023, 141, 105161. [Google Scholar] [CrossRef]
- Jiang, N.; Lyu, G.; Wu, T.; Zhou, C.; Li, H.; Yang, F. Vibration effect and ocean environmental impact of blasting excavation in a subsea tunnel. Tunn. Undergr. Space Technol. 2023, 131, 104855. [Google Scholar] [CrossRef]
- Langford, J.; Holmøy, K.H.; Hansen, T.F.; Holter, K.G.; Stein, E. Analysis of water ingress, grouting effort, and pore pressure reduction caused by hard rock tunnels in the Oslo region. Tunn. Undergr. Space Technol. 2022, 130, 104762. [Google Scholar] [CrossRef]
- Wang, L.; Chen, H.; Liu, Y.; Li, H.; Zhang, W. Application of copula-based Bayesian network method to water leakage risk analysis in cross river tunnel of Wuhan Rail Transit Line 3. Adv. Eng. Inform. 2023, 57, 102056. [Google Scholar] [CrossRef]
- Yu, J.; Li, D.; Zheng, J.; Zhang, Z.; He, Z.; Fan, Y. Analytical study on the seepage field of different drainage and pressure relief options for tunnels in high water-rich areas. Tunn. Undergr. Space Technol. 2023, 134, 105018. [Google Scholar] [CrossRef]
- Golian, M.; Teshnizi, E.S.; Nakhaei, M. Prediction of water inflow to mechanized tunnels during tunnel-boring-machine advance using numerical simulation. Hydrogeol. J. 2018, 26, 2827–2851. [Google Scholar] [CrossRef]
- Shahbazi, A.; Chesnaux, R.; Saeidi, A. A new combined analytical-numerical method for evaluating the inflow rate into a tunnel excavated in a fractured rock mass. Eng. Geol. 2021, 283, 106003. [Google Scholar] [CrossRef]
- Zhu, C.-W.; Wu, W.; Ying, H.-W.; Gong, X.-N.; Guo, P.-P. Drainage-induced ground response in a twin-tunnel system through analytical prediction over the seepage field. Undergr. Space 2022, 7, 408–418. [Google Scholar] [CrossRef]
- Qin, Z.; Wang, Y.; Song, Y.; Dong, Q. The Analysis on Seepage Field of Grouted and Shotcrete Lined Underwater Tunnel. Math. Probl. Eng. 2020, 2020, 7319054. [Google Scholar] [CrossRef]
- Joo, E.J.; Shin, J.H. Relationship between water pressure and inflow rate in underwater tunnels and buried pipes. Géotechnique 2014, 64, 226–231. [Google Scholar] [CrossRef]
- Guo, Y.F.; Wang, H.N.; Jiang, M.J. An exact analytical approach for determining the seepage field around underwater twin tunnels with linings. Transp. Geotech. 2023, 42, 101050. [Google Scholar] [CrossRef]
- Park, K.-H.; Owatsiriwong, A.; Lee, J.-G. Analytical solution for steady-state groundwater inflow into a drained circular tunnel in a semi-infinite aquifer: A revisit. Tunn. Undergr. Space Technol. 2008, 23, 206–209. [Google Scholar] [CrossRef]
- Liu, X.; Wang, D.; Zhang, Y.; Jiang, A.; Fang, Q.; Zhang, R. Analytical solutions on non-Darcy seepage of grouted and lined subsea tunnels under dynamic water levels. Ocean Eng. 2023, 267, 113276. [Google Scholar] [CrossRef]
- Li, S.-c.; Liu, H.-l.; Li, L.-p.; Zhang, Q.-q.; Wang, K.; Wang, K. Large scale three-dimensional seepage analysis model test and numerical simulation research on undersea tunnel. Appl. Ocean Res. 2016, 59, 510–520. [Google Scholar] [CrossRef]
- Rasouli Maleki, M. Groundwater Seepage Rate (GSR); a new method for prediction of groundwater inflow into jointed rock tunnels. Tunn. Undergr. Space Technol. 2018, 71, 505–517. [Google Scholar] [CrossRef]
- Katibeh, H.; Aalianvari, A. Development of a New Method for Tunnel Site Rating from Groundwater Hazard Point of View. J. Appl. Sci. 2009, 9, 1496–1502. [Google Scholar] [CrossRef]
- Ho, W.; Ma, X. The state-of-the-art integrations and applications of the analytic hierarchy process. Eur. J. Oper. Res. 2018, 267, 399–414. [Google Scholar] [CrossRef]
- Li, L.; Lei, T.; Li, S.; Zhang, Q.; Xu, Z.; Shi, S.; Zhou, Z. Risk assessment of water inrush in karst tunnels and software development. Arab. J. Geosci. 2014, 8, 1843–1854. [Google Scholar] [CrossRef]
- Mahmoodzadeh, A.; Ghafourian, H.; Hussein Mohammed, A.; Rezaei, N.; Hashim Ibrahim, H.; Rashidi, S. Predicting tunnel water inflow using a machine learning-based solution to improve tunnel construction safety. Transp. Geotech. 2023, 40, 100978. [Google Scholar] [CrossRef]
- Qiu, D.; Chen, Q.; Xue, Y.; Su, M.; Liu, Y.; Cui, J.; Zhou, B. A new method for risk assessment of water inrush in a subsea tunnel crossing faults. Mar. Georesources Geotechnol. 2021, 40, 679–689. [Google Scholar] [CrossRef]
- Zarei, H.R.; Uromeihy, A.; Sharifzadeh, M. A new tunnel inflow classification (TIC) system through sedimentary rock masses. Tunn. Undergr. Space Technol. 2013, 34, 1–12. [Google Scholar] [CrossRef]
- Lin, L.; Xia, Y.; Wu, D. A hybrid fuzzy multiple criteria decision-making approach for comprehensive performance evaluation of tunnel boring machine disc cutter. Comput. Ind. Eng. 2020, 149, 106793. [Google Scholar] [CrossRef]
- Dou, S.; Shen, Y.; Zhu, H. Fuzzy-based multi-criteria humanistic assessment system for city tunnels: From methodology to application. Tunn. Undergr. Space Technol. 2023, 134, 104993. [Google Scholar] [CrossRef]
- Qin, Z.; He, W.; Zhou, H. Analytical study on seepage field of subsea twin tunnels constructed by NATM. Ocean Eng. 2022, 264, 112345. [Google Scholar] [CrossRef]
- Mahmoodzadeh, A.; Mohammadi, M.; M Gharrib Noori, K.; Khishe, M.; Hashim Ibrahim, H.; Farid Hama Ali, H.; Nariman Abdulhamid, S. Presenting the best prediction model of water inflow into drill and blast tunnels among several machine learning techniques. Autom. Constr. 2021, 127, 103719. [Google Scholar] [CrossRef]
- Yau, K.; Paraskevopoulou, C.; Konstantis, S. Spatial variability of karst and effect on tunnel lining and water inflow. A probabilistic approach. Tunn. Undergr. Space Technol. 2020, 97, 103248. [Google Scholar] [CrossRef]
- Yazdani-Chamzini, A.; Yakhchali, S.H. Tunnel Boring Machine (TBM) selection using fuzzy multicriteria decision making methods. Tunn. Undergr. Space Technol. 2012, 30, 194–204. [Google Scholar] [CrossRef]
- Wei, D.; Du, C.; Lin, Y.; Chang, B.; Wang, Y. Thermal environment assessment of deep mine based on analytic hierarchy process and fuzzy comprehensive evaluation. Case Stud. Therm. Eng. 2020, 19, 100618. [Google Scholar] [CrossRef]
- Mohandes, S.R.; Zhang, X. Towards the development of a comprehensive hybrid fuzzy-based occupational risk assessment model for construction workers. Saf. Sci. 2019, 115, 294–309. [Google Scholar] [CrossRef]














| Parameter | Unit | Value |
|---|---|---|
| Main tunnel area | m2 | 162.7 |
| Service tunnel area | m2 | 38.5 |
| Burial depth of main tunnel | m | 32.3 |
| Burial depth of service tunnel | m | 36.2 |
| Tunnel spacing | m | 27.5 |
| Seawater depth | m | 20 |
| Permeability coefficient of surrounding rock | m/d | 0.13 |
| Water Inflow Grade | Water Inflow Evaluation | Risk Value |
|---|---|---|
| Ⅰ | Mild (generally no risk of inrush) | 0~20 |
| Ⅱ | Slightly severe (possible occurrence of fissure inrush) | 20~40 |
| Ⅲ | Relatively severe (possible occurrence of localized inrush) | 40~60 |
| Ⅳ | Severe (possible occurrence of localized inrush) | 60~80 |
| Ⅴ | Very severe (possible occurrence of large-scale inrush) | 80~100 |
| Target Layer | Criteria Layer | Indicator Layer | Assessment of Water Inflow | ||||
|---|---|---|---|---|---|---|---|
| I | II | III | IV | V | |||
| Grade standard for water inflow in subsea tunnels | Physical–mechanical characteristics of surrounding rock | Surrounding rock grades | Ⅰ, II | III | IV | V | VI |
| Joint fissure development degree | Undeveloped | Moderately developed | Developed | Highly developed | Disordered | ||
| Rock mass integrity index (Kv) | Kv > 0.75 | 0.75 ≥ Kv > 0.55 | 0.55 ≥ Kv > 0.35 | 0.35 ≥ Kv > 0.15 | Kv < 0.15 | ||
| Rock weathering degree | Unweathered | Slightly weathered | Moderately weathered | Highly weathered | Completely weathered | ||
| Hydrogeological conditions of tunnel engineering | Permeability coefficient (m/d) | <0.01 | 0.01~0.05 | 0.05~0.1 | 0.1~0.15 | >0.15 | |
| Seawater depth (m) | <10 | 10~20 | 20~30 | 30~40 | 40~50 | ||
| Tunnel burial depth (m) | 20~40 | 40~60 | 60~80 | 80~100 ∪ 10~20 | <10 ∪ >100 | ||
| Geometric characteristics of tunnel engineering | Relative size | >1 | 0.7~1.0 | 0.3~0.7 | 0.1~0.3 | <0.1 | |
| Tunnel spacing (m) | <25 | 25~50 | 50~75 | 75~100 | >100 | ||
| Tunnel construction methods | Drilling and blasting method | — | — | Drilling and blasting method | — | — | |
| Shield method | Shield method | — | — | — | — | ||
| Tunnel profile shape | Multicenter circular | — | Multicenter circular | — | — | — | |
| Circular | Circular | — | — | — | — | ||
| Numerical Values | Explanation |
|---|---|
| 1 | When comparing two factors, factor i is as equally important as factor j |
| 3 | When comparing two factors, factor i is slightly more important than factor j |
| 5 | When comparing two factors, factor i is more important than factor j |
| 7 | When comparing two factors, factor i is significantly more important than factor j |
| 9 | When comparing two factors, factor i is absolutely more important than factor j |
| 2, 4, 6, 8 | The comparison results of the importance between factors i and j fall within the ranges of 1–3, 3–5, 5–7, and 7–9 |
| Reciprocal | The comparison results of the importance between factors j and i are reciprocals of the comparison results between factors i and j |
| n | 1 | 2 | 3 | 4 | 5 | 6 | 7 | 8 | 9 | 10 |
| RI | 0 | 0 | 0.52 | 0.89 | 1.12 | 1.26 | 1.36 | 1.41 | 1.46 | 1.49 |
| Physical–Mechanical Characteristics of Surrounding Rock A1 | A11 | A12 | A13 | A14 | Weight | CR |
|---|---|---|---|---|---|---|
| Surrounding rock grades (A11) | 1 | 3 | 1 | 6 | 0.393 | 0.03 |
| Joint fissure development degree (A12) | 1/3 | 1 | 1/3 | 4 | 0.158 | |
| Rock mass integrity index (A13) | 1 | 3 | 1 | 6 | 0.393 | |
| Rock weathering degree (A14) | 1/6 | 1/4 | 1/6 | 1 | 0.056 |
| Hydrogeological Conditions of Tunnel Engineering A2 | A21 | A22 | A23 | Weight | CR |
|---|---|---|---|---|---|
| Permeability coefficient (A21) | 1 | 4 | 5 | 0.674 | 0.08 |
| Seawater depth (A22) | 1/4 | 1 | 3 | 0.226 | |
| Tunnel burial depth (A23) | 1/5 | 1/3 | 1 | 0.100 |
| Geometric Characteristics of Tunnel Engineering A3 | A31 | A32 | Weight | CR |
|---|---|---|---|---|
| Relative size (A31) | 1 | 1/2 | 0.333 | 0 |
| Tunnel spacing (A32) | 2 | 1 | 0.667 |
| Tunnel Construction Methods A4 | A41 | A42 | Weight | CR |
|---|---|---|---|---|
| Drilling and blasting method (A41) | 1 | 3 | 0.750 | 0 |
| Shield method (A42) | 1/3 | 1 | 0.250 |
| Tunnel Profile Shape A5 | A51 | A52 | Weight | CR |
|---|---|---|---|---|
| Multicenter circular (A51) | 1 | 2 | 0.667 | 0 |
| Circular (A52) | 1/2 | 1 | 0.333 |
| Grade of Water Inflow in Subsea Tunnels | A1 | A2 | A3 | A4 | A5 | Weight | CR |
|---|---|---|---|---|---|---|---|
| Physical–mechanical characteristics of surrounding rock (A1) | 1 | 3 | 5 | 6 | 8 | 0.493 | 0.07 |
| Hydrogeological conditions of tunnel engineering (A2) | 1/3 | 1 | 4 | 5 | 7 | 0.283 | |
| Geometric characteristics of tunnel engineering (A3) | 1/5 | 1/4 | 1 | 3 | 5 | 0.124 | |
| Tunnel construction methods (A4) | 1/6 | 1/5 | 1/3 | 1 | 3 | 0.066 | |
| Tunnel profile shape (A5) | 1/8 | 1/7 | 1/5 | 1/3 | 1 | 0.034 |
| Criteria Layer | Weight | Criteria Layer Weight Set | Indicator Layer | Weight | Indicator Layer Weight Set |
|---|---|---|---|---|---|
| Physical–mechanical characteristics of surrounding rock | 0.493 | Surrounding rock grades | 0.393 | ||
| Joint fissure development degree | 0.158 | ||||
| Rock mass integrity index | 0.393 | ||||
| Rock weathering degree | 0.056 | ||||
| Hydrogeological conditions of tunnel engineering | 0.283 | Permeability coefficient | 0.674 | ||
| Seawater depth | 0.226 | ||||
| Tunnel burial depth | 0.100 | ||||
| Geometric characteristics of tunnel engineering | 0.124 | Relative size | 0.333 | ||
| Tunnel spacing | 0.667 | ||||
| Tunnel construction methods | 0.066 | Drilling and blasting method | 0.750 | ||
| Shield method | 0.250 | ||||
| Tunnel profile shape | 0.034 | Multicenter circular | 0.667 | ||
| Circular | 0.333 |
| Parameter | Value | Parameter | Value |
|---|---|---|---|
| Surrounding rock grades | IV-level | Permeability coefficient (m/d) | 0.093 (m/d) |
| Joint fissure development degree | Developed | Seawater depth (m) | 19 m |
| Rock mass integrity index (Kv) | 0.41 | Tunnel burial depth (m) | 35 m |
| Rock weathering degree | Moderately weathered | Relative size | 0.50 |
| Tunnel construction methods | Drilling and blasting method | Tunnel profile shape | Multicenter circular |
| Parameters | Grades | Evaluation Matrix | ||||
|---|---|---|---|---|---|---|
| I | II | III | IV | V | ||
| Surrounding rock grades | 0 | 0 | 0.3 | 0.7 | 0 | |
| Joint fissure development degree | 0 | 0 | 1 | 0 | 0 | |
| Rock mass integrity index | 0 | 0 | 0.6 | 0.4 | 0 | |
| Weathering degree of rock mass | 0 | 0 | 0.2 | 0.8 | 0 | |
| Permeability coefficient | 0 | 0 | 0.22 | 0.78 | 0 | |
| Seawater depth | 0 | 0.2 | 0.8 | 0 | 0 | |
| Buried depth of tunnel | 0.5 | 0.5 | 0 | 0 | 0 | |
| Relative size | 0 | 0 | 1 | 0 | 0 | |
| Tunnel spacing | 0 | 1 | 0 | 0 | 0 | |
| Drilling and blasting method | 0 | 1 | 0 | 0 | 0 | |
| Shield method | 0 | 0 | 0 | 0 | 0 | |
| Multicenter circular | 0 | 1 | 0 | 0 | 0 | |
| Circular | 0 | 0 | 0 | 0 | 0 | |
Disclaimer/Publisher’s Note: The statements, opinions and data contained in all publications are solely those of the individual author(s) and contributor(s) and not of MDPI and/or the editor(s). MDPI and/or the editor(s) disclaim responsibility for any injury to people or property resulting from any ideas, methods, instructions or products referred to in the content. |
© 2023 by the authors. Licensee MDPI, Basel, Switzerland. This article is an open access article distributed under the terms and conditions of the Creative Commons Attribution (CC BY) license (https://creativecommons.org/licenses/by/4.0/).
Share and Cite
Han, Z.; Yan, K.; Zhu, Z.; Cui, H. Research on a Grading Evaluation System for Water Inflow in Three-Hole Parallel Subsea Tunnels Considering Inter-Tunnel Influence. Appl. Sci. 2023, 13, 12761. https://doi.org/10.3390/app132312761
Han Z, Yan K, Zhu Z, Cui H. Research on a Grading Evaluation System for Water Inflow in Three-Hole Parallel Subsea Tunnels Considering Inter-Tunnel Influence. Applied Sciences. 2023; 13(23):12761. https://doi.org/10.3390/app132312761
Chicago/Turabian StyleHan, Zhiming, Keyu Yan, Zhengguo Zhu, and Huimin Cui. 2023. "Research on a Grading Evaluation System for Water Inflow in Three-Hole Parallel Subsea Tunnels Considering Inter-Tunnel Influence" Applied Sciences 13, no. 23: 12761. https://doi.org/10.3390/app132312761
APA StyleHan, Z., Yan, K., Zhu, Z., & Cui, H. (2023). Research on a Grading Evaluation System for Water Inflow in Three-Hole Parallel Subsea Tunnels Considering Inter-Tunnel Influence. Applied Sciences, 13(23), 12761. https://doi.org/10.3390/app132312761
